Next Issue
Volume 3, October
Previous Issue
Volume 3, February
 
 
Journal of Eye Movement Research is published by MDPI from Volume 18 Issue 1 (2025). Previous articles were published by another publisher in Open Access under a CC-BY (or CC-BY-NC-ND) licence, and they are hosted by MDPI on mdpi.com as a courtesy and upon agreement with Bern Open Publishing (BOP).

J. Eye Mov. Res., Volume 3, Issue 3 (September 2009) – 6 articles

  • Issues are regarded as officially published after their release is announced to the table of contents alert mailing list.
  • You may sign up for e-mail alerts to receive table of contents of newly released issues.
  • PDF is the official format for papers published in both, html and pdf forms. To view the papers in pdf format, click on the "PDF Full-text" link, and use the free Adobe Reader to open them.
Order results
Result details
Select all
Export citation of selected articles as:
18 pages, 1349 KB  
Article
Adaptation and Mislocalization Fields for Saccadic Outward Adaptation in Humans
by Fabian Schnier, Eckart Zimmermann and Markus Lappe
J. Eye Mov. Res. 2009, 3(3), 1-18; https://doi.org/10.16910/jemr.3.3.4 - 24 Sep 2010
Cited by 13 | Viewed by 224
Abstract
Adaptive shortening of a saccade influences the metrics of other saccades within a spatial window around the adapted target. Within this adaptation field visual stimuli presented before an adapted saccade are mislocalized in proportion to the change of the saccade metric. We investigated [...] Read more.
Adaptive shortening of a saccade influences the metrics of other saccades within a spatial window around the adapted target. Within this adaptation field visual stimuli presented before an adapted saccade are mislocalized in proportion to the change of the saccade metric. We investigated the saccadic adaptation field and associated localization changes for saccade lengthening, or outward adaptation. We measured the adaptation field for two different saccade adaptations (14 deg to 20 deg and 20 deg to 26 deg) by testing transfer to 34 different target positions. We measured localization judgements by asking subjects to localize a probe flashed before saccade onset. The amount of adaptation transfer differed for different target locations. It increased with increases of the horizontal component of the saccade and remained largely constant with deviation of the vertical component of the saccade. Mislocalization of probes inside the adaptation field was correlated with the amount of adaptation of saccades to the probe location. These findings are consistent with the assumption that oculomotor space and perceptual space are linked to each other. Full article
Show Figures

Figure 1

12 pages, 357 KB  
Article
Sampling Frequency and Eye-Tracking Measures: How Speed Affects Durations, Latencies, and More
by Richard Andersson, Marcus Nyström and Kenneth Holmqvist
J. Eye Mov. Res. 2009, 3(3), 1-12; https://doi.org/10.16910/jemr.3.3.6 - 13 Sep 2010
Cited by 100 | Viewed by 789
Abstract
We use simulations to investigate the effect of sampling frequency on common dependent variables in eye-tracking. We identify two large groups of measures that behave differently, but consistently. The effect of sampling frequency on these two groups of measures are explored and simulations [...] Read more.
We use simulations to investigate the effect of sampling frequency on common dependent variables in eye-tracking. We identify two large groups of measures that behave differently, but consistently. The effect of sampling frequency on these two groups of measures are explored and simulations are performed to estimate how much data are required to overcome the uncertainty of a limited sampling frequency. Both simulated and real data are used to estimate the temporal uncertainty of data produced by low sampling frequencies. The aim is to provide easy-touse heuristics for researchers using eye-tracking. For example, we show how to compensate the uncertainty of a low sampling frequency with more data and postexperiment adjustments of measures. These findings have implications primarily for researchers using naturalistic setups where sampling frequencies typically are low. Full article
Show Figures

Figure 1

10 pages, 658 KB  
Article
Systematic Diagonal and Vertical Errors in Antisaccades and Memory-Guided Saccades
by Mathias Abegg, Hyung Lee and Jason J S Barton
J. Eye Mov. Res. 2009, 3(3), 1-10; https://doi.org/10.16910/jemr.3.3.5 - 7 Sep 2010
Cited by 1 | Viewed by 213
Abstract
Studies of memory-guided saccades in monkeys show an upward bias, while studies of antisaccades in humans show a diagonal effect, a deviation of endpoints toward the 45° diagonal. To determine if these two different spatial biases are specific to different types of saccades, [...] Read more.
Studies of memory-guided saccades in monkeys show an upward bias, while studies of antisaccades in humans show a diagonal effect, a deviation of endpoints toward the 45° diagonal. To determine if these two different spatial biases are specific to different types of saccades, we studied prosaccades, antisaccades and memory-guided saccades in humans. The diagonal effect occurred not with prosaccades but with antisaccades and memory- guided saccades with long intervals, consistent with hypotheses that it originates in computations of goal location under conditions of uncertainty. There was a small upward bias for memory-guided saccades but not prosaccades or antisaccades. Thus this bias is not a general effect of target uncertainty but a property specific to memory-guided saccades. Full article
Show Figures

Figure 1

10 pages, 1220 KB  
Article
Object Frequency and Predictability Effects on Eye Fixation Durations in Real-World Scene Viewing
by Hsueh-Cheng Wang, Alex D. Hwang and Marc Pomplun
J. Eye Mov. Res. 2009, 3(3), 1-10; https://doi.org/10.16910/jemr.3.3.3 - 13 Jul 2010
Cited by 8 | Viewed by 276
Abstract
During text reading, the durations of eye fixations decrease with greater frequency and predictability of the currently fixated word (Rayner, 1998; 2009). However, it has not been tested whether those results also apply to scene viewing. We computed object frequency and predictability from [...] Read more.
During text reading, the durations of eye fixations decrease with greater frequency and predictability of the currently fixated word (Rayner, 1998; 2009). However, it has not been tested whether those results also apply to scene viewing. We computed object frequency and predictability from both linguistic and visual scene analysis (LabelMe, Russell et al., 2008), and Latent Semantic Analysis (Landauer et al., 1998) was applied to estimate predictability. In a scene-viewing experiment, we found that, for small objects, linguisticsbased frequency, but not scene-based frequency, had effects on first fixation duration, gaze duration, and total time. Both linguistic and scene-based predictability affected total time. Similar to reading, fixation duration decreased with higher frequency and predictability. For large objects, we found the direction of effects to be the inverse of those found in reading studies. These results suggest that the recognition of small objects in scene viewing shares some characteristics with the recognition of words in reading. Full article
Show Figures

Figure 1

8 pages, 447 KB  
Article
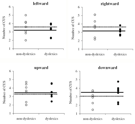
Binocular Coordination During Smooth Pursuit in Dyslexia: A Multiple Case Study
by Qing Yang, Marine Vernet, Maria-Pia Bucci and Zoi Kapoula
J. Eye Mov. Res. 2009, 3(3), 1-8; https://doi.org/10.16910/jemr.3.3.2 - 21 May 2010
Cited by 4 | Viewed by 239
Abstract
Smooth pursuit (SP) was explored in dyslexics and non-dyslexics. Dyslexic children show similar gain of SP, and number and amplitude of catch-up saccades (CUS) as non-dyslexic children. The quality of binocular coordination is good for both groups; the only significant exception is for [...] Read more.
Smooth pursuit (SP) was explored in dyslexics and non-dyslexics. Dyslexic children show similar gain of SP, and number and amplitude of catch-up saccades (CUS) as non-dyslexic children. The quality of binocular coordination is good for both groups; the only significant exception is for pursuit to the right for both smooth phase and CUS; dyslexics show higher disconjugacy. Decrement of binocular control during rightward pursuit only could reflect immaturity of oculomotor learning mechanisms needed to optimize binocular coordination for all directions. Yet, these observations need to be confirmed in a larger population including older children and compared with other populations, e.g., with right-to-left reading. Full article
Show Figures

Figure 1

13 pages, 663 KB  
Article
“Trait” and “State” Aspects of Fixation Disparity During Reading
by Stephanie Jainta and Wolfgang Jaschinski
J. Eye Mov. Res. 2009, 3(3), 1-13; https://doi.org/10.16910/jemr.3.3.1 - 22 Feb 2010
Cited by 6 | Viewed by 217
Abstract
In our study, 14 subjects read 60 sentences from the Potsdam Sentence Corpus twice (viewing distance: 60 cm), while eye movements were measured with the EyeLink II. We analyzed fixation disparities for complete sentence replications (N = 388). After subtracting the average fixation [...] Read more.
In our study, 14 subjects read 60 sentences from the Potsdam Sentence Corpus twice (viewing distance: 60 cm), while eye movements were measured with the EyeLink II. We analyzed fixation disparities for complete sentence replications (N = 388). After subtracting the average fixation disparity of each sentence from each observation (which gave the “state” fixation disparity), 99% of all remaining fixation disparities were aligned, i.e. smaller than one character width (20 min arc)—depending mostly on incoming saccade amplitude and fixation position. Additionally, we measured the heterophoria for each subject during calibration and found a qualitative relationship between average, individual measures of fixation disparity (“trait” fixation disparity) and heterophoria, after dividing the sample in 3 groups of esophore, exophore and orthophore subjects. We showed that the magnitude of “trait” fixation disparity was biased by the direction of heterophoria: the more eso the heterophoria, the more eso the average sentence fixation disparity. In sum, despite a large “trait” fixation disparity (in the range of −6.6 to +33.6 min arc), “state” fixation disparities within a sentence were on average −0.9 (±8.7) min arc and, thus, as precise as needed, i.e., within the expected extent of Panum’s area. Full article
Show Figures

Figure 1

Previous Issue
Next Issue
Back to TopTop