A Single-Degree-of-Freedom Energy Optimization Strategy for Power-Split Hybrid Electric Vehicles
Abstract
:1. Introduction
2. Drivetrain Architecture and Energy Management Problem Description
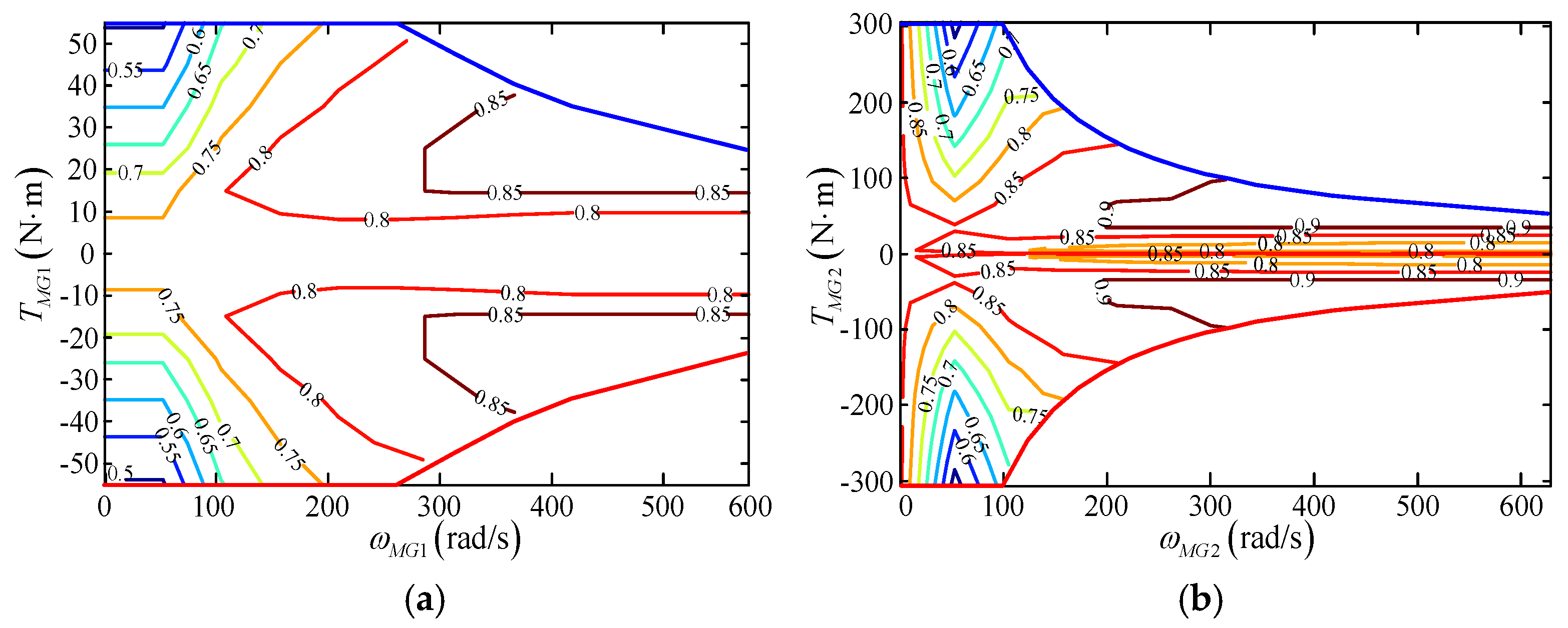
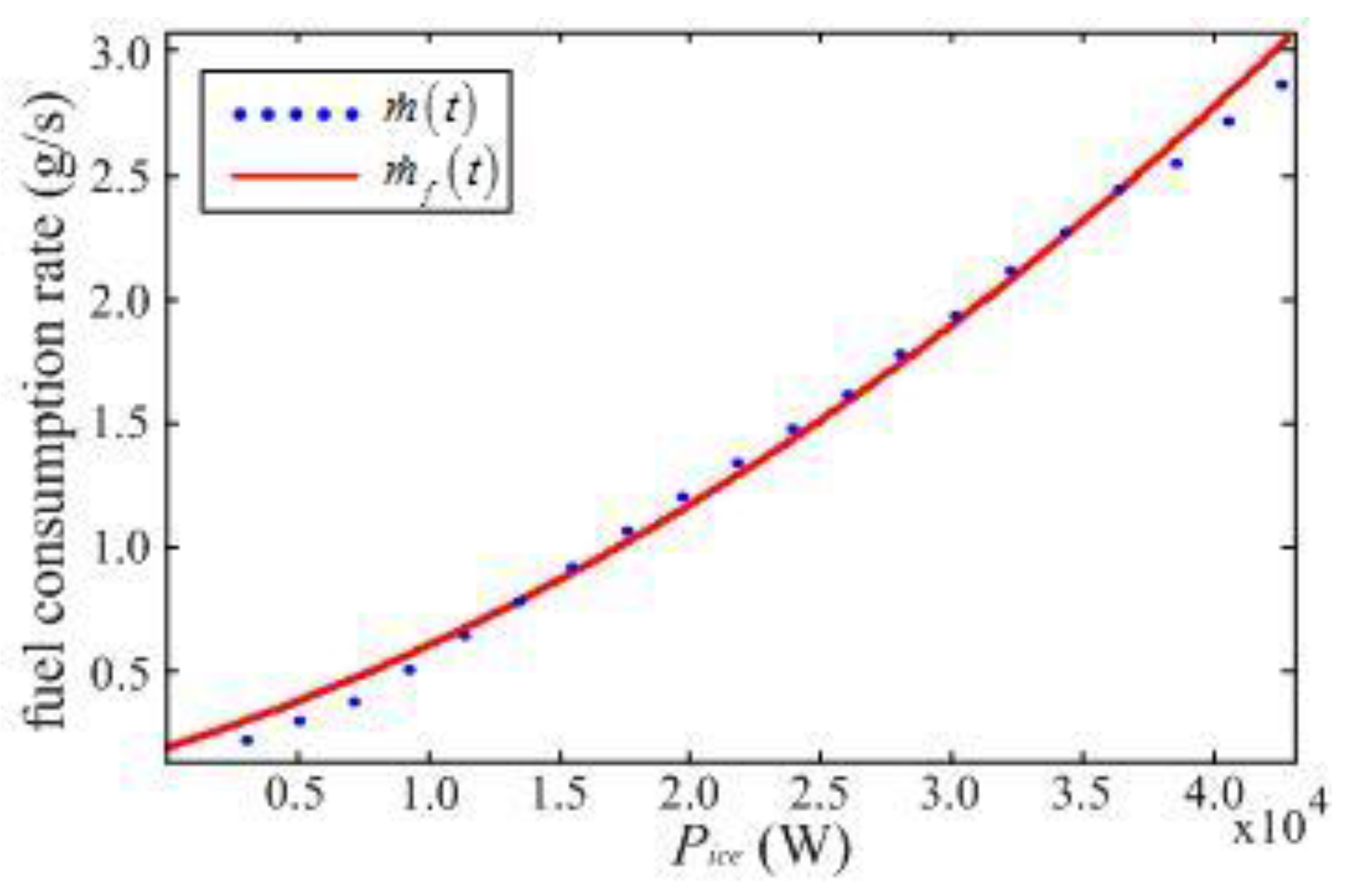
2.1. Efficiency Model of Battery-Motor System and Its Simplification
2.2. Energy Management Problem
3. Single-Degree-of-Freedom Quadratic Performance Index Strategy
3.1. Extended Quadratic Optimal Control Problem and Relevant Results
3.2. Derivation of Single-Degree-of-Freedom Quadratic Performance Index Strategy
3.3. Analysis from the Perspective of Engineering Application
4. Vehicle Simulation Model
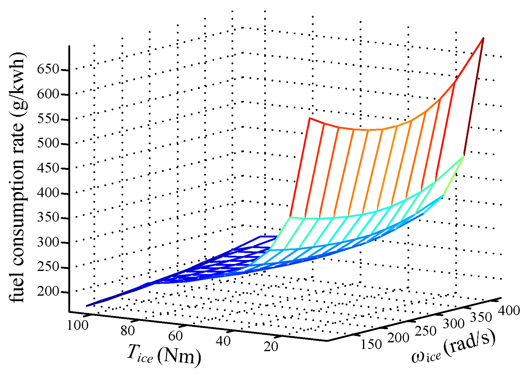
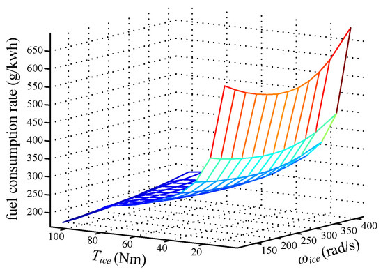
4.1. Engine Model
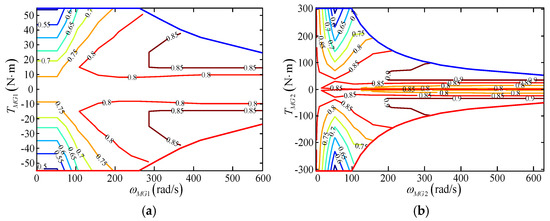
4.2. Planetary Gear Model
4.3. Energy Optimization Strategy Model
5. Simulation Results and Comparative Analysis
5.1. Test Design and the Selection of Weight Coefficient
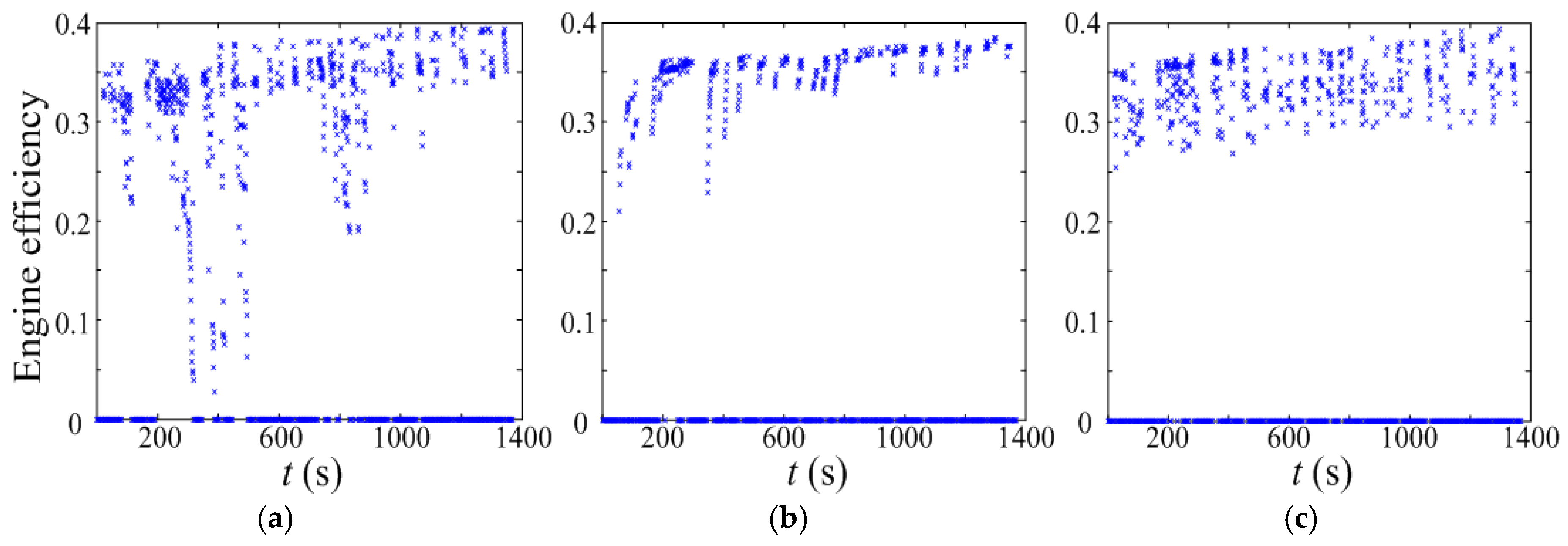
5.2. The simulation Test Results and Analysis
6. Conclusions
Author Contributions
Conflicts of Interest
References
- Syed, F.U.; Ying, H.; Kuang, M.; Okubo, S.; Smith, M. Rule-based fuzzy gain-scheduling PI controller to improve engine speed and power behavior in a power-split hybrid electric vehicle. In Proceedings of the Fuzzy Information Processing Society, NAFIPS’06 Annual Meeting of the North American, Montreal, QC, Canada, 3–6 June 2006; pp. 284–289. [Google Scholar]
- Borhan, H.; Vahidi, A.; Phillips, A.M.; Kuang, M.L.; Kolmanovsky, I.V.; Cairano, S.D. MPC-based energy management of a power-split hybrid electric vehicle. IEEE Trans. Control Syst. Technol. 2012, 20, 593–603. [Google Scholar] [CrossRef]
- Cipek, M.; Pavković, D.; Petrić, J. A control-oriented simulation model of a power-split hybrid electric vehicle. Appl. Energy 2013, 101, 121–133. [Google Scholar] [CrossRef]
- Panday, A.; Bansal, H.O. A review of optimal energy management strategies for hybrid electric vehicle. Int. J. Veh. Technol. 2014, 2014. [Google Scholar] [CrossRef]
- Mohammadian, M.; Bathaee, M.T. Motion control for hybrid electric vehicle. In Proceedings of the 4th International Power Electronics and Motion Control Conference, Xi’an, China, 14–16 August 2004; pp. 1490–1494. [Google Scholar]
- Chen, L.; Zhu, F.; Zhang, M.; Huo, Y.; Yin, C.; Peng, H. Design and analysis of an electrical variable transmission for a series–parallel hybrid electric vehicle. IEEE Trans. Veh. Technol. 2011, 60, 2354–2363. [Google Scholar] [CrossRef]
- Fu, Z.; Wang, B.; Song, X.; Liu, L.; Wang, X. Power-split hybrid electric vehicle energy management based on improved logic threshold approach. Math. Probl. Eng. 2013, 2013, 840648. [Google Scholar] [CrossRef]
- Shabbir, W.; Evangelou, S.A. Real-time control strategy to maximize hybrid electric vehicle powertrain efficiency. Appl. Energy 2014, 135, 512–522. [Google Scholar] [CrossRef]
- Peng, J.; He, H.; Xiong, R. Rule based energy management strategy for a series–parallel plug-in hybrid electric bus optimized by dynamic programming. Appl. Energy 2017, 185, 1633–1643. [Google Scholar] [CrossRef]
- Khayyam, H.; Bab-Hadiashar, A. Adaptive intelligent energy management system of plug-in hybrid electric vehicle. Energy 2014, 69, 319–335. [Google Scholar] [CrossRef]
- Tian, H.; Lu, Z.; Wang, X.; Zhang, X.; Huang, Y.; Tian, G. A length ratio based neural network energy management strategy for online control of plug-in hybrid electric city bus. Appl. Energy 2016, 177, 71–80. [Google Scholar] [CrossRef]
- Zhang, S.; Xiong, R. Adaptive energy management of a plug-in hybrid electric vehicle based on driving pattern recognition and dynamic programming. Appl. Energy. 2015, 155, 68–78. [Google Scholar] [CrossRef]
- Yin, H.; Zhou, W.; Li, M.; M, C.; Zhao, C. An adaptive fuzzy logic-based energy management strategy on battery/ultracapacitor hybrid electric vehicles. IEEE Trans. Transp. Electrification 2016, 2, 300–311. [Google Scholar] [CrossRef]
- Hu, Y.; Li, W.; Xu, H.; Xu, G. An online learning control strategy for hybrid electric vehicle based on fuzzy Q-Learning. Energies 2015, 8, 11167–11186. [Google Scholar] [CrossRef]
- Prokhorov, D.V. Toyota Prius HEV neurocontrol and diagnostics. Neural Netw. 2008, 21, 458–465. [Google Scholar] [CrossRef] [PubMed]
- Chen, Z.; Mi, C.C.; Xu, J.; Gong, X.; You, C. Energy management for a power-split plug-in hybrid electric vehicle based on dynamic programming and neural networks. IEEE Trans. Veh. Technol. 2014, 63, 1567–1580. [Google Scholar] [CrossRef]
- Zhang, X. Multi-objective optimization of hybrid electric vehicle control strategy with genetic algorithm. Chin. J. Mech. Eng. 2009, 45, 36–40. [Google Scholar] [CrossRef]
- Chen, Z.; Mi, C.C.; Xiong, R.; Xu, J.; You, C. Energy management of a power-split plug-in hybrid electric vehicle based on genetic algorithm and quadratic programming. J. Power Sources 2014, 248, 416–426. [Google Scholar] [CrossRef]
- Zhao, L.Y.; Zhang, N.N. Energy control of HEV based on fuzzy controller optimized by particle swarm optimization. Adv. Mater. Res. 2014, 936, 2155–2159. [Google Scholar] [CrossRef]
- Chen, S.Y.; Hung, Y.H.; Wu, C.H.; Huang, S.T. Optimal energy management of a hybrid electric powertrain system using improved particle swarm optimization. Appl. Energy 2015, 160, 132–145. [Google Scholar] [CrossRef]
- Li, Y.; Kar, N.C. Advanced design approach of power split device of plug-in hybrid electric vehicles using dynamic programming. In Proceedings of the 2011 IEEE Vehicle Power and Propulsion Conference, Chicago, IL, USA, 6–9 September 2011; pp. 1–6. [Google Scholar]
- Ansarey, M.; Panahi, M.S.; Ziarati, H.; Mahjoob, M. Optimal energy management in a dual-storage fuel-cell hybrid vehicle using multi-dimensional dynamic programming. J. Power Sources 2014, 250, 359–371. [Google Scholar] [CrossRef]
- Larsson, V.; Johannesson, L.; Egardt, B. Analytic solutions to the dynamic programming sub-problem in hybrid vehicle energy management. IEEE Trans. Veh. Technol. 2015, 64, 1458–1467. [Google Scholar] [CrossRef]
- Kim, N.; Cha, S.; Peng, H. Optimal control of hybrid electric vehicles based on Pontryagin's minimum principle. IEEE Trans. Control Syst. Technol. 2011, 19, 1279–1287. [Google Scholar]
- Chen, Z.; Mi, C.C.; Xia, B.; You, C. Energy management of power-split plug-in hybrid electric vehicles based on simulated annealing and Pontryagin’s minimum principle. J. Power Sources 2014, 272, 160–168. [Google Scholar] [CrossRef]
- Hou, C.; Ouyang, M.; Xu, L.; Wang, H. Approximate Pontryagin’s minimum principle applied to the energy management of plug-in hybrid electric vehicles. Appl. Energy 2014, 115, 174–189. [Google Scholar] [CrossRef]
- Mansour, C.; Clodic, D. Dynamic modeling of the electro-mechanical configuration of the Toyota hybrid system series/parallel power train. Int. J. Automot. Technol. 2012, 13, 143–166. [Google Scholar] [CrossRef]
- Liu, D.X.; Zou, Y.; Liu, T. Modeling and control for the Toyota Prius under consideration of emissions reduction. In Proceedings of the IEEE Transportation Electrification Conference and Expo 2014, Beijing, China, 31 August–3 September 2014; pp. 1–5. [Google Scholar]
- Kim, N.W.; Lee, D.H.; Zheng, C.; Cha, S.W. Realization of PMP-based control for hybrid electric vehicles in a backward-looking simulation. Int. J. Automot. Technol. 2014, 15, 625–635. [Google Scholar] [CrossRef]
- Kim, N.W.; Rousseau, A.; Lee, D.H. A jump condition of PMP-based control for PHEVs. J. Power Sources 2011, 196, 10380–10386. [Google Scholar] [CrossRef]
- Kim, N.W.; Cha, S.W.; Peng, H. Optimal equivalent fuel consumption for hybrid electric vehicles. IEEE Trans. Control Syst. Technol. 2012, 20, 817–825. [Google Scholar]
- Peng, H. Modeling and control of a power-split hybrid vehicle. IEEE Trans. Control Syst. Technol. 2008, 16, 1242–1251. [Google Scholar]
- Tulpule, P.; Marano, V.; Rizzoni, G. Energy management for plug-in hybrid electric vehicles using equivalent consumption minimization strategy. Int. J. Electr. Hybrid Veh. 2010, 2, 329–350. [Google Scholar] [CrossRef]
- Onori, S.; Serrao, L.; Rizzoni, G. Adaptive equivalent consumption minimization strategy for hybrid electric vehicles. In Proceedings of the ASME 2010 Dynamic Systems and Control Conference, Cambridge, MA, USA, 12–15 September 2010; pp. 499–505. [Google Scholar]
- Sun, C.; He, H.; Sun, F. The role of velocity forecasting in adaptive-ECMS for hybrid electric vehicles. Energy Procedia 2015, 75, 1907–1912. [Google Scholar] [CrossRef]
- Xia, C.Y.; Zhang, C. Real-time optimization control algorithm of energy management strategy for hybrid electric vehicles. Acta Autom. Sin. 2015, 41, 508–517. [Google Scholar]
- Xia, C.Y.; Zhang, C. Power management strategy of hybrid electric vehicles based on quadratic performance index. Energies 2015, 8, 12458–12473. [Google Scholar] [CrossRef]
- Liu, J.; Peng, H.; Filipi, Z. Modeling and analysis of the Toyota hybrid system. In Proceedings of the 2005 IEEE/ASME International Conference on Advanced Intelligent Mechatronics, Monterey, QC, Canada, 24–28 July 2005; pp. 134–139. [Google Scholar]

















| Description | Parameter | Value | Unit |
|---|---|---|---|
| Vehicle | Total weight | 1368 | kg |
| Wheel radius | 0.287 | m | |
| Frontal area | 1.746 | m2 | |
| Aerodynamic drag coefficient | 0.3 | - | |
| Rolling friction coefficient | 0.009 | - | |
| Final drive ratio | 3.93 | - | |
| Engine | Displacement | 1.5 | L |
| Max torque | 102 @4000 rpm | Nm | |
| Max power | 43 @4000 rpm | kW | |
| Motor/Generator1 (MG1) and controller | Max speed | 5500 | rpm |
| Max torque | 55 | Nm | |
| Max power | 15 | kW | |
| Motor/Generator2 (MG2) and controller | Max speed | 6000 | rpm |
| Max torque | 305 | Nm | |
| Max power | 31 | kW | |
| Battery Package | Cell capacity | 6 | Ah |
| Nominal voltage | 308 | V | |
| Planetary Gear Set | Tooth number of sun gear | 30 | - |
| Tooth number of ring gear | 78 | - |
| Drive Cycle | Rule-Based EMS | A-ECMS | SQPIS | PMP-Based Global Optimal Strategy | ||
|---|---|---|---|---|---|---|
| UDDS | EFC (L/100 km) | 5.2733 | 4.0527 | 3.9984 | 3.6534 | λ = −5.0142 × 10−5 |
| SOC(tf) | 0.5505 | 0.5987 | 0.5362 | 0.5972 | ||
| HWFET | EFC (L/100 km) | 4.2338 | 4.0581 | 4.0310 | 3.6445 | λ = −5.1489 × 10−5 |
| SOC(tf) | 0.6082 | 0.5956 | 0.5756 | 0.6003 | ||
| CSHVR | EFC (L/100 km) | 4.7662 | 3.7175 | 3.6114 | 3.5605 | λ = −5.2145 × 10−5 |
| SOC(tf) | 0.5883 | 0.6046 | 0.5515 | 0.5980 | ||
| LA92 | EFC (L/100 km) | 6.4213 | 5.0392 | 4.8891 | 4.5662 | λ = −4.7331 × 10−5 |
| SOC(tf) | 0.5934 | 0.5995 | 0.5543 | 0.5989 | ||
| INDIA_URBAN | EFC (L/100 km) | 4.7333 | 3.5538 | 3.4253 | 3.2982 | λ = −5.4307 × 10−5 |
| SOC(tf) | 0.5807 | 0.6043 | 0.5398 | 0.6010 | ||
| INDIA_HWY | EFC (L/100 km) | 4.3588 | 3.8504 | 3.8223 | 3.6255 | λ = −4.7461 × 10−5 |
| SOC(tf) | 0.5963 | 0.5916 | 0.5637 | 0.6007 | ||
| NEDC | EFC (L/100 km) | 4.6078 | 3.9271 | 3.8528 | 3.6949 | λ = −5.6184 × 10−5 |
| SOC(tf) | 0.6202 | 0.6134 | 0.6012 | 0.6001 | ||
| J1015 | EFC (L/100 km) | 4.6734 | 3.7336 | 3.6696 | 3.5542 | λ = −4.9843 × 10−5 |
| SOC(tf) | 0.6074 | 0.6075 | 0.5795 | 0.5988 | ||
| Cargo Mass | Rule-Based EMS | A-ECMS | SQPIS | PMP-Based Global Optimal Strategy | ||
| 1368 | EFC (L/100 km) | 5.2733 | 4.0527 | 3.9984 | 3.6534 | λ = −5.0142 × 10−5 |
| SOC(tf) | 0.5505 | 0.5987 | 0.5362 | 0.5972 | ||
| 1568 | EFC (L/100 km) | 5.8433 | 4.5030 | 4.4498 | 3.9802 | λ = −4.8372 × 10−5 |
| SOC(tf) | 0.5498 | 0.5966 | 0.5364 | 0.5988 | ||
| 1768 | EFC (L/100 km) | 6.4531 | 4.9280 | 4.8785 | 4.3275 | λ = −4.7621 × 10−5 |
| SOC(tf) | 0.5462 | 0.6049 | 0.5430 | 0.5981 | ||
| Road Slope (0–500 m) | Rule-Based EMS | A-ECMS | SQPIS | PMP-Based Global Optimal Strategy | ||
| 0% | EFC (L/100 km) | 5.2733 | 4.0527 | 3.9984 | 3.6534 | λ = −5.0142 × 10−5 |
| SOC(tf) | 0.5505 | 0.5987 | 0.5362 | 0.5972 | ||
| 5% | EFC (L/100 km) | 5.5030 | 4.3343 | 4.2880 | 3.8715 | λ = −4.9872 × 10−5 |
| SOC(tf) | 0.5505 | 0.5983 | 0.5362 | 0.5999 | ||
| 10% | EFC (L/100 km) | 5.9062 | 4.6140 | 4.5462 | 4.1133 | λ = −4.8528 × 10−5 |
| SOC(tf) | 0.5505 | 0.6067 | 0.5362 | 0.5989 | ||
© 2017 by the authors. Licensee MDPI, Basel, Switzerland. This article is an open access article distributed under the terms and conditions of the Creative Commons Attribution (CC BY) license (http://creativecommons.org/licenses/by/4.0/).
Share and Cite
Xia, C.; DU, Z.; Zhang, C. A Single-Degree-of-Freedom Energy Optimization Strategy for Power-Split Hybrid Electric Vehicles. Energies 2017, 10, 896. https://doi.org/10.3390/en10070896
Xia C, DU Z, Zhang C. A Single-Degree-of-Freedom Energy Optimization Strategy for Power-Split Hybrid Electric Vehicles. Energies. 2017; 10(7):896. https://doi.org/10.3390/en10070896
Chicago/Turabian StyleXia, Chaoying, Zhiming DU, and Cong Zhang. 2017. "A Single-Degree-of-Freedom Energy Optimization Strategy for Power-Split Hybrid Electric Vehicles" Energies 10, no. 7: 896. https://doi.org/10.3390/en10070896
APA StyleXia, C., DU, Z., & Zhang, C. (2017). A Single-Degree-of-Freedom Energy Optimization Strategy for Power-Split Hybrid Electric Vehicles. Energies, 10(7), 896. https://doi.org/10.3390/en10070896

