Abstract
Optimal frequency control of an islanded microgrid has been a challenging issue in the research field of microgrids. Recently, fractional-order calculus theory and some related control methods have attempted to handle this issue. In this paper, a novel fractional-order model predictive control (FOMPC) method is proposed to achieve the optimal frequency control of an islanded microgrid by introducing a fractional-order integral cost function into model predictive control (MPC) algorithm. Firstly, a discrete state-space model is derived for the optimal frequency control problem of an islanded microgrid. Afterward, a fractional-order integral cost function is designed to guide the FOMPC algorithm to obtain optimal control law by borrowing the Grünwald-Letnikov (GL) definition of fractional order calculus. Six simulation studies have been carried out to illustrate the superiority of FOMPC to conventional MPC under dynamical load disturbances, perturbed system parameters and random dynamical power fluctuation of wind turbines.
1. Introduction
In the past decade, microgrids have been widely studied because of their potential environmental and economic benefits in regard to the integration distributed energy resources, especially renewable energy systems [1,2,3]. Due to the different types of distributed energy resources, dynamical load characteristics, power quality constraints, and perturbed system parameters, how to optimize control of a microgrid, for it to operate well under grid-connected and islanded modes, has been a challenging issue [4,5,6]. When a microgrid is islanded, an optimal controller should be designed to minimize the frequency deviations. In recent years, some research works have been reported related to the optimal frequency control issue of an islanded microgrid [7,8,9,10], but most works have focused on proportional-integral-derivative (PID) control method and its different kinds of improved versions based on intelligent optimization algorithms.
As one of the most widely-applied control methods in industry, model predictive control (MPC) ranks second only after PID control algorithm [11]. Recently, MPC has been extended to solve the optimal load frequency control (LFC) problems of power systems [12,13,14,15,16] and operation optimization issues of microgrids [17,18,19,20]. Especially, it should be noted that there are some existing works regarding MPC-based frequency control of microgrids [12,19,20,21,22,23]. Reference [12] developed a MPC-based coordinated load frequency control method for a microgrid under the condition regarding varied number of electric vehicles. By introducing a rule-based fuzzy controller to dynamically tune the weighting parameter used in cost function, a fuzzy MPC is proposed for the optimal LFC issue of an isolated microgrid [21]. In Reference [22], a MPC method is developed to implement the torque compensation of each wind turbine generator for the optimal frequency control of an isolated grid. Recently-reported work [23] focuses on a conventional MPC-based optimal frequency control method in terms of a traditional integer-order cost function for a standalone microgrid. The simulation results have illustrated the superiority of MPC to traditional proportional-integral (PI) controller.
On the other hand, fractional-order control theories and applications of traditional integer-order and fractional-order systems have attracted increasing attention over the past two decades [24]. The fractional-order PI/PID control algorithm has been considered as one of the most widely and successfully used methods in complex systems, such as servo systems [25,26], a nonlinear vertical tank system [27], electric balance vehicle system [28], an induction motor drive system [29], permanent magnetic synchronous generator [30], automatic voltage regulator systems [31], single-area delayed power systems [32], and multi-area interconnected power systems [33]. One particular concern is the fractional-order frequency control of an isolated microgrid. Multi-objective extremal optimization algorithm has been adopted to optimize the fractional-order PID frequency controller for islanded microgrids [34]. Additionally, some MPC or fractional-order MPC methods have been developed for traditional integer-order or fractional-order systems [35,36,37,38,39,40,41,42]. However, to the best knowledge of the authors, few works regarding the fractional-order model predictive frequency control of islanded microgrids have been reported so far.
As one of the most important applications concerning fractional-order calculus theory in single processing and optimal control areas, a novel fractional-order integral performance index has been introduced as an improved cost function to improve the system performance. As a seminal research work, Romero et al. [43] proposed a new type of arbitrary real-order integral cost function for infinite impulse response filter design. The work in Reference [44] used a real-coded genetic algorithm to optimize the weighting matrices used in Linear Quadratic Regulator (LQR) systems by designing a fractional-order integral cost function. Furthermore, Romero et al. [36] also introduced a fractional-order definite integration operator into the cost function and then presented a fractional-order generalized predictive control method to deal with the optimal speed control issue for gasoline-propelled cars. Moreover, Bigdeli [37] designed a genetic algorithm-based fractional-order predictive functional controller (FOPFC) for fractional-order systems by adopting a fractional-order integral cost function. In Reference [45], Grünwald-Letnikov (GL) definition of fractional-order calculus theory has also been introduced in the cost function of a FOPFC to enhance the performance of fractional-order industrial processes. In addition, Zhang el al. [40] proposed a fractional-order MPC method for the optimal temperature control issue of industrial heating furnaces by using a fractional-order cost function based on the GL definition. These above research works have illustrated the superiority of fractional-order integral cost functions to conventional integer-order ones in the applications of signal processing, optimal LQR design and optimal predictive functional control.
Inspired by the aforementioned descriptions, this work proposes a fractional-order MPC, termed the FOMPC method, to achieve optimal frequency control performance for an islanded microgrid by introducing a fractional-order integral cost function into a model predictive control (MPC) algorithm. Firstly, an extended discrete state-space model is derived for the optimal frequency control problem of an islanded microgrid by considering some disturbance variables. Then, a fractional-order integral cost function is designed to guide the model predictive control algorithm to obtain optimal control law by borrowing the GL definition of fractional-order calculus theory. Six simulation studies on a typical microgrid have been carried out to illustrate the superiority of FOMPC over a conventional MPC under dynamical load disturbances, perturbed system parameters and the dynamic fluctuation of wind.
The major contribution of this paper can be summarized by the following three points:
- (1)
- A fractional-order model predictive control (FOMPC) method is proposed for the optimal frequency control problem of an islanded microgrid for the first time.
- (2)
- The proposed FOMPC method extends the traditional quadratic cost function and introduces a fractional-order integral cost function based on the GL fractional-order integral definition.
- (3)
- In comparison with the conventional integer-order MPC algorithm, the proposed FOMPC can improve the performance of an islanded microgrid especially under several conditions of load disturbance, parameter uncertainty and random dynamical fluctuations of wind turbines.
The rest of this work is structured as follows. The discrete-time space model of an islanded microgrid is derived in Section 2. Section 3 proposes the FOMPC-based frequency control method. In Section 4, the simulation results for six cases and the effects of two fractional-order parameters on frequency control performance will be provided. Finally, the conclusions and some open issues are presented in Section 5.
2. Discrete-Time Space Model
The block diagram of the frequency control issue for an islanded microgrid with a FOMPC controller is shown in Figure 1. For convenient, fair comparison with the traditional integer-order MPC method [23], the system model of the microgrid tested in this paper is the same as that in Reference [23]. The transfer functions and related system parameters of the distributed generations in an islanded microgrid under study are described in Table 1. The distributed subsystems in this microgrid under study include a wind turbine generator (WTG), diesel-engine generator (DEG), and energy storage system (ESS). As mentioned in Chapter 11 of Reference [46], EES can be considered as a fuel cell (FC)/battery, flywheel energy storage system (FESS), superconducting magnetic energy storage (MESS) or a combination of these. Here, we adopt FESS as the ESS in the microgrid under study.
Figure 1.
The block diagram of an islanded microgrid under study with a FOMPC-based frequency controller.
Table 1.
The transfer functions and the related parameters used in each subsystem.
Define x(t) = [∆PE(t), ∆Pw(t), ∆Pg(t), ∆Pm(t), ∆f(t)]T, u(t) = ∆u(t), w(t) = [∆w(t), ∆PL(t)]T, and y(t) = ∆f(t) in the microgrid under study. Here, ∆PE(t), ∆Pw(t), ∆Pg(t), and ∆Pm(t) represent the power deviations of ESS, WTG, governor, and turbine, respectively. ∆u(t) represents the incremental form of control signal, ∆w(t) represents the input power fluctuation of WTG, ∆PL(t) is the load fluctuation, and ∆Pe(t) represents the power deviation of the whole microgrid system, i.e., ∆Pe(t) = ∆Pw(t) − ∆PE(t) − ∆Pm(t) − ∆PL(t). The continuous-time state space model for the frequency control of an islanded microgrid is defined by Equations (1) and (2).
where Ac, Bc1, Bc2, and C are defined as follows:
The discrete-time state space model of an islanded microgrid is obtained by the following equations:
where , , , and Ts is the sampling period.
It should be noted, the discrete-time space model can also be derived by a similar method for a more complex microgrid system, with more types of distributed generations, e.g., hydric, thermal, or photovoltaic generations. The only difference is that x(t), u(t), w(t), Ac, Bc1, Bc2, and C in Equations (1) and (2) should be redefined according to the topology structure and block diagram of a new microgrid system.
3. FOMPC-Based Optimal Frequency Control Method
In this section, we propose a novel FOMPC method for the optimal frequency control issue of an islanded microgrid.
Firstly, let us define the predictive output vector as , the predictive state vector as , the predictive disturbance vector as , the predictive control vector as , where Nx, Ny, Nu and Nw are the dimensions of x(k), y(k), u(k) and w(k), respectively. Then, the predictive output vector YP(k) is computed according to Equations (9)–(13):
where P and M are the prediction horizon and the control horizon, respectively.
Reference trajectory yr (k+p|k) used in this paper is defined as follows [11]:
where η represents a soften factor, and c(k) represents the set value of system output. In terms of vector-based form, Equation (14) can be also reformulated using the following equation:
From the perspective of traditional MPC, the optimal frequency control issue of an islanded microgrid is formulated as follows:
where Q is a weight vector to adjust the performance of predicted errors, and R is another weight vector for the future control vector. umin, ∆umin, and ymin are defined as the lower limits of u(k), ∆u(k), and y(k), respectively, and umax, ∆umax, and ymax are the corresponding upper limits.
For an islanded microgrid, Figure 2 represents a schematic diagram of FOMPC-based optimal frequency control method. More specifically, by introducing the GL definition of fractional order calculus [43] into Equation (16), a fractional-order integral cost function JFO(k) is approximated by Equations (18)–(21). The detailed derivation process from Formulation (16) to Formulation (18) can be found in Reference [43].
Figure 2.
The schematic diagram of FOMPC-based optimal frequency control method.
By combining Equations (9)–(13), the fractional-order integral cost function described by Equation (18) is reformulated as follows:
where β and γ are the fractional-order parameters.
Based on the gradient descent method, we can obtain the following optimal control vector u(k):
where represents an identity matrix with Nu rows and Nu columns.
The flowchart of the proposed FOMPC-based optimal frequency control method for an islanded microgrid is shown in Figure 3.
Figure 3.
The flowchart of FOMPC-based optimal frequency control method for an islanded microgrid.
In conclusion, the detailed steps of the proposed FOMPC-based optimal frequency control method for an islanded microgrid are summarized as follows:
- Step 1:
- Input a discrete-time state space model with sampling period Ts for the frequency control issue of an islanded microgrid system described by Equations (7) and (8).
- Step 2:
- Initialize the algorithm parameters of FOMPC including maximum number of sampling times Nmax, P, M, Q, R, β and γ, and set k = 1.
- Step 3:
- For the current time k, obtain y(k − 1) = ∆f(k − 1), u(k − 1) = ∆u(k − 1), x(k − 1) = [∆PE(k − 1), ∆Pw(k − 1), ∆Pg(k − 1), ∆Pm(k − 1), ∆f(k − 1)]T and w(k − 1) = [∆w(k − 1), ∆PL(k − 1)]T.
- Step 4:
- Obtain the predictive vector YP(k) according to Equations (9)–(13) and fractional-order integral cost function JFO(k) by Equations (18)–(21).
- Step 5:
- Compute the optimal control vector u(k) by Equations (25)–(27) based on gradient descent method.
- Step 6:
- Update the optimal y(k) and x(k) under u(k).
- Step 7:
- Set k = k + 1, and repeat the loop from Step 4 to Step 7 until k = Nmax.
- Step 8:
- Output {y(k) = ∆f(k), k=1, 2, …, Nmax } and {∆Pe(k), k = 1, 2, …, Nmax}.
4. Simulation Results
The simulation results in Reference [23] have illustrated the superiority of MPC to traditional PI controller for the optimal frequency control issue of an islanded microgrid. To make a fair comparison between the proposed FOMPC and traditional MPC method [23], simulation studies are carried out for the same microgrid system model, as shown in Figure 1 [23]. The parameters of system model are set as in Table 1. Six experiments are designed as Table 2 to demonstrate the superiority of FOMPC to the traditional integer-order MPC method under dynamical load disturbances, perturbed system parameters and random dynamical power fluctuation of wind turbines. The parameter settings for FOMPC and MPC are shown in Table 3. All the following simulation experiments have been performed by the aid of MATLAB 2014b software on a 2.50 GHz PC with i7-6500U processor and 8GB RAM.
Table 2.
The conditions of six experiments for an islanded microgrid.
Table 3.
The parameters settings for FOMPC and MPC.
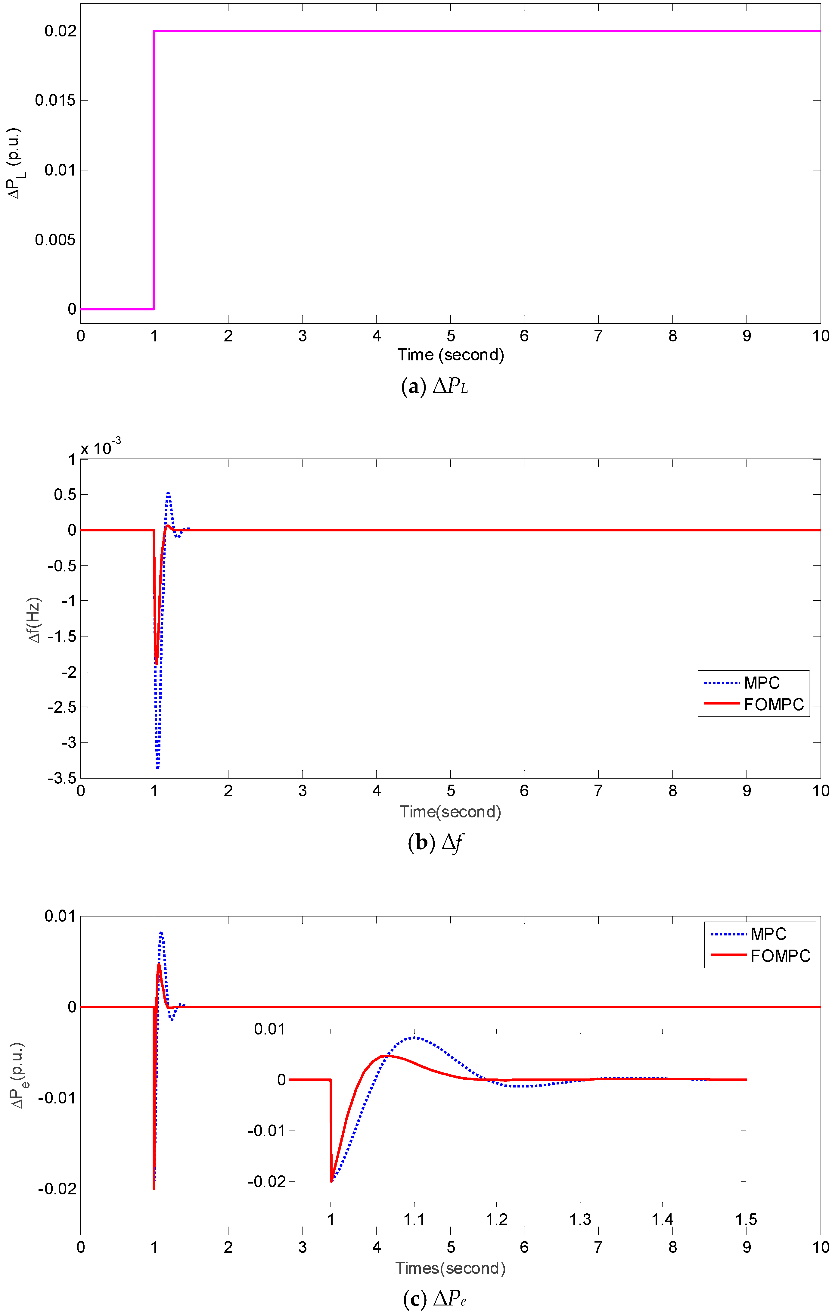
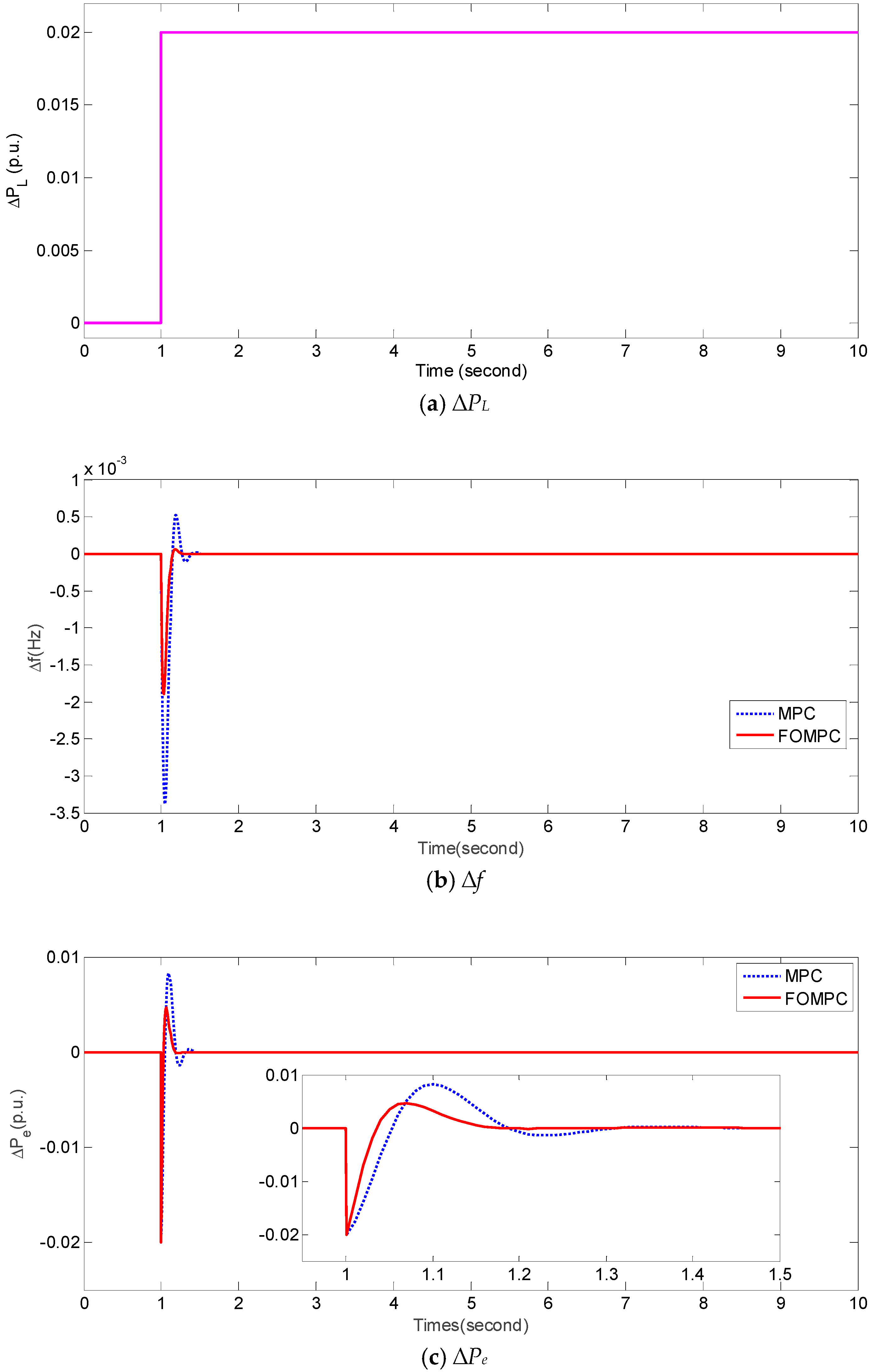
4.1. Case 1: Normal System Parameters and Step Load Fluctuations
In case 1, we consider the condition of normal system parameters of an islanded microgrid and ∆PL = 0.02 p.u. after 1 s. Figure 4 presents the comparative results of frequency deviation ∆f, and power deviation ∆Pe obtained by FOMPC and MPC for an islanded microgrid under case 1. Obviously, the transient-state and steady-state responses of ∆f and ∆Pe obtained by FOMPC are better than those by MPC [23]. The performance of FOMPC and MPC methods is evaluated by the indices including the integral of absolute value of the error (IAE) for ∆f and ∆Pe denoted as IAE1 and IAE2, respectively, the overshoot of ∆f and ∆Pe denoted as Mp1 and Mp2, respectively, the rising time of ∆f and ∆Pe denoted as tu1 and tu2, respectively, the settling time of ∆f and ∆Pe denoted as ts1 and ts2, respectively, and the steady-state error of ∆f and ∆Pe denoted as Ess1 and Ess2, respectively. The IAE1 and IAE2 are defined as follows:
Figure 4.
Responses of ∆f and ∆Pe obtained by FOMPC and MPC under case 1.
Table 4 shows the performance comparison of FOEMPC and MPC for an islanded microgrid under case 1. Clearly, all the indices except Ess1 obtained by FOMPC are better than those by MPC [23].
Table 4.
Control performance indices obtained by FOMPC and MPC for an islanded microgrid under case 1. The best values are marked in bold.
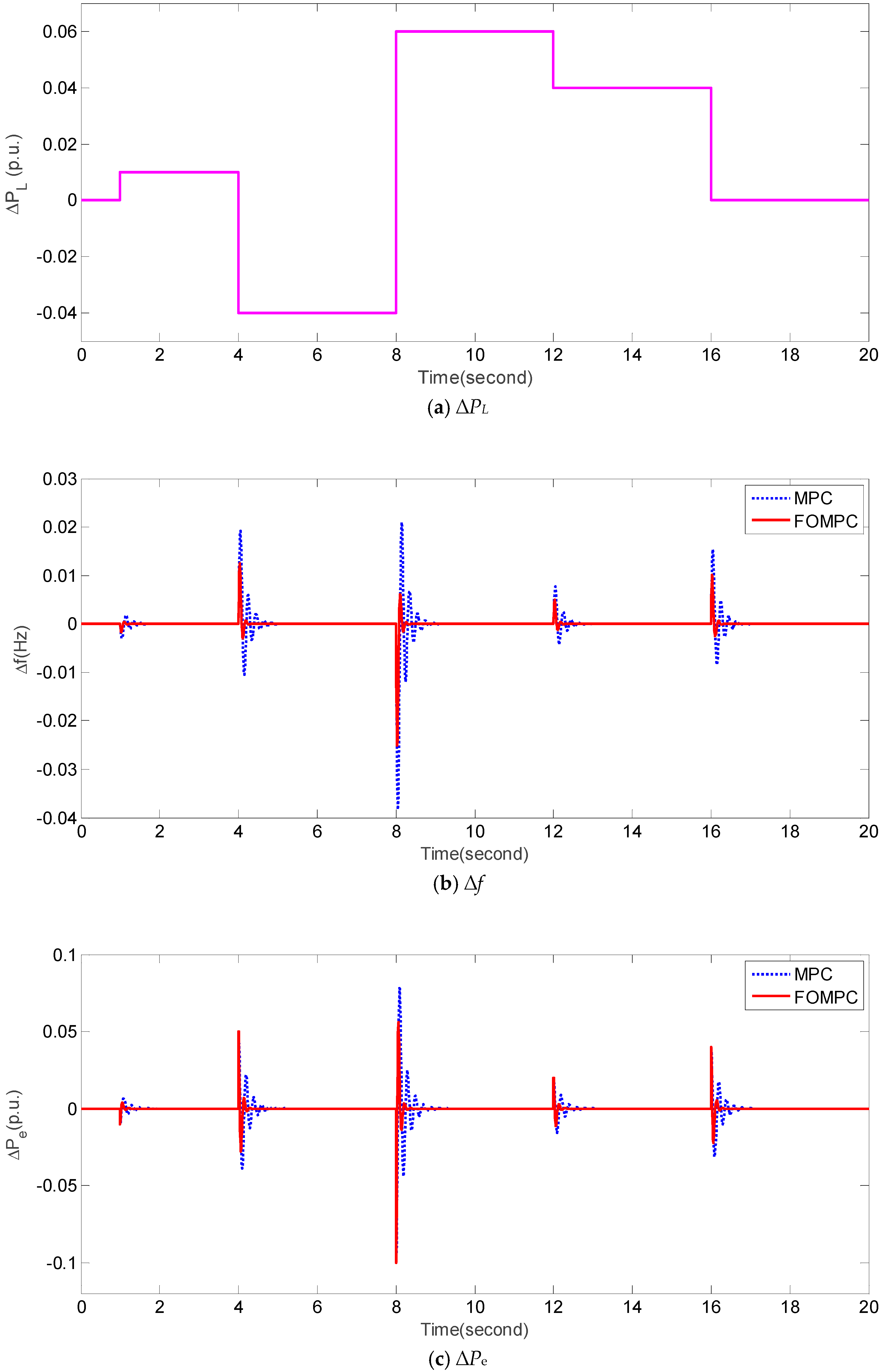
4.2. Case 2: Normal System Parameters and Dynamical Load Fluctuations
For case 2, the dynamical fluctuations of ∆PL (e.g., Figure 5a) and normal system parameters are considered. Figure 5b,c compare ∆f and ∆Pe obtained by FOMPC and MPC for an islanded microgrid, respectively. From the perspective of quantitative comparison, the control performance of ∆f and ∆Pe obtained by FOMPC and MPC is evaluated by the indices including IAE1, IAE2, ITAE1, ITAE2, ISE1, ISE2, ITSE1, and ITSE2. To be more specific, the ITAE1, ITAE2, ISE1, ISE2, ITSE1, and ITSE2 are defined as follows:

Figure 5.
Responses of ∆f and ∆Pe by FOEMPC and MPC under case 2.
Table 5 also shows the control performance indices obtained by FOMPC and MPC for an islanded microgrid under case 2. Obviously, all the indices obtained by FOMPC are better than those by MPC 23.
Table 5.
Performance comparison of FOMPC and MPC for an islanded microgrid under case 2. The best values are marked in bold.
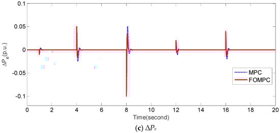
4.3. Case 3: Normal System Parameters and Random Dynamical Fluctuations of Δw
In case 3, we designed an experiment under normal system parameters and random dynamical fluctuations of Δw shown in Figure 6a. It should be noted that the random dynamical fluctuations of Δw are modeled based on Reference [34]. Figure 6b,c compares ∆f and ∆Pe of FOMPC and MPC, respectively. Intuitively, the fluctuations of ∆f and ∆Pe obtained by FOMPC are also less than those by MPC [23]. From a quantitative perspective, Table 6 compares the performance indices, such as IAE1, IAE2, ITAE1, ITAE2, ISE1, ISE2, ITSE1 and ITSE2 obtained by FOMPC and MPC. It is evident that FOMPC outperforms MPC under case 3.

Figure 6.
Responses of ∆f and ∆Pe by FOEMPC and MPC under case 3.
Table 6.
Performance indices obtained by FOMPC and MPC for an islanded microgrid under case 3. The best values are marked in bold.
4.4. Case 4: Perturbed System Parameters and Dynamical ΔPL
In order to test the robustness of FOMPC and MPC against perturbed system parameters and dynamical ∆PL, we design an experiment under the following condition: Tt = 0.6 (increase 50%), R = 1.5 (decrease 50%), H = 0.0833 (decrease 50%), and dynamical fluctuations of ∆PL (e.g., Figure 7a). Figure 7b,c present the responses of ∆f and ∆Pe by FOMPC and MPC, respectively. It is apparent that the responses of ∆f and ∆Pe obtained by FOMPC are better than those by MPC because of its more smooth flucutations and faster stabilization. Furthermore, the corresponding comparison of IAE1, IAE2, ITAE1, ITAE2, ISE1, ISE2, ITSE1, and ITSE2 is shown in Table 7. It is obvious that the proposed FOMPC method is superior to the traditional MPC [23] under case 4.
Figure 7.
Reponses of ∆f and ∆Pe by FOMPC and MPC under case 4.
Table 7.
Performance indices obtained by FOMPC and MPC for an islanded microgrid under case 4. The best values are marked in bold.
4.5. Case 5: Perturbed System Parameters and Random Dynamical Fluctuations of Δw
For case 5, we consider the condition of perturbed system parameters, e.g., Tt = 0.6 (increase 50%), R = 1.5 (decrease 50%), H = 0.0833 (decrease 50%), and random dynamical fluctuations of ∆w shown in Figure 8a. Figure 8b,c compare ∆f and ∆Pe obtained by FOMPC and MPC under case 5, respectively. It is obvious that these fluctuations of ∆f and ∆Pe obtained by FOMPC are less than MPC. Additionally, Table 8 also shows the comparison of the aforementioned eight indices. Clearly, the eight peformance indices of FOMPC are all better than those by MPC [23]. In other words, FOMPC is more robust than MPC under case 5.

Figure 8.
Responses of ∆f and ∆Pe by FOMPC and MPC under case 5.
Table 8.
Performance indices obtained by FOMPC and MPC for an islanded microgrid under case 5. The best values are marked in bold.
4.6. Case 6: The Worst Case
In case 6, we consider the worst case, i.e., under the following combined condition: Tt = 0.6 (increase 50%), R = 1.5 (decrease 50%), H = 0.0833 (decrease 50%), dynamical fluctuations of ∆PL shown in Figure 9a, and random dynamical fluctuations of Δw shown in Figure 9b. For case 6, Figure 9c,d show the reponses of ∆f and ∆Pe by FOMPC and MPC, respectively. Obviously, It is apparent that the fluctuations of ∆f and ∆Pe by FOMPC are also more smooth than those by MPC even under the worst case. Moreover, Table 9 compares the corresponding performance indices obtained by FOMPC and MPC. Clearly, FOMPC performs better than MPC in terms of all the indices, which indicates that FOMPC has better robustness than the traditional MPC [23] under the worst case.

Figure 9.
Dynamical responses of ∆f and ∆Pe obtained by FOMPC and MPC under case 6.
Table 9.
Performance indices obtained by FOMPC and MPC for an islanded microgrid under case 6. The best values are marked in bold.
4.7. The Effects of Fractional-Order Parameters on Frequency Control Performance
As the aforementioned description of the FOMPC method in Section 3, fractional-order parameters β and γ play important roles in adjusting the frequency control performance. To illustrate the effects of β and γ on the frequency control performance, Figure 10 presents the frequency deviation ∆f under a set of different values for β and γ. Intuitively, the dynamical responses become faster, and the steady-state performance becomes better as the values of β and γ increase.
Figure 10.
Effects of fractional-order parameters on the frequency control performance of an islanded microgrid.
5. Conclusions and Open Issues
In this work, a novel FOMPC-based optimal frequency control method is designed for an islanded microgrid. The proposed FOMPC method has extended the traditional quadratic cost function and introduced a fractional-order integral cost function based on the GL fractional-order integral definition. Simulation results have demonstrated the superiority of FOMPC to conventional MPC [23] with integer-order cost function under dynamical load disturbances, perturbed system parameters and random dynamical power fluctuation of wind turbines. Moreover, this paper discussed the effects of two important fractional-order parameters used in the FOMPC method on frequency control performance. In conclusion, the FOMPC method can be considered as a promising solution for the optimal frequency control issue of an islanded microgrid. Nevertheless, some of the following open issues are still rather remarkable for future research. Firstly, the fractional-order calculus theory can also be introduced into the gradient descent method used in FOMPC. Secondly, it is still challenging to tune a set of optimal algorithm parameters used in FOMPC from the multi-objective optimization perspective. Furthermore, the extension of the proposed FOMPC to more complex power systems is another interesting research issue.
Author Contributions
M.-R.C. provided the basic idea and developed the framework of new method; G.-Q.Z. implemented the control algorithms, designed the simulation experiments, and prepared manuscript; K.D.L. implemented the simulation experiments; Y.X.D. analyzed the simulation results; D.-Q.B. revised the manuscript and improved the language.
Funding
This work was funded by National Natural Science Foundation of China (No. 61872153), Natural Science Foundation of Guangdong Province (No. 2018A030313318), and Zhejiang Provincial Natural Science Foundation of China (Grant Nos. LY16F030011 and LZ16E050002).
Acknowledgments
The authors the anonymous referees and editors for valuable comments and suggestions to improve this paper.
Conflicts of Interest
The authors declare no conflict of interest.
Nomenclature
| ∆f | Frequency deviation of an islanded microgrid |
| ∆u | Incremental form of control signal |
| ∆w | Input power fluctuation of wind turbine generator |
| ∆Pg | Power deviation of governor |
| ∆PL | Load fluctuation |
| ∆Pm | Power deviation of turbine |
| ∆Pe | Power deviation of an islanded mircogrid |
| D | Equivalent damping parameter of an islanded mircogrid |
| Ess1 (Ess2) | Steady-state error of ∆f (∆Pe) |
| H | Inertia constant of microgrid |
| IAE1 (IAE2) | Integral of absolute error for ∆f (∆Pe) |
| ISE1 (ISE2) | Integral of square error for ∆f (∆Pe) |
| ITAE1 (ITAE2) | Integral of time multiplied absolute error for ∆f (∆Pe) |
| ITSE1 (ITSE2) | Integral of time multiplied square error for ∆f (∆Pe) |
| J(k) | Integer-order cost function of the predictive model |
| JFO(k) | Fractional-order integral cost function of the predictive model |
| M | Control horizon |
| Mp1 | Overshoot of ∆f |
| Mp2 | Overshoot of ∆Pe |
| Nmax | Maximum number of sampling times |
| Nu | Dimension of u |
| Nw | Dimension of w |
| Nx | Dimension of x |
| Ny | Dimension of y |
| P | Prediction horizon |
| R | Speed droop constant |
| Te | Inertial time constant of energy storage system |
| Tg | Inertial time constant of governor |
| TW | Inertial time constant of wind turbine generator |
| Ts | Sampling period |
| Tt | Inertial time constant of turbine |
| tu1 | Rising time of ∆f |
| tu2 | Rising time of ∆Pe |
| ts1 | Settling time of ∆f |
| ts2 | Settling time of ∆Pe |
| ∆U | Predictive control vector |
| ∆W | Predictive disturbance vector |
| ∆u | Incremental vector of u |
| ∆umin | Lower limits of ∆u |
| ∆umax | Upper limits of ∆u |
| Ac | Continuous-time form of system matrix |
| Ad | Discrete-time form of system matrix |
| Bc1 | Continuous-time form of control matrix |
| Bc2 | Continuous-time form of disturbance matrix |
| Bd1 | Discrete-time form of control matrix |
| Bd2 | Discrete-time form of disturbance matrix |
| C | Continuous-time form of system output matrix |
| Cd | Discrete-time form of system output matrix |
| E | Predictive disturbance matrix |
| F | Control matrix for the (k-1)-th sampling time |
| G | Predictive system matrix |
| H | Predictive incremental control matrix |
| I | Identity matrix |
| Q | Weight vector for predicted errors |
| R | Weight vector for future control |
| YP | Predictive output vector |
| Yr | Reference predictive vector |
| c | Set-point vector of system output |
| u | Control vector |
| umin | Lower limits of u |
| umax | Upper limits of u |
| w | Disturbance vector |
| x | State vector |
| y | System output vector |
| y(k+p|k) | The (k+p)-th predictive output at k-th sampling time |
| ymin | Lower limits of y |
| ymax | Upper limits of y |
| yr(k+p|k) | The (k+p)-th predictive reference vector at k-th sampling time |
| β | Fractional-order parameter used in square future control |
| γ | Fractional-order parameter used in square predicted errors |
| η | Soften factor |
References
- Sen, S.; Kumar, V. Microgrid modelling: A comprehensive survey. Annu. Rev. Control 2018, 46, 216–250. [Google Scholar] [CrossRef]
- Alam, M.N.; Chakrabarti, S.; Ghosh, A. Networked microgrids: State-of-the-art and future prospectives. IEEE Trans. Ind. Inform. 2018. [Google Scholar] [CrossRef]
- Kumar, J.; Agarwal, A.; Agarwal, V. A review on overall control of DC microgrids. J. Energy Storage 2019, 21, 113–138. [Google Scholar] [CrossRef]
- Zhang, L.; Tang, Y.; Yang, S.; Gao, F. Decoupled power control for a modular-multilevel-converter-based hybrid AC–DC grid integrated with hybrid energy storage. IEEE Trans. Ind. Electron. 2019, 66, 2926–2934. [Google Scholar] [CrossRef]
- Chen, M.R.; Wang, H.; Zeng, G.Q.; Dai, Y.X.; Bi, D.Q. Optimal PQ Control of grid-connected inverters in a microgrid based on adaptive population extremal optimization. Energies 2018, 11, 2107. [Google Scholar] [CrossRef]
- Deng, Z.; Xu, Y.; Sun, H.; Shen, X. Distributed, bounded and finite-time convergence secondary frequency control in an autonomous microgrid. IEEE Trans. Smart Grid 2018. [Google Scholar] [CrossRef]
- Lal, D.K.; Barisal, A.K.; Tripathy, M. Load frequency control of multi area interconnected microgrid power system using grasshopper optimization algorithm optimized fuzzy PID controller. In Proceedings of the 2018 Recent Advances on Engineering, Technology and Computational Sciences (RAETCS), Allahabad, India, 6–8 February 2018; pp. 1–6. [Google Scholar]
- Yang, T.; Zhang, Y.; Wang, Z.; Peng, H. Secondary frequency stochastic optimal control in independent microgrids with virtual synchronous generator-controlled energy storage systems. Energies 2018, 11, 2388. [Google Scholar] [CrossRef]
- Barik, A.K.; Das, D.C. Expeditious frequency control of solar photovoltaic/biogas/biodiesel generator based isolated renewable microgrid using grasshopper optimisation algorithm. IET Renew. Power Gener. 2018, 12, 1659–1667. [Google Scholar] [CrossRef]
- Dong, L.; Wang, H.; Zeng, G.Q.; Zhang, Z.Z.; Wu, L.; Xiong, R.; Dai, Y.X. Optimal droop control of distributed inverters in a microgrid under autonomous mode based on differenial evolution. In Proceedings of the 2018 Chinese Automation Congress, Xi’an, China, 30 November–2 December 2018. [Google Scholar]
- Zhang, R.D.; Xue, A.K.; Gao, F.R. Model Predictive Control; Springer: Singapore, 2019. [Google Scholar]
- Pahasa, J.; Ngamroo, I. Coordinated PHEV, PV, and ESS for microgrid frequency regulation using centralized model predictive control considering variation of PHEV number. IEEE Access 2018, 6, 69151–69161. [Google Scholar] [CrossRef]
- Guo, Z.; Li, S.; Zheng, Y. Feedback linearization based distributed model predictive control for secondary control of islanded microgrid. Asian J. Control 2020, 22, 1–14. [Google Scholar] [CrossRef]
- Chen, M.R.; Zeng, G.Q.; Xie, X.Q. Population extremal optimization-based extended distributed model predictive load frequency control of multi-area interconnected power systems. J. Frankl. Inst. 2018, 355, 8266–8295. [Google Scholar] [CrossRef]
- Charles, K.; Urasaki, N.; Senjyu, T.; Elsayed Lotfy, M.; Liu, L. Robust load frequency control schemes in power system using optimized PID and model predictive controllers. Energies 2018, 11, 3070. [Google Scholar] [CrossRef]
- Sun, B.; Tang, Y.; Ye, L.; Chen, C.; Zhang, C.; Zhong, W. A frequency control strategy considering large scale wind power cluster integration based on distributed model predictive control. Energies 2018, 11, 1600. [Google Scholar] [CrossRef]
- Xing, X.; Xie, L.; Meng, H. Cooperative energy management optimization based on distributed MPC in grid-connected microgrids community. Int. J. Electr. Power Energy Syst. 2019, 107, 186–199. [Google Scholar] [CrossRef]
- Olama, A.; Mendes, P.R.C.; Camacho, E.F. Lyapunov-based hybrid model predictive control for energy management of microgrids. IET Gener. Transm. Distrib. 2018, 12, 5770–5780. [Google Scholar] [CrossRef]
- Hans, C.A.; Sopasakis, P.; Raisch, J.; Reincke-Collon, C.; Patrinos, P. Risk-averse model predictive operation control of islanded microgrids. arXiv, 2018; arXiv:1809.06062. [Google Scholar]
- Yanan, W.; Jiekang, W.; Mao, X. Intelligent scheduling optimization of seasonal CCHP system using rolling horizon hybrid optimization algorithm and matrix model framework. IEEE Access 2018, 6, 75132–75142. [Google Scholar] [CrossRef]
- Kayalvizhi, S.; Kumar, D.M.V. Load frequency control of an isolated microgrid using fuzzy adaptive model predictive control. IEEE Access 2017, 5, 16241–16251. [Google Scholar] [CrossRef]
- Wang, H.; Yang, J.; Chen, Z.; Ge, W.; Ma, Y.; Xing, Z.; Yang, L. Model predictive control of PMSG-based wind turbines for frequency regulation in an isolated grid. IEEE Trans. Ind. Appl. 2018, 54, 3077–3089. [Google Scholar] [CrossRef]
- Nguyen, T.T.; Yoo, H.J.; Kim, H.M. Analyzing the impacts of system parameters on MPC-based frequency control for a stand-alone microgrid. Energies 2017, 10, 417. [Google Scholar] [CrossRef]
- Monje, C.A.; Chen, Y.Q.; Vinagre, B.M.; Xue, D.; Feliu-Batlle, V. Fractional-Order Systems and Controls: Fundamentals and Applications; Springer Science & Business Media: New York, NY, USA, 2010. [Google Scholar]
- Ren, H.P.; Fan, J.T.; Kaynak, O. Optimal design of a fractional order PID controller for a pneumatic position servo system. IEEE Trans. Ind. Electron. 2018. [Google Scholar] [CrossRef]
- Liu, W.; Bian, G.B.; Rahman, M.R.U.; Zhang, H.; Chen, H.; Wu, W. Fractional-order PID servo control based on decoupled visual model. Int. J. Adapt. Control Signal Process. 2018. [Google Scholar] [CrossRef]
- Radac, M.B.; Precup, R.E. Data-driven MIMO model-free reference tracking control with nonlinear state-feedback and fractional order controllers. Appl. Soft Comput. 2018, 73, 992–1003. [Google Scholar] [CrossRef]
- Zhou, K.; Tai, Y.; Chen, N. Fractional order PID control of two-wheel electric balance vehicle. In Proceedings of the 2018 Chinese Control and Decision Conference (CCDC), Shenyang, China, 9–11 June 2018; pp. 878–882. [Google Scholar]
- Saleem, A.; Soliman, H.; Al-Ratrout, S.; Mesbah, M. Design of a fractional order PID controller with application to an induction motor drive. Turk. J. Electr. Eng. Comput. Sci. 2018, 26, 2768–2778. [Google Scholar] [CrossRef]
- Yang, B.; Yu, T.; Shu, H.; Han, Y.; Cao, P.; Jiang, L. Adaptive fractional-order PID control of PMSG-based wind energy conversion system for MPPT using linear observers. Int. Trans. Electr. Energy Syst. 2018. [Google Scholar] [CrossRef]
- Zeng, G.Q.; Chen, J.; Dai, Y.X.; Li, L.M.; Zheng, C.W.; Chen, M.R. Design of fractional order PID controller for automatic regulator voltage system based on multi-objective extremal optimization. Neurocomputing 2015, 160, 173–184. [Google Scholar] [CrossRef]
- Çelik, V.; Özdemir, M.T. Effects of fractional-order PI controller on delay margin in single-area delayed load frequency control systems. J. Mod. Power Syst. Clean Energy 2018. [Google Scholar] [CrossRef]
- Mohammadikia, R.; Aliasghary, M. A fractional order fuzzy PID for load frequency control of four-area interconnected power system using biogeography-based optimization. Int. Trans. Electr. Energy Syst. 2018. [Google Scholar] [CrossRef]
- Wang, H.; Zeng, G.Q.; Dai, Y.X.; Bi, D.Q.; Sun, J.L.; Xie, X.Q. Design of fractional order frequency PID controller for an islanded microgrid: A multi-objective extremal optimization method. Energies 2017, 10, 1502. [Google Scholar] [CrossRef]
- Romero, M.; Mañoso, C.; Ángel, P.; Vinagre, B.M. Fractional-order generalized predictive control: Formulation and some properties. In Proceedings of the 11th International Conference on Control Automation Robotics & Vision (ICARCV), Singapore, 7–10 December 2010; pp. 1495–1500. [Google Scholar]
- Romero, M.; de Madrid, A.P.; Mañoso, C.; Milanés, V.; Vinagre, B.M. Fractional-order generalized predictive control: Application for low-speed control of gasoline-propelled cars. Math. Probl. Eng. 2013, 2013, 895640. [Google Scholar] [CrossRef]
- Bigdeli, N. The design of a non-minimal state space fractional-order predictive functional controller for fractional systems of arbitrary order. J. Process Control 2015, 29, 45–56. [Google Scholar] [CrossRef]
- Sopasakis, P.; Ntouskas, S.; Sarimveis, H. Robust model predictive control for discrete-time fractional-order systems. In Proceedings of the 23th Mediterranean Conference on Control and Automation (MED), Torremolinos, Spain, 16–19 June 2015; pp. 384–389. [Google Scholar]
- Sopasakis, P.; Sarimveis, H. Stabilising model predictive control for discrete-time fractional-order systems. Automatica 2017, 75, 24–31. [Google Scholar] [CrossRef]
- Zhang, R.; Zou, Q.; Cao, Z.; Gao, F. Design of fractional order modeling based extended non-minimal state space MPC for temperature in an industrial electric heating furnace. J. Process Control 2017, 56, 13–22. [Google Scholar] [CrossRef]
- Sanatizadeh, M.; Bigdeli, N. The design of a coprime-factorized predictive functional controller for unstable fractional order systems. Asian J. Control 2019. [Google Scholar] [CrossRef]
- Ntouskas, S.; Sarimveis, H.; Sopasakis, P. Model predictive control for offset-free reference tracking of fractional order systems. Control Eng. Pract. 2018, 71, 26–33. [Google Scholar] [CrossRef]
- Romero, M.; Madrid, A.P.; Vinagre, B.M. Arbitrary real-order cost functions for signals and systems. Signal Process. 2011, 91, 372–378. [Google Scholar] [CrossRef]
- Das, S.; Pan, I.; Halder, K.; Das, S.; Gupta, A. LQR based improved discrete PID controller design via optimum selection of weighting matrices using fractional order integral performance index. Appl. Math. Model. 2013, 37, 4253–4268. [Google Scholar] [CrossRef]
- Zou, Q.; Jin, Q.; Zhang, R. Design of fractional order predictive functional control for fractional industrial processes. Chemom. Intell. Lab. Syst. 2016, 152, 34–41. [Google Scholar] [CrossRef]
- Bevrani, H. Robust Power System Frequency Control, 2nd ed.; Springer: Gewerbestrasse, Switzerland, 2014. [Google Scholar]
© 2018 by the authors. Licensee MDPI, Basel, Switzerland. This article is an open access article distributed under the terms and conditions of the Creative Commons Attribution (CC BY) license (http://creativecommons.org/licenses/by/4.0/).