Gas-Lifting Characteristics of Methane-Water Mixture and Its Potential Application for Self-Eruption Production of Marine Natural Gas Hydrates
Abstract
:1. Introduction
2. Mathematical Model
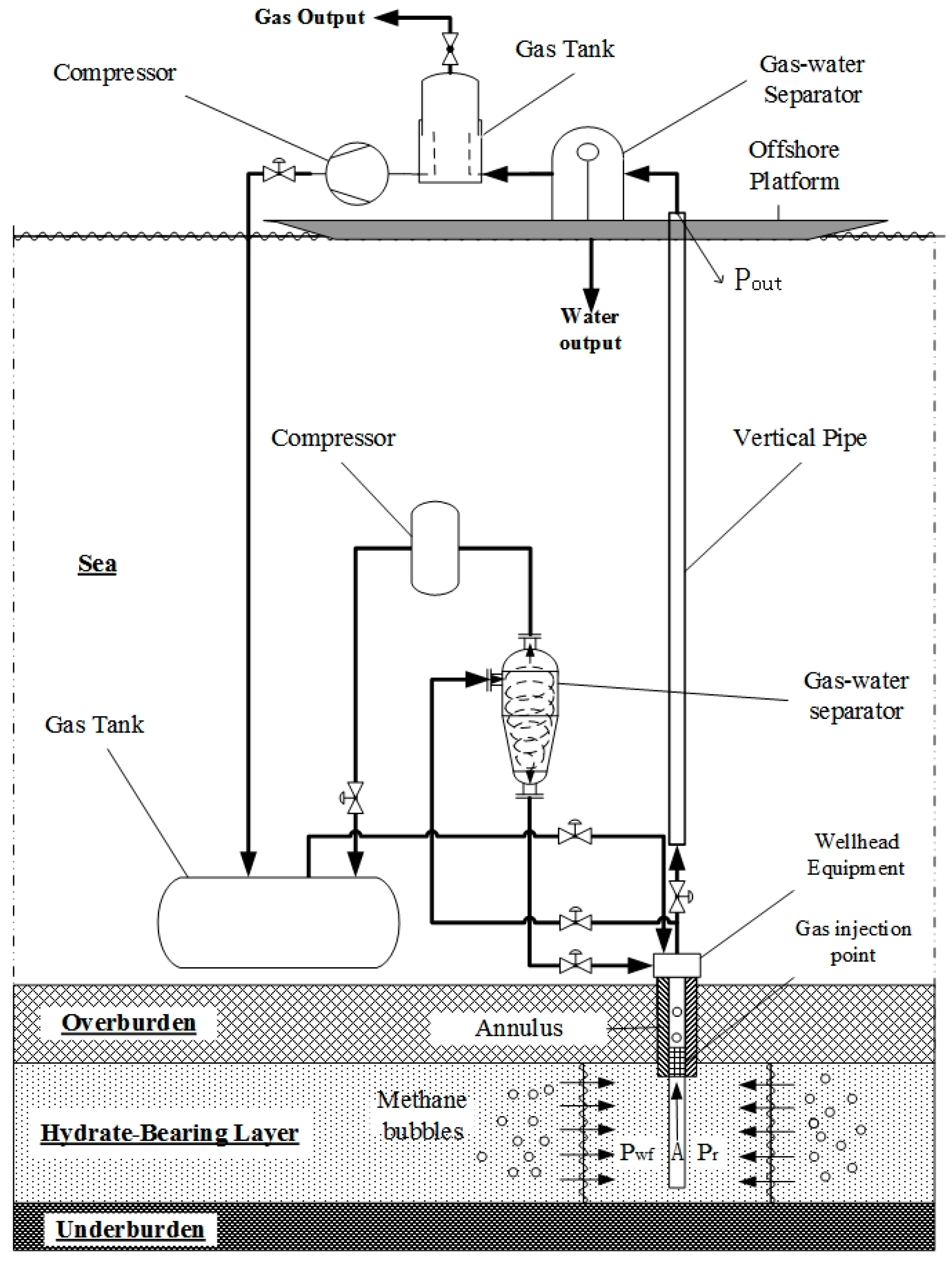
2.1. Scheme of Methane-Water Mixture Transportation by Gas Lifting
2.2. Methane-Water Two Phase Flow Model
2.3. State Equation of Methane-Water Mixture
2.4. Energy Analysis of the NGH Production Process under Ideal Condition
2.5. Computational Method
3. Results and Discussion
3.1. Model Validation
3.2. Evaluation of Gas-Lifting Method on NGH Production
3.2.1. Advantages of Gas Lifting Method in NGH Production
3.2.2. Gas-Lifting Performance of Methane-Water Mixture
3.2.3. Energy Consumption of NGH Self-Eruption Production
3.3. Study on Sensitivity Parameters
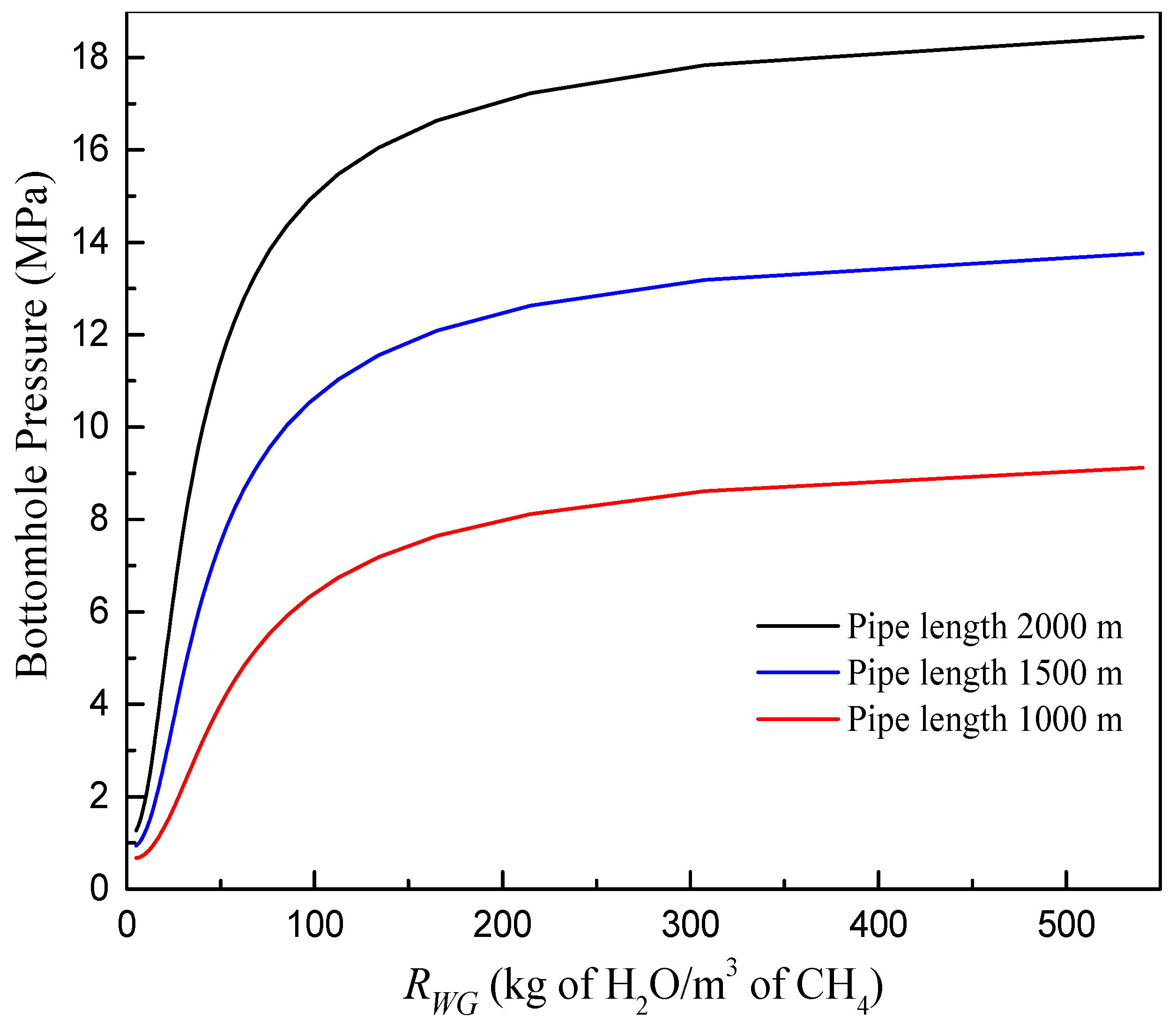
3.3.1. Effects of Inlet Water-Gas Ratio
3.3.2. Effects of Inner Diameter of the Vertical Pipe
3.3.3. Effects of Two Phase Flow Rate
4. Conclusions
Acknowledgments
Author Contributions
Conflicts of Interest
Nomenclature
| correction factor | |
| specific heat of gas (KJ/kg) | |
| specific heat of water (KJ/kg) | |
| pipe inner diameter (m) | |
| gravitational acceleration (m/s2) | |
| intrinsic permeability (m2) | |
| molar mass of methane (kg/mol) | |
| dissociated gas mass of per unit mass of hydrate (kg) | |
| dissociated water mass of per unit mass of hydrate (kg) | |
| correction factor | |
| quantity of heat used for hydrate dissociation (mol) | |
| methane-water mixture pressure (Pa) | |
| critical pressure (Pa) | |
| outlet pressure at ocean surface (Pa) | |
| constant production pressure (Pa) | |
| bottomhole pressure (Pa) | |
| flow rate methane-water mixture (kg/s) | |
| molar quantity of hydrate dissociation (KJ) | |
| heat release of the system during the hydrate dissociation process (KJ) | |
| heat transfer from surrounding water to the per unit mass of hydrate (KJ/kg) | |
| gas constant (J/mol·K) | |
| methane-water mixture Reynolds number | |
| radius of hydrate-bearing-layer (m) | |
| water-gas ratio (kg H2O/Nm3 CH4) | |
| methane solubility in seawater (kg/kg) | |
| methane solubility in seawater under bottomhole condition (kg/kg) | |
| methane-water mixture temperature (K) | |
| critical temperature (K) | |
| reduced temperature (K) | |
| methane-water mixture velocity (m/s) | |
| gas specific volume (m3/kg) | |
| work exchange between surroundings and the system (KJ) | |
| vertical pipe depth (m) | |
| frictional pressure gradient (Pa/m) | |
| gas compression factor | |
| mixture density (kg/m3) | |
| gas density (kg/m3) | |
| seawater density (kg/m3) | |
| methane-water mixture viscosity (Pa·s) | |
| gas mass fraction in mixture (kg/kg) | |
| gas mass fraction in mixture under inlet condition (kg/kg) | |
| dissociation heat of hydrate (KJ/mol) | |
| change of kinetic energy from the reservoir condition to the surface condition (KJ) | |
| change of potential energy from the reservoir condition to the surface condition (KJ) |
References
- Sloan, E.D.; Koh, C.A. Clathrate Hydrates of Natural Gases, 3rd ed.; CRC Press: Boca Raton, FL, USA, 2007; p. 721. [Google Scholar]
- Makogon, Y.F. Hydrates of Natural Gas; In PennWell: Tulsa, OK, USA, 1981. [Google Scholar]
- Boswell, R.; Collett, T.S. Current perspectives on gas hydrate resources. Energy Environ. Sci. 2011, 4, 1206–1215. [Google Scholar] [CrossRef]
- Milkov, A.V. How and Why the Global Estimates of Hydrate-Bound Gas in Marine Sediments Decreased over the Last Thirty Years and What this Means for Resources and Global Change Evaluations; American Geophysical Union: Washington, DC, USA, 2003. [Google Scholar]
- Makogon, Y.F.; Holditch, S.A.; Makogon, T.Y. Natural gas-hydrates—A potential energy source for the 21st Century. J. Petrol. Sci. Eng. 2007, 56, 14–31. [Google Scholar] [CrossRef]
- Japan Oil, Gas and Metals National Corporation (GOGMEC). Gas Produced from Methane Mydrate (Provisional). 2013. Available online: http://www.jogmec.go.jp/english/news/release/news_01_000006.html (accessed on 19 March 2013).
- Natural Gas World. China Successfully Completes First Gas Hydrate Trial. 2017. Available online: http://www.jwnenergy.com/article/2017/8/china-successfully-completes-first-gas-hydrate-trial (accessed on 1 August 2017).
- Yin, Z.Y.; Chong, Z.R.; Tan, H.K.; Linga, P. Review of gas hydrate dissociation kinetic models for energy recovery. J. Nat. Gas. Sci. Eng. 2016, 35, 1362–1387. [Google Scholar] [CrossRef]
- Li, G.; Moridis, G.J.; Zhang, K.N.; Li, X.S. Evaluation of gas production potential from marine gas hydrate deposits in Shenhu Area of South China Sea. Energy Fuels 2010, 24, 6018–6033. [Google Scholar] [CrossRef]
- Moridis, G.J.; Reagan, M.T.; Boyle, K.L.; Zhang, K.N. Evaluation of the gas production potential of some particularly challenging types of oceanic hydrate deposits. Transp. Porous Med. 2011, 90, 269–299. [Google Scholar] [CrossRef]
- Brill, J.P. Multiphase Flow in Wells. J. Petrol. Technol. 1987, 39, 15–21. [Google Scholar] [CrossRef]
- Moridis, G.J.; Reagan, M.T. Strategies for gas production from oceanic class 3 hydrate accumulations. In Proceedings of the 2007 Offshore Technology Conference, Houston, TX, USA, 30 April–3 May 2007. [Google Scholar]
- Moridis, G.J.; Collett, T.S.; Boswell, R.; Kurihara, M.; Reagan, M.T.; Koh, C.; Sloan, E.D. Toward Production From Gas Hydrates: Current Status, Assessment of resources and simulation-based evaluation of technology and potential. SPE Reserv. Eval. Eng. 2009, 12, 745–771. [Google Scholar] [CrossRef]
- Moridis, G.J.; Reagan, M.I.; Kim, S.J.; Seol, Y.; Zhang, K. Evaluation of the gas production potential of marine hydrate deposits in the Ulleung Basin of the Korean East Sea. SPE J. 2009, 14, 759–781. [Google Scholar] [CrossRef]
- Konno, Y.; Fujii, T.; Sato, A.; Akamine, K.; Naiki, M.; Masuda, Y.; Yamamoto, K.; Nagao, J. Key findings of the world’s first offshore methane hydrate production test off the coast of Japan: Toward future commercial production. Energy Fuels 2017, 31, 2607–2616. [Google Scholar] [CrossRef]
- Heeschen, K.U.; Abendroth, S.; Priegnitz, M.; Spangenberg, E.; Thaler, J.; Schicks, J.M. Gas production from methane hydrate: A laboratory simulation of the multistage depressurization test in Mallik, Northwest Territories, Canada. Energy Fuels 2016, 30, 6210–6219. [Google Scholar] [CrossRef]
- Li, G.; Li, B.; Li, X.S.; Zhang, Y.; Wang, Y. Experimental and numerical studies on gas production from methane hydrate in porous media by depressurization in pilot-scale hydrate simulator. Energy Fuels 2012, 26, 6300–6310. [Google Scholar] [CrossRef]
- Moridis, G.J.; Kim, J.; Reagan, M.T.; Kim, S.J. Feasibility of gas production from a gas hydrate accumulation at the UBGH2-6 site of the Ulleung basin in the Korean East Sea. J. Petrol. Sci. Eng. 2013, 108, 180–210. [Google Scholar] [CrossRef]
- Zhang, Y.X. Methane escape from gas hydrate systems in marine environment and methane-driven oceanic eruptions. Geophys. Res. Lett. 2003, 30, 325–348. [Google Scholar] [CrossRef]
- Giot, M. Three phase flow. In Handbook of Multiphase Systems; McGraw-Hill Book Co.: New York, NY, USA, 1982; Volume 7. [Google Scholar]
- Hasan, A.R.; Kabir, C.S.; Sayarpour, M. Simplified two-phase flow modeling in wellbores. J. Petrol. Sci. Eng. 2010, 72, 42–49. [Google Scholar] [CrossRef]
- Wilson, L.; Sparks, R.S.J.; Walker, G.P.L. Explosive volcanic-eruptions. 4. The control of magma properties and conduit geometry on eruption column behavior. Geophys. J. R. Astr. Soc. 1980, 63, 117–148. [Google Scholar] [CrossRef]
- Soave, G. Equilibrium constants from a modified Redlich-Kwong equation of state. Chem. Eng. Sci. 1972, 27, 1197–1203. [Google Scholar] [CrossRef]
- Duan, Z.H.; Moller, N.; Greenberg, J.; Weare, J.H. The prediction of methane solubility in natural-waters to high ionic-strength from 0 to 250 °C and from 0 to 1600 bar. Geochim. Cosmochim. Acta 1992, 56, 1451–1460. [Google Scholar] [CrossRef]
- Feng, J.C.; Wang, Y.; Li, X.S.; Chen, Z.Y.; Li, G.; Zhang, Y. Investigation into optimization condition of thermal stimulation for hydrate dissociation in the sandy reservoir. Appl. Energy 2015, 154, 995–1003. [Google Scholar] [CrossRef]
- Zhang, Y.X. Energetics of gas-driven limnic and volcanic eruptions. J. Volcanol. Geotherm. Res. 2000, 97, 215–231. [Google Scholar] [CrossRef]
- Hagedorn, A.R.; Brown, K.E. Experimental study of pressure gradients occurring during continuous two-phase flow in small-diameter vertical conduits. J. Petrol. Technol. 1965, 17, 475–484. [Google Scholar] [CrossRef]
- Orkiszewski, J. Predicting two-phase pressure drops in vertical pipe. J. Petrol. Technol. 1967, 19, 829–838. [Google Scholar] [CrossRef]
- Aziz, K.; Fogarasi, M.; Govier, G.W. Pressure-drop in wellsproducing oil and gas. J. Can. Petrol. Technol. 1972, 11, 38–47. [Google Scholar] [CrossRef]
- Ansari, A.M.; Sylvester, N.D.; Sarica, C.; Shoham, O.; Brill, J.P. A comprehensive mechanistic model for upward two-phase flow in wellbores. SPE Prod. Facil. 1994, 9, 143–152. [Google Scholar] [CrossRef]
- Beggs, H.D.; Brill, J.P. Study of two-Phase Flow in Inclined Pipes. J. Petrol. Technol. 1973, 25, 607–617. [Google Scholar] [CrossRef]
- Mukherjee, H.; Brill, J.P. Pressure-drop correlations for inclined two-phase flow. J. Energy Resour. Technol. 1985, 107, 549–554. [Google Scholar] [CrossRef]
- Hasan, A.R.; Kabir, C.S.; Sarica, C. Fluid Flow and Heat Transfer in Wellbores; Society of Petroleum Engineers: Richardson, TX, USA, 2002. [Google Scholar]
- Hibiki, T.; Ishii, M. One-dimensional drift-flux model for two-phase flow in a large diameter pipe. Int. J. Heat Mass Transf. 2003, 46, 1773–1790. [Google Scholar] [CrossRef]
- Shi, H.; Holmes, J.A.; Durlofsky, L.J.; Aziz, K.; Diaz, L.R.; Alkaya, B.; Oddie, G. Drift-flux modeling of two-phase flow in wellbores. SPE J. 2005, 10, 24–33. [Google Scholar] [CrossRef]
- Bhagwat, S.M.; Ghajar, A.J. A flow pattern independent drift flux model based void fraction correlation for a wide range of gas-liquid two phase flow. Int. J. Multiph. Flow 2014, 59, 186–205. [Google Scholar] [CrossRef]
- Wang, Y.; Feng, J.C.; Li, X.S.; Zhang, Y.; Li, G. Evaluation of gas production from marine hydrate deposits at the GMGS2-Site 8, Pearl River Mouth Basin, South China Sea. Energies 2016, 9, 222. [Google Scholar] [CrossRef]
- Zhang, Y.X. Dynamics of CO2-driven lake eruptions. Nature 1996, 379, 57–59. [Google Scholar] [CrossRef]
- Kennett, J.P.; Cannariato, K.G.; Hendy, I.L.; Behl, R.J. Carbon isotopic evidence for methane hydrate instability during quaternary interstadials. Science 2000, 288, 128–133. [Google Scholar] [CrossRef] [PubMed]
- Gregory, G.A.; Fogarasi, M.; Aziz, K. Analysis of vertical two-phase flow calculations-crude oil-gas flow in well tubing. J. Can. Petrol. Technol. 1980, 19, 86–92. [Google Scholar] [CrossRef]
















| Variables | Maximum | Minimum |
|---|---|---|
| q (kg/s) | 5.0000 | 1.7968 |
| Gas content (kg/kg) | 0.1480 | 0.03334 |
| Pipe Length (m) | 1453 | 1129 |
| Pwf (MPa) | 10.6869 | 6.8948 |
| Pout (MPa) | 4.8263 | 1.0342 |
| Variables | UBGH2-6 [18] | GMGS2-8 [37] | Shenhu SH7 [9] |
|---|---|---|---|
| q (kg/s) | 0.6465–18.6446 | 21.87–61.03 | 10.46–44.8 |
| RWG (kg H2O/Nm3 CH4) | 5–117 | 198–952 | 189–1571 |
| Pipe Length (m) | 2320 | 875 | 1274 |
| Salinity (%) | 3.50 | 3.50 | 3.05 |
| Production pressure (MPa) | 3.0 | 4.5 | 10.96 |
| Inner diameter (mm) | 200 | 200 | 200 |
| Temperature in pipe (K) | 280 | 279 | 286.5 |
| Reservoir temperature (K) | 289 | 280.5 | 287 |
| Reservoir pressure (MPa) | 23 | 9 | 13.83 |
| Reservoir boundary | Impermeable | Permeable | Permeable |
| Permeability of HBL (mD) | 500 | 7500 | - |
© 2018 by the authors. Licensee MDPI, Basel, Switzerland. This article is an open access article distributed under the terms and conditions of the Creative Commons Attribution (CC BY) license (http://creativecommons.org/licenses/by/4.0/).
Share and Cite
Zhang, J.; Li, X.; Chen, Z.; Zhang, Y.; Li, G.; Yan, K.; Lv, T. Gas-Lifting Characteristics of Methane-Water Mixture and Its Potential Application for Self-Eruption Production of Marine Natural Gas Hydrates. Energies 2018, 11, 240. https://doi.org/10.3390/en11010240
Zhang J, Li X, Chen Z, Zhang Y, Li G, Yan K, Lv T. Gas-Lifting Characteristics of Methane-Water Mixture and Its Potential Application for Self-Eruption Production of Marine Natural Gas Hydrates. Energies. 2018; 11(1):240. https://doi.org/10.3390/en11010240
Chicago/Turabian StyleZhang, Jinming, Xiaosen Li, Zhaoyang Chen, Yu Zhang, Gang Li, Kefeng Yan, and Tao Lv. 2018. "Gas-Lifting Characteristics of Methane-Water Mixture and Its Potential Application for Self-Eruption Production of Marine Natural Gas Hydrates" Energies 11, no. 1: 240. https://doi.org/10.3390/en11010240
APA StyleZhang, J., Li, X., Chen, Z., Zhang, Y., Li, G., Yan, K., & Lv, T. (2018). Gas-Lifting Characteristics of Methane-Water Mixture and Its Potential Application for Self-Eruption Production of Marine Natural Gas Hydrates. Energies, 11(1), 240. https://doi.org/10.3390/en11010240

