Dynamic Power Flow Cascading Failure Analysis of Wind Power Integration with Complex Network Theory
Abstract
:1. Introduction
2. Complex Network Theory
2.1. Typical Networks
2.2. Basic Characteristics
3. Complex Network Model
3.1. DACPF
3.2. Boundary Conditions
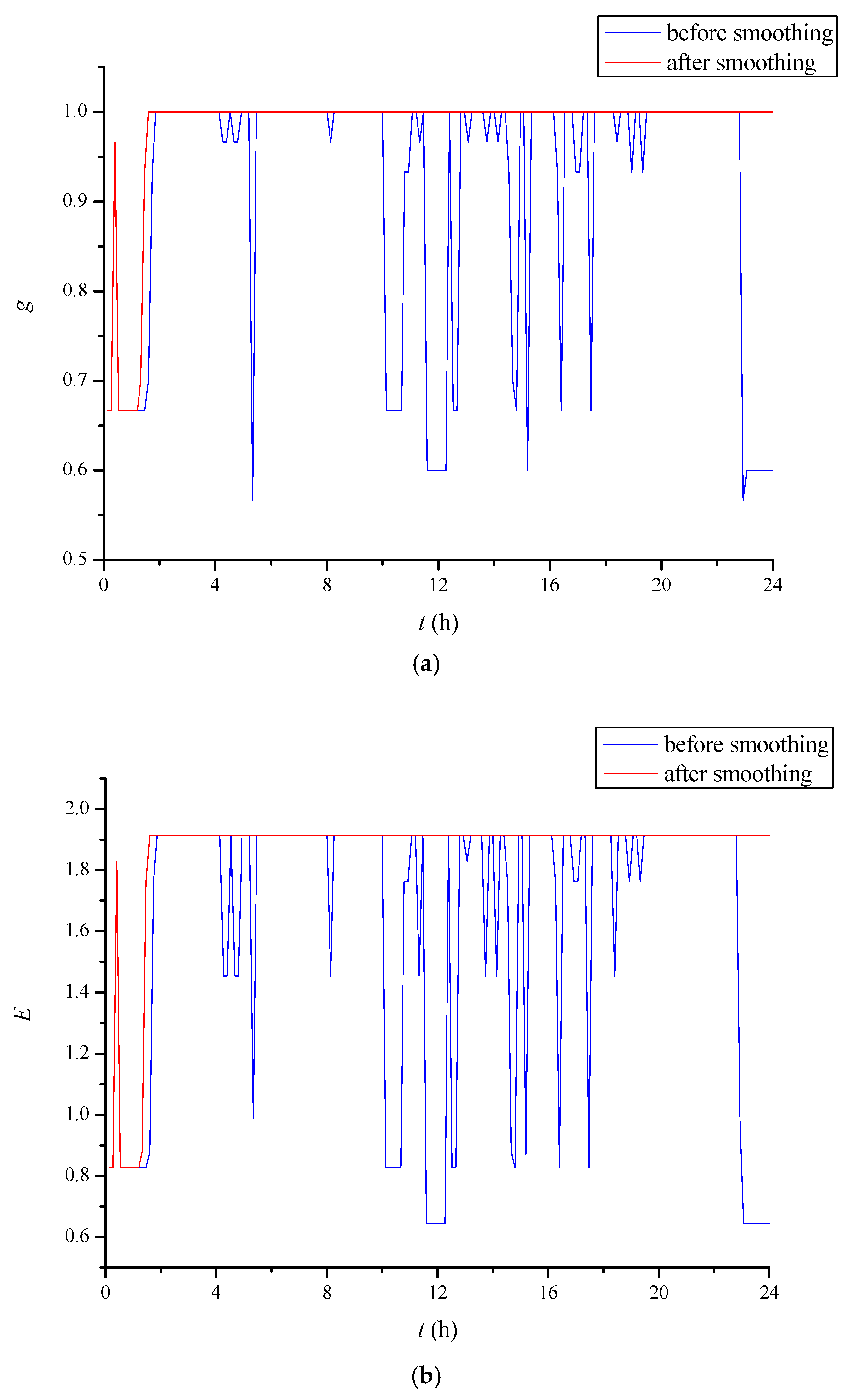
3.3. Evaluation Indicators
3.4. Simulation Process
- (1)
- Initial DACPF, including active power, reactive power, voltage and current are calculated based on the given conditions. Then, determine the boundaries of network voltage and current according to Equations (6) and (7).
- (2)
- Wind power integration.
- (3)
- Recalculate DACPF of power system, and remove the nodes or edges, whose voltage or current exceed the limit values. Repeat this process until no failure occurs.
- (4)
- Estimate the impact of wind power on power grid with evaluation index.
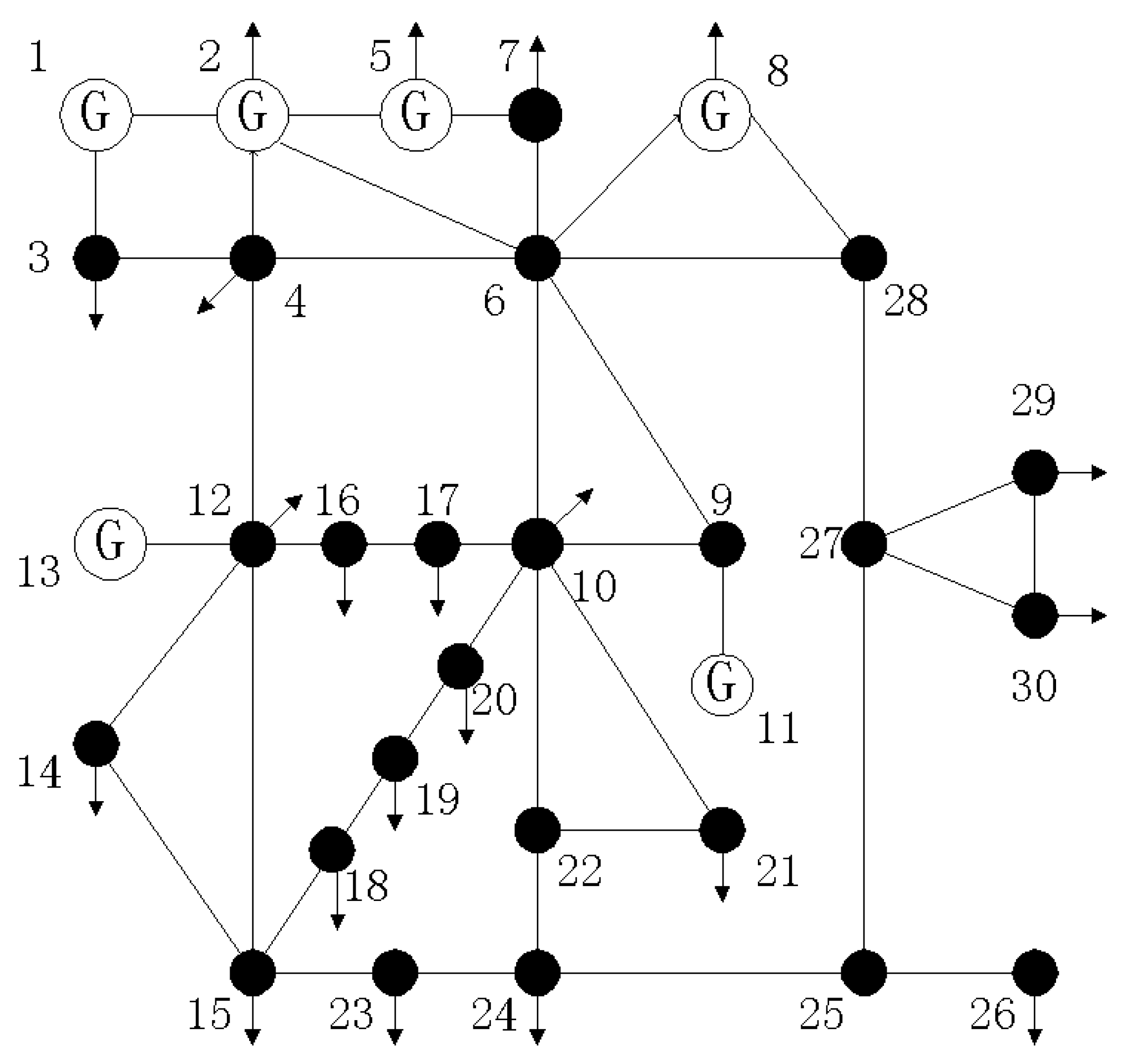
4. Case Study
4.1. Impact of Removing Nodes on Power System
4.2. Impact of Wind Power Integration on Power System
5. Conclusions
Acknowledgment
Author Contributions
Conflicts of Interest
References
- US-Canada Power System Outage Task Force. Final Report of the August 14th Blackout in US and Canada; United States Department of Energy and National Resources Canada: Washington, DC, USA; Ottawa, ON, Canada, 2004.
- National Grid Company. Investigation Report into the Loss of Supply Incident Affecting Parts of South London at 18:20 on Thursday; Technical Report; National Grid UK: London, UK, 2003. [Google Scholar]
- Chowdhury, T.; Chakrabarti, A.; Chanda, C.K. Analysis of vulnerability indices of power grid integrated DG units based on complex network theory. In Proceedings of the IEEE India Conference, New Delhi, India, 17–20 December 2015. [Google Scholar]
- Wang, Z.Y.; Chen, G.; Hill, D.J.; Dong, Z.Y. A power flow based model for the analysis of vulnerability in power networks. Physica A 2017, 460, 105–115. [Google Scholar] [CrossRef]
- Luo, G.; Shi, D.G.; Chen, J.F.; Duan, X.Z. Automatic identification of transmission sections based on complex network theory. IET Gener. Transm. Distrib. 2014, 8, 1203–1210. [Google Scholar]
- Chu, C.C.; Iu, H.H.C. Complex networks theory for modern smart grid applications: A survey. IEEE J. Emerg. Sel. Top. Circuits Syst. 2017, 7, 177–191. [Google Scholar]
- Correa, G.J.; Yusta, J.M. Grid vulnerability analysis based on scale-free graphs versus power flow models. Electr. Power Syst. Res. 2013, 101, 71–79. [Google Scholar]
- Fan, W.L.; Liu, Z.G.; Hu, P.; Mei, S.W. Cascading failure model in power grids using the complex network theory. IET Gener. Transm. Distrib. 2016, 10, 3940–3949. [Google Scholar]
- Yin, R.R.; Liu, B.; Liu, H.R.; Li, Y.Q. Research on invulnerability of the random scale-free network against cascading failure. Physica A 2016, 444, 458–465. [Google Scholar]
- Zhang, W.; Pei, W.; Guo, T.D. An efficient method of robustness analysis for power grid under cascading failure. Saf. Sci. 2014, 64, 121–126. [Google Scholar]
- Liu, J.; Xiong, Q.Y.; Shi, X.; Wang, K.; Shi, W. Robustness of complex networks with an improved breakdown probability against cascading failures. Physica A 2016, 456, 302–309. [Google Scholar]
- Zhang, J.H.; Xu, X.M.; Hong, L.; Wang, S.L.; Fei, Q. Attack vulnerability of self-organizing networks. Saf. Sci. 2012, 50, 443–447. [Google Scholar]
- Wang, J.W.; Rong, L.L. Robustness of the western United States power grid under edge attack strategies due to cascading failures. Saf. Sci. 2011, 49, 807–812. [Google Scholar]
- Wang, J.W.; Rong, L.L. Vulnerability of effective attack on edges in scale-free networks due to cascading failures. Int. J. Mod. Phys. C 2009, 20, 1291–1298. [Google Scholar] [CrossRef]
- Peng, X.Z.; Yao, H.; Du, J.; Wang, Z.; Ding, C. Invulnerability of scale-free network against critical node failures based on a renewed cascading failure model. Physica A 2015, 421, 69–77. [Google Scholar] [CrossRef]
- Nicholson, C.D.; Barker, K.; Ramirez-Marquez, J.E. Flow-based vulnerability measures for network component importance: Experimentation with preparedness planning. Reliab. Eng. Syst. Saf. 2016, 145, 62–73. [Google Scholar] [CrossRef]
- Bompard, E.; Pons, E.; Wu, D. Extended topological metrics for the analysis of power grid vulnerability. IEEE Syst. J. 2012, 6, 481–487. [Google Scholar] [CrossRef]
- Bompard, E.; Wu, D.; Xue, F. Structural vulnerability of power systems: A topological approach. Electr. Power Syst. Res. 2011, 81, 1334–1340. [Google Scholar] [CrossRef]
- Yan, J.; He, H.B.; Sun, Y. Integrated security analysis on cascading failure in complex networks. IEEE Trans. Inf. Forensics Secur. 2014, 9, 451–463. [Google Scholar] [CrossRef]
- Lin, Z.Z.; Wen, F.S.; Xue, Y.S. A restorative self-healing algorithm for transmission systems based on complex network theory. IEEE Trans. Smart Grid 2016, 7, 2154–2162. [Google Scholar] [CrossRef]
- Yan, J.; Tang, Y.F.; He, H.B.; Sun, Y. Cascading failure analysis with DC power flow model and transient stability analysis. IEEE Trans. Power Syst. 2015, 30, 285–297. [Google Scholar] [CrossRef]
- Qi, H.B.; Shi, L.B.; Ni, Y.X.; Yao, L.Z.; Masoud, B. Study on power system vulnerability assessment based on cascading failure model. In Proceedings of the 2014 IEEE PES General Meeting Conference & Exposition, National Harbor, MD, USA, 27–31 July 2014; pp. 1–7. [Google Scholar]
- Chen, G.; Dong, Z.Y.; Hill, D.J.; Zhang, G.H.; Hua, K.Q. Attack structural vulnerability of power grids: A hybrid approach based on complex networks. Physica A 2010, 389, 595–603. [Google Scholar] [CrossRef]
- Dwivedi, A.; Yu, X.H. A maximum-flow-based complex network approach for power system vulnerability analysis. IEEE Trans. Ind. Inform. 2013, 9, 81–88. [Google Scholar] [CrossRef]
- Dey, P.; Mehra, R.; Kazi, F.; Wagh, S.; Singh, N.M. Impact of topology on the propagation of cascading failure in power grid. IEEE Trans. Smart Grid 2016, 7, 1970–1978. [Google Scholar] [CrossRef]
- Sun, Y.S.; Tang, X.S. Cascading failure analysis of power flow on wind power based on complex network theory. J. Mod. Power Syst. Clean Energy 2014, 2, 411–421. [Google Scholar] [CrossRef]
- Sole, R.V.; Valverde, S. Information transfer and phase transitions in a model of internet traffic. Physica A 2001, 289, 595–605. [Google Scholar] [CrossRef]
- Erdös, P.; Rényi, A. On the evolution of random graphs. Publ. Math. Inst. Hung. Acad. Sci. 1960, 5, 17–61. [Google Scholar]
- Watts, D.J.; Strogatz, S.H. Collective dynamics of “small—World” networks. Nature 1998, 393, 440–442. [Google Scholar] [CrossRef] [PubMed]
- Newman, M.E.J.; Watts, D.J. Renormalization group analysis of the small-world network model. Phys. Lett. A 1999, 263, 341–346. [Google Scholar] [CrossRef]
- Monfared, M.A.S.; Jalili, M.; Alipour, Z. Topology and vulnerability of the Iranian power grid. Physica A 2014, 406, 24–33. [Google Scholar] [CrossRef]
- Pagani, G.A.; Aiello, M. Towards decentralization: A topological investigation of the medium and low voltage grids. IEEE Trans. Smart Grid 2011, 2, 538–547. [Google Scholar] [CrossRef]
- Barabási, A.L.; Albert, R. Emergence of scaling in random networks. Science 1999, 286, 509–512. [Google Scholar] [PubMed]
- Albert, R.; Albert, I.; Nakarado, G.L. Structural vulnerability of the North American power grid. Phys. Rev. E 2004, 69, 025103(R). [Google Scholar] [CrossRef] [PubMed]
- Lai, Y.C.; Motter, A.E.; Nisllikawa, T. Attacks and cascades in complex networks. Lect. Notes Phys. 2004, 650, 299–310. [Google Scholar]
- Jiang, Q.Y.; Gong, Y.Z.; Wang, H.J. A battery energy storage system dual-layer control strategy for mitigating wind farm fluctuations. IEEE Trans. Power Syst. 2013, 28, 3263–3273. [Google Scholar] [CrossRef]











© 2017 by the authors. Licensee MDPI, Basel, Switzerland. This article is an open access article distributed under the terms and conditions of the Creative Commons Attribution (CC BY) license (http://creativecommons.org/licenses/by/4.0/).
Share and Cite
Sun, Y.; Tang, X.; Zhang, G.; Miao, F.; Wang, P. Dynamic Power Flow Cascading Failure Analysis of Wind Power Integration with Complex Network Theory. Energies 2018, 11, 63. https://doi.org/10.3390/en11010063
Sun Y, Tang X, Zhang G, Miao F, Wang P. Dynamic Power Flow Cascading Failure Analysis of Wind Power Integration with Complex Network Theory. Energies. 2018; 11(1):63. https://doi.org/10.3390/en11010063
Chicago/Turabian StyleSun, Yushu, Xisheng Tang, Guowei Zhang, Fufeng Miao, and Ping Wang. 2018. "Dynamic Power Flow Cascading Failure Analysis of Wind Power Integration with Complex Network Theory" Energies 11, no. 1: 63. https://doi.org/10.3390/en11010063
APA StyleSun, Y., Tang, X., Zhang, G., Miao, F., & Wang, P. (2018). Dynamic Power Flow Cascading Failure Analysis of Wind Power Integration with Complex Network Theory. Energies, 11(1), 63. https://doi.org/10.3390/en11010063

