Heat Transfer in a Drilling Fluid with Geothermal Applications
Abstract
:1. Introduction
2. Governing Equations
2.1. Conservation of Mass
2.2. Conservation of Linear Momentum
2.3. Conservation of Volume Fraction (Convection-Diffusion Equation)
2.4. Conservation of Energy
3. Constitutive Equations
3.1. Stress Tensor
3.2. Particle Flux
3.3. Heat Flux Vector
4. Results and Discussion
4.1. Vertical Flow in a Pipe
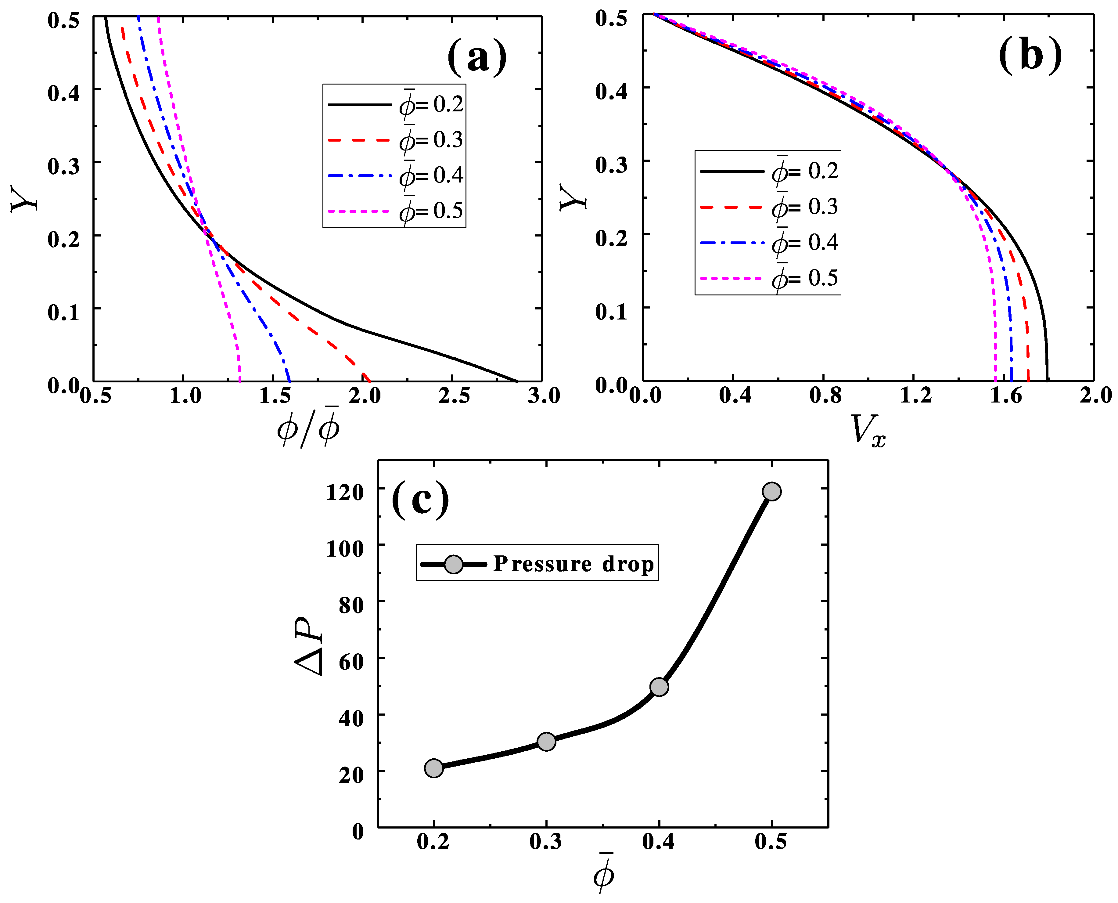
4.1.1. Effect of Bulk Volume Fraction and the Reynolds Number
4.1.2. Effect of Temperature in the Axial Direction
4.2. Flow between Two Eccentric Vertical Cylinders
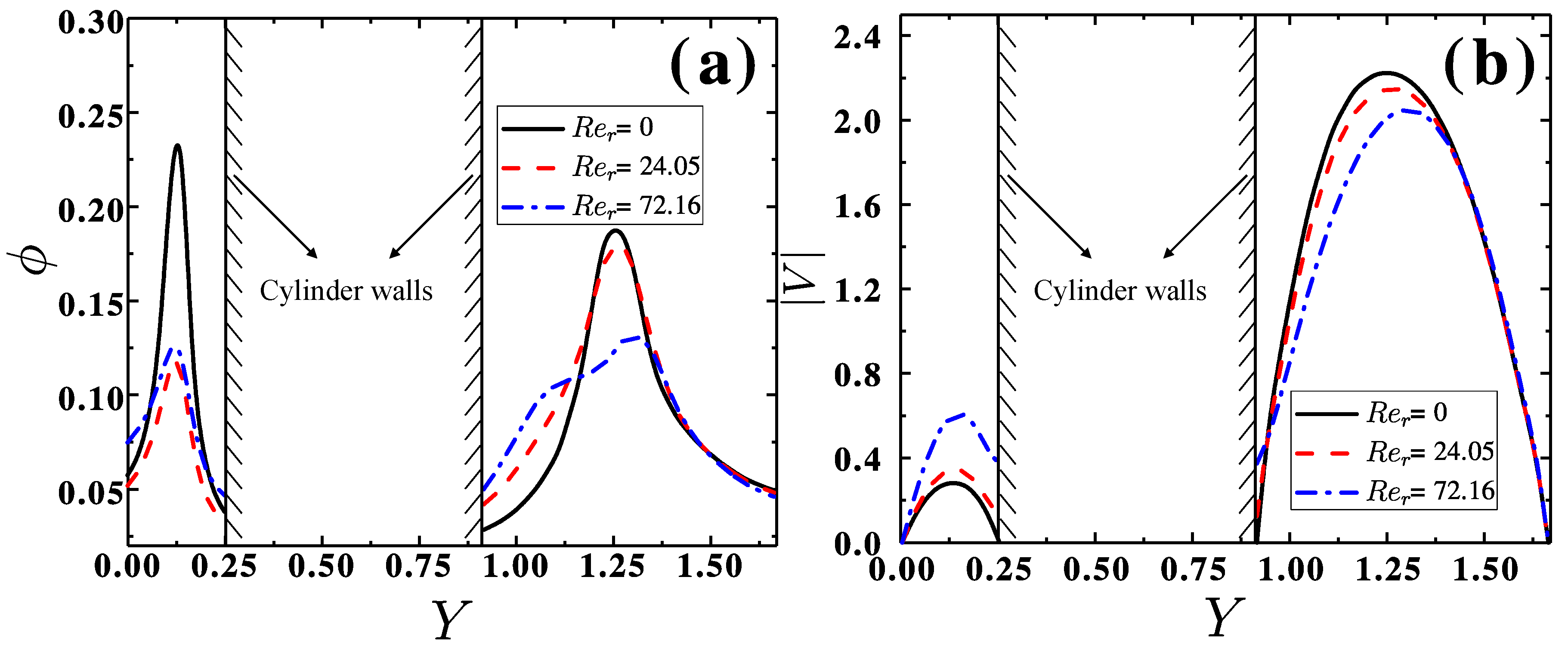
4.2.1. Effect of Rer (Rotational Speed)
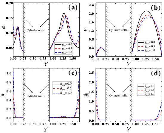
4.2.2. Effects of the Earth Temperature
5. Concluding Remarks
Author Contributions
Conflicts of Interest
References
- Younger, P.L. Geothermal energy: Delivering on the global potential. Energies 2015, 8, 11737–11754. [Google Scholar] [CrossRef]
- Coussot, P. Rheophysics; Springer International Publishing: Cham, Switzerland, 2014. [Google Scholar]
- Finger, J.; Blankenship, D. Handbook of Best Practices for Geothermal Drilling; Sandia National Laboratories: Albuquerque, NM, USA, 2010. [Google Scholar]
- Sáez Blázquez, C.; Farfán Martín, A.; Martín Nieto, I.; Carrasco García, P.; Sánchez Pérez, L.; González-Aguilera, D. Efficiency Analysis of the Main Components of a Vertical Closed-Loop System in a Borehole Heat Exchanger. Energies 2017, 10, 201. [Google Scholar]
- Congedo, P.M.; Lorusso, C.; De Giorgi, M.G.; Marti, R.; D’Agostino, D. Horizontal Air-Ground Heat Exchanger Performance and Humidity Simulation by Computational Fluid Dynamic Analysis. Energies 2016, 9, 930. [Google Scholar] [CrossRef]
- Alhamid, M.I.; Daud, Y.; Surachman, A.; Sugiyono, A.; Aditya, H.B.; Mahlia, T.M.I. Potential of geothermal energy for electricity generation in Indonesia: A review. Renew. Sustain. Energy Rev. 2016, 53, 733–740. [Google Scholar]
- Yavuzturk, C.; Spitler, J.D.; Rees, S.J. A transient two-dimensional finite volume model for the simulation of vertical U-tube ground heat exchangers. ASHRAE Trans. 1999, 105, 465–474. [Google Scholar]
- He, M.; Rees, S.; Shao, L. Simulation of a domestic ground source heat pump system using a three-dimensional numerical borehole heat exchanger model. J. Build. Perform. Simul. 2011, 4, 141–155. [Google Scholar] [CrossRef]
- Lund, J.W. Direct utilization of geothermal energy. Energies 2010, 3, 1443–1471. [Google Scholar] [CrossRef]
- Rabia, H. Oilwell Drilling Engineering: Principles and Practice; Graham and Trotman Ltd.: London, UK, 1985. [Google Scholar]
- Zhou, Z.; Wu, W.T.; Massoudi, M. Fully developed flow of a drilling fluid between two rotating cylinders. Appl. Math. Comput. 2016, 281, 266–277. [Google Scholar] [CrossRef]
- Wu, W.T.; Massoudi, M. Heat Transfer and Dissipation Effects in the Flow of a Drilling Fluid. Fluids 2016, 1, 4. [Google Scholar] [CrossRef]
- Subia, S R.; Ingber, M.S.; Mondy, L.A.; Altobelli, S.A.; Graham, A.L. Modelling of concentrated suspensions using a continuum constitutive equation. J. Fluid Mech. 1998, 373, 193–219. [Google Scholar] [CrossRef]
- Mahto, V.; Sharma, V.P. Rheological study of a water based oil well drilling fluid. J. Pet. Sci. Eng. 2004, 45, 123–128. [Google Scholar] [CrossRef]
- Saasen, A.; Løklingholm, G. The effect of drilling fluid rheological properties on hole cleaning. In IADC/SPE Drilling Conference; Society of Petroleum Engineers: Dallas, TX, USA, 2002. [Google Scholar]
- Wang, F.; Tan, X.; Wang, R.; Sun, M.; Wang, L.; Liu, J. High temperature and high pressure rheological properties of high-density water-based drilling fluids for deep wells. Pet. Sci. 2012, 9, 354–362. [Google Scholar] [CrossRef]
- Rybach, L. Geothermal power growth 1995–2013—A comparison with other renewables. Energies 2014, 7, 4802–4812. [Google Scholar] [CrossRef]
- Vajravelu, K.; Sreenadh, S.; Babu, V.R. Peristaltic transport of a Herschel–Bulkley fluid in an inclined tube. Int. J. Non Linear Mech. 2005, 40, 83–90. [Google Scholar] [CrossRef]
- Herschel, W.H.; Bulkley, R. Konsistenzmessungen von gummi-benzollösungen. Colloid Polym. Sci. 1926, 39, 291–300. [Google Scholar] [CrossRef]
- Papanastasiou, T.C. Flows of materials with yield. J. Rheol. 1987, 31, 385–404. [Google Scholar] [CrossRef]
- Alexandrou, A.N.; McGilvreay, T.M.; Burgos, G. Steady Herschel–Bulkley fluid flow in three-dimensional expansions. J. Nonnewton. Fluid Mech. 2001, 100, 77–96. [Google Scholar] [CrossRef]
- Krieger, I.M. Rheology of monodisperse latices. Adv. Colloid Interface Sci. 1972, 3, 111–136. [Google Scholar] [CrossRef]
- Briscoe, B.J.; Luckham, P.F.; Ren, S.R. The properties of drilling muds at high pressures and high temperatures. Philos. Trans. R. Soc. Lond. A Math. Phys. Eng. Sci. 1994, 348, 179–207. [Google Scholar] [CrossRef]
- Maxwell, J.C. A Treatise on Electricity and Magnetism, 2nd ed.; Clarendon Press: Oxford, UK, 1873. [Google Scholar]
- Hamilton, R.L.; Crosser, O.K. Thermal conductivity of heterogeneous two-component systems. Ind. Eng. Chem. Fundam. 1962, 1, 187–191. [Google Scholar] [CrossRef]
- Jeffrey, D.J. Conduction through a random suspension of spheres. Proc. R. Soc. Lond. A. Math. Phys. Sci. 1973, 335, 355–367. [Google Scholar] [CrossRef]
- Jaeger, J.C. Application of the theory of heat conduction to geothermal measurements. In Terrestrial Heat Flow; Lee, W.H.K., Ed.; Wiley Online Library: Hoboken, NJ, USA, 1965; pp. 7–23. [Google Scholar]
- Agemar, T.; Weber, J.; Schulz, R. Deep geothermal energy production in Germany. Energies 2014, 7, 4397–4416. [Google Scholar] [CrossRef]
- Phillips, R.J.; Armstrong, R.C.; Brown, R.A.; Graham, A.L.; Abbott, J.R. A constitutive equation for concentrated suspensions that accounts for shear-induced particle migration. Phys. Fluids A Fluid Dyn. 1992, 4, 30–40. [Google Scholar] [CrossRef]
- Massoudi, M.; Antaki, J.F. An Anisotropic Constitutive Equation for the Stress Tensor of Blood Based on Mixture Theory. Math. Probl. Eng. 2008, 2008, 1–30. [Google Scholar] [CrossRef]
- Massoudi, M. A Mixture Theory formulation for hydraulic or pneumatic transport of solid particles. Int. J. Eng. Sci. 2010, 48, 1440–1461. [Google Scholar] [CrossRef]
- Soo, S. Fluid Dynamics of Multiphase Systems; Blaisdell Publishing Company: Waltham, MA, USA, 1967. [Google Scholar]
- Wu, W.T.; Zhou, Z.F.; Aubry, N.; Antaki, J.F.; Massoudi, M. Heat transfer and flow of a dense suspension between two cylinders. Int. J. Heat Mass Transf. 2017, 112, 597–606. [Google Scholar] [CrossRef]
- Rajagopal, K.R.; Tao, L. Mechanics of Mixtures; Series on Advances in Mathematics for Applied Sciences; World Scientific Publishers: Singapore, 1995. [Google Scholar]
- Massoudi, M. A note on the meaning of mixture viscosity using the classical continuum theories of mixtures. Int. J. Eng. Sci. 2008, 46, 677–689. [Google Scholar] [CrossRef]
- Wu, W.T.; Massoudi, M.; Yan, H. Heat Transfer and Flow of Nanofluids in a Y-Type Intersection Channel with Multiple Pulsations: A Numerical Study. Energies 2017, 10, 492. [Google Scholar] [CrossRef]
- Slattery, J.C. Advanced Transport Phenomena; Cambridge University Press: Cambridge, UK, 1999. [Google Scholar]
- Ounis, H.; Ahmadi, G.; McLaughlin, J.B. Brownian diffusion of submicrometer particles in the viscous sublayer. J. Colloid Interface Sci. 1991, 143, 266–277. [Google Scholar] [CrossRef]
- Ounis, H.; Ahmadi, G.; McLaughlin, J.B. Dispersion and deposition of Brownian particles from point sources in a simulated turbulent channel flow. J. Colloid Interface Sci. 1991, 147, 233–250. [Google Scholar] [CrossRef]
- Yang, H.; Aubry, N.; Massoudi, M. Heat transfer in granular materials: Effects of nonlinear heat conduction and viscous dissipation. Math. Methods Appl. Sci. 2013, 36, 1947–1964. [Google Scholar] [CrossRef]
- Müller, I. On the entropy inequality. Arch. Ration. Mech. Anal. 1967, 26, 118–141. [Google Scholar] [CrossRef]
- Ziegler, H. An Introduction to Thermomechanics, 2nd ed.; North-Holland Publishing Company: Amsterdam, The Netherlands, 1983. [Google Scholar]
- Truesdell, C.; Noll, W. The Nonlinear Field Theories of Mechanics; Springer: Berlin, Germany, 1992. [Google Scholar]
- Liu, I.S. Continuum Mechanics; Springer Science & Business Media: Berlin, Germany, 2002. [Google Scholar]
- Carreau, P.J.; De Kee, D.; Chhabra, R.J. Rheology of Polymeric Systems; Hanser/Gardner Publications: Cincinnati, OH, USA, 1997. [Google Scholar]
- Massoudi, M.; Phuoc, T.X. Remarks on constitutive modeling of nanofluids. Adv. Mech. Eng. 2012. [Google Scholar] [CrossRef]
- Phuoc, T.X.; Massoudi, M.; Chen, R.H. Viscosity and thermal conductivity of nanofluids containing multi-walled carbon nanotubes stabilized by chitosan. Int. J. Therm. Sci. 2011, 50, 12–18. [Google Scholar] [CrossRef]
- Khan, N.U.; May, R. A generalized mathematical model to predict transient bottomhole temperature during drilling operation. J. Pet. Sci. Eng. 2016, 147, 435–450. [Google Scholar] [CrossRef]
- Salehi, S.; Madani, S.A.; Kiran, R. Characterization of drilling fluids filtration through integrated laboratory experiments and CFD modeling. J. Nat. Gas Sci. Eng. 2016, 29, 462–468. [Google Scholar] [CrossRef]
- Vajargah, A.K.; van Oort, E. Determination of drilling fluid rheology under downhole conditions by using real-time distributed pressure data. J. Nat. Gas Sci. Eng. 2015, 24, 400–411. [Google Scholar] [CrossRef]
- Seifu, B.; Nir, A.; Semiat, R. Viscous dissipation rate in concentrated suspensions. Phys. Fluids 1994, 6, 3189–3191. [Google Scholar] [CrossRef]
- Hsu, T.; Traykovski, P.A.; Kineke, G.C. On modeling boundary layer and gravity-driven fluid mud transport. J. Geophys. Res. Oceans 2007, 112. [Google Scholar] [CrossRef]
- Van Rijn, L.C. Sediment Transport, Part II: Suspend load Transport. J. Hydraul. Eng. ASCE 1984, 1104, 1613–1641. [Google Scholar] [CrossRef]
- Amoudry, L.; Hsu, T.; Liu, P. Schmidt number and near-bed boundary condition effects on a two-phase dilute sediment transport model. J. Geophys. Res. Oceans 2005, 110. [Google Scholar] [CrossRef]
- Fourier, J. The Analytical Theory of Heat; Dover Publications: Mineola, NY, USA, 1955. [Google Scholar]
- Winterton, R.H.S. Early study of heat transfer: Newton and Fourier. Heat Transf. Eng. 2001, 22, 3–11. [Google Scholar] [CrossRef]
- Kaviany, M. Principles of Heat Transfer in Porous Media; Springer: New York, NY, USA, 1995. [Google Scholar]
- Bashir, Y.M.; Goddard, J.D. Experiments on the conductivity of suspensions of ionically-conductive spheres. AIChE J. 1990, 36, 387–396. [Google Scholar] [CrossRef]
- Prasher, R.S.; Koning, P.; Shipley, J.; Devpura, A. Dependence of thermal conductivity and mechanical rigidity of particle-laden polymeric thermal interface material on particle volume fraction. J. Electron. Packag. 2003, 125, 386–391. [Google Scholar] [CrossRef]
- Lee, D.L.; Irvine, T.F., Jr. Shear rate dependent thermal conductivity measurements of non-Newtonian fluids. Exp. Therm. Fluid Sci. 1997, 15, 16–24. [Google Scholar] [CrossRef]
- Tominaga, Y.; Stathopoulos, T. Turbulent Schmidt numbers for CFD analysis with various types of flowfield. Atmos. Environ. 2007, 41, 8091–8099. [Google Scholar] [CrossRef]
- Reynolds, A.J. The prediction of turbulent Prandtl and Schmidt numbers. Int. J. Heat Mass Transf. 1975, 18, 1055–1069. [Google Scholar] [CrossRef]
- Batchelor, G.K.; O’Brien, R.W. Thermal or electrical conduction through a granular material. Proc. R. Soc. Lond. A. Math. Phys. Sci. 1977, 355, 313–333. [Google Scholar] [CrossRef]
- Wang, X.Q.; Mujumdar, A.S. Heat transfer characteristics of nanofluids: A review. Int. J. Therm. Sci. 2007, 46, 1–19. [Google Scholar] [CrossRef]
- Touloukian, Y.S.; Powell, R.W.; Ho, C.Y.; Nicolaou, M.C. Thermophysical Properties of Matter—The TPRC Data Series. Volume 10. Thermal Diffusivity; DTIC Document: Bedford, MA, USA, 1974. [Google Scholar]
- Pope, S.B. Turbulent Flows; IOP Publishing: Bristol, UK, 2000. [Google Scholar]
- Wilcox, D.C. Formulation of the kw turbulence model revisited. AIAA J. 2008, 46, 2823–2838. [Google Scholar] [CrossRef]
- Jones, W.P.; Launder, Be. The prediction of laminarization with a two-equation model of turbulence. Int. J. Heat Mass Transf. 1972, 15, 301–314. [Google Scholar] [CrossRef]
- OpenCFD. OpenFOAM Programmer’s Guide Version 2.1.0; OpenCFD, Ed.; Free Software Foundation, Inc.: Boston, MA, USA, 2011. [Google Scholar]
- Wu, W.T.; Yang, F.; Antaki, J.F.; Aubry, N.; Massoudi, M. Study of blood flow in several benchmark micro-channels using a two-fluid approach. Int. J. Eng. Sci. 2015, 95, 49–59. [Google Scholar] [CrossRef] [PubMed]
- Rusche, H. Computational Fluid Dynamics of Dispersed Two-Phase Flows at High Phase Fractions; Imperial College London (University of London): London, UK, 2002. [Google Scholar]
- Ubbink, O. Numerical Prediction of Two Fluid Systems with Sharp Interfaces. Ph.D. Thesis, University of London, London, UK, January 1997. [Google Scholar]
- Kim, J. Multiphase CFD Analysis and Shape-Optimization of Blood-Contacting Medical Devices. Ph.D. Thesis, Carnegie Mellon University, Pittsburgh, PA, USA, 2012. [Google Scholar]
- ICEM CFD, version 14.0; ANSYS Inc.: Canonsburg, PA, USA, 2012.
- Yilmazer, B. Investigation of some physical and mechanical properties of concrete produced with barite aggregate. Sci. Res. Essays 2010, 5, 3826–3833. [Google Scholar]
- Tetlow, N.; Graham, A.L.; Ingber, M.S.; Subia, S.R.; Mondy, L.A.; Altobelli, S.A. Particle migration in a Couette apparatus: Experiment and modeling. J. Rheol. 1998, 42, 307–327. [Google Scholar] [CrossRef]
- Akhshik, S.; Behzad, M.; Rajabi, M. CFD–DEM approach to investigate the effect of drill pipe rotation on cuttings transport behavior. J. Pet. Sci. Eng. 2015, 127, 229–244. [Google Scholar] [CrossRef]
- Siginer, D.A.; Bakhtiyarov, S.I. Flow of drilling fluids in eccentric annuli. J. Nonnewton. Fluid Mech. 1998, 78, 119–132. [Google Scholar] [CrossRef]
- Wu, W.T.; Aubry, N.; Massoudi, M.; Kim, J.; Antaki, J.F. A numerical study of blood flow using mixture theory. Int. J. Eng. Sci. 2014, 76, 56–72. [Google Scholar] [CrossRef] [PubMed]
- Massoudi, M.; Kim, J.; Antaki, J.F. Modeling and numerical simulation of blood flow using the theory of interacting continua. Int. J. Non Linear Mech. 2012, 47, 506–520. [Google Scholar] [CrossRef] [PubMed]
- Bednarz, A.; Weber, B.; Jupke, A. Development of a CFD model for the simulation of a novel multiphase counter-current loop reactor. Chem. Eng. Sci. 2017, 161, 350–359. [Google Scholar] [CrossRef]
- Das, D.; Samal, D.P.; Mohammad, N.; Meikap, B.C. Hydrodynamics of a multi-stage counter-current fluidized bed reactor with down-comer for amine impregnated activated carbon particle system. Adv. Powder Technol. 2017, 28, 854–864. [Google Scholar] [CrossRef]
- Garić-Grulović, R.; Radoičić, T.K.; Arsenijević, Z.; Đuriš, M.; Grbavčić, Ž. Hydrodynamic modeling of downward gas–solids flow. Part I: Counter-current flow. Powder Technol. 2014, 256, 404–415. [Google Scholar] [CrossRef]










| Physical Property | Value | Physical Property | Value |
|---|---|---|---|
| 1000 kg/m3 | 4020 J/(kg·K) | ||
| 4480 kg/m3 | 460 J/(kg·K) | ||
| 1.25 mm | 0.6485 W/(m·K) | ||
| 2.0 |
| Boundary | Pressure | Velocity | Volume Fraction | Temperature |
|---|---|---|---|---|
| Wall | Fixed flux (0) | Fixed value | Fixed flux (0) | Fixed value |
| Inlet | Fixed value (0) | Fixed value | Fixed value (0) | Fixed value |
| Outlet | Fixed value (0) | Fixed flux (0) | Fixed flux (0) | Fixed flux (0) |
© 2017 by the authors. Licensee MDPI, Basel, Switzerland. This article is an open access article distributed under the terms and conditions of the Creative Commons Attribution (CC BY) license (http://creativecommons.org/licenses/by/4.0/).
Share and Cite
Wu, W.-T.; Aubry, N.; Antaki, J.F.; McKoy, M.L.; Massoudi, M. Heat Transfer in a Drilling Fluid with Geothermal Applications. Energies 2017, 10, 1349. https://doi.org/10.3390/en10091349
Wu W-T, Aubry N, Antaki JF, McKoy ML, Massoudi M. Heat Transfer in a Drilling Fluid with Geothermal Applications. Energies. 2017; 10(9):1349. https://doi.org/10.3390/en10091349
Chicago/Turabian StyleWu, Wei-Tao, Nadine Aubry, James F. Antaki, Mark L. McKoy, and Mehrdad Massoudi. 2017. "Heat Transfer in a Drilling Fluid with Geothermal Applications" Energies 10, no. 9: 1349. https://doi.org/10.3390/en10091349
APA StyleWu, W.-T., Aubry, N., Antaki, J. F., McKoy, M. L., & Massoudi, M. (2017). Heat Transfer in a Drilling Fluid with Geothermal Applications. Energies, 10(9), 1349. https://doi.org/10.3390/en10091349
