Next Article in Journal
Prediction of Dissolved Gas Concentrations in Transformer Oil Based on the KPCA-FFOA-GRNN Model
Next Article in Special Issue
Numerical Simulation of Fluid Flow through Fractal-Based Discrete Fractured Network
Previous Article in Journal
Topology-Based Estimation of Missing Smart Meter Readings
Previous Article in Special Issue
Mixed Finite Element Simulation with Stability Analysis for Gas Transport in Low-Permeability Reservoirs
 
 
Font Type:
Arial Georgia Verdana
Font Size:
Aa Aa Aa
Line Spacing:
Column Width:
Background:
Article

Gas Transport Model in Organic Shale Nanopores Considering Langmuir Slip Conditions and Diffusion: Pore Confinement, Real Gas, and Geomechanical Effects

1
State Key Laboratory of Oil and Gas Reservoir Geology and Exploitation, Southwest Petroleum University, Chengdu 610500, China
2
Research Center of China United Coalbed Methane Corporation, Ltd., Beijing 100011, China
3
Xinjiang Oilfield Company Capital Construction Engineering, Karamay, Xinjiang 834000, China
*
Authors to whom correspondence should be addressed.
Energies 2018, 11(1), 223; https://doi.org/10.3390/en11010223
Submission received: 3 December 2017 / Revised: 27 December 2017 / Accepted: 12 January 2018 / Published: 17 January 2018
(This article belongs to the Special Issue Flow and Transport Properties of Unconventional Reservoirs)

Abstract

:
Nanopores are extremely developed and randomly distributed in shale gas reservoirs. Due to the rarefied conditions in shale strata, multiple gas transport mechanisms coexist and need further understanding. The commonly used slip models are mostly based on Maxwell slip boundary condition, which assumes elastic collisions between gas molecules and solid surfaces. However, gas molecules do not rebound from solid surfaces elastically, but rather are adsorbed on them and then re-emitted after some time lag. A Langmuir slip permeability model was established by introducing Langmuir slip BC. Knudsen diffusion of bulk phase gas and surface diffusion of adsorbed gas were also coupled into our nanopore transport model. Considering the effects of real gas, stress dependence, thermodynamic phase changes due to pore confinement, surface roughness, gas molecular volume, and pore enlargement due to gas desorption during depressurization, a unified gas transport model in organic shale nanopores was established, which was then upscaled by coupling effective porosity and tortuosity to describe practical SGR properties. The bulk phase transport model, single capillary model, and upscaled porous media model were validated by data from experimental data, lattice Boltzmann method or model comparisons. Based on the new gas transport model, the equivalent permeability of different flow mechanisms as well as the flux proportion of each mechanism to total flow rate was investigated in different pore radius and pressure conditions. The study in this paper revealed special gas transport characteristics in shale nonopores and provided a robust foundation for accurate simulation of shale gas production.

1. Introduction

In recent decades, shale gas has drawn great attention globally, especially with its successful development in North America [1,2,3]. As a typical unconventional energy resource, shale gas transport mechanisms in organic shale nanopores display a number of unique characteristics; for example, the slippage effect, Knudsen diffusion, surface diffusion, and adsorption/desorption behaviors [4,5]. These unique transport mechanisms enhance the flow capability of shale gas and promote commercial production in shale gas reservoirs. Generally, Shale gas reservoir (SGR) is tight or ultratight formations, with pore sizes ranging from 1−200 nm [6] and matrix intrinsic permeability from 10−9–10−3 mD [7,8]. The stress dependence of shale properties, for example, porosity and permeability, complicates the study even further [9]. Thus, researching gas transport mechanisms in organic shale nanopores is a very complex and challenging task for petroleum engineers [10,11].
Gas adsorption is a special storage form in SGRs, which can account for up to 85% of the original gas in place due to the very large surface area of a shale formation [4]. On one hand, adsorbed gas increases the recoverable shale gas reserves, because it will desorb from pore surfaces when pressure decreases [12,13,14,15]; on the other, adsorbed gas occupies a certain amount of flow paths and changes the effective hydraulic radius, which cannot be ignored for nanometer-scale transport studies [10,11]. Surface diffusion of adsorbed gas occurs under a chemical potential energy gradient in shale nanopores [16] and facilitates shale gas production. Considering the high reservoir pressure and surface heterogeneity, a surface diffusion model of adsorbed gas in nanopores of SGRs was established and analyzed by Wu et al. [17]. A new formulation of apparent permeability (AP) for gas transport in SGRs was proposed by Zhang et al. [18], which took surface diffusion into account. Wang et al. [19] established an AP model for gas transport in shale nanopores considering multiple effects, such as non-Darcy flow and surface diffusion.
Viscous flow and Knudsen diffusion of free gas are two important bulk phase gas transport mechanisms. Due to the breakdown of the continuum hypothesis in nanopores, the viscous seepage theory must be modified to satisfy slip boundaries. Klinkenberg [20] devised an empirical formulation to account for the slippage effect, which linked slippage permeability to intrinsic permeability, average pressure, and an empirical parameter bk. After that, much effort has been made to obtain this parameter bk theoretically or empirically [21,22,23,24,25,26]. Basing their work on the dynamic slippage concept, Ertekin et al. [23] established a new AP model considering the slippage effect. Skjetne and Auriault [27] made a further study on the gas slippage flow phenomenon in porous media (PM) on the basis of the Navier–Stokes equation.
Another type of slip model is based on slip boundary conditions (BCs), including the first and second-order modifications. The Maxwell slip model [28] is a first-order approximation from kinetic theory, based on which many other permeability models [25,26,29] have been established for tight and shale gas reservoirs. Second-order slip velocity models have been successively proposed to improve calculation precision. Hisa et al. [30] investigated molecular rarefaction effects through experiments and proposed a new slip BC that added a second-order term to the Maxwell model [28]. Basing their work on high-order slip BCs and asymptotic analysis, Beskok and Karniadakis [31] proposed another widely used second-order slip velocity model. Considering the location difference between slip surface and solid wall, Zhang et al. [32] improved the Beskok–Karniadakis (BK) slip model by introducing a new parameter γ to describe the distance between the slip surface and the solid wall. Niu et al. [33] made a new second-order gas-permeability correlation for shale gas slip flow based on the study of Zhang et al. [32]. In summary, slip velocity models can uniformly be expressed as:
u slip = C 1 λ ( u n ) s + C 2 λ 2 ( 2 u n 2 ) s
where uslip is the velocity at the slip surface; λ is average mean free path of gas molecules; and C1 and C2 are two slip coefficients, the values of which are summarized in Table 1.
The values of some parameters in those slip velocity models, for example, the tangential momentum accommodation coefficient σv, can be very difficult to determine [39,40,41]. Although that coefficient is defined as the percentage of molecules reflected diffusively from solid walls, its physical meaning is still not very straightforward. The value has to be obtained by experiments or molecular dynamics (MD), which are also not easy tasks [41]. Besides, the slip velocity derived from those models may not be bounded, depending on specific situations [39,40], which may cause severe problems in numerical applications [42]. Except for Zhang et al. [32] and Niu et al. [33], all the studies in Table 1 ignored the distance between the slip surface and the solid wall. Meanwhile, in those studies, gas molecules through a slip surface are assumed to be comprised of molecules from solid wall and the surface λ away from the solid wall, which account for the same percentage of 50% (that is, nλ = nw = 0.5 ns). This assumption is also invalid when gas molecules are not uniformly distributed across the pipe section. The uneven molecule distribution, which can be attributed to the existence of gas molecular accumulation or adsorption near solid walls, has been proved by MD [32,33].
In those slip velocity models, the content of molecules diffusively reflected from solid walls is artificially assumed to be σv, whereas (1 − σv) is the ratio of molecules specularly reflected to incident molecules. However, in reality gas molecules do not rebound elastically from solid walls after colliding [39,40,41,43,44,45], due to the existence of attractive forces between gas and solid molecules. Gas molecules can be adsorbed on solid surfaces and then desorbed when the pressure decreases, causing an inelastic rebound. Therefore, a Langmuir slip BC more accurately describes the real slip phenomenon from the perspective of a physical meaning. Knudsen diffusion and surface diffusion are important gas transport mechanisms in shale nanopores. Although the Langmuir slip permeability (LSP) model for SGRs was first studied by Singh et al. [41], the results are not very convenient to apply. Besides, Knudsen/surface diffusion, real gas effects, geomechanical effects, and thermodynamics phase changes were also not considered in their research. Song et al. [46] pointed out that slippage flow, Knudsen diffusion, and surface diffusion were three gas transfer mechanisms in nanometer pores. However, the effects of slippage flow and Knudsen diffusion were broadly coupled together by the BK model [31] in their research, which ignored gas accumulation near pore walls and failed to distinguish the relative intensity of slippage flow and Knudsen diffusion in different conditions. Besides, the surface diffusion model in their study did not consider the effects of PM properties.
In this paper, considering gas-solid interaction, the slip phenomenon is described by the Langmuir slip BC [39,40,41], and a new slip model for bulk phase gas transport was established. Based our work on the LSP model, we also propose a new gas transport model coupling viscous flow, slippage effect, Knudsen diffusion, surface diffusion, and adsorption/desorption. Also taken into consideration were the real gas effect, stress dependence of physical properties, thermodynamics phase changes due to pore confinement, and dynamic adsorption layer thickness. The advantages of our LSP model over previous Maxwell-based ones are also illustrated. To make our gas transport model more applicable to practical situations, we re-expressed it in an AP form and upscaled it from a single capillary model to a porous media form, which coupled porosity and tortuosity into AP model and considered the effects of adsorbed gas volume on effective porosity.

2. Flow Mechanisms and Their Description in Nanopores

The three main gas storage forms in SGRs are free gas, adsorbed gas, and dissolved gas. Due to the nanometer-scale effect, bulk phase free gas can be transferred by slippage viscous flow under pressure gradient and by Knudsen diffusion under a concentration field. Meanwhile, adsorbed gas can move from one site to another to achieve mass transport on pore surface by surface diffusion [47]. The typical gas storage and transport form in shale nanopores is shown in Figure 1.

2.1. Stress-Dependent Darcy Permeability

As is known, the intrinsic permeability of a nanometer capillary with a circular section can be given [19,46,48] as:
k ins = r 2 8
where r is the radius of the capillary tube.
To take stress dependence into account, we adopt Gangi’s model [46,49,50] to describe the permeability change under effective stress:
k ins σ = k 0 [ 1 ( σ p 1 ) m ] 3 [ 1 ( σ 0 p 1 ) m ] 3 ,
where k0 is the formation permeability at original state, m2; p1 and m are parameters related to the pore stiffness and roughness respectively; σ0 is effective stress of initial state, Pa; σ is the effective stress during production, which can be obtained by:
σ = p s α p
where ps is overburden formation pressure, Pa; α is Biot constant, dimensionless; p is reservoir pressure, Pa.
Considering the geomechanical impacts of formation compaction during reservoir depletion, we have the intrinsic permeability expression as follows by coupling Equations (2)–(4):
k ins σ = r 0 2 8 [ 1 ( p c α p p 1 ) m ] 3 [ 1 ( p c α p 0 p 1 ) m ] 3 .

2.2. LSP Modeling

The adsorption and desorption behaviors of shale gas have been studied in petroleum industry for a long time. However, the interfacial interaction between gas molecules and solid surfaces has failed to attract wide attention in the industry. Based our work on the Langmuir slip BC [39,40,41], we will establish a new LSP model considering gas molecule residence on solid surfaces when the gas-solid collision happens.
The Langmuir adsorption isotherm can be expressed in the following form [44]:
θ = b p 1 + b p
where θ is the gas coverage ratio on a solid surface, dimensionless, and b is the Langmuir equilibrium adsorption constant, Pa−1, which is usually expressed as the ratio of equilibrium adsorption rate to equilibrium desorption rate.
To unify our model with previous ones, the following expression of parameter b can be adopted [44]:
b = 1 4 ω K n 1 p r
where ω is a parameter related to gas-solid interaction; pr is the reference pressure, Pa; and Kn is the Knudsen number, dimensionless, which can be written as the ratio of gas mean free path to characteristic length [11,51] as:
K n = λ R h
The slip velocity BC could be expressed in the following form [39,40,41,52] once the surface coverage ratio is calculated:
u s = θ u w + ( 1 θ ) u λ
where us is the slip surface velocity, m2/s; uw is the velocity of solid wall, m2/s; and uλ is gas velocity at the surface a mean free path away from the wall, m2/s.
In SGRs, the velocity of the wall can be presumed as zero. Moreover, the reference velocity can also be chosen as the midstream value, the reason for which can be found in the study of Eu [53].
Therefore, the Langmuir slip BC can be obtained by coupling Equations (6) and (9):
u s = 1 1 + b p u ( x , r = 0 )
The Navier–Stokes equation can be adopted to describe the viscous incompressible Newtonian fluid flow [32,33] as:
ρ ( u t + u u ) = p + μ 2 u + ρ g
where ρ is the fluid density, kg/m3; u is the velocity field; μ is gas viscosity, Pa·s; and ρ g is the gravity force.
Usually, for fluid flow in a nanometer circular capillary, the influence of ρ g is negligible. Besides, the value of u / t can be set to zero when the flow is under steady state. Taking the cylindrical coordinate system (see Figure 2) and ignoring the term of inertia force and mass force, the following Stokes equation is adopted to describe steady state Hagen–Poiseuille fluid flow [32,33,54]:
1 r d d r ( r d u d r ) = 1 μ d p d x
According to practical situations, the fluid velocity in nanopores should be a finite value. Thus, the following definite solution condition could be given:
u | r = 0 < +
By solving the Hagen–Poiseuille flow Equation (12), with the definite solution condition of Equations (10) and (13), the fluid velocity distribution in a circular tube could be obtained:
u ( r ) = R 2 4 μ dp d x [ 1 + 4 ω p r p K n ( r R ) 2 ]
Integrating the velocity distribution u over the radius r, the flow rate can be calculated
Q = 0 R 2 π r u ( r ) d r
Based on the expression of flow rate Q, we can get the permeability modification coefficient F according to the research of Sakhaee-Pour and Bryant [54] as:
F = Q ( K n ) Q ( K n 0 ) = 1 + 8 ω p r p K n .
Up to now, the establishment of the LSP model has been completed, which considers slippage effect, molecular residence on solid wall after collisions, and geomechanical effects of stress dependence during depressurization:
k slip = F ( p , K n ) k ins σ

2.3. Knudsen Diffusion

Knudsen diffusion is another important transport mechanism in nanometer pores [55,56,57,58]. Considering solid surface roughness [18,59], we can express Knudsen diffusion in the following form:
J k = δ D f 2 M D k c g
where δ is the pore surface roughness, dimensionless; Df is fractal dimension of pore surface, dimensionless; M is molar mass, kg/mol; Jk is Knudsen mass flux, kg/(m2·s); cg is gas concentration, mol/m3; and Dk is the Knudsen diffusion coefficient, m2/s, the value of which is shown in Table 2.
According to the gas state equation, gas concentration C can be expressed with the consideration of real gas effect as:
c g = p Z R cst T
where Rcst is the gas constant, 8.314 J/(mol·K).
Finally, the Knudsen diffusion flux can be expressed in terms of pressure gradient as:
J k = δ D f 2 M D k R T p c g Z p .

2.4. Surface Diffusion

As we have introduced in Section 2.3, gas molecules could adsorb on solid surfaces and move under a chemical potential gradient [61]. Surface diffusion mass flux can be expressed [10,11,17,59] as:
J s = D s C s M p p
where Ds is the surface diffusion coefficient, m2/s, and Cs is the concentration of adsorbed gas, mol/m3.
Based on the research of Hwang and Kammermeyer [34] and combing the methane/carbon adsorption experiment data, the surface diffusion coefficient for methane could be given [11,16,52] as:
D s = 8.29 × 10 7 T 0.5 exp ( Δ H 0.8 R T )
where ∆H is the equivalent adsorption heat, J/mol.
According to the Langmuir adsorption theory, the adsorbed gas concentration can be expressed as:
C s = ρ gsc G L θ real M
where GL is the Langmuir volume, m3/m3, and ρgsc is gas density at the standard condition, kg/m3.
Note that the expression of gas concentration Cs in Equation (23) includes the influence of the gas coverage ratio. Thus, there is no need to modify diffusion coefficient Ds when pressure changes, which differs from previous studies [10,11,17,59] and is very convenient in application.
In Equation (23), θreal is the gas coverage ratio on solid surfaces considering the real gas effect and thermodynamics phase changes, which can be expressed as:
θ real = b p / Z 1 + b p / Z

2.5. Pore Confinement and the Real Gas Effect

A gas deviation factor Z is adopted to account for the real gas effect and thermodynamic phase changes of nanopore fluids due to the pore confinement effect. To calculate this parameter, critical pressure and temperature changes in nanometer-scale pores should be calculated first, which can be obtained by a modified van der Waals equation proposed by Islam et al. [46] in the following form [62]:
T c = 8 27 b R cst [ a 2 ζ 3 ε N 2 ζ r σ ( 2.6275 0.6743 ζ r σ ) ]
p c = 8 27 b 2 [ a 2 ζ 3 ε N 2 ζ r σ ( 2.6275 0.6743 ζ r σ ) ]
where Tc is pseudocritical temperature, K; pc is pseudocritical pressure, MPa; a is the van der Waals energy parameter, 10−6 Pa·m6/mol2; b is the van der Waals volume parameter, 10−3 m3/mol; ζ is the Lennard–Jones size parameter, m; ε is the Lennard–Jones energy parameter, dimensionless; and N is Avogadro’s constant, 6.02 × 1023.
Then, according to the corresponding state principle, pseudoreduced pressure and temperature are expressed as:
p pr = p p c
and:
T pr = T T c
where ppr is the pseudoreduced pressure, dimensionless, the and Tpr is pseudoreduced temperature, dimensionless.
The gas deviation Z-factor can be solved out by the following correlation formula for high-pressure gases:
Z = ( 0.702 × e 2.5 T pr ) p pr 2 5.524 × e 2.5 T pr p pr + 0.044 × T pr 2 0.164 × T pr + 1.15
Gas viscosity can be obtained by the following formula proposed by Izadmehr et al. [63]:
μ = a × T pr + b × p pr + c × p pr + d × T pr 2 + e × p pr T pr + f
The values of coefficients a through f are shown in Table 3.

2.6. Effect of Adsorbed Layer on Pore Radii

The effect of gas molecule adsorption on nanometer-scale pore radii is not negligible, because the molecules are large enough to change the effective hydraulic radius. During reservoir production, adsorption has two effects on permeability: (1) the hindering effects due to its occupation of flow paths and (2) enhancement due to pore enlargement after desorption during depressurization. Coupling Equations (2) and (3), we have the expression of pore radius under the effective stress σ:
r ins σ = r 0 [ 1 ( σ p 1 ) m 1 ( σ 0 p 1 ) m ] 1.5
Assuming a monolayer adsorption on solid surfaces, the effect of adsorbed gas on pore radii can be given [46,59] by:
r eff = r ins σ d m θ real
where reff is the effective hydraulic radius considering the effect of stress dependence and gas adsorption on solid surface, m.
In the end, the permeability considering pore stress dependence and adsorbed gas occupation on flow paths as well as slippage effect can be written as:
k eff = r eff 2 8
where keff represents the effective permeability considering stress dependence and adsorption layer thickness, m2.

2.7. AP Modeling

To unify our model with continuum media flow equation of Darcy’s law, Knudsen and surface diffusion flux were also transformed into the form of equivalent permeability. Comparing corresponding diffusion flux expression with Darcy’s law, different types of equivalent permeability expressions could be obtained.
For slippage viscous flow, considering the effects of stress dependence and dynamic adsorption/desorption, the equivalent permeability could be expressed from the LSP model as:
k slip = F ( K n , p ) r eff 2 8
In contrast to previous slip models, the slip coefficient F is not only a function of Knudsen number Kn, but also dependent on pore pressure.
For Knudsen diffusion, the equivalent permeability has the following form, where the Knudsen diffusion coefficient is determined by the method of Igwe [56]:
k knudsen = δ D f 2 D k c g μ
Similarly, the equivalent permeability of surface diffusion could be expressed as:
k surface = D s G L θ real μ Z p 2 T p sc T sc
According to previous research by Xiong et al. [64], Wasaki and Akkutlu [51], and Javadpour [55], the AP can be written as the sum of bulk transport and adsorbed gas transport. Therefore, the AP of a single nanoscale capillary can be written as:
k app = F ( K n , p ) r eff 2 8 + δ D f 2 D k c g μ + D s G L θ real μ Z p 2 T p sc T sc

2.8. Model Correlation Considering PM Properties

The AP expression of Equation (37) represents a single capillary (Figure 3b), without considering PM properties and their geomechanical effects during depressurization. Thus, it needs to be upscaled to incorporate the effective porosity and tortuosity [65] (Figure 3a) to represent numerous nanopores in SGRs.
Considering the existence of adsorbed gas on solid surfaces, the effective radius and area for bulk phase gas transport are reff and Aeff respectively; the radius and cross-section area of the single capillary are r1 and A1 respectively. Meanwhile, the length of a single capillary is l1 and the permeability is k1. Correspondingly, the PM is assumed to be composed of n capillaries, with permeability kt, cross section area At, and length lt.
For bulk phase gas transport in n single capillaries without considering adsorbed gas, the volume flux can be given according to Darcy’s law using the equivalent permeability conception as:
q n = n A 1 k 1 μ d p d l 1 .
The volume flux of UPM (upscaled porous media) model is:
q t = A t k t μ d p d l t
According to equivalent state, the volume flux calculated from Equations (38) and (39) should be the same, so we have:
k t = n A 1 A t d l t d l 1 k 1
From a physical meaning perspective, we have the following two expressions [66]
n A 1 = A t φ
τ = l 1 l t
Coupling Equations (40)–(42), the relation between k1 and kt is obtained as:
k t = φ τ k 1
Considering the effect of adsorbed gas on porosity, we have:
φ eff = φ ( r eff r 1 ) 2
Thus, the correction factor from single capillary model to UPM model for bulk phase gas is:
γ b = φ τ ( 1 r ad r 1 ) 2
In Equation (45), rad is the thickness of the adsorption layer, which can account for the occupation of adsorbed gas in flow paths and the pore enlargement due to gas desorption during pressure-depletion production:
r ad = d m θ real
where dm is the gas molecular diameter, m.
Assuming the cross section area for surface diffusion is As and taking similarly procedures as bulk gas transport for surface diffusion, the volume flux in n single capillaries is calculated as:
q ns = n A s k s μ d p d l 1
For surface diffusion in UPM model, the volume flux is:
q st = A t k ts μ d p d l t
According to the single capillary model (Figure 3b), the ratio of As to A1 is:
A s A 1 = 1 ( r eff r 1 ) 2
Coupling Equations (41) and (42) and Equations (47)–(49), we have the correction factor from single capillary to UPM model for surface diffusion as:
γ s = φ τ ( 1 ( 1 r ad r 1 ) 2 )
In Equations (45) and (50), the tortuosity τ can be estimated by the empirical formula [18,67,68]
τ = 1 + 0.63 ln ( 1 / ϕ )
Finally, the AP considering PM properties and adsorbed gas occupation can be expressed as:
k app = γ b F ( K n , p ) r eff 2 8 + γ b δ D f 2 D k c g μ + γ s D sur G L θ real μ Z p 2 T p sc T sc

3. Model Validation

Currently, the use of Langmuir velocity slip BC for gas transport studies in SGRs is relatively rare and new in the petroleum industry. Thus, the accuracy of our LSP model, bulk phase gas transport model, single capillary model, and UPM model are all validated in this section.
First, the experimental data and lattice Boltzmann method (LBM) simulation results from Fathi et al. [69] are adopted in this section to validate our LSP model. The experimental data was collected from a routine gas uptake measurements using 5.68 mm size fragments. As can be seen from Figure 4, the matching results from three different sources are reasonable, which can prove the accuracy of our LSP model. Corresponding fitting parameters are presented in Table 4. Then, model comparison was done among first-order correlation [28], second-order correlation [30], corrected second-order correlation [33], and our LSP model (defining ω = 0.6, pD = 1, σv = 0.6, and C = 0.55), as can be seen in Figure 5. During the slip flow regime, the first and second-order correlation results are much higher than corrected second-order correlations and our LSP results, whereas corrected second-order correlation results overlap with the LSP results. This is because the first and second-order correlations assumed elastic gas—solid collisions and uniform distribution of gas molecules across the cross-section area of nanopores.
The corrected second-order correlation method considered the gas accumulation effects near solid surfaces according to MD, whereas our LSP model considered gas adsorption on solid surfaces for slip flow study. Gas accumulation and adsorption both narrow flow paths and hinder gas transport in small pores. The first- and second-order correlation methods ignored the hindering effect and may overestimate the slip permeability in formation evaluation.
Then, to validate the bulk phase gas transport model, we compared the results from our model to those published data from linearized Boltzmann solutions [70] and experimental data [71]. Note that bulk phase gas is defined as that transported by slip viscous flow and Knudsen diffusion, and bulk phase permeability is defined as the sum of slip permeability kslip and the equivalent Knudsen permeability knudsen. As can be seen from Figure 6, three different data sources adequately match with each other.
Further, the AP (considering bulk phase and adsorbed gas transporting) and bulk phase permeability (without considering surface diffusion) from our model (defining pore pressure p = 2 MPa, formation temperature T = 383 K, ω = 0.2, reference pressure pr = 0.1 MPa, pore stiffness parameter m = 0.5, pore fractal dimension Df = 2.6, and pore roughness δ = 0.25) is compared with those from the generalized lattice Boltzmann model in Wang et al. [72]. Clearly, both AP and bulk phase gas permeability match the Lattice Boltzmann method (LBM) results very well in different pore size conditions, as shown in Figure 7. Surface diffusion plays an important role in small pores and throats, but it can be ignored when pore radius is larger than 20 nm in this condition.
Finally, model comparison was done for AP models to further validate the proposed model’s correctness. The calculated results from different models are shown in Figure 8 (corresponding parameters used for comparison are presented in Table 5). The model of Michel et al. [73] describes only bulk phase gas transport and ignores adsorbed gas. Thus, the results are quite lower than those of other models and basically constant with pressure changes. Because both adsorbed gas and bulk phase gas are considered, the results from Xiong et al. [64], Wasaki et al. [9], and our UPM model display a similar changing trend; that is, an increase of kapp/kins as pressure decreases. However, our model results are similar to Xiong et al. [64] at low pressures and tend to match those of Wasaki et al. [9] as pressure increases. This is because inelastic gas–solid collisions, thermodynamic phase changes due to pore confinement, the dynamic hindering effect of adsorbed gas, real gas effects, and geomechanical effects are simultaneously considered in our model. Besides, Knudsen diffusion and the slippage effect were discussed separately in our model, whereas in the other two models they are treated by a modification function of Knudsen number Kn. Furthermore, surface diffusion is influenced in real time by pressure and temperature in our model, whereas constant diffusion coefficients were chosen for whole production time in the other two models. All these factors led to the different decreasing trend of AP models in Figure 8.

4. Results and Discussion

In this section, the parameters sensitivity analysis will be done in different conditions, including the influences of pore radius, pressure, temperature, effective stress, and other parameters on the flux of each fluid flow mechanism; that is, viscous flow, Knudsen diffusion, and surface diffusion. Corresponding parameters used in our model are listed in Table 6.
With an increase in pore radius, slip flow permeability (Figure 9) as well as its contribution to total flux (Figure 10) also increases. In large pores (r > 20 nm) with pressures larger than 5 MPa, the effect of stress dependence is more obvious than that of the slippage effect. Thus, during the depressurization production, the slip permeability becomes less and less as effective stress increases. In small pores, the slippage effect dominates compared to stress dependence, and the slippage permeability increases as the pore pressure decreases. When the pore pressure is small enough, the permeability enhancement of the slippage effect is stronger than the permeability abatement of stress dependence in all pores, as shown in Figure 9.
Figure 10 shows that the contribution of slip flow increases with an increase in pore radius, and the increasing trend is faster in high-pressure and small pore radius conditions. In small pores, low pressure condition has a larger contribution than high pressure, while high pressure has a bigger contribution than small pressure in large pores. The slip flow contribution increases as pressure increases in pores with radii larger than 30 nm, although it displays complex changing rules in pores with radii smaller than 10 nm.
Knudsen diffusion becomes stronger with an increase in pore radius and a decrease in pressure (Figure 11). This is because the equivalent permeability of Knudsen diffusion is influenced mainly by the Knudsen diffusion coefficient in a certain pressure and temperature condition. For a constant pore radius, Knudsen diffusion increases with the decrease in pore pressure. Although gas viscosity increased as pressure increases, Knudsen diffusion permeability knudsen is more influenced by compressibility coefficient cg, the two of which have a nearly inverse proportion relation. The contribution of Knudsen diffusion to total flux is very complex in small pores, as shown in Figure 12. Generally, that contribution decreases with pore radius in low-pressure conditions (p < 5 MPa), whereas it increases rapidly at first and slowly decreases later in high-pressure conditions (p > 10 MPa).
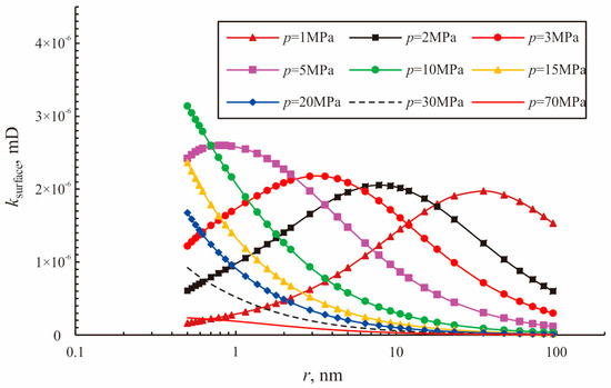
The change of surface diffusion with pore radius in high-pressure (p > 10 MPa) conditions is quite different from that in low-pressure (p < 5 MPa) conditions (Figure 13). It increases at first and decreases later as pore radius increases in low-pressure conditions, whereas it has a persistent decrease under high pressure. Actually, the detailed changing trend of surface diffusion intensity is not important, because its contribution is quite limited in large pore radii (r > 3 nm), no matter whether the value is low or high (Figure 14). However, its contribution to total flux is prominent in small pores. This is because it is advantageous for the occurrence of surface diffusion in small pores, when the porosity of PM is a constant. Meanwhile, the contribution of surface diffusion can be ignored in low-pressure conditions, although pore radii are small enough for the occurrence of surface diffusion. This is because adsorbed gas concentration is a function of the gas coverage ratio, which is very small in low-pressure conditions (Figure 15) and weakens the occurrence of surface diffusion.
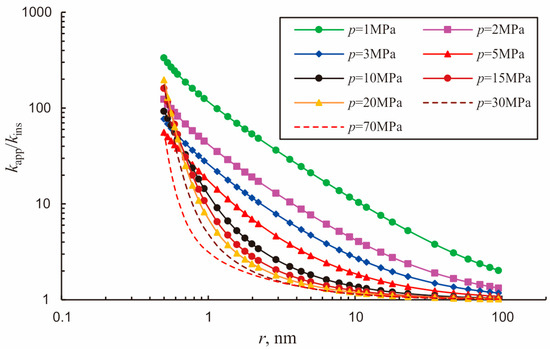
Generally, non-Darcy flow mechanisms are dominant mainly in low-pressure and small pore radius conditions (Figure 16). With an increase in pore radii, the influence of the non-Darcy flow weakens and the flow tends to be viscous flow only.
For gas flow in pores with radii greater than 0.7 nm, the non-Darcy flow becomes more and more obvious during depressurization production. However, in contrast with previous studies, for gas flow in pores with radii less than 0.7 nm, with pressure decreasing, the non-Darcy flow effect is stronger at first, and then weakens abruptly. This is because surface diffusion dominates the flow in small pores when the pressure is larger than 10 MPa, but plays only a slight role when the pressure is less than 10 MPa (Figure 14).
As shown in Figure 17, the AP increases as pressure decreases in small pores, because the effect of the non-Darcy flow is stronger in low-pressure and small radius conditions. In large pores and throats, the AP is obviously influenced by both the non-Darcy flow effect and the geomechanical effect of stress dependence. The permeability decreases as pressure decreases at first due to stress sensitivity, and increases abruptly at low pressures, because the influence of the non-Darcy flow is more obvious than the geomechanical effects.

5. Conclusions

In this paper, a coupled AP model is established by introducing a Langmuir slip BC, simultaneously considering viscous flow, slippage effect, Knudsen diffusion, surface diffusion and adsorption/desorption. Both single capillary and capillary bundle models are established, which were validated by experimental data and LBM results. Coupled into the AP model were the effects of real gas, stress dependence, thermodynamic phase changes due to pore confinement, adsorbed layer thickness, pore enlargement due to gas desorption, surface roughness, and inelastic gas-solid collisions. Based on the AP model, the following conclusions can be made:
  • The LSP model considers both gas slippage and gas adsorption effects on solid surfaces in nanopores. Gas slippage has a permeability enhancement effect, whereas gas adsorption effect is important in the estimation of permeability because adsorbed gas narrows flow paths.
  • The non-Darcy flow is prominent in small pore size and low-pressure conditions and displays an abnormal increase with a decrease of pore radii in small pores due to the coexistence of surface diffusion and Knudsen diffusion.
  • The geomechanical effect has a greater influence on AP of larger pores than the non-Darcy effect, whereas the AP of small pores is more influenced by the non-Darcy flow effect.
  • The intensity of slip flow, Knudsen diffusion, and surface diffusion as well as their contribution to total flux was studied quantitatively; these intensities change with great complexity due to the combined effects of real gas, thermodynamics phase changes, and geomechanics.

Acknowledgments

This work was supported by the National Natural Science Foundation of China (Key Program) (Grant No. 51534006), the National Science Fund for Distinguished Young Scholars of China (Grant No. 51125019), the National Natural Science Foundation of China (Grant No. 5170427) and the Scientific Research Starting Project of SWPU (No. 2015QHZ003). The authors also appreciate the reviewers and editors whose critical comments were very helpful in preparing this article.

Author Contributions

The original idea of this paper was proposed by Liehui Zhang and Baochao Shan. The mathematical model and solution were derived by Baochao Shan and Yulong Zhao. The results analysis was conducted by Jia Du and Jun Chen. The curves were plotted by Xiaoping Tao. The whole paper was written by Baochao Shan and Yulong Zhao, while the design of the structure and English improvement were finished by Liehui Zhang.

Conflicts of Interest

The authors declare no conflicts of interest.

Nomenclature

uslipvelocity at the slip surface, m/s;
λaverage mean free path of gas molecules, m;
C1, C2slip coefficients;
rradius of the capillary tube, m;
k0formation permeability at original state, m2;
p1,mparameters related to the pore stiffness and roughness respectively;
σ0effective stress of initial state, Pa;
σeffective stress during production;
psoverburden formation pressure, Pa;
αBiot constant, dimensionless;
preservoir pressure, Pa;
θgas coverage ratio on a solid surface, dimensionless;
bLangmuir equilibrium adsorption constant, Pa−1;
ωparameter related to gas-solid interaction;
prreference pressure, Pa;
KnKnudsen number, dimensionless;
usslip surface velocity, m2/s;
uwvelocity of solid wall, m2/s;
uλgas velocity at the surface a mean free path away from the wall, m2/s;
ρfluid density, kg/m3;
u velocity field;
μgas viscosity, Pa·s;
ρ g gravity force;
δpore surface roughness, dimensionless;
Dffractal dimension of pore surface, dimensionless;
Mmolar mass, kg/mol;
JkKnudsen mass flux, kg/(m2·s);
cggas concentration, mol/m3;
DkKnudsen diffusion coefficient, m2/s;
Rcstgas constant, 8.314 J/(mol·K);
Dssurface diffusion coefficient, m2/s;
Csconcentration of adsorbed gas, mol/m3;
Hequivalent adsorption heat, J/mol;
GLLangmuir volume, m3/m3;
ρgscgas density at the standard condition, kg/m3;
Tcpseudocritical temperature, K;
pcpseudocritical pressure, MPa;
aVdW energy parameter, 10−6 Pa·m6/mol2;
bVdW volume parameter, 10−3 m3/mol;
ζLennard–Jones size parameter, m;
εLennard–Jones energy parameter, dimensionless;
NAvogadro’s constant, 6.02 × 1023
pprpseudoreduced pressure, dimensionless,
Tprpseudoreduced temperature, dimensionless;
reffeffective hydraulic radius, m;
keffeffective permeability, m2;
dmgas molecular diameter, m

References

  1. Zhang, D.L.; Zhang, L.H.; Guo, J.J.; Zhou, Y.H.; Zhao, Y.L. Research on the production performance of multistage fractured horizontal well in shale gas reservoir. J. Nat. Gas Sci. Eng. 2015, 26, 279–289. [Google Scholar] [CrossRef]
  2. Zhao, Y.L.; Shan, B.C.; Zhang, L.H.; Liu, Q.G. Seepage Flow Behaviors of Multi-stage Fractured Horizontal Well in Arbitrary Shaped Shale Gas Reservoirs. J. Geophys. Eng. 2016, 13, 674–689. [Google Scholar] [CrossRef]
  3. Zhang, R.H.; Zhang, L.H.; Wang, R.H.; Zhao, Y.L.; Huang, R. Simulation of a Multistage Fractured Horizontal Well with Finite Conductivity in Composite Shale Gas Reservoir through Finite-Element Method. Energy Fuels 2016, 30, 9036–9049. [Google Scholar] [CrossRef]
  4. Zhang, L.H.; Guo, J.J.; Tang, H.M. Fundamental of Shale Gas Reservoir Development; Petroleum Industry Press: Beijing, China, 2014. (In Chinese) [Google Scholar]
  5. Zhang, L.H.; Shan, B.C.; Zhao, Y.L.; Tang, H.M. Comprehensive Seepage Simulation of Fluid Flow in Multi-scaled Shale Gas Reservoirs. Transp. Porous Media 2017, 1–26. [Google Scholar] [CrossRef]
  6. Zhou, Z.; Wang, X.Z.; Yin, G.; Yuan, S.S.; Zeng, S.J. Characteristics and genesis of the (Sinian) Dengying Formation reservoir in Central Sichuan, China. J. Nat. Gas Sci. Eng. 2016, 29, 311–321. [Google Scholar] [CrossRef]
  7. Loucks, R.G.; Reed, R.M.; Ruppel, S.C.; Jarvie, D.M. Morphology, genesis and distribution of nanometer-scale pores in siliceous mudstone of the Mississippian Barnett shale. J. Sediment. Res. 2009, 79, 848–861. [Google Scholar] [CrossRef]
  8. Wang, F.P.; Reed, R.M. Pore networks and fluid flow in gas shales. In Proceedings of the SPE Annual Technology Conference and Exhibition, New Orleans, LA, USA, 4–7 October 2009; Society of Petroleum Engineers: Richardson, TX, USA, 2009. [Google Scholar]
  9. Wasaki, A.; Akkutlu, I.Y. Permeability of organic-rich shale. SPE J. 2015, 20. [Google Scholar] [CrossRef]
  10. Wu, K.L.; Chen, Z.X.; Li, X.F.; Xu, J.Z.; Li, J.; Wang, K.; Wang, H.; Wang, S.H.; Dong, X.H. Flow behavior of gas confined in nanoporous shale at high pressure: Real gas effect. Fuel 2017, 205, 173–183. [Google Scholar]
  11. Wu, K.L.; Chen, Z.X.; Li, X.F. Real gas transport through nanopores of varying cross-section type and shape in shale gas reservoirs. Chem. Eng. J. 2015, 281, 813–825. [Google Scholar] [CrossRef]
  12. Fathi, E.; Akkutlu, Y.I. Matrix heterogeneity effects on gas transport and adsorption incoalbed and shale gas reservoirs. Transp. Porous Media 2009, 80, 281–304. [Google Scholar]
  13. Brown, M.; Ozkan, E.; Raghavan, R.; Kazemi, H. Practical solutions for pressure-transient responses of fracturedhorizontal wells in unconventional shale reservoirs. SPE Reserv. Eval. Eng. 2011, 14, 663–673. [Google Scholar] [CrossRef]
  14. Zhao, Y.L.; Zhang, L.H.; Zhao, J.Z.; Luo, J.X.; Zhang, B.N. “Triple porosity” modeling of transient well test and rate decline analysis for multi-fractured horizontal well in shale gas reservoirs. J. Pet. Sci. Eng. 2013, 110, 253–262. [Google Scholar] [CrossRef]
  15. Ozkan, E.; Brown, M.; Raghavan, R.; Kazemi, H. Comparison of fractured-horizontal-well performance in tight sand and shale reservoirs. SPE Reserv. Eval. Eng. 2011, 14, 248–259. [Google Scholar] [CrossRef]
  16. Guo, L.; Peng, X.F.; Wu, Z.S. Dynamical characteristics of methane adsorption on monolith nanometer activated carbon. J. Chem. Ind. Eng. 2008, 59, 2726–2732. (In Chinese) [Google Scholar]
  17. Wu, K.; Li, X.; Wang, C.; Yu, W.; Chen, Z. A Model for Surface Diffusion of Adsorbed Gas in Nanopores of Shale Gas Reservoirs. In Proceedings of the Offshore Technology Conference, Houston, TX, USA, 4–7 May 2015. [Google Scholar] [CrossRef]
  18. Zhang, L.J.; Li, D.L.; Lu, D.T.; Zhang, T. A new formulation of apparent permeability for gas transport in shale. J. Nat. Gas Sci. Eng. 2015, 23, 221–226. [Google Scholar] [CrossRef]
  19. Wang, J.; Liu, H.Q.; Wang, L.; Zhang, H.L.; Luo, H.S.; Gao, Y. Apparent permeability for gas transport in nanopores of organic shale reservoirs including multiple effects. Int. J. Coal Geol. 2015, 152, 50–62. [Google Scholar] [CrossRef]
  20. Klinkenberg, L.J. The permeability of porous media to liquids and gases. In API Drilling and Production Practice; American Petroleum Institute: Washington, DC, USA, 1941. [Google Scholar]
  21. Jones, F.O.; Owens, W.W. A laboratory study of low-permeability gas sands. J. Pet. Technol. 1980, 32, 1631–1640. [Google Scholar] [CrossRef]
  22. Sampath, K.; Keighin, C.W. Factors affecting gas slippage in tight sandstones of cretaceous age in the Ninta Basin. J. Pet. Technol. 1982, 34, 2715–2720. [Google Scholar] [CrossRef]
  23. Ertekin, T.; King, G.A.; Schwerer, F.C. Dynamic gas slippage: A unique dual-mechanism approach to the flow of gas in tight formations. SPE Form. Eval. 1986, 1, 43–52. [Google Scholar] [CrossRef]
  24. Florence, F.A.; Rushing, J.; Newsham, K.E.; Blasingame, T.A. Improved permeability prediction relations for low permeability sands. In Proceedings of the Rocky Mountain Oil & Gas Technology Symposium, Denver, CO, USA, 16–18 April 2007; Society of Petroleum Engineers: Richardson, TX, USA, 2007. [Google Scholar]
  25. Javadpour, F. Nanopores and apparent permeability of gas flow in mudrocks (shales and siltstone). J. Gas Can. Pet. Technol. 2009, 48, 16–21. [Google Scholar] [CrossRef]
  26. Civan, F. Effective correlation of apparent gas permeability in tight porous media. Transp. Porous Media 2010, 82, 375–384. [Google Scholar] [CrossRef]
  27. Skjetne, E.; Auriault, J.L. Homogenization of wall-slip gas flow through porous media. Transp. Porous Media 1999, 36, 293–306. [Google Scholar] [CrossRef]
  28. Maxwell, J. On stresses in rarefied gases arising from inequalities of temperature. Proc. R. Soc. Lond. 1878, 27, 304–308. [Google Scholar] [CrossRef]
  29. Darabi, H.; Ettehad, A.; Javadpour, F.; Sepehrnoori, K. Gas flow in ultra-tight shale strata. J. Fluid Mech. 2012, 710, 641–658. [Google Scholar] [CrossRef]
  30. Hsia, Y.T.; Domoto, G.A. An experimental investigation of molecular rarefaction effects in gas lubricated bearing at ultra-low clearances. J. Tribol. 1983, 105, 120–129. [Google Scholar] [CrossRef]
  31. Beskok, A.; Karniadakis, G.E. A model for flows in channels, pipes, and ducts at micro and nano scales. Microscale Thermophys. Eng. 1999, 3, 43–77. [Google Scholar]
  32. Zhang, H.W.; Zhang, Z.; Zheng, Y.; He, H. Corrected second order slip boundary condition for fluid flows in nanochannels. Phys. Rev. E 2010, 81, 066303. [Google Scholar] [CrossRef] [PubMed]
  33. Niu, C.; Hao, Y.; Li, D.; Lu, D. Second-Order Gas-Permeability Correlation of Shale during Slip Flow. SPE J. 2014. [Google Scholar] [CrossRef]
  34. Hwang, C.C.; Fung, R.F.; Yang, R.F.; Weng, C.I.; Li, W.L. A new modified Reynolds equation for ultrathin film gas lubrication. IEEE Trans. Magn. 1996, 32, 344–347. [Google Scholar]
  35. Aubert, C.; Colin, S. High order boundary conditions for gaseous flows in rectangular microducts. Microscale Thermophys. Eng. 2001, 5, 41–54. [Google Scholar]
  36. Bahukudumbi, P.; Beskok, A. A phenomenological lubrication model for the entire Knudsen regime. J. Micromech. Microeng. 2003, 13, 873. [Google Scholar] [CrossRef]
  37. Hadjiconstantinou, N.G. Comment on Cercignani’s second-order slip coefficient. Phys. Fluids 2003, 15, 2052–2354. [Google Scholar] [CrossRef]
  38. Ng, E.Y.; Liu, N. A multicoefficient slip corrected Reynolds equation for micro-thin film gas Lubrication. Int. J. Rotat. Mach. 2005, 2005, 105–111. [Google Scholar] [CrossRef]
  39. Myong, R.S. Gaseous slip models based on the Langmuir adsorption isotherm. Phys. Fluids 2004, 16, 104–117. [Google Scholar] [CrossRef]
  40. Myong, R.S. A generalized hydrodynamic computational model for rarefied and microscale diatomic gas flows. J. Comput. Phys. 2004, 195, 655–676. [Google Scholar] [CrossRef]
  41. Singh, H.; Javadpour, F. Langmuir slip-Langmuir sorption permeability model of shale. Fuel 2016, 164, 28–37. [Google Scholar] [CrossRef]
  42. Beskok, A.; Karniadakis, G.E. Modeling separation in rarefied gas flows. AIAA Pap. 1997, 97, 1883. [Google Scholar]
  43. Dushman, S. Scientific Foundations of Vacuum Techniques; Wiley: New York, NY, USA, 1962. [Google Scholar]
  44. Langmuir, I. Surface chemistry. Chem. Rev. 1933, 13, 147–191. [Google Scholar] [CrossRef]
  45. Adamson, A.W. Physical Chemistry of Surfaces; Wiley: New York, NY, USA, 1982. [Google Scholar]
  46. Song, W.; Yao, J.; Li, Y.; Sun, H.; Zhang, L.; Yang, Y.; Zhao, J.; Sui, H. Apparent gas permeability in an organic-rich shale reservoir. Fuel 2016, 181, 973–984. [Google Scholar] [CrossRef]
  47. Zhang, L.H.; Shan, B.C.; Zhao, Y.L.; Guo, J.J.; Tang, H.M. Establishment of apparent permeability model and seepage flow model for shale reservoir. Lithol. Reserv. 2017, 29, 108–118. (In Chinese) [Google Scholar]
  48. Civan, F.; Devegowda, D.; Sigal, R.F. Critical evaluation and improvement of methods for determination of matrix permeability of shale. In Proceedings of the SPE Annual Technical Conference and Exhibition, New Orleans, LA, USA, 30 September–2 October 2013; Society of Petroleum Engineers: Richardson, TX, USA, 2013. [Google Scholar]
  49. Gangi, A.F. Variation of whole and fractured porous rock permeability with confining pressure. Int. J. Rock Mech. Min. Sci. Geomech. Abstr. 1978, 15, 249–257. [Google Scholar] [CrossRef]
  50. Kwon, O.; Kronenberg, A.K.; Gangi, A.F.; Johnson, B.; Herbert, B.E. Permeability of illite-bearing shale: 1. Anisotropy and effects of clay content and loading. J. Geophys. Res. Solid Earth 2004, 109. [Google Scholar] [CrossRef]
  51. Zhao, J.Z.; Li, Z.Q.; Hu, Y.Q.; Ren, L.; Tao, Z.W. The impacts of microcosmic flow in nanoscale shale matrix pores on the gas production of a hydraulically fractured shale-gas well. J. Nat. Gas Sci. Eng. 2016, 29, 431–439. [Google Scholar] [CrossRef]
  52. Sheng, M.; Li, G.S.; Huang, Z.W.; Tian, S.C. Shale gas transient flow with effects of surface diffusion. Acta Petrol. Sin. 2014, 35, 347–352. (In Chinese) [Google Scholar]
  53. Eu, B.C.; Khayat, R.E.; Billing, G.D.; Nyeland, C. Nonlinear transport coefficients and plane Couette flow of a viscous, heat-conducting gas between two plates at different temperatures. Can. J. Phys. 1987, 65, 1090–1103. [Google Scholar] [CrossRef]
  54. Sakhaee-Pour, A.; Bryant, S. Gas Permeability of Shale. PE Reserv. Eval. Eng. 2012, 15. [Google Scholar] [CrossRef]
  55. Javadpour, F.; Fisher, D.; Unsworth, M. Nanoscale gas flow in shale gas sediments. J. Gas Can. Pet. Technol. 2007, 46, 55–61. [Google Scholar] [CrossRef]
  56. Igwe, G.J.I. Gas Transport Mechanism and Slippage Phenomenon in Porous Media; Paper SPE 16479 Present at the SPE Conference; Society of Petroleum Engineers: Richardson, TX, USA, 1987. [Google Scholar]
  57. Zhao, Y.L.; Zhang, L.H.; Xiong, Y.; Zhou, Y.H.; Liu, Q.G.; Chen, D. Pressure response and production performance for multi-fractured horizontal wells with complex seepage mechanism in box-shaped shale gas reservoir. J. Nat. Gas Sci. Eng. 2016, 32, 66–80. [Google Scholar] [CrossRef]
  58. Lin, D.; Wang, J.; Yuan, B.; Shen, Y.H. Review on gas flow and recovery in unconventional porous rocks. Adv. Geo-Energy Res. 2017, 1, 39–53. [Google Scholar] [CrossRef]
  59. Wu, K.L.; Chen, Z.X.; Li, X.F.; Guo, C.H.; Wei, M.Z. A model for multiple transport mechanisms through nanopores of shale gas reservoirs with real gas effect–adsorption-mechanic coupling. Int. J. Heat Mass Transf. 2016, 93, 408–426. [Google Scholar] [CrossRef]
  60. Ruthven, D.M. Principles of Adsorption & Adsorption Processes; John Wiley and Sons: Hoboken, NJ, USA, 1984; pp. 80–109. [Google Scholar]
  61. Fathi, E.; Akkutlu, I.Y. Nonlinear Sorption Kinetics and Surface Diffusion Effects on Gas Transport in Low-permeability Formations. In Proceedings of the SPE Annual Technical Conference and Exhibition, New Orleans, LA, USA, 4–7 October 2009. [Google Scholar] [CrossRef]
  62. Islam, A.W.; Patzek, T.W.; Sun, A.Y. Thermodynamics phase changes of nanopore fluids. J. Nat. Gas Sci. Eng. 2015, 25, 134–139. [Google Scholar] [CrossRef]
  63. Izadmehr, M.; Shams, R.; Ghazanfari, M.H. New correlations for predicting pure and impure natural gas viscosity. J. Nat. Gas Sci. Eng. 2016, 30, 364–378. [Google Scholar] [CrossRef]
  64. Xiong, X.; Devegowda, D.; Villazon, M.; German, G.; Sigal, R.F.; Civan, F. A fully-coupled free and adsorptive phase transport model for shale gas reservoirsincluding non-Darcy flow effects. In Proceedings of the SPE Annual Technical Conference and Exhibition Society of Petroleum Engineers, San Antonio, TX, USA, 8–10 October 2012; Society of Petroleum Engineers: Richardson, TX, USA, 2012. [Google Scholar]
  65. Cai, J.C.; Wei, W.; Hu, X.Y.; Wood, D.A. Electrical conductivity models in saturated porous media: A review. Earth-Sci. Rev. 2017, 171, 419–433. [Google Scholar] [CrossRef]
  66. Cai, J.C.; Perfect, E.; Cheng, C.-L.; Hu, X.Y. Generalized modeling of spontaneous imbibition based on Hagen-Poiseuille flow in tortuous capillaries with variably shaped apertures. Langmuir 2014, 30, 5142–5151. [Google Scholar] [CrossRef] [PubMed]
  67. Comiti, J.; Renaud, M. A new model for determining mean structure parameters of fixed beds from pressure drop measurements: application to beds packed with parallelepipedal particles. Chem. Eng. Sci. 1989, 44, 1539–1545. [Google Scholar] [CrossRef]
  68. Cai, J.C.; Yu, B.M. A discussion of the effect of tortuosity on the capillary imbibition in porous media. Transp. Porous Media 2011, 89, 251–263. [Google Scholar] [CrossRef]
  69. Fathi, E.; Tinni, A.; Akkutlu, I.Y. Shale Gas Correction to Klinkenberg Slip Theory. In Proceedings of the SPE Americas Unconventional Resources Conference, Pittsburgh, PA, USA, 5–7 June 2012. [Google Scholar] [CrossRef]
  70. Loyalka, S.K.; Hamoodi, S.A. Poiseuille flow of a rarefied gas in a cylindrical tube: solution of linearized Boltzmann equation. Phys. Fluids A Fluid Dyn. 1990, 2, 2061–2065. [Google Scholar] [CrossRef]
  71. Tison, S.A. Experimental data and theoretical modeling of gas flows through metal capillary leaks. Vacuum 1993, 44, 1171–1175. [Google Scholar] [CrossRef]
  72. Wang, J.J.; Chen, L.; Kang, Q.J.; Rahman, S.S. Apparent permeability prediction of organic shale with generalized lattice Boltzmann model considering surface diffusion effect. Fuel 2016, 181, 478–490. [Google Scholar] [CrossRef]
  73. Michel Villazon, G.G.; Sigal, R.F.; Civan, F.; Devegowda, D. Parametric Investigation of Shale Gas Production Considering Nano-Scale Pore Size Distribution, Formation Factor, and Non-Darcy Flow Mechanisms. In Proceedings of the SPE Annual Technical Conference and Exhibition, Denver, CO, USA, 30 October–2 November 2011. [Google Scholar] [CrossRef]
Figure 1. Storage form and flow mechanism of shale gas in nanopores.
Figure 1. Storage form and flow mechanism of shale gas in nanopores.
Energies 11 00223 g001
Figure 2. Schematic of fluid flow in circular capillary.
Figure 2. Schematic of fluid flow in circular capillary.
Energies 11 00223 g002
Figure 3. Scheme of upscaled porous media (UPM) model and single capillary model.
Figure 3. Scheme of upscaled porous media (UPM) model and single capillary model.
Energies 11 00223 g003
Figure 4. Validation of our LSP model by experimental data and numerical simulation.
Figure 4. Validation of our LSP model by experimental data and numerical simulation.
Energies 11 00223 g004
Figure 5. Model comparison from different slip boundary conditions.
Figure 5. Model comparison from different slip boundary conditions.
Energies 11 00223 g005
Figure 6. Bulk phase gas-permeability model validation compared with published data [70,71].
Figure 6. Bulk phase gas-permeability model validation compared with published data [70,71].
Energies 11 00223 g006
Figure 7. Model validation by comparing our model with LBM results.
Figure 7. Model validation by comparing our model with LBM results.
Energies 11 00223 g007
Figure 8. Comparison of our model with previous studies.
Figure 8. Comparison of our model with previous studies.
Energies 11 00223 g008
Figure 9. Equivalent permeability of slip viscous flow in different conditions.
Figure 9. Equivalent permeability of slip viscous flow in different conditions.
Energies 11 00223 g009
Figure 10. Contribution of slip viscous flow to total flux in different conditions.
Figure 10. Contribution of slip viscous flow to total flux in different conditions.
Energies 11 00223 g010
Figure 11. Equivalent permeability Knudsen diffusion in different conditions.
Figure 11. Equivalent permeability Knudsen diffusion in different conditions.
Energies 11 00223 g011
Figure 12. The contribution of Knudsen diffusion to total flux in different conditions.
Figure 12. The contribution of Knudsen diffusion to total flux in different conditions.
Energies 11 00223 g012
Figure 13. Equivalent permeability of surface diffusion in different conditions.
Figure 13. Equivalent permeability of surface diffusion in different conditions.
Energies 11 00223 g013
Figure 14. Contribution of surface diffusion to total flux in different conditions.
Figure 14. Contribution of surface diffusion to total flux in different conditions.
Energies 11 00223 g014
Figure 15. Gas coverage ratio under different pore size and pressure conditions.
Figure 15. Gas coverage ratio under different pore size and pressure conditions.
Energies 11 00223 g015
Figure 16. Ratio of AP to intrinsic permeability in different conditions.
Figure 16. Ratio of AP to intrinsic permeability in different conditions.
Energies 11 00223 g016
Figure 17. AP in different pore and pressure conditions.
Figure 17. AP in different pore and pressure conditions.
Energies 11 00223 g017
Table 1. Slip coefficients in different slip boundary conditions.
Table 1. Slip coefficients in different slip boundary conditions.
ReferenceC1C2
Maxwell [28](2 − σv)/σv0
Hsia et al. [30](2 − σv)/σv−1/2
Hwang et al. [34]0.01807−0.676775(4/π)0.58734 Kn−0.82532
Beskok et al. [31]1/(1 − b Kn)0
Aubert et al. [35](2 − σv)/σv−9/8
Bahukudumbi et al. [36][1.2977 + 0.71851tan−1 (−1.17488 Kn0.58642)] (2 − σv)/σv0
Hadjiconstantinou [37]1.1466−0.647
Ng et al. [38]1.15−0.25 Kn−0.65
Zhang HW et al. [32][1 − (1 − γ)σv]/σv(1 − γ)[1 − (1 − γ)σv]/(2σv)
Note: σv is tangential momentum accommodation coefficient; Kn is Knudsen number; b is slip coefficient in B–K model [31]; γ is a parameter in Zhang’s model to describe slip surface location.
Table 2. Value of Knudsen diffusion coefficient in different models.
Table 2. Value of Knudsen diffusion coefficient in different models.
NumberDk Expression Reference
1Dk = 2r[8RT/(πM)]0.5/3Igwe [56]
2Dk = 31.54(kins)0.67/M0.5Ertekin et al. [23]
3Dk = 9700r(T/M)0.5Ruthven [60]
4Dk = 4σkinsφRT/(2M)]0.5Florenceet al. [24]
Note: T is temperature, K; φ is porosity.
Table 3. Values of correlation coefficients for viscosity calculation.
Table 3. Values of correlation coefficients for viscosity calculation.
CoefficientValue
a0.00850507486545010
b−0.00104065426590739
c−0.00217777225933512
d−0.000510724061609292
e0.00595154429253907
f−0.000548942531453252
Table 4. Input parameters for LSP model validation.
Table 4. Input parameters for LSP model validation.
ParameterValueParameterValue
Overburden pressure, pc90 MPaPore radius, r10 nm
Pore pressure, p0.69 to 40 MPaPressure at original state, p080 MPa
Pore roughness parameter, m0.5Gas constant, Rcst8.314 J/(mol∙K)
Temperature, T353 KBiot constant, α1
Pore stiffness parameter, p1150 MPaReference pressure for LSP, pr1 MPa
Adsorption parameter, ω0.1
Table 5. Parameters used for model comparison.
Table 5. Parameters used for model comparison.
ParameterValueParameterValue
Gas typeCH4Pore radius, r30 nm
Pore pressure, p10–70 MPaPorosity, ϕ0.060
Overburden pressure, pc90 MPaReference pressure, pr1 MPa
Adsorption parameter, ω2Temperature, T414 K
Pore roughness parameter, m0.5Pore roughness, δ0.7
Fractal dimension of pore surface, Df2.5
Table 6. Input parameters of gas and formation for model analysis.
Table 6. Input parameters of gas and formation for model analysis.
ParameterValueParametersValue
Gas typeCH4Pore radius, r0.5–100 nm
Pore pressure, p1–70 MPaPorosity, ϕ0.05
Langmuir pressure, pL13.79 MPaGas molar weight, M0.016 kg/mol
Temperature, T373 KBiot constant, α1
Fractal dimension, Df2.7Reference pressure, pr1 MPa
Surface roughness, δ0.4Gas constant, Rcst8.314 J/(mol∙K)
Equivalent adsorption heat, ∆H16,000 J/molvdW energy parameter, a0.22998 m6 Pa/mol2
Pore stiffness parameter, p1150 MPavdW energy parameter, b4.28 × 10−5 m3/mol
Pore roughness parameter, m4Lennard–Jones size parameter, ζ3.73 × 10−9 m
Adsorption parameter, ω2Lennard–Jones size parameter, ε2.0434 × 10−21
Avogadro’s constant, N6.02 × 1023Langmuir volume, GL20 m3/m3

Share and Cite

MDPI and ACS Style

Zhang, L.; Shan, B.; Zhao, Y.; Du, J.; Chen, J.; Tao, X. Gas Transport Model in Organic Shale Nanopores Considering Langmuir Slip Conditions and Diffusion: Pore Confinement, Real Gas, and Geomechanical Effects. Energies 2018, 11, 223. https://doi.org/10.3390/en11010223

AMA Style

Zhang L, Shan B, Zhao Y, Du J, Chen J, Tao X. Gas Transport Model in Organic Shale Nanopores Considering Langmuir Slip Conditions and Diffusion: Pore Confinement, Real Gas, and Geomechanical Effects. Energies. 2018; 11(1):223. https://doi.org/10.3390/en11010223

Chicago/Turabian Style

Zhang, Liehui, Baochao Shan, Yulong Zhao, Jia Du, Jun Chen, and Xiaoping Tao. 2018. "Gas Transport Model in Organic Shale Nanopores Considering Langmuir Slip Conditions and Diffusion: Pore Confinement, Real Gas, and Geomechanical Effects" Energies 11, no. 1: 223. https://doi.org/10.3390/en11010223

APA Style

Zhang, L., Shan, B., Zhao, Y., Du, J., Chen, J., & Tao, X. (2018). Gas Transport Model in Organic Shale Nanopores Considering Langmuir Slip Conditions and Diffusion: Pore Confinement, Real Gas, and Geomechanical Effects. Energies, 11(1), 223. https://doi.org/10.3390/en11010223

Note that from the first issue of 2016, this journal uses article numbers instead of page numbers. See further details here.

Article Metrics

Back to TopTop