Distributed Variable Droop Curve Control Strategies in Smart Microgrid
Abstract
1. Introduction
- (1)
- A new smart MG which is closely integrated with the inner and outer control loops of inverter is presented.
- (2)
- Several new agent functions are defined and utilized in MG.
- (3)
- A novel SOC based auto-revised P-f droop curve and self-adjusted Q-U droop curve—variable droop curve strategies, taking ESS energy resource abundance into consideration and realizing reactive power sharing, are proposed.
- (4)
- The proposed variable droop curve adjustment algorithms are implemented autonomously in local. Secondary frequency and voltage restoration function are also carried out in local in decentralized ways. Secondary control working reliability for MG has been improved.
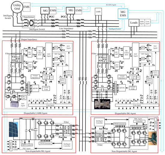
2. Multi Agent Based Smart MG
2.1. Smart DG Agents
2.2. Agent Functions
3. SOC Based Distributed Frequency Control
3.1. SOC Based Auto-Revised Variable Droop Curve Distributed Primary Control Algorithms
3.2. Distributed Secondary Control Algorithms
3.3. Active Power Sharing Algorithms
4. Distributed Voltage Control
4.1. Distributed Primary Control Algorithms
4.2. Self-Adjusted Variable Droop Curve Reactive Power Sharing Algorithms
4.3. Distributed Secondary Control Algorithms
5. Simulation Results
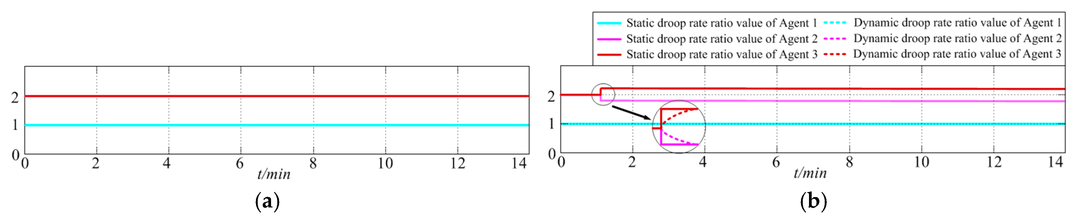
- (1)
- SOC intervals are divided into four, and static droop rate ratios between DG agents are chosen accordingly, seen in Table 1. To better demonstrate the process of droop rate change according to SOC value, actually droop rate ratios are changed for each 5 min.
- (2)
- DGs’ reactive power output results with and without adopting the proposed power sharing strategy are compared to verify the effectiveness of the proposed strategies.
- (3)
- MG frequency and bus voltage with and without applying the proposed secondary control are compared to show the validity of the frequency and voltage restoration strategies.
- (4)
- Agent 1 and agent 3 secondary control failures are simulated respectively to prove that the distributed secondary control has higher operation reliability.
6. Conclusions
Acknowledgments
Author Contributions
Conflicts of Interest
Nomenclature
| Κ | SOC interval length ratio. |
| Z | Total number of SOC intervals. |
| τP, τQ | Droop curve slope adjustment time τP « ΓP, τQ « ΓQ. |
| υP, υQ | Droop power adjustment time, υP < ΓP, υQ < ΓP. |
| ΓP, ΓQ | Operation period. |
| ε | Step function. |
| β | DSM effect coefficient (0 ≤ β ≤ 1). |
| Prefi[ΓP] | ith (I = 1,2, …, n) DG agent rated active power set point. |
| frefi[ΓP] | ith DG agent rated frequency setting point. |
| Pi[ΓP] | ith DG agent actual active power after primary control. |
| fi[ΓP] | ith DG agent actual frequency after primary control. |
| n0i[ΓP] | ith DG agent initial P-f droop curve rate. |
| ni[ΓP] | ith DG agent auto-revised droop curve rate. |
| Si[ΓP], Bi[ΓP] | ith DG agent on-off status binary variable. |
| x | Arbitrary time value within period ΓP. |
| x P, xQ | Secondary control time. |
| kfp/kfi, kEp/kEi | PI controller parameter. |
| δf, δE | Secondary control droop curve shift coefficient. |
| fave | Sampled frequencies average value. |
| ΔPi | Power induced by loads power-frequency characteristics. |
| Pi max | Rated capacity of ith dis-patchable DG agent. |
| PPVj max | Rated capacity of jth PV agent. |
| PWTk max | Rated capacity of kth WT agent. |
| PLoad max | Maximum load demands. |
| PnetLoad | Net load. |
| Ek[ΓQ + υQ] | kth DG agent actual terminal voltage after primary control. |
| Eref k[ΓQ] | kth DG agent Q-U droop curve reference voltage. |
| Emax[ΓQ] | kth DG agent maximum operating voltage. |
| Erated[ΓQ] | kth DG agent rated operating voltage. |
| Qk[ΓQ + υQ] | kth DG agent actual reactive power output after primary control. |
| Qref k[ΓQ] | kth DG agent Q-U droop curve reference reactive power. |
| mk[ΓQ] | kth DG agent initial Q-U droop curve rate. |
| Qk max[ΓQ] | kth DG agent rated reactive power capacity (crossover point of the initial Q-U droop curve and Q coordinate axis). |
| QLoad[ΓQ + υQ] | Load reactive power demands. |
| Eideal | Expected ideal voltage value. |
| QE k[ΓQ + υQ] | Expected ideal reactive power output of DG agent k. |
| QE ref k[ΓQ + υQ + τQ] | Expected reactive power reference value of self-adjusted droop curve. |
| EE ref k[ΓQ + υQ + τQ] | Expected voltage reference value of self-adjusted droop curve. |
| mE k[ΓQ + υQ + τQ] | Expected droop coefficient of self-adjusted droop curve. |
| Ek min[ΓQ] | Minimum allowable voltage. |
| EE2 ref k | Expected voltage reference value of self-adjusted droop curve after secondary control. |
| Qk[ΓQ + 1] | Next period crossover point of the droop curve and Q coordinate axis. |
References
- Hatziargyriou, N.; Asano, H.; Iravani, R.; Marnay, C. Microgrids. IEEE Power Energy Mag. 2007, 5, 78–94. [Google Scholar] [CrossRef]
- Yoo, H.-J.; Nguyen, T.-T.; Kim, H.-M. Multi-Frequency Control in a Stand-Alone Multi-Microgrid System Using a Back-To-Back Converter. Energies 2017, 10, 822. [Google Scholar] [CrossRef]
- Olivares, D.E.; Mehrizi-Sani, A.; Etemadi, A.H.; Canizares, C.A.; Iravani, R.; Kazerani, M.; Hajimiragha, A.H.; Gomis-Bellmunt, O.; Saeedifard, M.; Palma-Behnke, R.; et al. Trends in Microgrid Control. IEEE Trans. Smart Grid 2014, 5, 1905–1919. [Google Scholar] [CrossRef]
- Li, D.; Zhao, B.; Wu, Z.; Zhang, X.; Zhang, L. An Improved Droop Control Strategy for Low-Voltage Microgrids Based on Distributed Secondary Power Optimization Control. Energies 2017, 10, 1347. [Google Scholar] [CrossRef]
- Guerrero, J.M.; Výsquez, J.C.; Teodorescu, R. Hierarchical control of droop-controlled DC and AC microgrids—A general approach towards standardization. IEEE Trans. Ind. Electron. 2009, 58, 158–172. [Google Scholar] [CrossRef]
- Vandoorn, T.L.; Vasquez, J.C.; Kooning, J.D.; Guerrero, J.M.; Vandevelde, L. Microgrids: Hierarchical Control and an Overview of the Control and Reserve Management Strategies. IEEE Ind. Electron. Mag. 2013, 7, 42–55. [Google Scholar] [CrossRef]
- Rocabert, J.; Luna, A.; Blaabjerg, F.; Rodríguez, P. Control of Power Converters in AC Microgrids. IEEE Trans. Power Electron. 2012, 27, 4734–4749. [Google Scholar] [CrossRef]
- Wu, D.; Guerrero, J.M.; Vasquez, J.C.; Dragicevic, T.; Tang, F. Coordinated power control strategy based on primary-frequency-signaling for islanded microgrids. In Proceedings of the 2013 IEEE Energy Conversion Congress and Exposition, Denver, CO, USA, 15–19 September 2013; pp. 1033–1038. [Google Scholar]
- Wu, D.; Tang, F.; Dragicevic, T.; Vasquez, J.C.; Guerrero, J.M. Coordinated primary and secondary control with frequency-bus-signaling for distributed generation and storage in islanded microgrids. In Proceedings of the IECON 2013, 39th Annual Conference of the IEEE Industrial Electronics Society, Vienna, Austria, 10–13 November 2013; pp. 7140–7145. [Google Scholar]
- Shafiee, Q.; Stefanovic, C.; Dragicevic, T.; Popovski, P.; Vasquez, J.C.; Guerrero, J.M. Robust Networked Control Scheme for Distributed Secondary Control of Islanded Microgrids. IEEE Trans. Ind. Electron. 2014, 61, 5363–5374. [Google Scholar] [CrossRef]
- Micallef, A.; Apap, M.; Staines, C.S.; Zapata, J.M.G. Secondary control for reactive power sharing and voltage amplitude restoration in droop-controlled islanded microgrids. In Proceedings of the 2012 3rd IEEE International Symposium on Power Electronics for Distributed Generation Systems (PEDG), Aalborg, Denmark, 25–28 June 2012; pp. 492–498. [Google Scholar]
- Shafiee, Q.; Vasquez, J.C.; Guerrero, J.M. Distributed secondary control for islanded MicroGrids—A networked control systems approach. In Proceedings of the IECON 2012, 38th Annual Conference on IEEE Industrial Electronics Society, Montreal, QC, Canada, 25–28 October 2012; pp. 5637–5642. [Google Scholar]
- Bidram, A.; Davoudi, A.; Lewis, F.L.; Qu, Z. Secondary control of microgrids based on distributed cooperative control of multi-agent systems. IET Gener. Transm. Distrib. 2013, 7, 822–831. [Google Scholar] [CrossRef]
- Kundur, P.; Balu, N.J.; Lauby, M.G. Power System Stability and Control; McGraw-Hill: New York, NY, USA, 1994. [Google Scholar]
- Oyarzabal, J.; Jimeno, J.; Ruela, J.; Engler, A.; Hardt, C. Agent based micro grid management system. In Proceedings of the 2005 International Conference on Future Power Systems, Amsterdam, The Netherlands, 16–18 November 2005; p. 6. [Google Scholar]
- Liu, W.; Gu, W.; Sheng, W.; Meng, X.; Wu, Z.; Chen, W. Decentralized Multi-Agent System-Based Cooperative Frequency Control for Autonomous Microgrids With Communication Constraints. IEEE Trans. Sustain. Energy 2014, 5, 446–456. [Google Scholar] [CrossRef]
- Mao, M.; Jin, P.; Hatziargyriou, N.D.; Chang, L. Multiagent-Based Hybrid Energy Management System for Microgrids. IEEE Trans. Sustain. Energy 2014, 5, 938–946. [Google Scholar] [CrossRef]
- Meiqin, M.; Wei, D.; Chang, L. Design of a novel simulation platform for the EMS-MG Based on MAS. In Proceedings of the 2011 IEEE Energy Conversion Congress and Exposition, Phoenix, AZ, USA, 17–22 September 2011; pp. 2670–2675. [Google Scholar]
- Byun, J.; Hong, I.; Park, S. Intelligent cloud home energy management system using household appliance priority based scheduling based on prediction of renewable energy capability. IEEE Trans. Consum. Electron. 2013, 58, 1194–1201. [Google Scholar] [CrossRef]
- Kanchev, H.; Lu, D.; Colas, F.; Lazarov, l.; Francois, B. Energy Management and Operational Planning of a Microgrid with a PV-Based Active Generator for Smart Grid Applications. IEEE Trans. Ind. Electron. 2011, 58, 4583–4592. [Google Scholar] [CrossRef]
- Palma-Behnke, R.; Benavides, C.; Lanas, F.; Severino, B.; Reyes, L.; Llanos, J.; Sáez, D. A Microgrid Energy Management System Based on the Rolling Horizon Strategy. IEEE Trans. Smart Grid 2013, 4, 996–1006. [Google Scholar] [CrossRef]
- Saad, W.; Han, Z.; Poor, H.V.; Basar, T. Game-Theoretic Methods for the Smart Grid: An Overview of Microgrid Systems, Demand-Side Management, and Smart Grid Communications. IEEE Signal Process. Mag. 2012, 29, 86–105. [Google Scholar] [CrossRef]












| DG | Pmax/kW | Qmax/kvar | Pset/kW | Qset/kvar | fmax/Hz | Emax/V | n0 (kW/Hz) | m (kvar/V) | ||
|---|---|---|---|---|---|---|---|---|---|---|
| 1 | 10 | 5 | 0 | 0 | 50.1 | 222.2 | 12.5/0.1 | 5/1 | ||
| 2 | 25 | 10 | 0 | 0 | 50.1 | 222.2 | 25/0.1 | 10/1 | ||
| 3 | 25 | 10 | 0 | 0 | 50.1 | 222.2 | 25/0.1 | 10/1 | ||
| SOC | -- | [max, high] | [high, low]1 | [high, low]2 | [low, min] | -- | ||||
| droop | n01:n02:n03 | n1[1]:n2[1]:n3[1] | n1[2]:n2[2]:n3[2] | n1[3]:n2[3]:n3[3] | n1[4]:n2[4]:n3[4] | m1:m2:m3 | ||||
| ratio | 1:2:2 | ∞:0:0 | 1:1:1 | 1:2:2 | 0:1:1 | 1:2:2 | ||||
© 2017 by the authors. Licensee MDPI, Basel, Switzerland. This article is an open access article distributed under the terms and conditions of the Creative Commons Attribution (CC BY) license (http://creativecommons.org/licenses/by/4.0/).
Share and Cite
Deng, C.; Chen, Y.; Tan, J.; Xia, P.; Liang, N.; Yao, W.; Zhang, Y.-a. Distributed Variable Droop Curve Control Strategies in Smart Microgrid. Energies 2018, 11, 24. https://doi.org/10.3390/en11010024
Deng C, Chen Y, Tan J, Xia P, Liang N, Yao W, Zhang Y-a. Distributed Variable Droop Curve Control Strategies in Smart Microgrid. Energies. 2018; 11(1):24. https://doi.org/10.3390/en11010024
Chicago/Turabian StyleDeng, Changhong, Yahong Chen, Jin Tan, Pei Xia, Ning Liang, Weiwei Yao, and Yuan-ao Zhang. 2018. "Distributed Variable Droop Curve Control Strategies in Smart Microgrid" Energies 11, no. 1: 24. https://doi.org/10.3390/en11010024
APA StyleDeng, C., Chen, Y., Tan, J., Xia, P., Liang, N., Yao, W., & Zhang, Y.-a. (2018). Distributed Variable Droop Curve Control Strategies in Smart Microgrid. Energies, 11(1), 24. https://doi.org/10.3390/en11010024

