A Vertical Flux-Switching Permanent Magnet Based Oscillating Wave Power Generator with Energy Storage
Abstract
:1. Introduction
2. Structure of the Wave Power Generation System
2.1. Overall Power Generation Parts
2.2. Prototype of the Linear Machine
2.3. Energy Storage Topology
2.4. Main Control Flow Chart of the Whole System
3. Basic Principles of the System
3.1. Mathematical Model of the Linear Machine
3.2. Wave Energy Input
3.3. Characteristics of the Energy Storage System
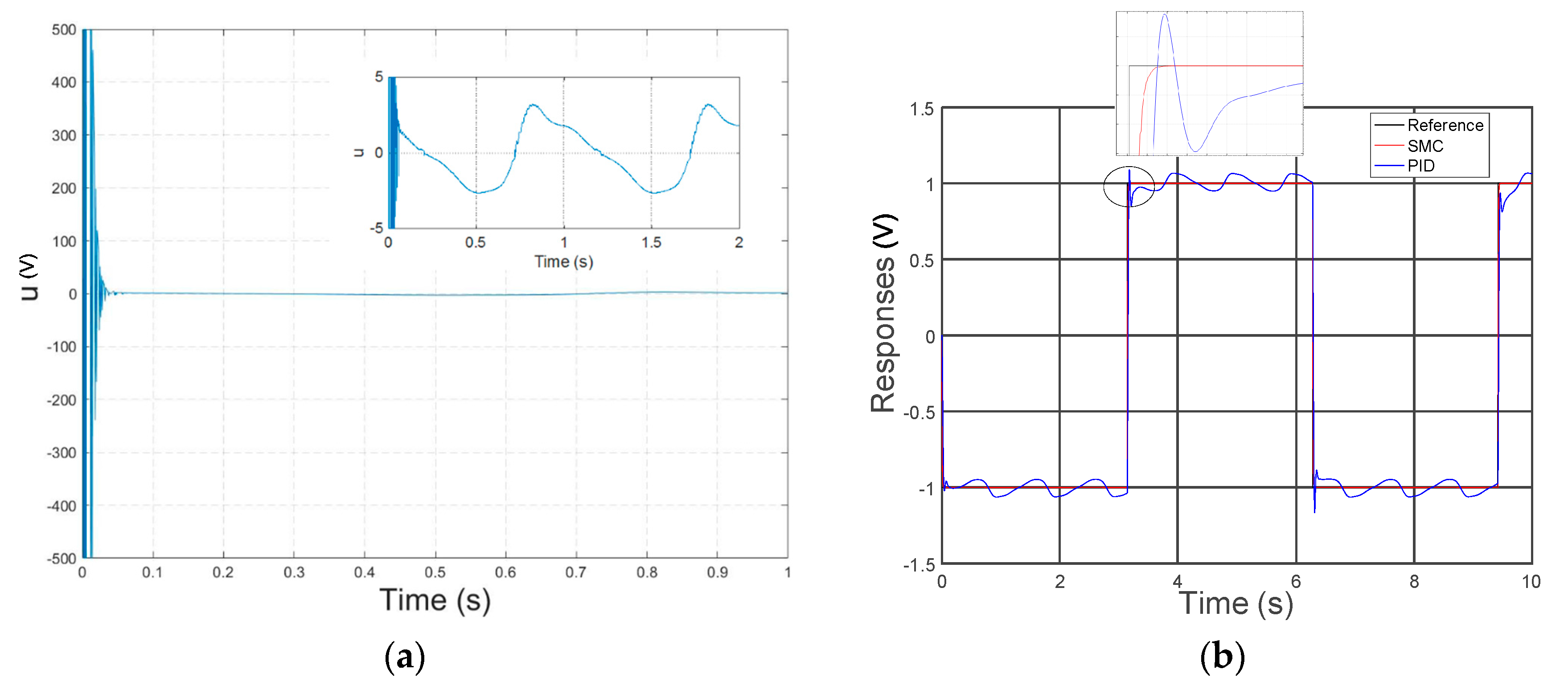
3.4. Control Algorithm for the Whole System
4. FEM Calculation and Simulation
4.1. FEM Calculation for the Machine
4.2. Controller Design for the Whole System
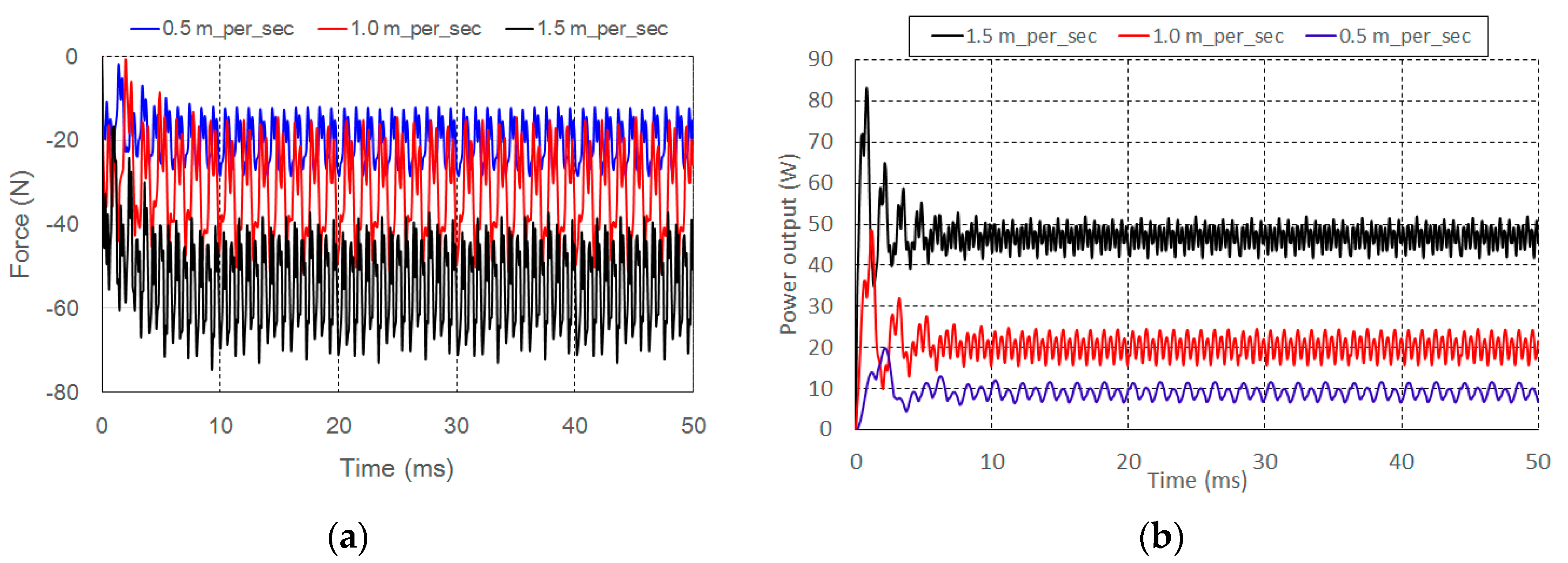
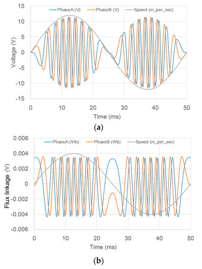
4.3. Simulation for the Power Generation System
5. Efficiency Analysis
6. Experimental Verification
6.1. Experimental Setup
6.2. Experimental Results
7. Discussion
8. Conclusions
- (1)
- Low-speed oscillating wave power generation is realized by the effective direct-drive approach;
- (2)
- A bilateral vertical machine is effectively designed for low-speed wave power generation;
- (3)
- An energy storage method using a supercapacitor and a battery has been proposed for wave power harvesting with three modes;
- (4)
- The sliding mode control operates effectively to improve the performance of the generation system;
- (5)
- The efficiency of the power conversion is evaluated and analyzed. Compared with other OWCs, this efficiency is higher in the paper.
Acknowledgments
Author Contributions
Conflicts of Interest
References
- Bhattacharyya, R.; McCormick, M.E. Wave Energy Conversion, Ocean Engineering Series; Elsevier: London, UK, 2003. [Google Scholar]
- Scruggs, J.; Jacob, P. Harvesting ocean wave energy. Science 2009, 323, 1176–1178. [Google Scholar] [CrossRef] [PubMed]
- Ahmed, T.; Nishida, K.; Nakaoka, M. Grid power integration technologies for offshore ocean wave energy. In Proceedings of the 2010 IEEE Energy Conversion Congress and Exposition Conference, Atlanta, GA, USA, 12–16 September 2010; pp. 2378–2385. [Google Scholar]
- Mendonça, H.; Martinez, S. A Resistance Emulation Approach to Optimize the Wave Energy Harvesting for a Direct Drive Point Absorber. IEEE Trans. Sustain. Energy 2016, 7, 3–11. [Google Scholar] [CrossRef]
- O’Sullivan, D.L.; Lewis, A.W. Generator selection and comparative performance in offshore oscillating water column ocean wave energy converters. IEEE Trans. Energy Convers. 2011, 26, 603–614. [Google Scholar] [CrossRef]
- Henderson, R. Design, simulation, and testing of a novel hydraulic power take-off system for the Pelamis wave energy converter. Renew. Energy 2006, 31, 271–283. [Google Scholar] [CrossRef]
- Wave Dragon Official Web Site. Available online: www.wavedragon.net (accessed on 8 June 2007).
- Polinder, H.; Damen, M.E.C.; Gardner, F. Linear PM generator system for wave energy conversion in the AWS. IEEE Trans. Energy Convers. 2004, 19, 583–589. [Google Scholar] [CrossRef]
- Richter, M.; Magaña, M.E.; Sawodny, O.; Brekken, T.K.A. Nonlinear Model Predictive Control of a Point Absorber Wave Energy Converter. IEEE Trans. Sustain. Energy 2013, 4, 118–126. [Google Scholar] [CrossRef]
- Amann, K.U.; Magaña, M.E.; Sawodny, O. Model Predictive Control of a Nonlinear 2-Body Point Absorber Wave Energy Converter with Estimated State Feedback. IEEE Trans. Sustain. Energy 2015, 6, 336–345. [Google Scholar] [CrossRef]
- Alnajjab, B.; Blum, R.S. Estimating Waveforms of Ocean Waves to Enhance the Efficiency of Ocean Energy Conversion. IEEE Trans. Sustain. Energy 2017, 8, 179–191. [Google Scholar] [CrossRef]
- Polinder, H.; Mecrow, B.C.; Jack, A.G.; Dickinson, P.G.; Mueller, M.A. Conventional and TFPM linear generators for direct-drive wave energy conversion. IEEE Trans. Energy Convers. 2005, 20, 260–267. [Google Scholar] [CrossRef]
- Prudell, J.; Stoddard, M.; Amon, E.; Brekken, T.K.A.; Jouann, A. A permanent-magnet tubular linear generator for ocean wave energy conversion. IEEE Trans. Ind. Appl. 2010, 46, 2392–2400. [Google Scholar] [CrossRef]
- Feng, N.; Yu, H.; Hu, M.; Liu, C.; Huang, L.; Shi, Z. A Study on a Linear Magnetic-Geared Interior Permanent Magnet Generator for Direct-Drive Wave Energy Conversion. Energies 2016, 9, 487. [Google Scholar] [CrossRef]
- Vermaak, R.; Kamper, M.J. Design Aspects of a Novel Topology Air-Cored Permanent Magnet Linear Generator for Direct Drive Wave Energy Converters. IEEE Trans. Ind. Electron. 2012, 59, 2104–2115. [Google Scholar] [CrossRef]
- Pan, J.; Zou, Y.; Cao, G. Investigation of a low-power, double-sided switched reluctance generator for wave energy conversion. IET Renew. Power Gener. 2013, 7, 98–109. [Google Scholar] [CrossRef]
- Xue, X.D.; Cheng, K.W.E.; Ho, S.L. A Self-Training Numerical Method to Calculate the Magnetic Characteristics for Switched Reluctance Motor Drives. IEEE Trans. Magn. 2004, 40, 734–737. [Google Scholar] [CrossRef]
- Huang, L.; Yu, H.; Hu, M.; Zhao, J.; Cheng, Z. A Novel Flux-Switching Permanent-Magnet Linear Generator for Wave Energy Extraction Application. IEEE Trans. Magn. 2011, 47, 1034–1037. [Google Scholar] [CrossRef]
- Pan, J.; Or, S.W.; Zou, Y.; Cheung, N.C. Sliding-mode position control of medium-stroke voice coil motor based on system identification observer. IET Electr. Power Appl. 2015, 9, 620–627. [Google Scholar] [CrossRef]
- Hong, Y.; Eriksson, M.; Castellucci, V.; Boström, C.; Waters, R. Linear generator-based wave energy converter model with experimental verification and three loading strategies. IET Renew. Power Gener. 2016, 10, 349–359. [Google Scholar] [CrossRef]
- Fitzgerald, A.E.; Kingsley, C. Electric Machinery; McGraw-Hill Press: London, UK, 2003. [Google Scholar]
- Thang, T.V.; Ahmed, A.; Kim, C.; Park, J.H. Flexible System Architecture of Stand-Alone PV Power Generation with Energy Storage Device. IEEE Trans. Energy Convers. 2015, 30, 1386–1396. [Google Scholar] [CrossRef]
- Chen, K.Y. Sliding Mode Minimum-Energy Control for a Mechatronic Motor-Table System. IEEE/ASME Trans. Mechatron. 2016, 21, 1487–1495. [Google Scholar] [CrossRef]
- Barambones, O.; Alkorta, P. Position Control of the Induction Motor Using an Adaptive Sliding-Mode Controller and Observers. IEEE Trans. Ind. Electron. 2014, 61, 6556–6565. [Google Scholar] [CrossRef]
- Toloue, S.F.; Moallem, M. Multivariable Sliding-mode Extremum Seeking Control with Application to MPPT of an Alternator-based Energy Conversion System. IEEE Trans. Ind. Electron. 2017. [Google Scholar] [CrossRef]
- Abd El Khalick, M.A.M.; Uchiyama, N.; Sano, S. Energy Saving in Feed Drive Systems Using Sliding-Mode-Based Contouring Control with a Nonlinear Sliding Surface. IEEE/ASME Trans. Mechatron. 2015, 20, 572–579. [Google Scholar]
- Ortega, Á.; Milano, F. Modeling, Simulation, and Comparison of Control Techniques for Energy Storage Systems. IEEE Trans. Power Syst. 2017, 32, 2445–2454. [Google Scholar] [CrossRef]
- Pan, J.F.; Zou, Y.; Cheung, N.; Cao, G.Z. The direct-drive sensorless generation system for wave energy utilization. Int. J. Electr. Power Energy Syst. 2014, 62, 29–37. [Google Scholar] [CrossRef]
- Pan, J.F.; Zou, Y.; Cheung, N.; Cao, G.Z. On the Voltage Ripple Reduction Control of the Linear Switched Reluctance Generator for Wave Energy Utilization. IEEE Trans. Power Electron. 2014, 29, 5298–5307. [Google Scholar] [CrossRef]
- Bostrom, C.; Leijon, M. Operation analysis of a wave energy converter under different load conditions. IET Renew. Power Gener. 2011, 5, 245–250. [Google Scholar] [CrossRef]
























| Specifications | Quantity (SI) |
|---|---|
| Rated power | 100 W |
| Rated current | 5 A |
| Pitch (τ) | 2 mm |
| Length of the stator (l) | 350 mm |
| Number of turns of each coil | 160 |
| Width of the mover plate (w) | 16 mm |
| Height of the mover plate (h) | 16 mm |
| Width of the coil area (c) | 10 mm |
| Stack length (s) | 40 mm |
| Speed range | 0~1 m/s |
| Size of the PMs | 40 mm × 16 mm × 3 mm |
| Rated power | 100 W |
| Rated current | 5 A |
| Modes | Power Status | Battery Status | Supercapacitor |
|---|---|---|---|
| I | Po > Pload | Charging | Charging |
| II | Po < Pload < Po + Pc | Close | Discharging |
| III | Pload > Po + Pc | Discharging | Discharging |
© 2017 by the authors. Licensee MDPI, Basel, Switzerland. This article is an open access article distributed under the terms and conditions of the Creative Commons Attribution (CC BY) license (http://creativecommons.org/licenses/by/4.0/).
Share and Cite
Zou, Y.; Cheng, K.W.E. A Vertical Flux-Switching Permanent Magnet Based Oscillating Wave Power Generator with Energy Storage. Energies 2017, 10, 887. https://doi.org/10.3390/en10070887
Zou Y, Cheng KWE. A Vertical Flux-Switching Permanent Magnet Based Oscillating Wave Power Generator with Energy Storage. Energies. 2017; 10(7):887. https://doi.org/10.3390/en10070887
Chicago/Turabian StyleZou, Yu, and Ka Wai Eric Cheng. 2017. "A Vertical Flux-Switching Permanent Magnet Based Oscillating Wave Power Generator with Energy Storage" Energies 10, no. 7: 887. https://doi.org/10.3390/en10070887
APA StyleZou, Y., & Cheng, K. W. E. (2017). A Vertical Flux-Switching Permanent Magnet Based Oscillating Wave Power Generator with Energy Storage. Energies, 10(7), 887. https://doi.org/10.3390/en10070887

