Capacitors Voltage Switching Ripple in Three-Phase Three-Level Neutral Point Clamped Inverters with Self-Balancing Carrier-Based Modulation
Abstract
:1. Introduction
2. System Configuration and Modulation Principles
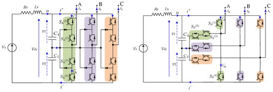
2.1. System Configuration
2.2. Modulation Principles
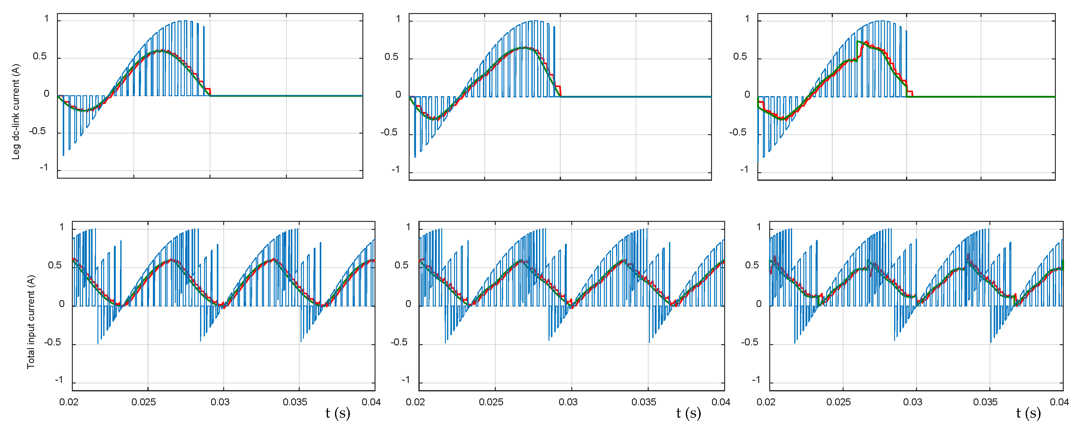
3. Input Current Analysis
Input Current Components
4. Input Voltage Analysis
4.1. Input Voltage Components
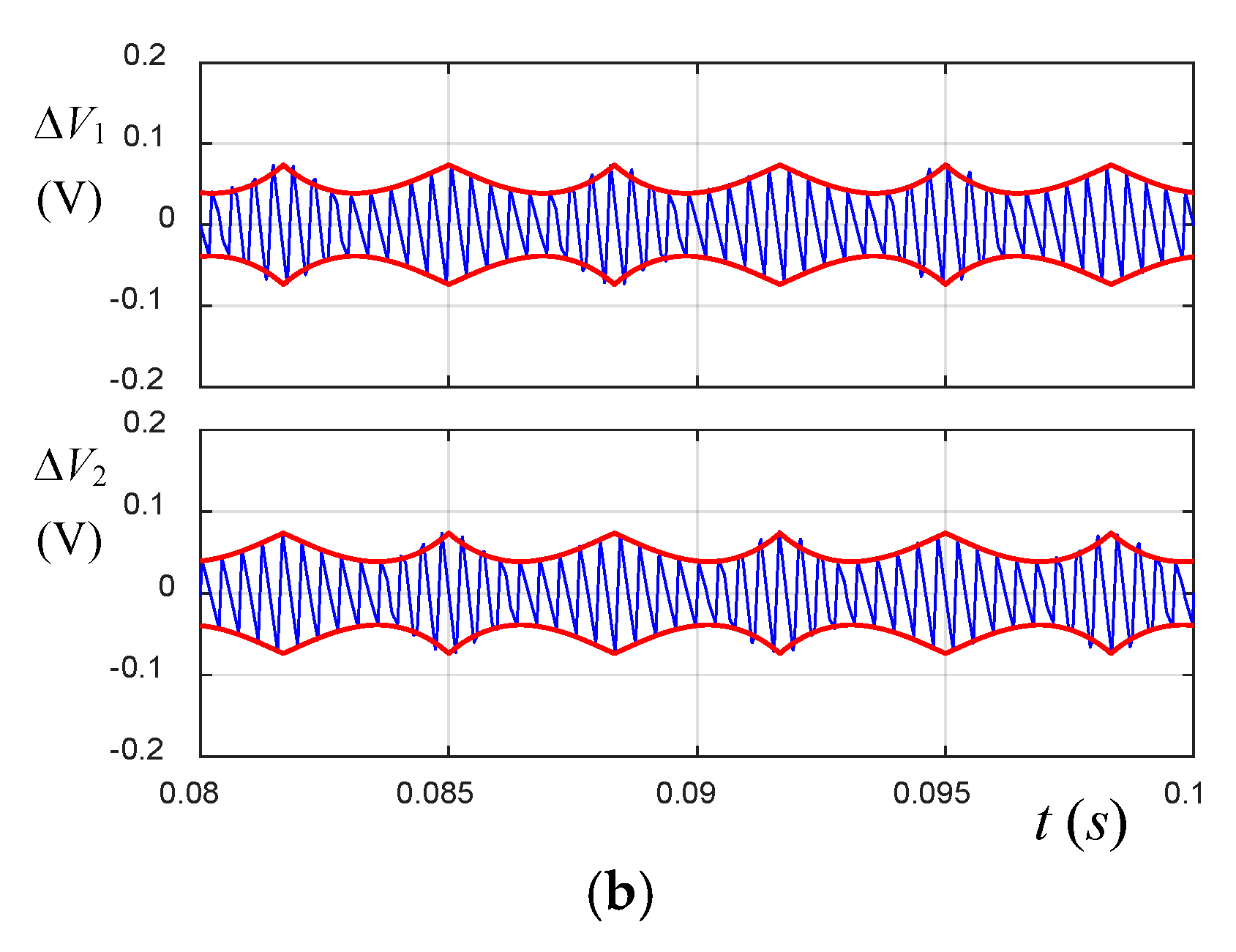
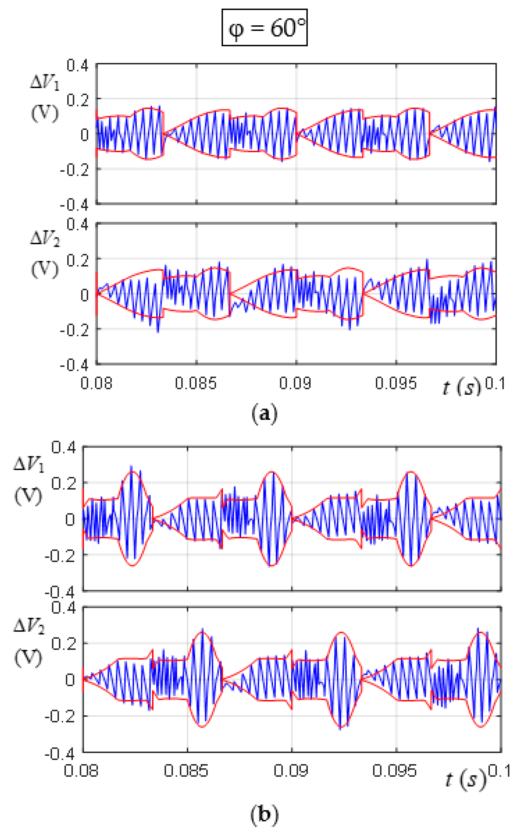
4.2. Peak-to-Peak Voltage Switching Ripple Evaluation
5. Dc-link Preliminary Capacitor Design
6. Results
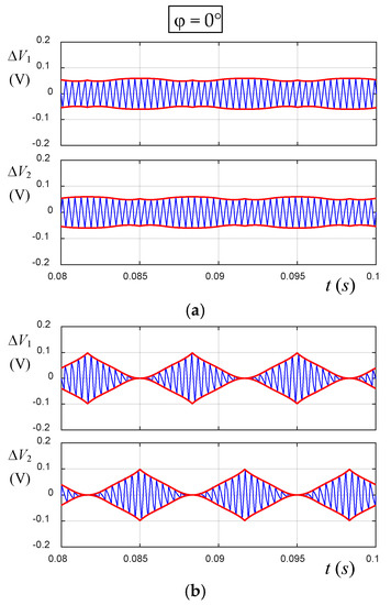
6.1. Simulation Results
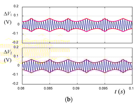
6.2. Experimental Results
7. Conclusions
Author Contributions
Funding
Conflicts of Interest
References
- Nabae, A.; Takahashi, I.; Akagi, H. A New Neutral-Point-Clamped PWM Inverter. IEEE Trans. Ind. Appl. 1981, 17, 518–523. [Google Scholar] [CrossRef]
- Giri, S.K.; Mukherjee, S.; Kundu, S.; Banerjee, S.; Chakraborty, C. A Carrier-Based PWM Scheme for Neutral Point Voltage Balancing in Three-Level Inverter Extending to Full Power Factor Range. IEEE J. Emerg. Sel. Top. Power Electron. 2017, 64, 1873–1883. [Google Scholar] [CrossRef]
- Liu, P.; Duan, S.; Yao, C.; Chen, C. A Double Modulation Wave CBPWM Strategy Providing Neutral-Point Voltage Oscillation Elimination and CMV Reduction for Three-Level NPC Inverters. IEEE Trans. Ind. Electron. 2018, 65, 16–26. [Google Scholar] [CrossRef]
- Dordevic, O.; Jones, M.; Levi, E. A Comparison of Carrier-Based and Space Vector PWM Techniques for Three-Level Five-Phase Voltage Source Inverters. IEEE Trans. Ind. Inform. 2013, 9, 609–618. [Google Scholar] [CrossRef]
- Petrella, R.; Pevere, A. Interleaved Carrier-Based Modulations for Reducing Low-Frequency Neutral Point Voltage Ripple in the Three-Phase Neutral Point Clamped Inverter. In Proceedings of the 2014 IEEE Applied Power Electronics Conference and Exposition APEC, Fort Worth, TX, USA, 16–20 March 2014; pp. 2386–2393. [Google Scholar]
- Xia, C.L.; Zhang, G.Z.; Yan, Y.; Gu, X.; Shi, T.N.; He, X.N. Discontinuous Space Vector PWM Strategy of Neutral-Point-Clamped Three-Level Inverters for Output Current Ripple Reduction. IEEE Trans. Power Electron. 2017, 32, 5109–5121. [Google Scholar] [CrossRef]
- López, I.; Ceballos, S.; Pou, J.; Zaragoza, J.; Andreu, J.; Ibarra, E.; Konstantinou, G. Generalized PWM-Based Method for Multiphase Neutral-Point-Clamped Converters with Capacitor Voltage Balance Capability. IEEE Trans. Power Electron. 2017, 32, 4878–4890. [Google Scholar] [CrossRef]
- Pevere, A.; Petrella, R. Discontinuous Hybrid Modulation Technique for Three-Phase Three-Level Neutral Point Clamped Inverters. In Proceedings of the 2013 IEEE Energy Conversion Congress and Exposition ECCE, Denver, CO, USA, 15–19 September 2013; pp. 3992–3999. [Google Scholar]
- Bianchi, N.; Di Pre, M. Active Power Filter Control Using Neural Network Technologies. IEE Proc. Electr. Power Appl. 2003, 150, 139–145. [Google Scholar]
- Vujacic, M.; Hammami, M.; Srndovic, M.; Grandi, G. Evaluation of DC Voltage Ripple InSingle-Phase H-Bridge PWM Inverters. In Proceedings of the IEEE 26th International Symposium on Industrial Electronics, Scotland, UK, 19–21 June 2017; pp. 711–716. [Google Scholar]
- Vujacic, M.; Hammami, M.; Srndovic, M.; Grandi, G. Theoretical and Experimental Investigation of Switching Ripple in the DC-Link Voltage of Single-Phase H-Bridge PWM Inverters. Energies 2017, 10, 1189. [Google Scholar] [CrossRef]
- Hammami, M.; Vujacic, M.; Grandi, G. Dc-Link Current and Voltage Ripple Harmonics in Three-Phase Three-Level Flying Capacitor Inverters with Sinusoidal Carrier-Based PWM. In Proceedings of the IEEE International Conference Industrial Technology, Lyon, France, 20–22 February 2018. [Google Scholar]
- Liang, Z.; Li, M.; Dong, Z.; Tian, S.; Li, K. Analytical Closed-Form Expressions of DC Current Ripple for Three-Level Neutral Point Clamped Inverters with Space-Vector Pulse-Width Modulation. IET Power Electron. 2016, 9, 930–937. [Google Scholar]
- Gopalakrishnan, K.S.; Das, S. Analytical Expression for RMS DC Link Capacitor Current in a Three-Level Inverter. In Proceedings of the Centenary Conference Electrical Engineering, Indian Institute of Science, Bangalore, India, 15–17 December 2011. [Google Scholar]
- Orfanoudakis, G.I.; Sharkh, S.M.; Yuratich, M.A. Analysis of Dc-Link Capacitor Current in Three-Level Neutral Point Clamped and Cascaded H-Bridge Inverters. IET Power Electron. 2013, 6, 1376–1389. [Google Scholar] [CrossRef]
- Pou, J.; Pindado, R.; Boroyevich, D.; Rodríguez, P. Evaluation of the Low-Frequency Neutral-Point Voltage Oscillations in the Three-Level Inverter. IEEE Trans. Ind. Electron. 2005, 52, 1582–1588. [Google Scholar] [CrossRef]
- Pou, J.; Zaragoza, J.; Rodríguez, P.; Ceballos, S.; Sala, V.M.; Burgos, R.P.; Boroyevich, D. Fast-Processing Modulation Strategy for the Neutral-Point-Champed Converter with Total Elimination of Low-Frequency Voltage Oscillations in the Neutral Point. IEEE Trans. Ind. Electron. 2007, 54, 2288–2294. [Google Scholar] [CrossRef]
- Fujii, K.; Kikuchi, T.; Koubayashi, H.; Yoda, K. 1-MW Advanced T-Type NPC Converters for Solar Power Generation System. In Proceedings of the 2013 15th European Conference on Power Electronics and Applications (EPE), Lille, France, 2–6 September 2013. [Google Scholar]
- Zhang, Z.; Anthon, A.; Andersen, M.A.E. Comprehensive Loss Evaluation of Neutral-Point-Clamped (NPC) and T-Type Three-Level Inverters Based on a Circuit Level Decoupling Modulation. In Proceedings of the 2014 International Power Electronics and Application Conference and Exposition PEAC, Shanghai, China, 5–8 November 2014. [Google Scholar]
- Grandi, G.; Loncarski, J. Simplified Implementation of Optimised Carrier-Based PWM in Three-Level Inverters. Electron. Lett. 2014, 50, 631–633. [Google Scholar] [CrossRef]



















| Label | Description | Parameters |
|---|---|---|
| Vs | DC voltage source | 100 V |
| Rs | DC source resistance | 5 Ω |
| Ls | DC source inductance | 10.15 mH |
| C1, C2 | DC-link capacitors | 1.12 mF |
| f, fsw | fundamental and switching frequencies | 50 Hz, 2.5kHz |
| Load | φ = 0 | φ = 60° |
|---|---|---|
| RL | 3.16 Ω | 3.16 Ω |
| LL | 20.1 mH | 20.1 mH |
| Ro | 20 Ω | 0 |
| Co | 58 μF | 0 |
© 2018 by the authors. Licensee MDPI, Basel, Switzerland. This article is an open access article distributed under the terms and conditions of the Creative Commons Attribution (CC BY) license (http://creativecommons.org/licenses/by/4.0/).
Share and Cite
Hammami, M.; Rizzoli, G.; Mandrioli, R.; Grandi, G. Capacitors Voltage Switching Ripple in Three-Phase Three-Level Neutral Point Clamped Inverters with Self-Balancing Carrier-Based Modulation. Energies 2018, 11, 3244. https://doi.org/10.3390/en11123244
Hammami M, Rizzoli G, Mandrioli R, Grandi G. Capacitors Voltage Switching Ripple in Three-Phase Three-Level Neutral Point Clamped Inverters with Self-Balancing Carrier-Based Modulation. Energies. 2018; 11(12):3244. https://doi.org/10.3390/en11123244
Chicago/Turabian StyleHammami, Manel, Gabriele Rizzoli, Riccardo Mandrioli, and Gabriele Grandi. 2018. "Capacitors Voltage Switching Ripple in Three-Phase Three-Level Neutral Point Clamped Inverters with Self-Balancing Carrier-Based Modulation" Energies 11, no. 12: 3244. https://doi.org/10.3390/en11123244
APA StyleHammami, M., Rizzoli, G., Mandrioli, R., & Grandi, G. (2018). Capacitors Voltage Switching Ripple in Three-Phase Three-Level Neutral Point Clamped Inverters with Self-Balancing Carrier-Based Modulation. Energies, 11(12), 3244. https://doi.org/10.3390/en11123244

