Investigating the Dehumidification Characteristics of Turbine Stator Cascades with Parallel Channels
Abstract
:1. Introduction
2. Model Building
2.1. Mechanism of Wetness Losses
2.2. Governing Equations
3. Numerical Method
4. Physical Model Description
4.1. Validation
4.2. Physical Model and Experimental Method
5. Results and Discussion
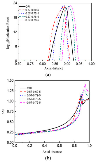
5.1. Effect of the Location of Suction Surface (D point) on Condensation Flow
5.2. Effect of the Location of Pressure Surface (C Point) on Condensation Flow
5.3. Effect of Parallel Channel Width on Condensate Flow
5.4. Performance Comparison of Modified Cases
6. Conclusions
- (1)
- The location of the suction surface (D point) can significantly affect the distribution of steam nucleation rate and Mach number. The closer the D point is to the trailing edge of the cascade, the more prominently the steam nucleation is delayed, the smaller the average wetness at the cascade outlet is, and the better the dehumidification performance of the cascade is.
- (2)
- The location of the pressure surface (C point) has little effect on the distribution of steam nucleation rate and Mach number. The location of C point causes no significant difference in the average wetness of cascade outlet, indicating that it has little effect on cascade dehumidification performance.
- (3)
- It is necessary to choose suitable widths for parallel channels. A small parallel channel width corresponds to weak condensation shock intensity and poor dehumidification characteristics, while a large parallel channel width is associated with strong condensation shock intensity and better dehumidification characteristics. Considering the comprehensive performance of the cascade, it is suggested that the parallel channel width should be between 3 and 5 mm.
Author Contributions
Funding
Acknowledgments
Conflicts of Interest
Nomenclature
| δhx | wetness loss |
| xm | mean dry degree |
| Δhi | effective enthalpy drop (kJ·kg–1) |
| e | energy density, (kJ·kg–1·m–3) |
| FD | viscous resistance (N) |
| ht | total enthalpy (kJ·kg–1) |
| hfg | condensation latent heat (kJ·kg–1) |
| J | nucleation rate (m3·s)–1 |
| k | Boltzmann constant |
| Kn | Knudsen number |
| m | single molecular mass (kg) |
| mass generation rate (kg·s–1) | |
| Ma | Mach number |
| N | amount of droplets (m–3) |
| p | pressure (Pa) |
| Prg | Prandtl number |
| qc | condensation coefficient |
| r | droplet radius (m) |
| rc | critical droplet radius (m) |
| R | gas constant (J·(kg·K)–1) |
| S | supersaturation ratio |
| TS | saturation temperature |
| γ | gas adiabatic constant |
| φ(P) | correction coefficient of droplet growth model |
| T | temperature (K) |
| ΔT | degree of supercooling (K) |
| u | velocity component (m·s–1) |
| Y | wetness |
| σ | liquid surface tension (N·m–1) |
| λg | thermal conductivity of gas (W·(m·K)–1) |
| δ | semi-empirical correction coefficient |
| ρ | density (kg·m–3) |
| Subscript | |
| g | gas |
| d | liquid |
References
- Su, B.; Han, W.; Jin, H. An innovative solar-powered absorption refrigeration system combined with liquid desiccant dehumidification for cooling and water. Energy Convers. Manag. 2017, 153, 515–525. [Google Scholar] [CrossRef]
- Wen, T.; Lu, L.; Zhong, H. Investigation on the dehumidification performance of LiCl/H2O-MWNTs nanofluid in a falling film dehumidifier. Build. Environ. 2018, 139, 8–16. [Google Scholar] [CrossRef]
- Wen, T.; Lu, L.; Dong, C. Development and experimental study of a novel plate dehumidifier made of anodized aluminum. Energy 2018, 144, 169–177. [Google Scholar] [CrossRef]
- Yang, Y.; Walther, J.H.; Yan, Y.; Wen, C. CFD modelling of condensation process of water vapor in supersonic flows. Appl. Therm. Eng. 2017, 115, 1357–1362. [Google Scholar] [CrossRef]
- Kantrowitz, A. Nucleation in very rapid vapor expansions. J. Chem. Phys. 1951, 19, 1097–1100. [Google Scholar] [CrossRef]
- Courtney, W.G. Remarks on homogeneous nucleation. J. Chem. Phys. 1961, 35, 2249–2250. [Google Scholar] [CrossRef]
- Afzalifar, A.; Turunen-Saaresti, T.; Grönman, A. Origin of droplet size underprediction in modeling of low pressure nucleating flows of steam. Int. J. Multiph. Flow 2016, 86, 86–98. [Google Scholar] [CrossRef]
- Gyarmathy, G. The spherical droplet in gaseous carrier streams: Review and synthesis. Multiph. Sci. Technol. 1982, 1, 99–279. [Google Scholar] [CrossRef]
- Hill, P.G. Condensation of water vapour during supersonic expansion in nozzles. J. Fluid Mech. 1966, 25, 593–620. [Google Scholar] [CrossRef]
- Young, J.B. The spontaneous condensation of steam in supersonic nozzle. Phys. Chem. Hydrodyn. 1982, 3, 57–82. [Google Scholar]
- White, A.J.; Young, J.B.; Walters, P.T. Experimental validation of condensing flow theory for a stationary cascade of steam turbine blades. Philos. Trans. R. Soc. Lond. 1996, 354, 59–88. [Google Scholar] [CrossRef]
- Bakhtar, F.; Young, J.B.; White, A.J.; Simpson, D.A. Classical nucleation theory and its application to condensing steam flow calculations. Proc. Inst. Mech. Eng. C J. Mech. Eng. Sci. 2005, 219, 1315–1333. [Google Scholar] [CrossRef]
- Dykas, S.; Majkut, M.; Smołka, K. Study of the wet steam flow in the blade tip rotor linear blade cascade. Int. J. Heat Mass Transf. 2018, 120, 9–17. [Google Scholar] [CrossRef]
- Hoznedl, M.; Kolovratník, M.; Bartoš, O. Experimental research on the flow at the last stage of a 1090 MW steam turbine. J. Power Energy 2018. [Google Scholar] [CrossRef]
- Starzmann, J.; Casey, M.M.; Mayer, J.F. Wetness loss prediction for a low pressure steam turbine using computational fluid dynamics. J. Power Energy 2014, 228, 216–231. [Google Scholar] [CrossRef]
- Harris, F.R. Sghwr: Steam turbine for the 100 mw(e) prototype. Nucl. Eng. 1967, 12. Available online: https://www.osti.gov/biblio/4363266 (accessed on 4 August 2018).
- Li, L.; Du, C.; Fan, X.; Zhong, G. Optimisation of a low-pressure multistage steam turbine towards decreasing the wetness losses and aerodynamic losses. Proc. Inst. Mech. Eng. Part A-J. Power Energy 2016, 230, 51–54. [Google Scholar] [CrossRef]
- Noori Rahim Abadi, S.M.A.; Abadi, S.M.N.R.; Meyer, J.P. CFD-based shape optimization of steam turbine blade cascade in transonic two phase flows. Appl. Therm. Eng. 2017, 112, 1575–1589. [Google Scholar] [CrossRef]
- Gribin, V.; Tishchenko, A.; Tishchenko, V.; Gavrilov, I.; Khomiakov, S.; Popov, V. An experimental study of influence of the steam injection on the profile surface on the turbine nozzle cascade performance. In Proceedings of the ASME Turbo Expo 2014: Turbine Technical Conference and Exposition, Düsseldorf, Germany, 16–20 June 2014. [Google Scholar] [CrossRef]
- Mirhoseini, M.S.; Boroomand, M. Multi-objective optimization of hot steam injection variables to control wetness parameters of steam flow within nozzles. Energy 2017, 141, 1027–1037. [Google Scholar] [CrossRef]
- Mirhoseini, M.S.; Boroomand, M. Control of wetness fraction and liquid droplet size in wet steam two phase flows with hot steam injection. Meccanica 2017, 53, 1–15. [Google Scholar] [CrossRef]
- Vatanmakan, M.; Lakzian, E.; Mahpeykar, M.R. Investigating the entropy generation in condensing steam flow in turbine blades with volumetric heating. Energy 2018, 147, 701–714. [Google Scholar] [CrossRef]
- Zhang, G.; Wang, L.; Zhang, S. Effect evaluation of a novel dehumidification structure based on the modified model. Energy Convers. Manag. 2018, 159, 65–75. [Google Scholar] [CrossRef]
- Esfe, H.B.; Kermani, M.J.; Avval, M.S. Effects of surface roughness on deviation angle and performance losses in wet steam turbines. Appl. Therm. Eng. 2015, 90, 158–173. [Google Scholar] [CrossRef]
- Moore, M.J.; Sieverding, C.H. Two-Phase Steam Flow in Turbines and Separators: Theory, Instrumentation, Engineering; Hemisphere Publishing Corporation: Washington, DC, USA, 1976. [Google Scholar]
- Moore, M.J.; Sieverding, C.H. Aerothermodynamics of Low Pressure Steam Turbines and Condensers; Hemisphere Publishing Corporation: Washington, DC, USA, 1987; pp. 12–14. [Google Scholar]
- Wölk, J.; Strey, R.; Heath, C.H.; Wyslouzil, B.E. Empirical function for homogeneous water nucleation rates. J. Chem. Phys. 2002, 117, 4954–4960. [Google Scholar] [CrossRef]
- Young, J.B. Two-Dimensional, Nonequilibrium, Wet-Steam Calculations for Nozzles and Turbine Cascades. J. Turbomach. 1992, 114, 569–579. [Google Scholar] [CrossRef]
- Chandler, K.; White, A.; Young, J. Non-equilibrium wet-steam calculations of unsteady low-pressure turbine flows. J. Power Energy 2014, 228, 143–152. [Google Scholar] [CrossRef]
- White, A.J. A comparison of modeling methods for polydispersed wet-steam flow. Int. J. Numer. Meth. Eng. 2003, 57, 819–834. [Google Scholar] [CrossRef]
- White, A.J.; Hounslow, M.J. Modelling droplet size distributions in polydispersed wet-steam flows. Int. J. Heat Mass Trans. 2000, 43, 1873–1884. [Google Scholar] [CrossRef]
- Xu, H.; Zhonghe, H.; Wei, Z.; Jiangbo, Q. Coupled Model of Heat and Mass Balance for Droplet Growth in Wet Steam Non-Equilibrium Homogeneous Condensation Flow. Energies 2017, 12, 2033. [Google Scholar] [CrossRef]
- Roe, P.L. Characteristic-Based Schemes for the Euler Equations. Ann. Rev. Fluid Mech. 1986, 18, 337–365. [Google Scholar] [CrossRef]












| Case Number | Average Wetness of Cascade Outlet (%) | Wetness Losses (kJ/kg) | Total Pressure Loss Coefficient |
|---|---|---|---|
| ORI | 2.65 | 1.45 | 0.073 |
| 0.57-0.69-5 | 2.59 | 1.41 | 0.087 |
| 0.57-0.72-5 | 2.62 | 1.43 | 0.083 |
| 0.57-0.76-5 | 2.54 | 1.36 | 0.094 |
| 0.57-0.79-5 | 2.33 | 1.18 | 0.113 |
| Case Number | Average Wetness of Cascade Outlet (%) | Wetness Losses (kJ/kg) | Total Pressure Loss Coefficient |
|---|---|---|---|
| ORI | 2.65 | 1.45 | 0.073 |
| 0.45-0.79-5 | 2.40 | 1.24 | 0.104 |
| 0.57-0.79-5 | 2.33 | 1.18 | 0.113 |
| 0.68-0.79-5 | 2.42 | 1.26 | 0.114 |
| 0.77-0.79-5 | 2.37 | 1.22 | 0.119 |
| Case Number | Average Wetness of Cascade Outlet (%) | Wetness Losses (kJ/kg) | Total Pressure Loss Coefficient |
|---|---|---|---|
| ORI | 2.65 | 1.45 | 0.073 |
| 0.57-0.79-1 | 2.60 | 1.40 | 0.082 |
| 0.57-0.79-3 | 2.53 | 1.35 | 0.094 |
| 0.57-0.79-5 | 2.33 | 1.18 | 0.113 |
© 2018 by the authors. Licensee MDPI, Basel, Switzerland. This article is an open access article distributed under the terms and conditions of the Creative Commons Attribution (CC BY) license (http://creativecommons.org/licenses/by/4.0/).
Share and Cite
Han, Z.; Zeng, W.; Han, X.; Xiang, P. Investigating the Dehumidification Characteristics of Turbine Stator Cascades with Parallel Channels. Energies 2018, 11, 2306. https://doi.org/10.3390/en11092306
Han Z, Zeng W, Han X, Xiang P. Investigating the Dehumidification Characteristics of Turbine Stator Cascades with Parallel Channels. Energies. 2018; 11(9):2306. https://doi.org/10.3390/en11092306
Chicago/Turabian StyleHan, Zhonghe, Wei Zeng, Xu Han, and Peng Xiang. 2018. "Investigating the Dehumidification Characteristics of Turbine Stator Cascades with Parallel Channels" Energies 11, no. 9: 2306. https://doi.org/10.3390/en11092306
APA StyleHan, Z., Zeng, W., Han, X., & Xiang, P. (2018). Investigating the Dehumidification Characteristics of Turbine Stator Cascades with Parallel Channels. Energies, 11(9), 2306. https://doi.org/10.3390/en11092306

