Next Article in Journal
Current Signature and Vibration Analyses to Diagnose an In-Service Wind Turbine Drive Train
Previous Article in Journal
Wide-Area Measurement—Based Model-Free Approach for Online Power System Transient Stability Assessment
 
 
Font Type:
Arial Georgia Verdana
Font Size:
Aa Aa Aa
Line Spacing:
Column Width:
Background:
Article

Collaborative Optimal Pricing and Day-Ahead and Intra-Day Integrative Dispatch of the Active Distribution Network with Multi-Type Active Loads

1
State Key Laboratory of Advanced Electromagnetic Engineering and Technology, School of Electrical and Electronic Engineering, Huazhong University of Science and Technology, Wuhan 430074, China
2
Power Dispatching Control Center of Guangxi Power Grid, Nanning 530023, China
*
Author to whom correspondence should be addressed.
Energies 2018, 11(4), 959; https://doi.org/10.3390/en11040959
Submission received: 14 March 2018 / Revised: 10 April 2018 / Accepted: 15 April 2018 / Published: 17 April 2018
(This article belongs to the Section F: Electrical Engineering)

Abstract

In order to better handle the new features that emerge at both ends of supply and demand, new measures are constantly being introduced, such as demand-side management (DSM) and prediction of uncertain output and load. However, the existing DSM strategies, like real-time price (RTP), and dispatch methods are optimized separately, and response models of active loads, such as the interruptible load (IL), are still imperfect, which make it difficult for the active distribution network (ADN) to achieve global optimal operation. Therefore, to better manage active loads, the response characteristics including both the response time and the responsibility and compensation model of IL for cluster users, and the real-time demand response model for price based load, were analyzed and established. Then, a collaborative optimization strategy of RTP and optimal dispatch of ADN was proposed, which can realize an economical operation based on mutual benefit and win-win mode of supply and demand sides. Finally, the day-ahead and intra-day integrative dispatch model using different time-scale prediction data was established, which can achieve longer-term optimization while reducing the impact of prediction errors on the dispatch results. With numerical simulations, the effectiveness and superiority of the proposed strategy were verified.

1. Introduction

Due to the restriction of resources and the environment and the continuous change in the type of load, the construction of a smart grid is steadily advancing in order to ensure the sustainability of resources and the environment and improve the efficiency and reliability of energy utilization, gradually changing the structure and operation status of traditional distribution networks. At the same time, the continuous connection of intermittent distributed renewable energy sources such as photovoltaic and wind power, the arrangement of energy storage devices, and combined heating and power micro-turbines, as well as the increase of observability and controllability of loads greatly enriched the means of control and the modes of operation while increasing the complexity of the distribution network, resulting in the control strategy and method of traditional distribution network appearing to become stretched. Therefore, the concept of the active distribution network coordinating the operation of distributed generation, active load and energy storage came into being [1]. However, due to the complexity of the renewable energy output characteristics, the different types of energy storage units and controllable load, as well as the continuous development and changes of the power grid architecture and operation control strategies, the optimization operation of the distribution network has become more and more complicated and is attracting increasing attention [2,3,4,5].
For the three major components of the active distribution network (ADN), such as source, storage, and load, the research on the modeling and application of conventional distributed generations and energy storages in active the distribution network is relatively mature [6,7,8,9]. However, the connection of intermittent renewable energy brings new challenges to the operation of ADN. In order to deal with the uncertainty brought about by the supply side, the concept of demand-side management (DSM) was proposed, which targets the alteration of the consumer’s demand profile, in time and/or shape, to match the supply [10,11,12]. Generally, by the motivation method offered to customers, demand response programs (DRPs), as one of the main DSM activities, can be divided into two main categories: price based and incentive based programs. For the application of DPRs, the formulation of incentive measures and the modeling of user’s response to incentive are two important foundations. Then the optimal control of the grid based on DPRs can be implemented to achieve minimization of electricity cost, maximization of social welfare, minimization of aggregated power consumption or other goals. For example, a smart residential energy scheduling system has been designed to minimize residential electricity cost under different pricing schemes in [13]. A demand response repeated game has been proposed to achieve higher efficiency in reducing peak load demand and users’ cost compared with the one-shot game in [14]. Considering that the energy prices and the demand of appliances are unknown ahead of time, an online load scheduling learning algorithm has been proposed to reduce the expected cost of users and the peak-to-average ratio in the aggregate load [15]. Although many methods and models have been proposed for these two problems, most of them are based on their applications in traditional distribution networks. When the applied scenario becomes an ADN, related methods and models still need to be improved to make full use of them in optimal dispatch, such as the real-time pricing model and the user response model of interruptible load (IL) [16,17].
At present, the mainstream real-time price model based on the optimal power flow uses the marginal cost theory to calculate the real-time price [18], and the node electricity price represented by the electricity market of United States is determined by the model. Maximizing the total utility of users and energy providers is another important real-time pricing strategy. Quadratic user utility functions and power cost functions have been established in [19,20], with the objective of maximizing the utility of all uses and minimizing the cost of energy providers. Because energy providers and users are not a unified whole, researchers began to analyze the real-time price from a game perspective in order to better balance the interests of all entities [16,21]. A Stackelberg game model has been established to describe the interaction between multiple energy providers and multiple users in [21], in order to maximize the revenue of each utility company and the payoff of each user by setting a suitable price. However, the existing RTP models pay more attention to the pricing mechanism itself. The change of the load curve caused by the user’s response to the operation mode and operating cost of the power grid is not reflected in these models. Only from the perspective of pricing, can the above researchers get a real-time price strategy under different scenarios, but it is difficult to achieve a global optimal economy from the operational point of view because the subsequent operation problems are not considered.
In addition, the current IL protocols are mostly deterministic protocols that can only be engaged by specific types of industrial users and cannot fully tap into the regulatory potential of different types of users. In fact, with the increase of residential electricity consumption and the increase of load with energy storage characteristic such as electric vehicles, there is also a wide range of IL resources. In order to better manage the IL, different demand response models have been established, such as model price elasticity [22] and user behavior [23]. In [24], the customer baseline load estimated based on historical load data is used to parameterize the type of customer in the designed IL management. However, these models only consider the user’s response probability to the incentives, and the response time characteristics are not properly modeled. With the gradual popularization of smart meters and smart appliances, it has been possible to monitor and control electrical equipment remotely [25,26]. The smart power technology lays the foundation for small business users and even home users to participate in IL protocols. For example, a real-time demand response potential evaluation method has been proposed which is purely driven by smart meter data in [27]. Therefore, with the development of smart meters, the response characteristics of IL can be better modeled. However, until now few studies have established an accurate model to consider various aspects of the cluster users’ response characteristics and their impact on the optimal dispatch of ADN.
In the aspect of optimal dispatch of ADN, the traditional method has been challenged due to the increase of uncertainty at the supply side and the original existence at the demand side. In order to deal with these uncertainties, different scheduling methods have been proposed, such as chance-constrained dispatch models, increasing reserve capacity, and stochastic scenario simulation methods. A model for optimizing multiple scenarios generated based on probability is proposed in [28] for active distribution systems expansion planning, incorporating distributed generation and load response uncertainties. Ref. [29] presents a model for calculating the optimal size of an energy storage system (ESS) in a microgrid considering reliability criterion. In ref. [30], the uncertainties both of the demand side and the supply side are considered in the optimal operation scheduling of a comprehensive distributed energy resources system. On the other hand, with the development of renewable energy output forecasting technology, the convenience of dispatch is also significantly increased. For, example, forecasting technologies of different time windows have been widely used in wind farms and photovoltaic power plants. Predicted values of load demand and renewable energy generation are used in the optimal power scheduling for smart grids in [31,32]. With the development of advanced metering infrastructures (AMIs), the load forecast becomes more accurate. In general, the predictions closer to the current time are relatively more accurate [33]. Therefore, the use of predicted data of different durations to establish coordinated scheduling models at different time scales is a very effective method to reduce the impact of uncertainty on scheduling results [2,34]. However, with the increase of multi-type active loads and the addition of energy storage, how to establish an effective multi-time scale coordinated scheduling model still needs to be studied.
In [35], the authors attempt to iteratively optimize generation scheduling and electricity pricing, but focus on the analysis of the user response model with time-of-use (TOU) price, using only simple generation cost and no detailed scheduling model of other important components in the ADN. Therefore, this paper attempts to integrate the real-time price with the source-storage-load coordination dispatch of the ADN, and realize the economic operation of the whole network while using the real-time price to guide the user’s electricity consumption. Taking into account the above issues, this paper proposes a day-ahead and intra-day integrative dispatch model for ADN combined with real-time pricing. First, the response time characteristic of cluster users participated in IL protocols is analyzed and the compensation measures considering both responsivity and response time is put forward thereby. With the response model of real-time price, multi-type active loads models are established. Second, the mixed integer nonlinear programming (MINLP) model of day-ahead and intra-day integrated dispatch considering the source, storage and load characteristics of ADN is established using the multi-time scale moving horizon optimization method based on model predictive control (MPC), taking into account both the operating costs of the distribution system operator (DSO) and users’ benefits. Finally, the real-time pricing and optimal dispatch of ADN are combined in the integrated optimization, and the optimal real-time price and economy operation of ADN are obtained.
The main contributions of this paper can be summarized in the following:
  • Response models of multi-type active loads are established, especially the responsivity and response time model of IL and the compensation strategy.
  • The day-ahead and intra-day integrated dispatch model considering the source, storage, and load characteristics of ADN is established using the multi time scale moving horizon optimization method based on MPC.
  • The real-time pricing and optimal dispatch of ADN are combined in the integrated optimization, in order to give full play to the guiding role of real-time price to users and realize global economy operation.
The rest of the paper is organized as follows. In Section 2, the model of operation and cost of active loads, micro-turbines, renewable energy and energy storage are established. The day-ahead and intra-day integrated dispatch model with multi-type active loads, micro-turbines, renewable energy, and energy storage participation is established in Section 3. Section 4 presents case studies and the results are obtained, and finally, Section 5 draws the final conclusions and discussion.

2. Source, Storage, and Load Models of the Active Distribution Network

Micro-turbines, energy storage devices, and active loads are the main control objects in the operation of ADN. Therefore, their operation and cost models are the basis for developing a source-storage-load coordinated control strategy for ADN, and they are modeled separately below.

2.1. Models of Active Load

According to the study of the US Department of Energy (DOE), demand response (DR) strategies in the electricity market are divided into two types according to different responses of users: price-based DR and incentive-based DR. Real-time price and IL protocol are the most important of these two measures and have the most potential for development. Establishing accurate user response models are of great importance to better exert the effect of demand response and then to develop better demand response strategies. Therefore, user response models for both DRs are first established.

2.1.1. User Response Model to Real-Time Price

The user’s response to the electricity price can be described by the price elasticity of demand [36]. User’s response to the current price change can be described as self-elasticity, and to the price change in other periods as cross-elasticity. Self-elasticity and cross-elasticity are defined as Equations (1) and (2), respectively.
ε i i = Δ d i / d i Δ p i / p i
ε i j = Δ d i / d i Δ p j / p j
where, εii is the self-elasticity of period i; εij is the cross-elasticity of period i to j, Δdi is the change of demand during period i, di is the initial demand of period i, Δpi and Δpj are the electricity price changes in periods i and j, respectively; pi and pj are the initial electricity price of period i and period j, respectively.
Based on the definitions above, the relationship between the changes of demand and the changes of electricity price in n periods of a day can be expressed as Equation (3).
Δ d = E Δ p
Δ d = [ Δ d 1 / d 1 , Δ d 2 / d 2 , , Δ d n / d n ] T
Δ p = [ Δ p 1 / p 1 , Δ p 2 / p 2 , , Δ p n / p n ] T
E = [ ε 11 ε 12 ε 1 n ε 21 ε 22 ε 2 n ε n 1 ε n 2 ε n n ]
where, Δd is the demand change vector, Δp is the electricity price change vector, E is the elasticity matrix.
Based on the load forecasting information of each load node and Equation (3), the actual load of each load node under real-time the electricity price can be calculated. At present, load forecasting is mostly for a certain distribution area, reflecting the load change of the entire area. It is difficult to obtain load forecasting data for each node of a distribution network. However, with the development of smart meters, grid operators can obtain user’s electricity consumption in real time, which provides the necessary data foundation to analyze the user’s habit and makes it possible to forecast electricity consumption by nodes.

2.1.2. User Response Model and Compensation Strategy of Interruptible Load

Traditional IL projects are often provided for industrial or commercial users with more than a certain capacity. However, with the development of smart grids, especially smart measurement technologies, small users, such as residential users, have taken a lot of development to participate in demand-side bidding after packaging [37]. As for the diversity of cluster users, they are often in different states when dispatch instructions are issued, making it difficult to cut off all the load agreed at the designated moment. Therefore, such IL protocols need to be set to be more relaxed, enabling users not to cut off all the load immediately [38]. This will lead to the position that the time characteristics of their response are very important for the accuracy of grid operation and dispatching, however there is little relevant literature to study or discuss that. For this type of IL, it is assumed in this paper that its response characteristic is shown as in Figure 1. At time ts, when a dispatch instruction for cutting off Pil of IL is issued, Pr load is cut off immediately, but the remaining load will be gradually cut off within tr period due to the different states that they are in until the all cut off at time te. In the actual situation, some users are sensitive to compensation, and part of their appliances can be turned off at any time. This part of the load will immediately respond to dispatch instructions. Some other users are not sensitive to compensation, or some of the appliances cannot be immediately shut down. This part of the load will respond to the dispatch instructions according to the actual situation. In other words, it takes a process for clustered users to cut off all IL agreed, instead of treating it as a 0, 1 variable in many dispatch models. Because there is no real data to follow, the characteristic of cutting off in tr period is hard to be described accurately. In order to reasonably take the time response characteristics of IL into account, line (curve 1), concave parabola (curve 2) and convex parabola (curve 3) models were constructed as shown in Figure 1, respectively.
As shown in Figure 1, instant response responsibility α is defined as the ratio of the instant response Pr to the agreed response Pil, and the response time tr is defined as the period from the instruction release time ts to the complete response time te.
α = P r / P i l
t r = t e t s
With the installation of smart meters and the acquisition of real-time electricity data, the accurate response model of cluster users can be gradually improved based on the data analysis methods of big data analysis and machine learning. The three models constructed in this paper can be used to characterize the three basic modes of cutting off, such as constant rate cutting off (curve 1), accelerated cutting off (curve 2), and decelerated cutting off (curve 3). Although the actual characteristics may be multiple combinations of the three modes, this paper attempts to theoretically analyze the application of the cluster users’ response time and responsibility in dispatching; the basic modes are feasible to some extent.
Different from traditional IL protocols of which the amount of interruption and interrupt time are completely determined, it is required to consider the instant response responsibility and response time besides the amount of interruption and interrupt time when developing compensation costs for such IL, in order to encourage users to cut off the load timely at the specified moment. For example, the lower the instant response responsibility and the longer the response time, the less the compensation costs that will be given. When attracting active loads that do not have an instant cut-off capability to participate in the grid operation, it is required to ensure adequate responsivity and response time. Based on the above considerations, the compensation coefficient of IL proposed in this paper is defined as Equation (9).
θ = f ( α , t r ) = α × θ 0 + ( 1 α ) × ( 1 t r t r , 0 ) × θ 0
where, tr,0 and θ0 are the reference values of response time and compensation coefficient, respectively.
The compensation coefficient is composed of two parts. The load of instant response is compensated according to the reference compensation coefficient, and the response of the delayed response is compensated according to the response time. In the dispatch model constructed later, the compensation coefficient above is used to calculate the compensation cost of the DSO to the IL users. In order to attract more users to participate in such protocols, in the numerical simulations the compensation coefficient reference value is set as 1.6 compared to the commonly used 1.2, and the response time reference value is set as 1 h. The actual protocol can be adjusted based on user participation.

2.2. Model of Sources

2.2.1. Operation and Cost Model of the Micro-Turbine

Due to the low efficiency of power generation, micro-turbines usually operate in a combined heating and power (CHP) mode. Also, there are two operation strategies for the CHP micro-turbine: thermal load domain mode and electric load domain mode. In the electric load domain mode, a constant thermal load price is used in this paper to calculate the profit of the micro-turbine for selling heat. Because we focus on electricity dispatch, the demand and balance of heat load are not taken into account. Also, the micro-turbine is not the main heating unit. In the thermal load domain mode, a variable heat load price is set to reflect the heat demand, and then the heat gains are calculated. Under different modes, the operating cost and profit calculation formula of the micro-turbine is the same. The operation cost F M T t is made up of several parts: the loss cost of start-stop, the cost of fuel consumption, the abatement cost of emission, and the benefit of cogeneration, as shown in Equation (10) [39].
F M T t = ( s w M T , o n t × d M T , o n + s w M T , o f f t × d M T , o f f ) + u M T t × f M T ( P M T t , Δ T ) + u M T t × h M T ( P M T t , Δ T ) u M T t × l M T ( P M T t , Δ T )  
where, Δ T is the control step; s w M T , o n t and s w M T , o f f t are the star-stop state transition variables of micro-turbine, respectively, s w M T , o n t = 1 indicates the start operation and s w M T , o f f t =   1 indicates the stop operation; d M T , o n and d M T , o f f are the costs of start and stop, respectively; u M T t is the start-stop state variable of micro-turbine, 1 indicates operating state and 0 indicates stop state; P M T t is the power output of the micro-turbine; f M T is the generation cost function; h M T is the emission abatement cost function and l M T is the benefit function of cogeneration.
Common cost account methods and operating constraints (mainly including the limit of micro-turbine unit output limit, output ramp rate constraints, minimum start-stop time constraints, and start-stop logic constraints) are adopted in this paper. Detailed models and parameters can be found in [39].

2.2.2. Model of Renewable Energy

The output of renewable energy resources, such as wind and photovoltaic power, is intermittent and fluctuant, which is related to wind speed, solar radiation, and the characteristics of the generators [40]. Therefore, the forecast of renewable energy resources output has become basic work for their utilization. Many models and algorithms have been used to predict wind power output for different timescales [41]. The relevant commercial software has been able to achieve high prediction accuracy in wind power short-term forecast, ultra-short term forecast, etc., for example, the accuracy of short-term forecast can reach 80% (root mean square error, RMSE), and ultra-short term forecast accuracy can reach 90% [33]. In general, the predictions closer to the current time are relatively more accurate. Considering this, the short-term and ultra-short term forecasts of wind power are both used in establishing the day-ahead and intra-day dispatch models respectively to reduce the impact of prediction errors on the scheduling results. In addition, the moving horizon optimization method is used in the intra-day dispatch. The remaining errors are considered to be balanced by the input power from PCC (point of common coupling) and the AGC (Automatic Generation Control) of conventional generators.
Specific wind power and photovoltaic power generation models can be found in [40]. In order to maximize the use of renewable energy, many current practices treat it as a negative load and completely eliminate it without control [2,32]. Therefore, this paper only considered the fluctuation of new energy output represented by wind power, without considering the cost and the control of its output.

2.3. Operation and Cost Model of Energy Storage Device

Life damage caused by charge and discharge is the main consideration of the operation cost of lithium batteries and other electrochemical energy storage devices. Life damage has relationship with charge and discharge frequency, depth and other factors [42], and the cost of battery life damage in the t-th dispatch period is shown as Equation (11):
F E S t = | S E S t S E S t 1 | C B 2 N 0 S r a t e d
where, C B is the energy storage price, S r a t e d is the rated capacity of the energy storage, N 0 is the total cycle life of the energy storage, S E S t , S E S t 1 are states of charge (SOC) of the end of the current and last period.
The upper and lower bounds of the charge and discharge power of the energy storage device, the SOC constraints, and the logic constraints of charge and discharge also use the common form, and detailed models and parameters can be found in [42].

3. Day-Ahead and Intra-Day Integrative Dispatch Strategy of ADN with Multi-Type Active Loads

The control objects of the optimal dispatch of ADN in this paper include micro-turbines, energy storage devices, and active loads. The integrative dispatch strategy contains two time scales: day-ahead dispatch and intra-day dispatch, and typical dispatch time scale and step are adopted. The dispatch time scale and step of day-ahead dispatch are 24 h and 1 h respectively, while they are 4 h and 15 min for intra-day dispatch. With short-term renewable energy and load forecasting, the distribution network operation mode and real-time prices of the next day are optimized, and the optimal objective is the overall benefit of both the DSO and users. In the intra-day dispatch, with more accurate ultra-short-term renewable energy and load forecasting, the output power of the control objects are adjusted to minimize the operating cost of the DSO using an MPC algorithm, while user response model and compensation strategy of IL is taken into account. At present, algorithms for short-term forecast and ultra-short term of load and renewable energy are mature enough and will not be repeated here. Day-ahead and intra-day integrative dispatch architecture of ADN is shown in Figure 2:
The dispatch model of day-ahead and intra-day can be expressed as the mathematical model shown in Equation (12)
max f ( P , p , s w , u ) s . t { h ( P , p , s w , u ) = 0 g _ g ( P , p , s w , u ) g ¯ P , p R ; s w , u { 0 , 1 }
where, f(P, p, sw, u) is the objective function; h(P, p, sw, u) and g(P, p, sw, u) are the system’s equality constraints and inequality constraints respectively; P, p, sw, and u are the power variable, electricity price variable, state transition variable, and state variable, respectively.
The composition and logical relations of optimization variables, constraints, and the objective functions are shown in Figure 3.

3.1. Day-Ahead Economic Dispatch Model

In the day-ahead optimal dispatch model, both the real-time prices and operating status of each device are optimization variables. The real-time price no longer only reflects the supply and demand status of the current period, but also acts as an important control measure for the grid operation like other operating control variables, and guides the load curve to a suitable state in order to achieve the optimal global economy. The goal of day-ahead dispatch is to maximize the total benefit for both the user and the DSO on a day-long time scale. The objective function is shown as Equation (13).
f ( P , p , s w , u ) = f 1 ( P , p , s w , u ) + f 2 ( p , d )
f 1 ( P , p , s w , u ) = p × d C ( P , p , s w , u )
f 2 ( p , d ) = U ( p , d ) p × d
where, f(P, p, sw, u) is the objective function of day-ahead dispatch; f1(P, p, sw, u) is the DSO benefit, which is composed of electricity fee income p * d and ADN operating cost C(P, p, sw, u); f2(p, d) is the user benefit, which is composed of user utility U(p, d) and electricity expenditure p * d; d is the load demand.
From Equations (14) and (15), we can see that the electricity fee income is the electricity expenditure of the user, and the overall benefit depends on user utility and grid operating cost, which has no direct relationship with the electricity fee p * d. However, changes in prices and loads will indirectly affect user utility and the grid operating cost, thus affecting overall profitability.
For electricity users, in the existing real-time price model, the utility of users is usually measured by the utility function in economic theory. According to economic theory, there are many different kinds of utility functions in the commodity market. The response behavior of electricity users can be expressed by the model of the utility function. The quadratic form in Equation (16) is most commonly used [19].
U ( p , d ) = { ω × d γ 2 d 2 , 0 d ω γ ω γ , d > ω γ
where, γ is the preset constant, which characterizes the user’s response sensitivity to the price, which is usually taken as 0.5 [20]; d is the load demand of the user; ω is the user’s purchase intention parameter, and different users have different values at different times of a day. The value of user utility function can be obtained through market survey.
In terms of the distribution network, the operating cost is mainly composed of the power generation cost and the power distribution cost, as shown in Equation (17). Of them, the power generation cost is the cost of purchasing electricity from the transmission network. To characterize the difference in power generation costs under different operating states, the power generation cost function of the typical synchronous generator is used, as shown in Equation (18). The distribution cost depends on the operation mode of the distribution network, mainly including distributed micro-turbine operating cost FMT, energy storage operating cost FES, and IL compensation cost FL, as shown in Equation (19).
C ( P , p , s w , u ) = F t + F d
F t = a × P t 2 + b × P t + c
F d = F M T + F E S + F L
From Equation (19), the distribution cost Fd depends on the load change of the power grid, while the load change of the grid is guided by the real-time price, and the real-time price is constrained by the grid operating cost. Therefore, the strategy proposed in this paper is the process of interaction between optimal operation of ADN and real-time pricing, which tends to be the best. In addition, the day-ahead dispatch must consider the basic power balance constraint.

3.2. Intra-Day Optimal Dispatch Model

The day-ahead economic dispatch initially determines the next day’s electricity price and grid operation mode. The focus of intra-day optimal dispatch lies in the real-time adjustment of power variables based on the ultra-short term renewable energy and load forecasting and the real-time operation status of ADN. The objective function is that the operation cost of the distribution network is the lowest, shown as Equation (20):
min C d = F t + F M T + F E S + F L
Due to that, the time scale of the MPC algorithm used by intra-day dispatch is 4 h, the SOC of the energy storage cannot account for the operating status and economy of the whole day. Therefore, it is necessary to add the SOC constraint in the constraints, shown as Equation (21):
0.8 × S E S a h e a d ( t ) S E S int r a ( t ) 1.2 × S E S a h e a d ( t )
where, S E S a h e a d and S E S int r a are the SOC of energy storage in day-ahead and intra-day dispatch respectively.
In addition, since only the power balance constraint is considered by day-ahead dispatch, voltage and flow limit problems may occur during the optimization process. Therefore, the power flow and voltage constraints should be considered during the intra-day dispatch. During the flow calculation, the real-time power of the grid will include the power loss of the network, that is, the power generated is the sum of the load power and the network loss power. Therefore, although the objective function does not include the loss item, the loss will be indirectly included in the operation cost of the grid. In order to reduce the impact of uncertainties in the renewable energy and load forecasting, moving horizon optimization strategy based on MPC is adopted for intra-day optimal dispatch of ADN.

3.3. Model Soving Approach

Day-ahead and intra-day integrative optimization dispatch model in this paper is a nonlinear mixed integer programming problem (MINLP). The objective of day-ahead dispatch is to maximize the overall benefits of the grid and users, and the optimization variables are the hourly real-time prices and the operating status of each device of the next day. The goal of intra-day dispatch is to minimize the operating cost, while the operation status of each device at every fifteen minutes are the optimization variables. Based on the solution of the model, the ADN real-time pricing results and the dispatch results of each device can be obtained.
MINLP is one of the most difficult problems in the field of programming solution, and there is no unified and efficient solution. However, software for solving this problem has also been developed in recent decades, including the open source software BONMIN, COUENNE, LaGO, SCIP, etc., as well as the commercial software BARON, DICOPT, KNITRO and so on. Proposing an innovative solution algorithm is not the focus of this paper, so the open source software SCIP was directly used to solve the model. SCIP [43] implements a spatial branch and bound algorithm using LP for bounding, which can obtain the global optimal solutions of convex and nonconvex MINLP problems. The simulation results show that the solution efficiency of this model satisfies the dispatch requirements.

4. Case Study and Results

The simulation is carried out based on the IEEE 14 nodes distribution network system, as shown in Figure 4. Node 2 is connected with a micro-turbine, whose upper limit of power is 0.1 MW; node 8 is connected with a wind turbine and a storage battery whose capacity is 1 MWh and upper limit of power is 0.3 MW; and there are ILs at node 14, of capacity 0.1 MW. The benchmark electricity price is 9.516 cents/kWh. Considering the change of generating cost in a different period of time, it is assumed that b = 0, c = 0, a = 100, 300, and 400 for valley, off-peak, and peak hours, respectively [20]. The peak hours are 07:00–11:00 and 17:00–21:00, the off-peak hours are 12:00–16:00 and 22:00–23:00, the valley hours are 00:00–6:00. The number of users on each node is 10. The user purchase intention parameters are shown in Table 1 [20]. The price elasticity coefficient is shown in Table 2 [35]. The MINLP model is built on the basis of YALMIP and OPTITOLLBOX and is solved by using the solver SCIP in MATLAB (R2014a (8.3.0.532), MathWorks, Natick, MA, USA).
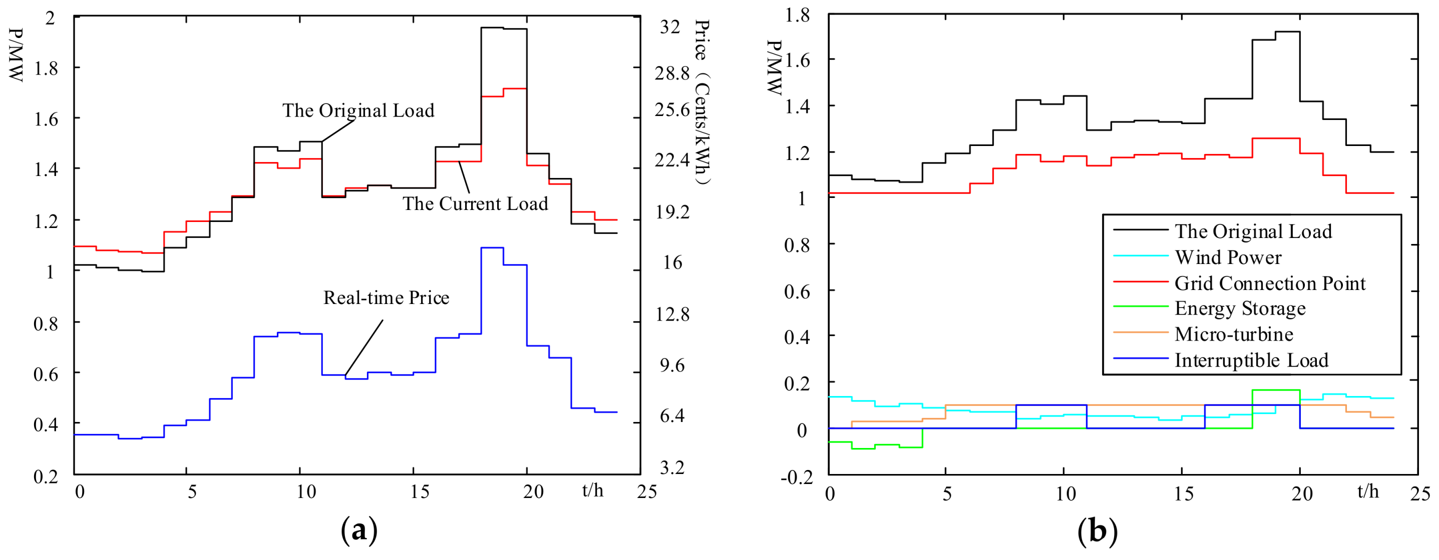
By solving the day-ahead dispatch model, the hourly real-time price and the load response curve (the current load) under the real-time price can be obtained as shown in Figure 5. Under the effect of real-time price, the peak-to-valley difference of load is obviously reduced and the whole load curve is smoother, which can reduce the operation pressure of the grid. Real-time pricing basically presents the characteristic of higher price with heavier load, but the price does not depend entirely on the load level. The price in the current period will affect the load all day and thus change the operation mode and operation cost, which is why the real-time pricing and grid operation mode are optimized together.
The day-ahead power curves and corresponding state of the storage are shown in Figure 6a,b, where SOC is the state at the end of each dispatch period. Overall, IL provides power support for the grid only at the peak period for reducing operating costs. The storage catches the peak to fill the valley through charging and discharging, and the savings in the power purchase cost are greater than its charging and discharging losses, which can improve the economy of the ADN operation.
For the results above, the CHP micro-turbine operates in electric load domain mode. To analyze the influence of different operation modes on the results, the thermal load domain mode was simulated and the corresponding power curves are shown in Figure 7. Because the demand and supply situation of the heating load is uncertain, to reflect the demand of the heating load, the heating price is set 50% higher at 0:00–6:00, 21:00–24:00 and 50% lower at 11:00–16:00 than that of the electric load domain mode. From the simulation results, we can see that, under the electric load domain mode, the micro-turbine runs in low power state at 0:00–4:00 when the electric demand is low; under the thermal load domain mode, the micro-turbine runs in high power state almost the whole day except at 6:00–7:00 when the electric demand and heating demand are both low. It shows that the model proposed can adjust the dispatch result for different running modes of the micro-turbine for maximum benefit.
Based on the day-ahead dispatch results, it is possible to keep the data of the case unchanged and carry out the simulation of the intra-day moving horizon optimization. To facilitate the analysis, the linear model is used to analyze the time response characteristic of IL, with an instant response of 0.5 and a response time of 1 h, while the CHP micro-turbine operates in electric load domain mode. The result is shown in Figure 8a. The corresponding state of the storage is shown in Figure 8b, in which the reference value of SOC is the result of the day-ahead model.
Figure 8a shows that the intra-day moving horizon optimization results have a similar trend with the day-ahead optimization control results. The micro-turbine, storage, and IL will operate in a coordinated way, responding to fluctuations in load and wind power output, resulting in the lowest operating cost of the ADN. In addition, an additional SOC constraint is introduced in the intra-day dispatch so that the optimized SOC result is between 0.8 and 1.2 times the day-ahead SOC result. Figure 8b shows that the inter-day depth of charge and discharge of energy storage is less than the day-ahead result, which is due to the time scale of intra-day optimization. The peak-to-valley difference of load within the optimization time window is smaller, thus the storage tends not to charge or discharge. Taking 0:00–4:00 as an example, the load peak-to-valley difference is very small. If the optimization time window is such, the storage will not charge, resulting in the lack of energy at 18:00–20:00. With the constraint Equation (21) added, the storage has to charge according to the results of the day-ahead optimization to increase the SOC to 0.65, to meet the peak load demand at 18:00–20:00.

4.1. Comparison between Real Time Price and Constant Price

In order to illustrate the superiority of real-time price, the constant price strategy was simulated and analyzed under the same conditions, which is recorded as Strategy 2. Strategy 2 is the basic dispatch model, which can be easily found in many studies [44,45]. The strategy of this paper is recorded as Strategy 1. The constant electricity price is 9.516 cents/kWh. The result is shown in Figure 9a,b.
In Strategy 2, the load curve does not change, and the peak-to-valley difference is relatively larger. Compared with Strategy 1, the storage will charge and discharge more greatly. At 18:00–20:00, the discharging power of the storage under the real-time price strategy is only 0.2 MW, and the SOC is finally maintained at 0.45. Under the constant price strategy, the discharging power of the storage reaches the upper limit of 0.3 MW and the SOC reaches the lower limit of 0.2. At the same time, due to the higher overall load level, the cut-off time of IL also increases to a total of 7 h at 9:00–11:00 and 17:00–20:00.
The results of cost and benefit of each part of ADN in Strategy 1 and Strategy 2 are shown in Table 3. In Strategy 1, the utility of users is relatively low. But if the electricity fee paid by users is take into account, the calculated users’ benefit is increased by $417.8 compared with Strategy 2, indicating that the real-time price strategy can effectively balance the interests of the users. For the DSO, since Strategy 1 can guide users to adjust their power consumption by using real-time price, the operation cost of the grid is relatively lower. Taking into account the electricity fee, the calculated benefit of the DSO is reduced by $411.4. However, the decrease in users’ utility is lower than the decrease in the operation cost of the grid. Therefore, Strategy 1 is better than Strategy 2 in terms of the overall benefits of the DSO and users.
In addition, for the DSO, despite the low operating profit under Strategy 1, there is still a hidden benefit in peak load shifting, mainly in two aspects: First, the reduction of reserve capacity costs; the second is to reduce the expansion investment due to transmission congestion caused by peak load. Therefore, the benefits of the DSO will not be limited to the direct benefits calculated in this paper. Since the above benefits are difficult to quantify in the dispatching and operating phases, the modeling in this paper considers only the direct benefits of ADN operation. Taking into account the above indirect benefits, the advantages of Strategy 1 relative to Strategy 2 will be more obvious.

4.2. Comparison between Sepertate Optimization and Combined Optimization

In order to further explain the advantages of the combined optimization of real-time price and optimal dispatch, the following strategy (Strategy 3) was designed, that is, the real-time electricity pricing and the ADN dispatch were optimized step by step:
  • Pricing phase: The cross-elasticity coefficient of the load is not considered, i.e., the electricity price in each period only depends on the cost (power generation cost, network loss, etc.) and the benefit (DSO and user comprehensive income) of the time section, regardless of energy storage and IL scheduling. This phase is similar to the existing real-time pricing strategy based on the marginal cost method;
  • Dispatch phase: The real-time electricity price determined in the pricing phase is used as a known quantity. This dispatch model proposed in this paper is used to optimize the AND operation.
The two phases of Strategy 3 are common practices in the listed researches [2,19,32,46]. They usually only concerned with their own problems and simplify the others.
The results are shown in Figure 10a,b.
The results of Strategy 1 and Strategy 3 are shown in Table 4. For Strategy 3, in the pricing phase, the grid operating cost only considers the cost of power generation, i.e., the cost of power purchase and the operating cost of the micro-turbine and the optimization process will minimize these two costs, which decrease by $18.3 and $23.4, respectively. The users’ utility also improves by $14.7. Compared with Strategy 1, Strategy 3 increases the benefit by $56.4 on the above three indicators. Because Strategy 3 does not need to take into account the constraints of dispatch, the pricing phase has more room for optimization, making the partial results of Strategy 3 better than Strategy 1. Although optimal results can be obtained at each step of Strategy 3, the overall benefits are not as good as the combined optimization of Strategy 1. As can be seen from Figure 10b, the depth of the storage charging and discharging is greater and the interruption time of the IL is longer, resulting in a cost increase of $2.4 and $57.2 respectively. Taking into account the increase in the above dispatch costs, the reduced costs and increased benefits of the Strategy 3 in the pricing phase are completely offset. Eventually, the overall benefit of Strategy 3 is lower than that of Strategy 1.
Comparing the above three strategies, from the perspective the overall benefit, Strategy 3 using RTP is better than Strategy 2 using constant price, indicating that the introduction of real-time price is conducive to economic operation of ADN. Strategy 1 is better than Strategy 3, indicating that the integrated optimization of the real-time pricing and dispatching give fuller play to the advantages of RTP and achieve the best overall benefits.

4.3. Comparison and Analysis of Response Time Characteristics of Interruptible Load

In the paper, the response time characteristics of IL were analyzed and modeled to deal with the problem in the actual dispatch of IL, making the dispatch result more practical. To analyze the influence of the response time characteristics of the IL on the operation of ADN, the following strategy (Strategy 4) was designed: the response time characteristics of the IL were not taken into account. Similar scheduling strategies can be found in [47,48]. Combined with the results of the day-ahead optimization, the grid cut off 0.1 MW of IL at 18:00 (corresponding to horizontal axis 72). Since the instant responsivity is 0.5 and the response time is 1 h, the grid actually cut off 0.05 MW of IL at 18:00, and the remaining 0.05 MW is gradually removed till 19:00 (corresponding to horizontal axis 76). Strategy 4 is optimized based on the total removal of IL at 18:00.
Considering that the optimization time scale is 4 h, the state of the grid over the period 0:00–14:00 will not affect the result of the 18:00–20:00 period when IL participates in the dispatching. To highlight the IL dispatch, the simulation is started from 14:30. The initial SOC of the storage is set to 0.8. The intra-day dispatch results of Strategy 1 and Strategy 4 are shown in Figure 11 and Figure 12, respectively. The results of cost and benefit of each part of ADN in Strategy 1 and Strategy 4 are shown in Table 5.
In the optimization time window, the original peak time is 18:00–20:00. For Strategy 4, the optimization considers that the 0.1 MW IL is completely removed at 18:00 and restored at 20:00, thus the peak time will still be 18:00–20:00. Therefore, there is little difference in the discharge capacities of storage between 18:00–19:00 and 19:00–20:00. However, due to the fact that the actual load (the current load minus the IL removed) during the period from 18:00 to 19:00 is heavier, the excess power can only be passively provided by the PCC, resulting in the increase of the power purchase cost. For Strategy 1, since the response characteristic of IL is taken into account, the discharge capacity of energy storage from 18:00 to 19:00 is much more than Strategy 4, giving more power support to the ADN and reducing the purchase of power with high price.
The simulation above focuses on the impact of whether or not the response time of IL is considered in the ADN dispatch. In order to further analyze the influence of different response time characteristics on the ADN dispatch, four different cutting off curves: line (constant rate removal), convex parabola (deceleration rate removal), concave parabola (increased rate resection), and immediate cutting off are simulated respectively. The results are shown in Table 6.
As shown in Figure 1, compared with the linear characteristic, the IL of the convex parabolic characteristic is a faster response, so the load peak is reduced quicker, needing less assistance from the energy storage. As shown in Table 6, the storage operating cost is reduced, so as the purchase cost. The immediate cut-off characteristic is an extreme case, which corresponds to the lowest operating cost. On the contrary, the concave parabolic characteristic corresponds to the highest overall operating cost.
The above results show that, generally, the faster the IL response, the more favorable the operation of ADN. In actual operation, the ADN can preferentially select the IL with faster response speed, or reduce the compensation cost for the IL with slow response speed, so as to obtain better economic benefits. Therefore, through the establishment of an accurate IL response model and the corresponding incentive measures, DSO can obtain better economic benefits.

5. Conclusions and Discussion

A day-ahead and intra-day integrative dispatch model for ADN was established in the paper, combining real-time pricing with optimal dispatching. Models of multi-type active loads are proposed with a better dispatch effect achieved. Through theoretical analysis and numerical simulation, the following conclusions were obtained:
  • Compared with the existing constant price mechanism, the introduction of real-time price can better guide users’ electricity consumption behavior. However, the existing real-time pricing strategy research pays more attention to the real-time pricing mechanism itself, and the pricing process does not consider enough the follow-up influence to the ADN operation. In this paper, the real-time pricing and the ADN dispatching are integrated and optimized, and the advantage of real-time price can be better utilized to achieve a win-win situation between end-users and DSO.
  • The traditional deterministic IL protocols have poor flexibility. This paper introduces a new IL protocol that can exert the regulatory potential of small cluster users. Based on the analysis of its response characteristics, more refined control and better economic benefits can be achieved when integrated into the ADN dispatch optimization model.
The establishment of the user response model in this paper is only based on theoretical analysis, and it is certainly different from the actual situation. However, with the increasing popularity of smart measurement devices, the increase in user controllability, the acquisition of large amounts of user data, and the application of data mining techniques and machine learning methods, the user’s control characteristics and response models can be better analyzed and established. In turn, this will increase the participation of users and make the DSOs and users obtain improved benefits.
Although the power generation and load forecasting data at different time scales are used to reduce the influence of the prediction error on the dispatch results, an error still exists. How to properly consider the impact of error in the dispatch model will be a focus of our future research. Using data mining technology and machine learning methods to establish more accurate response models of multi-type active loads is another planned future work.

Acknowledgments

The work described in this paper was supported in part by the National Natural Science Foundation of China under Grant 51537003, in part by the China Southern Power Grid Guangxi Power Grid Co., Ltd. science and technology project: Study on the Influence of Large-scale Wind Power Integration on the Guangxi Power Grid and Comprehensive Control Measures.

Author Contributions

Chong Chen was mainly responsible for paper writing and data analyzing; Xuan Zhou, Zhiheng He, Zhuo Li and Ting Wen assisted in searching for documentations, data, and coding; Yixin Zhuo and Ning Tong assisted in data analyzing and case study; Xiaowei Yang, Zhengtian Li and Xiangnin Lin provided research ideas, helped organize the logic and framework of the paper, and improved and modified the article.

Conflicts of Interest

The authors declare no conflict of interest.

Nomenclatures

εiiSelf-elasticity of period i
εijCross-elasticity of period i to j
diInitial demand of period i
ΔdiChange of demand during period i
piInitial electricity price of period i
ΔpiChange of electricity price during period i
ΔdDemand change vector
ΔpElectricity price change vector
EElasticity matrix
PilCut off power stipulated in the IL protocol
PrLoad cut off immediately
αRatio of the actual immediate response
tsCut off order release time ts
teComplete response time te
trTime period from the cut off order release time ts to the complete response time te
θCompensation coefficient of IL
F M T Operation cost of micro-turbine
F E S Cost of battery life damage
F L IL compensation cost
F t Power generation cost of power grid
F d Power distribution cost
P M T Power of micro-turbine
P E S , c h a r Charging power of energy storage
P E S , d i s c Discharging power of energy storage
P W Wind power
P P V Photovoltaic power
P t Power from PCC
s w M T , o n Star-stop state transition variable of micro-turbine, s w M T , o n = 1 means that the micro-turbine starts running, otherwise s w M T , o n = 0
s w M T , o f f Star-stop state transition variable of micro-turbine, s w M T , o f f = 1 means that the micro-turbine is shut down, otherwise s w M T , o f f = 0
u M T Star-stop state transition variable of micro-turbine, u M T = 1 means that the micro-turbine is running, otherwise u M T = 0
u E S Charging state variable of energy storage, u E S = 1 means that the energy storage is charging, u E S = 0 means that the energy storage is discharging
d M T , o n Costs of micro-turbine start
d M T , o f f Cost of micro-turbine stop
f M T Generation cost function of micro-turbine
h M T Emission abatement cost function of micro-turbine
l M T Benefit function of cogeneration of micro-turbine
C B Energy storage price
S r a t e d Rated capacity of the energy storage
N 0 Total cycle life of the energy storage
S E S SOC of the energy storage
γCost preset constant, which characterizes the user’s response sensitivity to the price
ωUser’s purchase intention parameter
a, b, cFuel cost coefficients of power grid
Abbreviations
DSMDemand-side management
RTPReal-time price
TOUTime-of-use
ILInterruptible load
ADNActive distribution network
DRPsDemand response programs
DRDemand response
ESSEnergy storage system
MINLPMixed integer nonlinear programming
MPCModel predictive control
DSODistribution system operator
CHPCombined heating and power
RMSERoot mean square error
PCCPoint of common coupling
AGCAutomatic Generation Control
SOCState of charge
DOEDepartment of Energy

References

  1. Chowdhury, S.; Chowdhury, S.P.; Crossley, P. Microgrids and Active Distribution Networks; IET Digital Library: Stevenage, UK, 2009; 321p. [Google Scholar]
  2. Borghetti, A.; Bosetti, M.; Grillo, S.; Massucco, S.; Nucci, C.A.; Paolone, M.; Silvestro, F. Short-term scheduling and control of active distribution systems with high penetration of renewable resources. IEEE Syst. J. 2010, 4, 313–322. [Google Scholar] [CrossRef]
  3. Ochoa, L.F.; Dent, C.J.; Harrison, G.P. Distribution network capacity assessment: Variable DG and active networks. IEEE Trans. Power Syst. 2010, 25, 87–95. [Google Scholar] [CrossRef]
  4. Bai, H.; Miao, S.; Ran, X.; Ye, C. Optimal dispatch strategy of a virtual power plant containing battery switch stations in a unified electricity market. Energies 2015, 8, 2268–2289. [Google Scholar] [CrossRef]
  5. Mohammadi, A.; Mehrtash, M.; Kargarian, A. Diagonal quadratic approximation for decentralized collaborative TSO + DSO optimal power flow. IEEE Trans. Smart Grid 2018, 99, 1. [Google Scholar] [CrossRef]
  6. Gill, S.; Kockar, I.; Ault, G.W. Dynamic optimal power flow for active distribution networks. IEEE Trans. Power Syst. 2013, 29, 121–131. [Google Scholar] [CrossRef]
  7. Cong, P.; Tang, W.; Zhang, L.; Zhang, B.; Cai, Y. Day-ahead active power scheduling in active distribution network considering renewable energy generation forecast errors. Energies 2017, 10, 1291. [Google Scholar] [CrossRef]
  8. Yu, W.; Liu, D.; Huang, Y. Operation optimization based on the power supply and storage capacity of an active distribution network. Energies 2013, 6, 6423–6438. [Google Scholar] [CrossRef]
  9. Telaretti, E.; Graditi, G.; Ippolito, M.G.; Zizzo, G. Economic feasibility of stationary electrochemical storages for electric bill management applications: The Italian scenario. Energy Policy 2016, 94, 126–137. [Google Scholar] [CrossRef]
  10. Vardakas, J.S.; Zorba, N.; Verikoukis, C.V. A survey on demand response programs in smart grids: Pricing methods and optimization algorithms. IEEE Commun. Surv. Tutor. 2014, 17, 152–178. [Google Scholar] [CrossRef]
  11. Amini, M.H.; Nabi, B.; Haghifam, M.R. Load Management Using Multi-Agent Systems in Smart Distribution Network. In Proceedings of the 2013 IEEE Power and Energy Society General Meeting, Vancouver, BC, Canada, 21–25 July 2013; pp. 1–5. [Google Scholar]
  12. Ippolito, M.G.; Telaretti, E.; Zizzo, G.; Graditi, G. A New Device for the Control and the Connection to the Grid of Combined Res-Based Generators and Electric Storage Systems. In Proceedings of the 2013 International Conference on Clean Electrical Power (ICCEP), Alghero, Italy, 11–13 June 2013; pp. 262–267. [Google Scholar]
  13. Amini, M.H.; Frye, J.; Ilic, M.D.; Karabasoglu, O. Smart Residential Energy Scheduling Utilizing Two Stage Mixed Integer Linear Programming. In Proceedings of the 2015 North American Power Symposium, Charlotte, NC, USA, 4–6 October 2015; pp. 1–6. [Google Scholar]
  14. Bahrami, S.; Wong, V.W.S. An Autonomous Demand Response Program in Smart Grid with Foresighted Users. In Proceedings of the IEEE International Conference on Smart Grid Communications, Miami, FL, USA, 2–5 November 2015; pp. 205–210. [Google Scholar]
  15. Bahrami, S.; Wong, V.W.S.; Huang, J. An online learning algorithm for demand response in smart grid. IEEE Trans. Smart Grid 2017, 99, 1. [Google Scholar] [CrossRef]
  16. Wang, Y.; Ai, X.; Tan, Z.; Yan, L.; Liu, S. Interactive dispatch modes and bidding strategy of multiple virtual power plants based on demand response and game theory. IEEE Trans. Smart Grid 2016, 7, 510–519. [Google Scholar] [CrossRef]
  17. Pakka, V.; Rylatt, R. Design and analysis of electrical distribution networks and balancing markets in the UK: A new framework with applications. Energies 2016, 9, 101. [Google Scholar] [CrossRef]
  18. Chen, L.; Suzuki, H.; Wachi, T.; Shimura, Y. Components of nodal prices for electric power systems. IEEE Power Eng. Rev. 2001, 21, 54. [Google Scholar] [CrossRef]
  19. Samadi, P.; Mohsenian-Rad, A.H.; Schober, R.; Wong, V.W.S.; Jatskevich, J. Optimal Real-Time Pricing Algorithm Based on Utility Maximization for Smart Grid. In Proceedings of the 2010 First IEEE International Conference on Smart Grid Communications, Gaithersburg, MD, USA, 4–6 October 2010; pp. 415–420. [Google Scholar]
  20. Samadi, P.; Mohsenian-Rad, H.; Schober, R.; Wong, V.W.S. Advanced demand side management for the future smart grid using mechanism design. IEEE Trans. Smart Grid 2012, 3, 1170–1180. [Google Scholar] [CrossRef]
  21. Maharjan, S.; Zhu, Q.; Zhang, Y.; Gjessing, S.; Basar, T. Dependable demand response management in the smart grid: A stackelberg game approach. IEEE Trans. Smart Grid 2013, 4, 120–132. [Google Scholar] [CrossRef]
  22. Aalami, H.A.; Parsa Moghaddam, M.; Yousefi, G.R. Evaluation of nonlinear models for time-based rates demand response programs. Int. J. Electr. Power Energy Syst. 2015, 65, 282–290. [Google Scholar] [CrossRef]
  23. Mohajeryami, S.; Schwarz, P.; Baboli, P.T. Including the Behavioral Aspects of Customers in Demand Response Model: Real Time Pricing Versus Peak Time Rebate. In Proceedings of the North American Power Symposium, Charlotte, NC, USA, 4–6 October 2015; pp. 1–6. [Google Scholar]
  24. Jian, X.; Zhang, L.; Miao, X.; Zhang, Y.; Han, X. Designing interruptible load management scheme based on customer performance using mechanism design theory. Int. J. Electr. Power Energy Syst. 2018, 95, 476–489. [Google Scholar] [CrossRef]
  25. Wang, Y.; Chen, Q.; Hong, T.; Kang, C. Review of smart meter data analytics: Applications, methodologies, and challenges. IEEE Trans. Smart Grid 2018. [Google Scholar] [CrossRef]
  26. Vassileva, I.N.; Campillo, J. Consumers’ perspective on full-scale adoption of smart meters: A case study in Västerås, Sweden. Resources 2016, 5, 3. [Google Scholar] [CrossRef]
  27. Bai, Y.; Zhong, H.; Xia, Q. Real-Time Demand Response Potential Evaluation: A Smart Meter Driven Method. In Proceedings of the Power and Energy Society General Meeting, Boston, MA, USA, 17–21 July 2016. [Google Scholar]
  28. Martins, V.F.; Borges, C.L.T. Active distribution network integrated planning incorporating distributed generation and load response uncertainties. IEEE Trans. Power Syst. 2011, 26, 2164–2172. [Google Scholar] [CrossRef]
  29. Bahramirad, S.; Reder, W.; Khodaei, A. Reliability-constrained optimal sizing of energy storage system in a microgrid. IEEE Trans. Smart Grid 2012, 3, 2056–2062. [Google Scholar] [CrossRef]
  30. Somma, M.D.; Graditi, G.; Heydarian-Forushani, E.; Shafie-Khah, M.; Siano, P. Stochastic optimal scheduling of distributed energy resources with renewables considering economic and environmental aspects. Renew. Energy 2017, 116, 272–287. [Google Scholar] [CrossRef]
  31. Ziadi, Z.; Taira, S.; Oshiro, M.; Funabashi, T. Optimal power scheduling for smart grids considering controllable loads and high penetration of photovoltaic generation. IEEE Trans. Smart Grid 2014, 5, 2350–2359. [Google Scholar] [CrossRef]
  32. Silva, M.; Morais, H.; Vale, Z.; Faria, P. Short-Term Scheduling Considering Five-Minute and Hour-Ahead Energy Resource Management. In Proceedings of the 2012 IEEE Power and Energy Society General Meeting, San Diego, CA, USA, 22–26 July 2012; pp. 1–8. [Google Scholar]
  33. Widén, J.; Carpman, N.; Castellucci, V.; Lingfors, D.; Olauson, J.; Remouit, F.; Bergkvist, M.; Grabbe, M.; Waters, R. Variability assessment and forecasting of renewables: A review for solar, wind, wave and tidal resources. Renew. Sustain. Energy Rev. 2015, 44, 356–375. [Google Scholar] [CrossRef]
  34. Meng, L.; Sanseverino, E.R.; Luna, A.; Dragicevic, T.; Vasquez, J.C.; Guerrero, J.M. Microgrid supervisory controllers and energy management systems: A literature review. Renew. Sustain. Energy Rev. 2016, 60, 1263–1273. [Google Scholar] [CrossRef]
  35. Dehnavi, E.; Abdi, H. Optimal pricing in time of use demand response by integrating with dynamic economic dispatch problem. Energy 2016, 109, 1086–1094. [Google Scholar] [CrossRef]
  36. Kirschen, D.S.; Strbac, G.; Cumperayot, P.; Dilemar, D.P.M. Factoring the elasticity of demand in electricity prices. IEEE Trans. Power Syst. 2000, 15, 612–617. [Google Scholar] [CrossRef]
  37. Sanduleac, M.; Lipari, G.; Monti, A.; Voulkidis, A.; Zanetto, G.; Corsi, A.; Toma, L.; Fiorentino, G.; Federenciuc, D. Next generation real-time smart meters for ICT based assessment of grid data inconsistencies. Energies 2017, 10, 857. [Google Scholar] [CrossRef]
  38. Ning, J.; Tang, Y.; Chen, Q.; Wang, J.; Zhou, J.; Gao, B. A bi-level coordinated optimization strategy for smart appliances considering online demand response potential. Energies 2017, 10, 525. [Google Scholar] [CrossRef]
  39. Liang, H.; Ba, L.; Li, H.; Xiao, W. Study on Environmental and Economic Dispatching of Combined Cooling, Heating and Power Microgrid. In Proceedings of the International Conference on RPG 2015, Beijing, China, 17–18 October 2015; p. 5. [Google Scholar]
  40. Tazvinga, H.; Zhu, B.; Xia, X. Energy dispatch strategy for a photovoltaic–wind–diesel–battery hybrid power system. Sol. Energy 2014, 108, 412–420. [Google Scholar] [CrossRef]
  41. Soman, S.S.; Zareipour, H.; Malik, O.; Mandal, P. A Review of Wind Power and Wind Speed Forecasting Methods with Different Time Horizons. In Proceedings of the North American Power Symposium, Arlington, TX, USA, 26–28 September 2010; pp. 1–8. [Google Scholar]
  42. Choi, Y.; Kim, H. Optimal scheduling of energy storage system for self-sustainable base station operation considering battery wear-out cost. Energies 2016, 9, 462. [Google Scholar] [CrossRef]
  43. Achterberg, T. Scip: Solving constraint integer programs. Math. Progr. Comput. 2009, 1, 1–41. [Google Scholar] [CrossRef]
  44. Sun, Y.Z.; Wu, J.; Li, G.; He, J. Dynamic economic dispatch considering wind power penetration based on wind speed forecasting and stochastic programming. Proc. CSEE 2009, 57, 346–347. [Google Scholar]
  45. Liu, Y.; Wu, W.; Zhang, B.; Li, Z.; Li, Z. A mixed integer second-order cone programming based active and reactive power coordinated multi-period optimization for active distribution network. Proc. CSEE 2014, 34, 2575–2583. [Google Scholar]
  46. Mohsenian-Rad, A.H.; Wong, V.W.S.; Jatskevich, J.; Schober, R. Optimal and Autonomous Incentive-Based Energy Consumption Scheduling Algorithm for Smart Grid. In Proceedings of the Innovative Smart Grid Technologies, Gaithersburg, MD, USA, 19–21 January 2010; pp. 1–6. [Google Scholar]
  47. Pedrasa, M.A.A.; Spooner, T.D.; MacGill, I.F. Scheduling of demand side resources using binary particle swarm optimization. IEEE Trans. Power Syst. 2009, 24, 1173–1181. [Google Scholar] [CrossRef]
  48. Aminifar, F.; Fotuhi-Firuzabad, M.; Shahidehpour, M. Unit commitment with probabilistic spinning reserve and interruptible load considerations. IEEE Trans. Power Syst. 2009, 24, 388–397. [Google Scholar] [CrossRef]
Figure 1. Response characteristic of interruptible load (IL).
Figure 1. Response characteristic of interruptible load (IL).
Energies 11 00959 g001
Figure 2. Day-ahead and intra-day integrative dispatch architecture of ADN.
Figure 2. Day-ahead and intra-day integrative dispatch architecture of ADN.
Energies 11 00959 g002
Figure 3. Logic composition diagram of optimal dispatch variables.
Figure 3. Logic composition diagram of optimal dispatch variables.
Energies 11 00959 g003
Figure 4. IEEE 14 nodes distribution network system.
Figure 4. IEEE 14 nodes distribution network system.
Energies 11 00959 g004
Figure 5. Day-ahead real-time price and load changes.
Figure 5. Day-ahead real-time price and load changes.
Energies 11 00959 g005
Figure 6. Results of day-ahead optimal dispatch: (a) Power curves of each device; (b) state of the storage.
Figure 6. Results of day-ahead optimal dispatch: (a) Power curves of each device; (b) state of the storage.
Energies 11 00959 g006
Figure 7. Results of day-ahead optimal dispatch when micro-turbine is under thermal domain mode.
Figure 7. Results of day-ahead optimal dispatch when micro-turbine is under thermal domain mode.
Energies 11 00959 g007
Figure 8. Results of intra-day optimal dispatch: (a) Power curve of each device; (b) State of energy storage.
Figure 8. Results of intra-day optimal dispatch: (a) Power curve of each device; (b) State of energy storage.
Energies 11 00959 g008
Figure 9. Results of day-ahead optimal dispatch with Strategy 2: (a) Power curves of each device; (b) state of the storage.
Figure 9. Results of day-ahead optimal dispatch with Strategy 2: (a) Power curves of each device; (b) state of the storage.
Energies 11 00959 g009
Figure 10. Results of day-ahead optimal dispatch with Strategy 3: (a) Power curves of each device; (b) state of the storage.
Figure 10. Results of day-ahead optimal dispatch with Strategy 3: (a) Power curves of each device; (b) state of the storage.
Energies 11 00959 g010
Figure 11. Results of intra-day optimal dispatch with Strategy 1: (a) Power curves of each device; (b) state of energy storage.
Figure 11. Results of intra-day optimal dispatch with Strategy 1: (a) Power curves of each device; (b) state of energy storage.
Energies 11 00959 g011
Figure 12. Results of intra-day optimal dispatch with Strategy 4: (a) Power curves of each device; (b) state of energy storage.
Figure 12. Results of intra-day optimal dispatch with Strategy 4: (a) Power curves of each device; (b) state of energy storage.
Energies 11 00959 g012
Table 1. The user purchase intention parameter ω .
Table 1. The user purchase intention parameter ω .
Hours ω
valleyrand [5,7]
off-peakrand [7,9]
peakrand [9,10]
Table 2. The price elasticity coefficient.
Table 2. The price elasticity coefficient.
HoursValleyOff-PeakPeak
valley−0.1000.0100.012
off-peak0.010−0.1000.016
peak0.0120.016−0.100
Table 3. Cost and benefit of Strategy 1 and Strategy 2.
Table 3. Cost and benefit of Strategy 1 and Strategy 2.
Cost/Benefits TypeStrategy 1/USDStrategy 2/USD
Purchase cost1428.41463.9
Storage operating costs39.646.8
Micro-turbine operating costs214.1180.3
Interruptible load costs22.980.1
Grid operating costs17051771.1
Users’ utility2849.42909.2
Overall benefits1144.41138.1
Table 4. Cost and benefit of Strategy 1 and Strategy 3.
Table 4. Cost and benefit of Strategy 1 and Strategy 3.
Cost/Benefits TypeStrategy 1/USDStrategy 3/USD
Purchase cost1428.41410.1
Storage operating costs39.642.0
Micro-turbine operating costs214.1190.7
Interruptible load costs22.980.1
Grid operating costs17051722.9
Users’ utility2849.42864.1
Overall benefits1144.41141.2
Table 5. Cost and benefit of Strategy 1 and Strategy 4.
Table 5. Cost and benefit of Strategy 1 and Strategy 4.
Cost/Benefits TypeStrategy 1/USDStrategy 4/USD
Purchase cost667.0668.9
Storage operating costs19.318.8
Micro-turbine operating costs95.095.0
Interruptible load costs17.217.2
Grid operating costs798.5799.9
Table 6. Cost and benefit of different time response characteristics.
Table 6. Cost and benefit of different time response characteristics.
Cost/BenefitsLinearConvex ParabolicConcave ParabolicImmediate
Purchase cost667.0666.8667.2666.7
Storage operating costs19.318.919.718.7
Micro-turbine operating costs95.094.995.094.9
Interruptible load costs17.217.217.217.2
Grid operating costs798.5797.8799.1797.5

Share and Cite

MDPI and ACS Style

Chen, C.; Zhou, X.; Yang, X.; He, Z.; Li, Z.; Li, Z.; Lin, X.; Wen, T.; Zhuo, Y.; Tong, N. Collaborative Optimal Pricing and Day-Ahead and Intra-Day Integrative Dispatch of the Active Distribution Network with Multi-Type Active Loads. Energies 2018, 11, 959. https://doi.org/10.3390/en11040959

AMA Style

Chen C, Zhou X, Yang X, He Z, Li Z, Li Z, Lin X, Wen T, Zhuo Y, Tong N. Collaborative Optimal Pricing and Day-Ahead and Intra-Day Integrative Dispatch of the Active Distribution Network with Multi-Type Active Loads. Energies. 2018; 11(4):959. https://doi.org/10.3390/en11040959

Chicago/Turabian Style

Chen, Chong, Xuan Zhou, Xiaowei Yang, Zhiheng He, Zhuo Li, Zhengtian Li, Xiangning Lin, Ting Wen, Yixin Zhuo, and Ning Tong. 2018. "Collaborative Optimal Pricing and Day-Ahead and Intra-Day Integrative Dispatch of the Active Distribution Network with Multi-Type Active Loads" Energies 11, no. 4: 959. https://doi.org/10.3390/en11040959

APA Style

Chen, C., Zhou, X., Yang, X., He, Z., Li, Z., Li, Z., Lin, X., Wen, T., Zhuo, Y., & Tong, N. (2018). Collaborative Optimal Pricing and Day-Ahead and Intra-Day Integrative Dispatch of the Active Distribution Network with Multi-Type Active Loads. Energies, 11(4), 959. https://doi.org/10.3390/en11040959

Note that from the first issue of 2016, this journal uses article numbers instead of page numbers. See further details here.

Article Metrics

Back to TopTop