A Comparative Study into Enhancing the PV Penetration Limit of a LV CIGRE Residential Network with Distributed Grid-Tied Single-Phase PV Systems
Abstract
1. Introduction
2. Basic Definitions
2.1. Voltage Quality Standards
2.2. Photovoltaic Penetration Definition and Assumptions
3. System Description
3.1. LV CIGRE Distribution System
3.2. PV System
4. Simulations and Results
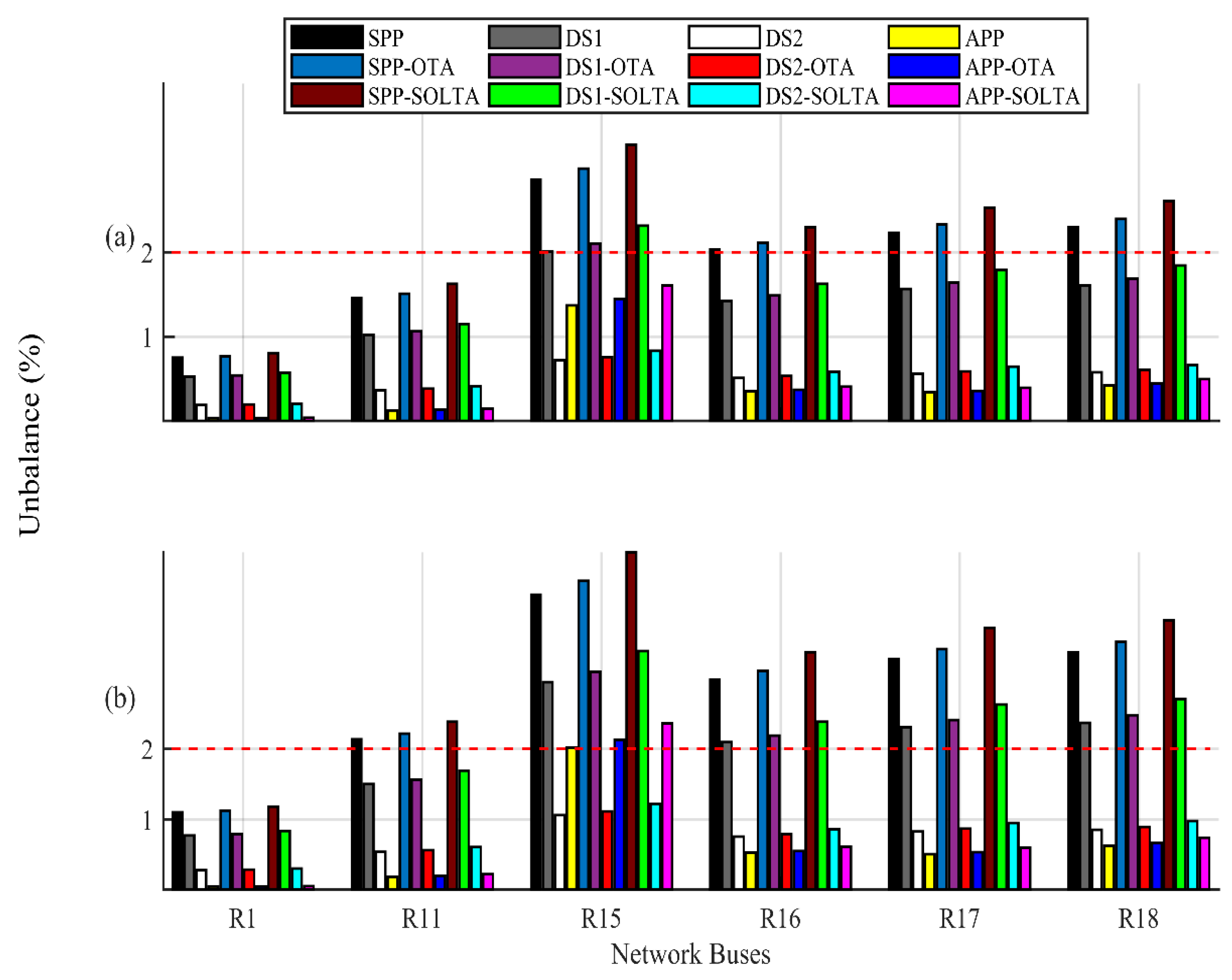
4.1. Performance Index & Proposed Techniques
- (1)
- Single-phase penetration (SPP): This is simplest scenario, in which all single-phase PV systems are installed at phase-A of the load buses.
- (2)
- Distribution Scheme 1 (DS1): In this case, 80% of PV penetration is done in Phase-A while 10% is done both in Phase-B and C, based on total PV penetration levels.
- (3)
- Distribution Scheme 2 (DS2): In this scenario, 50% of total PV penetration is introduced in Phase-A while 25% is introduced in both Phase-B and C.
- (4)
- Alternate-phase penetration (APP): This selects alternate phases at different load buses of the network for PV system connection. In order to find the optimal solution, PI is analyzed using the particle swarm optimization technique in [37]. This implies that PV system should be connected in phase-A for buses R11 and R18, in phase-B for buses R16 and R17, and in phase-C for the R15 bus. For large networks comprising several LV and MV feeders, the simulation time may increase significantly, putting a constraint on the size of the simulated network.
- (5)
- Offline tap adjustment (OTA): In this method, the tap setting of the distribution transformer is adjusted manually in offline mode. This is useful in reducing the voltage magnitude of the whole LV network to accommodate more PV penetration. However, the voltages should not violate the lower limit when there is no PV injection (e.g., at night), hence restricting the tap position. Also, OTA is applied for all of the above techniques. A tap position of 0% is selected.
- (6)
- Switched on-load tap adjustment (SOLTA): This proposed method has some operational intelligence that can vary the secondary transformer voltage with respect to irradiation level. As PV penetration is directly dependent on the irradiation level, a switching mechanism can be used to vary the tap settings when irradiation exceeds a certain level; here, a 500 W/m2 threshold with a tap position of 5% is selected for switching. This technique is applied to SPP, DS1, DS2, and APP cases.
4.2. Results & Discussions: Steady-State Study
4.3. Worst Day Estimation
4.4. Results & Discussions: Dynamic Study
5. Conclusions
Author Contributions
Funding
Conflicts of Interest
References
- Jäger-Waldau, A. PV Status Report 2017; EUR-Scie; Publications Office of the European Union: Luxembourg, 2017. [Google Scholar]
- Betancourt, U.; Ackermann, T. Integration of Solar Power into Power Systems. In Proceedings of the 6th Solar Integration Workshop, Vienna, Austria, 14–15 November 2016; p. 9. [Google Scholar]
- Vandenbergh, M.; Craciun, D.; Helmbrecht, V.; Hermes, R.; Lama, R.; Sonvilla, P.M.; Concas, G.; Loew, H.; Mateo, C.; Frias, P.; et al. Prioritization of Technical Solutions Available for the Integration of PV Into the Distribution Grid. DERlab Eur. Distrib. Energy Resour. Lab. D 2013, 12, 1–49. [Google Scholar]
- Noone, B. PV Integration on Australian Distribution Networks; Literature Review; The Australian PV Association: Sydney, Australia, 2013. [Google Scholar]
- Urbanetz, J.; Braun, P.; Rüther, R. Power quality analysis of grid-connected solar photovoltaic generators in Brazil. Energy Convers. Manag. 2012, 64, 8–14. [Google Scholar] [CrossRef]
- Costa, P.M.; Matos, M.A. Avoided losses on LV networks as a result of microgeneration. Electr. Power Syst. Res. 2009, 79, 629–634. [Google Scholar] [CrossRef]
- Laghari, J.A.; Mokhlis, H.; Karimi, M.; Bakar, A.H.A.; Mohamad, H. An islanding detection strategy for distribution network connected with hybrid DG resources. Renew. Sustain. Energy Rev. 2015, 45, 662–676. [Google Scholar] [CrossRef]
- Lopes, J.P.; Hatziargyriou, N.; Mutale, J.; Djapic, P.; Jenkins, N. Integrating distributed generation into electric power systems: A review of drivers, challenges and opportunities. Electr. Power Syst. Res. 2007, 77, 1189–1203. [Google Scholar] [CrossRef]
- van den Oosterkamp, P.; Koutstaal, P.; van der Welle, A.; de Joode, J.; Lenstra, J.; van Hussen, K.; Haffner, R. The Role of DSOs in a Smart Grid Environment; European Commission: Amsterdam/Rotterdam, The Netherlands, 2014.
- Hashemi, S.; Østergaard, J.; Degner, T.; Brandl, R.; Heckmann, W. Efficient Control of Active Transformers for Increasing the PV Hosting Capacity of LV Grids. IEEE Trans. Ind. Inform. 2017, 13, 270–277. [Google Scholar] [CrossRef]
- Knezović, K.; Marinelli, M. Phase-wise enhanced voltage support from electric vehicles in a Danish low-voltage distribution grid. Electr. Power Syst. Res. 2016, 140, 274–283. [Google Scholar] [CrossRef]
- Rauma, K.; Cadoux, F.; Hadj-Saïd, N.; Dufournet, A.; Baudot, C.; Roupioz, G. Assessment of the MV/LV On-Load Tap Changer Technology as a Way to Increase LV Hosting Capacity for Photovoltaic Power Generators; CIRED Workshop: Helsinki, Finland, 2016; pp. 1–4. [Google Scholar]
- Efkarpidis, N.; De Rybel, T.; Driesen, J. Technical assessment of centralized and localized voltage control strategies in low voltage networks. Sustain. Energy Grids Netw. 2016, 8, 85–97. [Google Scholar] [CrossRef]
- Aziz, T.; Ketjoy, N. Enhancing PV Penetration in LV Networks Using Reactive Power Control and on Load Tap Changer with Existing Transformers. IEEE Access 2018, 6, 2683–2691. [Google Scholar] [CrossRef]
- Li, C.; Disfani, V.R.; Pecenak, Z.K.; Mohajeryami, S.; Kleissl, J. Optimal OLTC voltage control scheme to enable high solar penetrations. Electr. Power Syst. Res. 2018, 160, 318–326. [Google Scholar] [CrossRef]
- Dubey, A. Impacts of Voltage Control Methods on Distribution. Inventions 2017, 2, 28. [Google Scholar] [CrossRef]
- IEEE Standards Association. IEEE Std 1159TM-2009, IEEE Recommended Practice for Monitoring Electric Power Quality; IEEE: Piscataway, NJ, USA, 2009. [Google Scholar]
- Cheng, D.; Mather, B.A.; Seguin, R.; Hambrick, J.; Broadwater, R.P. Photovoltaic (PV) Impact Assessment for Very High Penetration Levels. IEEE J. Photovolt. 2016, 6, 295–300. [Google Scholar] [CrossRef]
- Eftekharnejad, S.; Vittal, V.; Heydt, G.T.; Keel, B.; Loehr, J. Impact of increased penetration of photovoltaic generation on power systems. IEEE Trans. Power Syst. 2013, 28, 893–901. [Google Scholar] [CrossRef]
- Hoke, A.; Butler, R.; Hambrick, J.; Kroposki, B. Steady-state analysis of maximum photovoltaic penetration levels on typical distribution feeders. IEEE Trans. Sustain. Energy 2013, 4, 350–357. [Google Scholar] [CrossRef]
- Mohammadi, P.; Mehraeen, S. Challenges of PV Integration in Low-Voltage Secondary Networks. IEEE Trans. Power Deliv. 2017, 32, 525–535. [Google Scholar] [CrossRef]
- Armendariz, M.; Brodén, D.; Honeth, N.; Nordström, L. Nordström, A method to identify exposed nodes in low voltage distribution grids with High PV penetration. In Proceedings of the 2015 IEEE Power & Energy Society General Meeting, Denver, CO, USA, 26–30 July 2015; pp. 1–5. [Google Scholar]
- Ghaffarianfar, M.; Hajizadeh, A. Voltage Stability of Low-Voltage Distribution Grid with High Penetration of Photovoltaic Power Units. Energies 2018, 11, 1960. [Google Scholar] [CrossRef]
- Lucas, A. Single-Phase PV Power Injection Limit due to Voltage Unbalances Applied to an Urban Reference Network Using Real-Time Simulation. Appl. Sci. 2018, 8, 1333. [Google Scholar] [CrossRef]
- Barsali, S. Benchmark Systems for Network Integration of Renewable and Distributed Energy Resources; ELECTRA; CIGRE: Paris, France, 2014. [Google Scholar]
- Catalonia Institute for Energy Research (IREC). Optimal Scheduling Tools for Day-Ahead Operation and Intraday Adjustment; Catalonia Institute for Energy Research (IREC): Latham, NY, USA, 2016. [Google Scholar]
- Lee Willis, H. Power Distribution Planning Reference Book, Second Edition Power Engineering (Willis), 2nd ed.; Revised Editon; CRC Press: Boca Raton, FL, USA, 2004. [Google Scholar]
- Bottaccioli, L.; Estebsari, A.; Patti, E.; Pons, E.; Acquaviva, A. A Novel Integrated Real-time Simulation Platform for Assessing Photovoltaic Penetration Impacts in Smart Grids. Energy Procedia 2017, 111, 780–789. [Google Scholar] [CrossRef]
- Tonkoski, R.; Turcotte, D.; El-Fouly, T.H. Impact of High PV Penetration on Voltage Profiles in Residential Neighbourhoods. IEEE Trans. Sustain. Energy 2012, 3, 518–527. [Google Scholar] [CrossRef]
- Kwon, J.B.; Wang, X.; Blaabjerg, F.; Bak, C.L.; Wood, A.R.; Watson, N.R. Harmonic instability analysis of a single-phase grid-connected converter using a harmonic state-space modeling method. IEEE Trans. Ind. Appl. 2016, 52, 4188–4200. [Google Scholar] [CrossRef]
- Urhekar, R.; Kulkarni, S.U. Study and Simulation of SOGI PLL for Single Phase Grid Connected System. Int. J. Sci. Res. Sci. Eng. Technol. 2016, 2, 741–745. [Google Scholar]
- Teodorescu, R.; Liserre, M.; Rodriguez, P. Grid Converters for Photovoltaic and Wind Power Systems, 1st ed.; John Wiley & Sons, Ltd.: Hoboken, NJ, USA, 2011. [Google Scholar]
- Yang, Y.; Blaabjerg, F. A new power calculation method for single-phase grid-connected systems. In Proceedings of the 2013 IEEE International Symposium on Industrial Electronics, Taipei, Taiwan, 28–31 May 2013. [Google Scholar]
- Pereira, H.; Cupertino, A.; Teodorescu, R.; Silva, S. High Performance Reduced Order Models for Wind Turbines with Full-Scale Converters Applied on Grid Interconnection Studies. Energies 2014, 7, 7694–7716. [Google Scholar] [CrossRef]
- Bollen, M.; Rönnberg, S. Hosting Capacity of the Power Grid for Renewable. Energies 2017, 10, 1325. [Google Scholar] [CrossRef]
- Oliveira, T.; Carvalho, P.; Ribeiro, P.; Bonatto, B. PV Hosting Capacity Dependence on Harmonic Voltage Distortion in Low-Voltage Grids: Model. Energies 2018, 11, 465. [Google Scholar] [CrossRef]
- Lan, H.; Wen, S.; Fu, Q.; Yu, D.C.; Zhang, L. Modeling analysis and improvement of power loss in microgrid. Math. Probl. Eng. 2015, 2015, 8. [Google Scholar] [CrossRef]
- Mahmud, M.A.; Hossain, M.J.; Pota, H.R. Worst Case Scenario for Large Distribution Networks with Distributed Generation. In Proceedings of the IEEE Power and Energy Society General Meeting, San Diego, CA, USA, 24–29 July 2011; pp. 1–7. [Google Scholar]
- Palacios-Garcia, E.; Moreno-Muñoz, A.; Santiago, I.; Moreno-Garcia, I.; Milanés-Montero, M. PV Hosting Capacity Analysis and Enhancement Using High Resolution Stochastic Modeling. Energies 2017, 10, 1488. [Google Scholar] [CrossRef]
- Papaefthymiou, G.; Schavemaker, P.H.; Van der Sluis, L.; Kling, W.L.; Kurowicka, D.; Cooke, R.M. Integration of stochastic generation in power systems. Electr. Power Energy Syst. 2006, 28, 655–667. [Google Scholar] [CrossRef]
- Market Surveillance Administrator. Residential Load Profiles; Market Surveillance Administrator: Calgary, AB, Canada, 2004. [Google Scholar]
- Chuan, L.; Ukil, A. Modeling and Validation of Electrical Load Profilling in Residential Buildings in Singapore. IEEE Trans. Power Syst. 2015, 30, 2800–2809. [Google Scholar] [CrossRef]
- Kawano, S.; Fujimoto, Y.; Wakao, S.; Hayashi, Y.; Takenaka, H.; Irie, H.; Nakajima, T.Y. Voltage Control Method Utilizing Solar Radiation Data in High Spatial Resolution for Service Restoration in Distribution Networks with PV. J. Energy Eng. 2016, 143. [Google Scholar] [CrossRef]














| Conductor ID | Type | Cross-Sectional Area | Cable Parameters | ||
|---|---|---|---|---|---|
| (mm2) | R (Ω/Km) | L (mH/Km) | C (fF/Km) | ||
| UG1 | NA2XY | 240 | 0.162 | 0.223 | 0.318 |
| UG2 | NA2XY | 150 | 0.265 | 0.225 | 0.318 |
| UG3 | NA2XY | 120 | 0.325 | 0.223 | 0.318 |
| UG4 | NA2XY | 25 | 1.539 | 0.242 | 0.318 |
| UG5 | NA2XY | 35 | 1.113 | 0.234 | 0.318 |
| UG6 | NA2XY | 70 | 0.229 | 0.229 | 0.318 |
| Node | Apparent Power (kVA) | Power Factor |
|---|---|---|
| R11 | 15 | 0.95 |
| R15 | 72 | 0.95 |
| R16 | 55 | 0.95 |
| R17 | 15 | 0.95 |
| R18 | 47 | 0.95 |
| Loading | SPP | DS1 | DS2 | APP | SPP | DS1 | DS2 | APP | SPP | DS1 | DS2 | APP | ||||||||||||
|---|---|---|---|---|---|---|---|---|---|---|---|---|---|---|---|---|---|---|---|---|---|---|---|---|
| VU | VM | VU | VM | VU | VM | VU | VM | VU | VM | VU | VM | VU | VM | VU | VM | VU | VM | VU | VM | VU | VM | VU | VM | |
| 25% | 7 | 12 | 9 | 14 | 29 | 25 | 15 | 19 | 7 | 18 | 9 | 24 | 29 | 45 | 15 | 32 | 7 | 32 | 9 | 41 | 29 | 74 | 15 | 52 |
| 100% | 4 | 35 | 7 | 41 | 20 | 75 | 11 | 56 | 4 | 39 | 7 | 53 | 20 | 94 | 11 | 67 | 4 | 51 | 7 | 68 | 20 | 125 | 11 | 89 |
| OTA | SOLTA | |||||||||||||||||||||||
© 2019 by the authors. Licensee MDPI, Basel, Switzerland. This article is an open access article distributed under the terms and conditions of the Creative Commons Attribution (CC BY) license (http://creativecommons.org/licenses/by/4.0/).
Share and Cite
Wajahat, M.; Khalid, H.A.; Bhutto, G.M.; Leth Bak, C. A Comparative Study into Enhancing the PV Penetration Limit of a LV CIGRE Residential Network with Distributed Grid-Tied Single-Phase PV Systems. Energies 2019, 12, 2964. https://doi.org/10.3390/en12152964
Wajahat M, Khalid HA, Bhutto GM, Leth Bak C. A Comparative Study into Enhancing the PV Penetration Limit of a LV CIGRE Residential Network with Distributed Grid-Tied Single-Phase PV Systems. Energies. 2019; 12(15):2964. https://doi.org/10.3390/en12152964
Chicago/Turabian StyleWajahat, Musharraf, Hassan Abdullah Khalid, Ghullam Mustafa Bhutto, and Claus Leth Bak. 2019. "A Comparative Study into Enhancing the PV Penetration Limit of a LV CIGRE Residential Network with Distributed Grid-Tied Single-Phase PV Systems" Energies 12, no. 15: 2964. https://doi.org/10.3390/en12152964
APA StyleWajahat, M., Khalid, H. A., Bhutto, G. M., & Leth Bak, C. (2019). A Comparative Study into Enhancing the PV Penetration Limit of a LV CIGRE Residential Network with Distributed Grid-Tied Single-Phase PV Systems. Energies, 12(15), 2964. https://doi.org/10.3390/en12152964

