Elevated Levels of Serum Biomarkers Associated with Damage to the CNS Neurons and Endothelial Cells Are Linked with Changes in Brain Connectivity in Breast Cancer Patients with Vestibulo-Atactic Syndrome
Abstract
1. Introduction
2. Materials and Methods
2.1. Patients
2.1.1. Inclusion Criteria
2.1.2. Exclusion Criteria
2.1.3. Neurological Examination
2.2. Evaluation of Plasma Levels of ICAM-1, PECAM-1, NSE, NR-2-ab
2.3. MR Imaging Protocol
2.4. Statistics
3. Results
3.1. Patients
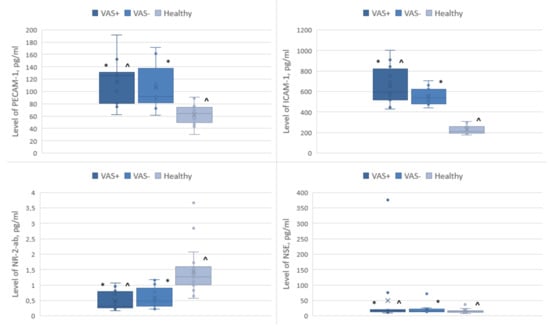
3.2. Assessment of ICAM-1, PECAM-1, NSE, and NR-2-ab
3.3. fMRI Studies
4. Discussion
5. Conclusions
Author Contributions
Funding
Institutional Review Board Statement
Informed Consent Statement
Data Availability Statement
Conflicts of Interest
Abbreviations
| ADMN | anterior default mode network |
| BCS | breast cancer survivors |
| BOLD | blood oxygenation level dependent |
| CN | central network |
| CNS | central nervous system |
| DMN | Default Mode Network |
| fMRI | functional magnetic resonance imaging |
| GLOBOCAN | Global Cancer Observatory |
| ICAM-1 | intercellular adhesion molecule 1 |
| MDDW | multidirectional diffusion weighting |
| MPRAGE | Magnetization Prepared-Rapid Gradient Echo |
| NMDA | N-methyl-D-aspartate receptor |
| NR-2-ab | antibodies recognizing NR-2 subunit of NMDA receptor |
| NSE | neuron-specific enolase |
| PDMN | posterior default mode network |
| PECAM-1 | platelet/endothelial cell adhesion molecule 1 |
| SMN | sensorimotor network |
| TIRM | inversion recovery MRI pulse sequence |
| VAS | vestibulo-atactic syndrome |
| VBM | voxel-based morphometry |
| VN | visual network |
| WHO | World Health Organization |
References
- Sung, H.; Ferlay, J.; Siegel, R.L.; Laversanne, M.; Soerjomataram, I.; Jemal, A.; Bray, F. Global Cancer Statistics 2020: GLOBOCAN Estimates of Incidence and Mortality Worldwide for 36 Cancers in 185 Countries. CA Cancer J. Clin. 2021, 71, 209–249. [Google Scholar] [CrossRef]
- Łukasiewicz, S.; Czeczelewski, M.; Forma, A.; Baj, J.; Sitarz, R.; Stanisławek, A. Breast Cancer-Epidemiology, Risk Factors, Classification, Prognostic Markers, and Current Treatment Strategies—An Updated Review. Cancers 2021, 13, 4287. [Google Scholar] [CrossRef] [PubMed]
- Nardin, S.; Mora, E.; Varughese, F.M.; D’Avanzo, F.; Vachanaram, A.R.; Rossi, V.; Saggia, C.; Rubinelli, S.; Gennari, A. Breast Cancer Survivorship, Quality of Life, and Late Toxicities. Front. Oncol. 2020, 10, 864. [Google Scholar] [CrossRef] [PubMed]
- Gong, Y.; Tan, Q.; Qin, Q.; Wei, C. Prevalence of postmastectomy pain syndrome and associated risk factors: A large single-institution cohort study. Medicine 2020, 99, e19834. [Google Scholar] [CrossRef] [PubMed]
- Capuco, A.; Urits, I.; Orhurhu, V.; Chun, R.; Shukla, B.; Burke, M.; Kaye, R.J.; Garcia, A.J.; Kaye, A.D.; Viswanath, O. A Comprehensive Review of the Diagnosis, Treatment, and Management of Postmastectomy Pain Syndrome. Curr. Pain Headache Rep. 2020, 24, 41. [Google Scholar] [CrossRef] [PubMed]
- Stevens, P.E.; Dibble, S.L.; Miaskowski, C. Prevalence, characteristics, and impact of postmastectomy pain syndrome: An investigation of women’s experiences. Pain 1995, 61, 61–68. [Google Scholar] [CrossRef]
- Coughlin, S.S.; Ayyala, D.; Majeed, B.; Cortes, L.; Kapuku, G. Cardiovascular Disease among Breast Cancer Survivors. Cardiovasc. Disord. Med. 2020, 2. [Google Scholar] [CrossRef]
- Raychaudhuri, S.; Dieli-Conwright, C.M.; Cheng, R.K.; Barac, A.; Reding, K.W.; Vasbinder, A.; Cook, K.L.; Nair, V.; Desai, P.; Simon, M.S. A review of research on the intersection between breast cancer and cardiovascular research in the Women’s Health Initiative (WHI). Front. Oncol. 2022, 12, 1039246. [Google Scholar] [CrossRef]
- Pusic, A.L.; Cemal, Y.; Albornoz, C.; Klassen, A.; Cano, S.; Sulimanoff, I.; Hernandez, M.; Massey, M.; Cordeiro, P.; Morrow, M.; et al. Quality of life among breast cancer patients with lymphedema: A systematic review of patient-reported outcome instruments and outcomes. J. Cancer Surviv. 2013, 7, 83–92. [Google Scholar] [CrossRef]
- Mauro, C.; Capone, V.; Cocchia, R.; Cademartiri, F.; Riccardi, F.; Arcopinto, M.; Alshahid, M.; Anwar, K.; Carafa, M.; Carbone, A.; et al. Cardiovascular Side Effects of Anthracyclines and HER2 Inhibitors among Patients with Breast Cancer: A Multidisciplinary Stepwise Approach for Prevention, Early Detection, and Treatment. J. Clin. Med. 2023, 12, 2121. [Google Scholar] [CrossRef]
- Hubbert, L.; Mallios, P.; Karlström, P.; Papakonstantinou, A.; Bergh, J.; Hedayati, E. Long-term and real-life incidence of cancer therapy-related cardiovascular toxicity in patients with breast cancer: A Swedish cohort study. Front. Oncol. 2023, 13, 1095251. [Google Scholar] [CrossRef]
- De Ruiter, M.B.; Reneman, L.; Boogerd, W.; Veltman, D.J.; Caan, M.; Douaud, G.; Lavini, C.; Linn, S.C.; Boven, E.; van Dam, F.S.; et al. Late effects of high-dose adjuvant chemotherapy on white and gray matter in breast cancer survivors: Converging results from multimodal magnetic resonance imaging. Hum. Brain Mapp. 2012, 33, 2971–2983. [Google Scholar] [CrossRef]
- Kim, J.H.; Jenrow, K.A.; Brown, S.L. Mechanisms of radiation-induced normal tissue toxicity and implications for future clinical trials. Radiat. Oncol. J. 2014, 32, 103–115. [Google Scholar] [CrossRef] [PubMed]
- Was, H.; Borkowska, A.; Bagues, A.; Tu, L.; Liu, J.Y.H.; Lu, Z.; Rudd, J.A.; Nurgali, K.; Abalo, R. Mechanisms of Chemotherapy-Induced Neurotoxicity. Front. Pharmacol. 2022, 13, 750507. [Google Scholar] [CrossRef] [PubMed]
- Miltenburg, N.C.; Boogerd, W. Chemotherapy-induced neuropathy: A comprehensive survey. Cancer Treat. Rev. 2014, 40, 872–882. [Google Scholar] [CrossRef] [PubMed]
- Everaars, K.E.; Welbie, M.; Hummelink, S.; Tjin, E.P.M.; de Laat, E.H.; Ulrich, D.J.O. The impact of scars on health-related quality of life after breast surgery: A qualitative exploration. J. Cancer Surviv. 2021, 15, 224–233. [Google Scholar] [CrossRef]
- Gałecki, J.; Hicer-Grzenkowicz, J.; Grudzień-Kowalska, M.; Michalska, T.; Załucki, W. Radiation-induced brachial plexopathy and hypofractionated regimens in adjuvant irradiation of patients with breast cancer—A review. Acta Oncol. 2006, 45, 280–284. [Google Scholar] [CrossRef] [PubMed]
- Moran, M.S.; Haffty, B.G. Radiation techniques and toxicities for locally advanced breast cancer. Semin. Radiat. Oncol. 2009, 19, 244–255. [Google Scholar] [CrossRef]
- Braudy, R.; Atoms, B.; Coghlan, J.; Staples, M.; Moga, D.; Tollefsrud, R.; Lawrence, R.L.; Ludewig, P.; Koehler, L. Shoulder Kinematics of Axillary Web Syndrome in Women Treated for Breast Cancer. Arch. Phys. Med. Rehabil. 2023, 104, 403–409. [Google Scholar] [CrossRef]
- Konara Mudiyanselage, S.P.; Wu, Y.L.; Kukreti, S.; Chen, C.C.; Lin, C.N.; Tsai, Y.T.; Ku, H.C.; Fang, S.Y.; Wang, J.D.; Ko, N.Y. Dynamic changes in quality of life, psychological status, and body image in women who underwent a mastectomy as compared with breast reconstruction: An 8-year follow up. Breast Cancer 2023, 30, 226–240. [Google Scholar] [CrossRef]
- Ribeiro, F.E.; Tebar, W.R.; Ferrari, G.; Palma, M.R.; Fregonesi, C.E.; Caldeira, D.T.; Silva, G.C.R.; Vanderlei, L.C.M.; Beretta, V.S.; Christofaro, D.G.D. Comparison of Quality of Life in Breast Cancer Survivors with and without Persistent Depressive Symptoms: A 12-Month Follow-Up Study. Int. J. Environ. Res. Public Health 2023, 20, 3663. [Google Scholar] [CrossRef] [PubMed]
- Fish, M.L.; Grover, R.; Schwarz, G.S. Quality-of-Life Outcomes in Surgical vs Nonsurgical Treatment of Breast Cancer-Related Lymphedema: A Systematic Review. JAMA Surg. 2020, 155, 513–519. [Google Scholar] [CrossRef] [PubMed]
- Zheng, S.Y.; Chen, C.Y.; Qi, W.X.; Cai, G.; Xu, C.; Cai, R.; Qian, X.F.; Shen, K.W.; Cao, L.; Chen, J.Y. The influence of axillary surgery and radiotherapeutic strategy on the risk of lymphedema and upper extremity dysfunction in early breast cancer patients. Breast 2023, 68, 142–148. [Google Scholar] [CrossRef] [PubMed]
- Anuszkiewicz, K.; Jankau, J.; Kur, M. What do we know about treating breast-cancer-related lymphedema? Review of the current knowledge about therapeutic options. Breast Cancer 2023, 30, 187–199. [Google Scholar] [CrossRef]
- Pospelova, M.; Krasnikova, V.; Fionik, O.; Alekseeva, T.; Samochernykh, K.; Ivanova, N.; Trofimov, N.; Vavilova, T.; Vasilieva, E.; Topuzova, M.; et al. Potential Molecular Biomarkers of Central Nervous System Damage in Breast Cancer Survivors. J. Clin. Med. 2022, 11, 1215. [Google Scholar] [CrossRef]
- Bukkieva, T.; Pospelova, M.; Efimtsev, A.; Fionik, O.; Alekseeva, T.; Samochernych, K.; Gorbunova, E.; Krasnikova, V.; Makhanova, A.; Levchuk, A.; et al. Functional Network Connectivity Reveals the Brain Functional Alterations in Breast Cancer Survivors. J. Clin. Med. 2022, 11, 617. [Google Scholar] [CrossRef]
- Feng, Y.; Wang, Y.F.; Zheng, L.J.; Shi, Z.; Huang, W.; Zhang, L.J. Network-level functional connectivity alterations in chemotherapy treated breast cancer patients: A longitudinal resting state functional MRI study. Cancer Imaging 2020, 20, 73. [Google Scholar] [CrossRef]
- Luijendijk, M.J.; Bekele, B.M.; Schagen, S.B.; Douw, L.; de Ruiter, M.B. Temporal Dynamics of Resting-state Functional Networks and Cognitive Functioning following Systemic Treatment for Breast Cancer. Brain Imaging Behav. 2022, 16, 1927–1937. [Google Scholar] [CrossRef]
- Wang, L.; Yan, Y.; Wang, X.; Tao, L.; Chen, Q.; Bian, Y.; He, X.; Liu, Y.; Ding, W.; Yu, Y.; et al. Executive Function Alternations of Breast Cancer Patients after Chemotherapy: Evidence from Resting-state Functional MRI. Acad. Radiol. 2016, 23, 1264–1270. [Google Scholar] [CrossRef]
- Lange, M.; Joly, F. How to Identify and Manage Cognitive Dysfunction after Breast Cancer Treatment. J. Oncol. Pract. 2017, 13, 784–790. [Google Scholar] [CrossRef]
- Dardiotis, E.; Aloizou, A.M.; Markoula, S.; Siokas, V.; Tsarouhas, K.; Tzanakakis, G.; Libra, M.; Kyritsis, A.P.; Brotis, A.G.; Aschner, M.; et al. Cancer-associated stroke: Pathophysiology, detection and management (Review). Int. J. Oncol. 2019, 54, 779–796. [Google Scholar] [CrossRef]
- Jagsi, R.; Griffith, K.A.; Koelling, T.; Roberts, R.; Pierce, L.J. Stroke rates and risk factors in patients treated with radiation therapy for early-stage breast cancer. J. Clin. Oncol. 2006, 24, 2779–2785. [Google Scholar] [CrossRef] [PubMed]
- Koppelmans, V.; van der Willik, K.D.; Aleman, B.M.P.; van Leeuwen, F.E.; Kavousi, M.; Arshi, B.; Vernooij, M.W.; Ikram, M.A.; Schagen, S.B. Long-term effects of adjuvant treatment for breast cancer on carotid plaques and brain perfusion. Breast Cancer Res. Treat. 2021, 186, 167–176. [Google Scholar] [CrossRef] [PubMed]
- Rogers, B.P.; Carew, J.D.; Meyerand, M.E. Hemispheric asymmetry in supplementary motor area connectivity during unilateral finger movements. Neuroimage 2004, 22, 855–859. [Google Scholar] [CrossRef] [PubMed]
- Schimmelpfennig, J.; Topczewski, J.; Zajkowski, W.; Jankowiak-Siuda, K. The role of the salience network in cognitive and affective deficits. Front. Hum. Neurosci. 2023, 17, 1133367. [Google Scholar] [CrossRef] [PubMed]
- Menon, V.; Palaniyappan, L.; Supekar, K. Integrative Brain Network and Salience Models of Psychopathology and Cognitive Dysfunction in Schizophrenia. Biol. Psychiatry 2022. [Google Scholar] [CrossRef] [PubMed]
- Menon, V. Large-scale brain networks and psychopathology: A unifying triple network model. Trends Cogn. Sci. 2011, 15, 483–506. [Google Scholar] [CrossRef]
- Bui, T.M.; Wiesolek, H.L.; Sumagin, R. ICAM-1: A master regulator of cellular responses in inflammation, injury resolution, and tumorigenesis. J. Leukoc. Biol. 2020, 108, 787–799. [Google Scholar] [CrossRef]
- Preidl, R.H.M.; Möbius, P.; Weber, M.; Amann, K.; Neukam, F.W.; Kesting, M.; Geppert, C.I.; Wehrhan, F. Long-term endothelial dysfunction in irradiated vessels: An immunohistochemical analysis. Strahlenther. Onkol. 2019, 195, 52–61. [Google Scholar] [CrossRef]
- Gregory, M.A.; Manuel-Apolinar, L.; Sánchez-Garcia, S.; Villa Romero, A.R.; de Jesús Iuit Rivera, J.; Basurto Acevedo, L.; Grijalva-Otero, I.; Cuadros-Moreno, J.; Garcia-de la Torre, P.; Guerrero Cantera, J.; et al. Soluble Intercellular Adhesion Molecule-1 (sICAM-1) as a Biomarker of Vascular Cognitive Impairment in Older Adults. Dement. Geriatr. Cogn. Disord. 2019, 47, 243–253. [Google Scholar] [CrossRef]
- Janelidze, S.; Mattsson, N.; Stomrud, E.; Lindberg, O.; Palmqvist, S.; Zetterberg, H.; Blennow, K.; Hansson, O. CSF biomarkers of neuroinflammation and cerebrovascular dysfunction in early Alzheimer disease. Neurology 2018, 91, e867–e877. [Google Scholar] [CrossRef] [PubMed]
- Kalinowska, A.; Losy, J. PECAM-1, a key player in neuroinflammation. Eur. J. Neurol. 2006, 13, 1284–1290. [Google Scholar] [CrossRef] [PubMed]
- Kowalski, R.G.; Ledreux, A.; Violette, J.E.; Neumann, R.T.; Ornelas, D.; Yu, X.; Griffiths, S.G.; Lewis, S.; Nash, P.; Monte, A.A.; et al. Rapid Activation of Neuroinflammation in Stroke: Plasma and Extracellular Vesicles Obtained on a Mobile Stroke Unit. Stroke 2023, 54, e52–e57. [Google Scholar] [CrossRef] [PubMed]
- Zarobkiewicz, M.K.; Morawska, I.; Kowalska, W.; Halczuk, P.; Roliński, J.; Bojarska-Junak, A.A. PECAM-1 Is Down-Regulated in γδT Cells during Remission, but Up-Regulated in Relapse of Multiple Sclerosis. J. Clin. Med. 2022, 11, 3210. [Google Scholar] [CrossRef]
- Isgrò, M.A.; Bottoni, P.; Scatena, R. Neuron-Specific Enolase as a Biomarker: Biochemical and Clinical Aspects. Adv. Exp. Med. Biol. 2015, 867, 125–143. [Google Scholar] [CrossRef]
- Polyakova, M.; Mueller, K.; Arelin, K.; Lampe, L.; Rodriguez, F.S.; Luck, T.; Kratzsch, J.; Hoffmann, K.T.; Riedel-Heller, S.; Villringer, A.; et al. Increased Serum NSE and S100B Indicate Neuronal and Glial Alterations in Subjects under 71 Years with Mild Neurocognitive Disorder/Mild Cognitive Impairment. Front. Cell. Neurosci. 2022, 16, 788150. [Google Scholar] [CrossRef]
- Stanca, D.M.; Mărginean, I.C.; Sorițău, O.; Dragoș, C.; Mărginean, M.; Mureșanu, D.F.; Vester, J.C.; Rafila, A. GFAP and antibodies against NMDA receptor subunit NR2 as biomarkers for acute cerebrovascular diseases. J. Cell. Mol. Med. 2015, 19, 2253–2261. [Google Scholar] [CrossRef]
- Dobrynina, L.A.; Alexandrova, E.V.; Zabitova, M.R.; Kalashnikova, L.A.; Krotenkova, M.V.; Akhmetzyanov, B.M. Anti-NR2 glutamate receptor antibodies as an early biomarker of cerebral small vessel disease. Clin. Biochem. 2021, 96, 26–32. [Google Scholar] [CrossRef] [PubMed]
- Suraj, J.; Kurpińska, A.; Zakrzewska, A.; Sternak, M.; Stojak, M.; Jasztal, A.; Walczak, M.; Chlopicki, S. Early and late endothelial response in breast cancer metastasis in mice: Simultaneous quantification of endothelial biomarkers using a mass spectrometry-based method. Dis. Model. Mech. 2019, 12, dmm036269. [Google Scholar] [CrossRef]
- Whitfield-Gabrieli, S.; Nieto-Castanon, A. Conn: A functional connectivity toolbox for correlated and anticorrelated brain networks. Brain Connect. 2012, 2, 125–141. [Google Scholar] [CrossRef]
- Monfort, S.M.; Pan, X.; Patrick, R.; Ramaswamy, B.; Wesolowski, R.; Naughton, M.J.; Loprinzi, C.L.; Chaudhari, A.M.W.; Lustberg, M.B. Gait, balance, and patient-reported outcomes during taxane-based chemotherapy in early-stage breast cancer patients. Breast Cancer Res. Treat. 2017, 164, 69–77. [Google Scholar] [CrossRef] [PubMed]
- Medina, H.N.; Liu, Q.; Cao, C.; Yang, L. Balance and vestibular function and survival in US cancer survivors. Cancer 2021, 127, 4022–4029. [Google Scholar] [CrossRef] [PubMed]
- Regal-McDonald, K.; Somarathna, M.; Lee, T.; Litovsky, S.H.; Barnes, J.; Peretik, J.M.; Traylor, J.G., Jr.; Orr, A.W.; Patel, R.P. Assessment of ICAM-1 N-glycoforms in mouse and human models of endothelial dysfunction. PLoS ONE 2020, 15, e0230358. [Google Scholar] [CrossRef] [PubMed]
- Pospelova, M.; Krasnikova, V.; Fionik, O.; Alekseeva, T.; Samochernykh, K.; Ivanova, N.; Trofimov, N.; Vavilova, T.; Vasilieva, E.; Topuzova, M.; et al. Adhesion Molecules ICAM-1 and PECAM-1 as Potential Biomarkers of Central Nervous System Damage in Women Breast Cancer Survivors. Pathophysiology 2022, 29, 52–65. [Google Scholar] [CrossRef] [PubMed]
- Schroeter, M.L.; Mueller, K.; Arelin, K.; Sacher, J.; Holiga, Š.; Kratzsch, J.; Luck, T.; Riedel-Heller, S.; Villringer, A. Serum Neuron-Specific Enolase Is Related to Cerebellar Connectivity: A Resting-State Functional Magnetic Resonance Imaging Pilot Study. J. Neurotrauma 2015, 32, 1380–1384. [Google Scholar] [CrossRef] [PubMed]
- Sun, Y.; Wang, S.; Gan, S.; Niu, X.; Yin, B.; Bai, G.; Yang, X.; Jia, X.; Bai, L.; Zhang, M. Serum Neuron-Specific Enolase Levels Associated with Connectivity Alterations in Anterior Default Mode Network after Mild Traumatic Brain Injury. J. Neurotrauma 2021, 38, 1495–1505. [Google Scholar] [CrossRef]
- Wang, Y.; Qin, Z.H. Molecular and cellular mechanisms of excitotoxic neuronal death. Apoptosis 2010, 15, 1382–1402. [Google Scholar] [CrossRef]
- Skalny, A.V.; Klimenko, L.L.; Turna, A.A.; Budanova, M.N.; Baskakov, I.S.; Savostina, M.S.; Mazilina, A.N.; Deyev, A.I.; Skalnaya, M.G.; Tinkov, A.A. Serum trace elements are associated with hemostasis, lipid spectrum and inflammatory markers in men suffering from acute ischemic stroke. Metab. Brain Dis. 2017, 32, 779–788. [Google Scholar] [CrossRef]
- Han, L.; Lu, J.; Chen, C.; Ke, J.; Zhao, H. Altered functional connectivity within and between resting-state networks in patients with vestibular migraine. Neuroradiology 2023, 65, 591–598. [Google Scholar] [CrossRef]
- Ranasinghe, K.G.; Hinkley, L.B.; Beagle, A.J.; Mizuiri, D.; Dowling, A.F.; Honma, S.M.; Finucane, M.M.; Scherling, C.; Miller, B.L.; Nagarajan, S.S.; et al. Regional functional connectivity predicts distinct cognitive impairments in Alzheimer’s disease spectrum. Neuroimage Clin. 2014, 5, 385–395. [Google Scholar] [CrossRef]
- Askren, M.K.; Jung, M.; Berman, M.G.; Zhang, M.; Therrien, B.; Peltier, S.; Ossher, L.; Hayes, D.F.; Reuter-Lorenz, P.A.; Cimprich, B. Neuromarkers of fatigue and cognitive complaints following chemotherapy for breast cancer: A prospective fMRI investigation. Breast Cancer Res. Treat. 2014, 147, 445–455. [Google Scholar] [CrossRef] [PubMed]
- McDonald, B.C.; Van Dyk, K.; Deardorff, R.L.; Bailey, J.N.; Zhai, W.; Carroll, J.E.; Root, J.C.; Ahles, T.A.; Mandelblatt, J.S.; Saykin, A.J. Multimodal MRI examination of structural and functional brain changes in older women with breast cancer in the first year of antiestrogen hormonal therapy. Breast Cancer Res. Treat. 2022, 194, 113–126. [Google Scholar] [CrossRef] [PubMed]
- Reetz, K.; Dogan, I.; Rolfs, A.; Binkofski, F.; Schulz, J.B.; Laird, A.R.; Fox, P.T.; Eickhoff, S.B. Investigating function and connectivity of morphometric findings—Exemplified on cerebellar atrophy in spinocerebellar ataxia 17 (SCA17). Neuroimage 2012, 62, 1354–1366. [Google Scholar] [CrossRef] [PubMed]
- Baggio, H.C.; Abos, A.; Segura, B.; Campabadal, A.; Uribe, C.; Giraldo, D.M.; Perez-Soriano, A.; Muñoz, E.; Compta, Y.; Junque, C.; et al. Cerebellar resting-state functional connectivity in Parkinson’s disease and multiple system atrophy: Characterization of abnormalities and potential for differential diagnosis at the single-patient level. Neuroimage Clin. 2019, 22, 101720. [Google Scholar] [CrossRef]
- Fang, W.; Lv, F.; Luo, T.; Cheng, O.; Liao, W.; Sheng, K.; Wang, X.; Wu, F.; Hu, Y.; Luo, J.; et al. Abnormal regional homogeneity in patients with essential tremor revealed by resting-state functional MRI. PLoS ONE 2013, 8, e69199. [Google Scholar] [CrossRef]





| Totally | Age | Scope of Operation | Chemotherapy and/or Radiation Therapy | |||||
|---|---|---|---|---|---|---|---|---|
| Madden (One or Bilateral) | Sectoral Resection | Subcutaneous Mastectomy with One-Stage Mammoplasty | Comprehensive Treatment | Combined Treatment | Surgery | |||
| VAS+ | 14 | 45.5 ± 5.19 | 12 (86%) | 1 (7%) | 1 (7%) | 6 (43%) | 7 (50%) | 1 (7%) |
| VAS− | 7 | 45.5 ± 4.1 | 7 (100%) | - | - | 3 (43%) | 4 (57%) | - |
| Control | 17 | 44.25 ± 3.54 | - | - | - | - | - | - |
| T2 BLADE | EP2D-DIFF MDDW | GRE Field Mapping | EP2D 120 REST | MPRAGE | T2 tse COR | TIRM | |
|---|---|---|---|---|---|---|---|
| Repetition time/TR | 4000 ms | 4000 ms | 400 ms | 3000 ms | 2300 ms | 6100 ms | 7000 ms |
| Echo time/TE | 113 ms | 92 ms | 4.92 ms | 30 ms | 2.98 ms | 93 ms | 93 ms |
| FoV | 220 mm | 230 mm | 192 mm | 192 mm | 256 mm | 220 mm | 220 mm |
| Slice thickness | 5.0 mm | 4.5 mm | 3.0 mm | 4.5 mm | 1.2 mm | 3.5 mm | 4.0 mm |
| Voxel size x (mm), y (mm) | 0.7 × 0.7 | 1.8 × 1.8 | 3.0 × 3.0 | 3.0 × 3.0 | 1.0 × 1.0 | 0.7 × 0.7 | 0.9 × 0.9 |
| Study time | 2:02 | 3:42 | 0:54 | 6:08 | 5:03 | 1:27 | 3:04 |
| Biomarker | Breast Cancer Survivors (n = 21) | Control (n = 17) | p-Value | |
|---|---|---|---|---|
| ICAM-1 pg/mL | VAS+ | 654.7 [429; 1000] | 230.2 [176; 311] | 0.00001 * |
| VAS− | 551.9 [438; 706] | |||
| PECAM-1 pg/mL | VAS+ | 115.3 [62; 191.8] | 62.8 [30; 91] | 0.920216 |
| VAS− | 106 [61.4; 171.5] | |||
| NSE pg/mL | VAS+ | 49.9 [8.82; 375] | 15.5 [7.64; 36.04] | 0.150443 |
| VAS− | 20.3 [12.64; 70.87] | |||
| NR-2-ab pg/mL | VAS+ | 0.5 [0.16; 1.06] | 1.4 [0.57; 3.66] | 0.646335 |
| VAS− | 0.58 [0.23; 1.18] | |||
| Region of Study | Statistics, T * |
|---|---|
| occipital lobe, left | 4.11 |
| additional motor area, right | 4.11 |
| anterior fusiform gyrus, left | 4.11 |
| calcarine fissure, left | 4.11 |
| superior cerebellar peduncle, right | 4.06 |
| posterior lobe of the cerebellum, right | 4.25 |
| cerebellar vermis | 4.06 |
| Flocculus, left | 4.18 |
| precentral gyrus, right | −4.39 |
| postcentral gyrus, right | −3.95 |
| Geschl gyrus on the right | −3.90 |
| inferior frontal gyrus, left | −4.39 |
| supraspinal cortex, left | −3.89 |
| calcarine fissure, left | −3.95 |
| Dorsal Attention Network | −3.95 |
Disclaimer/Publisher’s Note: The statements, opinions and data contained in all publications are solely those of the individual author(s) and contributor(s) and not of MDPI and/or the editor(s). MDPI and/or the editor(s) disclaim responsibility for any injury to people or property resulting from any ideas, methods, instructions or products referred to in the content. |
© 2023 by the authors. Licensee MDPI, Basel, Switzerland. This article is an open access article distributed under the terms and conditions of the Creative Commons Attribution (CC BY) license (https://creativecommons.org/licenses/by/4.0/).
Share and Cite
Nikolaeva, A.; Pospelova, M.; Krasnikova, V.; Makhanova, A.; Tonyan, S.; Krasnopeev, Y.; Kayumova, E.; Vasilieva, E.; Efimtsev, A.; Levchuk, A.; et al. Elevated Levels of Serum Biomarkers Associated with Damage to the CNS Neurons and Endothelial Cells Are Linked with Changes in Brain Connectivity in Breast Cancer Patients with Vestibulo-Atactic Syndrome. Pathophysiology 2023, 30, 260-274. https://doi.org/10.3390/pathophysiology30020022
Nikolaeva A, Pospelova M, Krasnikova V, Makhanova A, Tonyan S, Krasnopeev Y, Kayumova E, Vasilieva E, Efimtsev A, Levchuk A, et al. Elevated Levels of Serum Biomarkers Associated with Damage to the CNS Neurons and Endothelial Cells Are Linked with Changes in Brain Connectivity in Breast Cancer Patients with Vestibulo-Atactic Syndrome. Pathophysiology. 2023; 30(2):260-274. https://doi.org/10.3390/pathophysiology30020022
Chicago/Turabian StyleNikolaeva, Alexandra, Maria Pospelova, Varvara Krasnikova, Albina Makhanova, Samvel Tonyan, Yurii Krasnopeev, Evgeniya Kayumova, Elena Vasilieva, Aleksandr Efimtsev, Anatoliy Levchuk, and et al. 2023. "Elevated Levels of Serum Biomarkers Associated with Damage to the CNS Neurons and Endothelial Cells Are Linked with Changes in Brain Connectivity in Breast Cancer Patients with Vestibulo-Atactic Syndrome" Pathophysiology 30, no. 2: 260-274. https://doi.org/10.3390/pathophysiology30020022
APA StyleNikolaeva, A., Pospelova, M., Krasnikova, V., Makhanova, A., Tonyan, S., Krasnopeev, Y., Kayumova, E., Vasilieva, E., Efimtsev, A., Levchuk, A., Trufanov, G., Voynov, M., & Shevtsov, M. (2023). Elevated Levels of Serum Biomarkers Associated with Damage to the CNS Neurons and Endothelial Cells Are Linked with Changes in Brain Connectivity in Breast Cancer Patients with Vestibulo-Atactic Syndrome. Pathophysiology, 30(2), 260-274. https://doi.org/10.3390/pathophysiology30020022

