Structural Validity and Reliability of a Tool for Clinical Rehabilitation Staff to Evaluate Life-Goal-Setting Practice for Cancer Survivors
Simple Summary
Abstract
1. Introduction
2. Materials and Methods
2.1. Design
2.2. Participant Recruitment and Selection
2.2.1. Eligibility Criteria
2.2.2. Sample Size and Recruitment
2.3. Data Collection
2.3.1. Survey Items
2.3.2. Processing of Missing Values
2.3.3. Procedures
2.4. Rasch Analysis
2.4.1. Category Response Scales
2.4.2. Targeting
2.4.3. Item Statistics
2.4.4. Unidimensionality
2.4.5. Differential Item Function (DIF)
2.4.6. Reliability Based on the Rasch Model
2.5. Test–Retest Reliability Based on Classical Test Theory
2.6. Ethical Considerations
3. Results
3.1. Participants
3.2. First Rasch Analysis
3.2.1. Category Response Scales
3.2.2. Targeting
3.2.3. Item Statistics
3.2.4. Unidimensionality
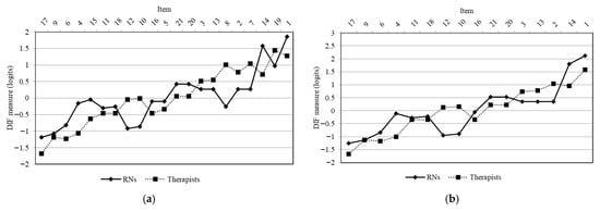
3.2.5. DIF
3.2.6. Reliability According to the Rasch Model
3.2.7. Identifying Items to Delete
3.3. Second Rasch Analysis
3.4. Third Rasch Analysis
3.5. Test–Retest Reliability
4. Discussion
4.1. Recommended Situations and Timing for Using the ReGAT-C
4.2. Limitations and Future Directions
5. Conclusions
Author Contributions
Funding
Institutional Review Board Statement
Informed Consent Statement
Data Availability Statement
Acknowledgments
Conflicts of Interest
Abbreviations
| ReGAT-C | reengagement life goal assessment tool for cancer survivors |
| QOL | quality of life |
| C-COGS | client-centredness of goal setting |
| PT | physical therapist |
| OT | occupational therapist |
| RN | registered nurse |
| COSMIN | consensus-based standards for the selection of health measurement instruments |
| MnSq | mean square value |
| Zstd | standardized Z-score |
| SD | standard deviation |
| PCA | principal component analysis |
| DIF | differential item function |
| ICC | intraclass correlation coefficient |
| ECOG PS | Eastern Cooperative Oncology Group performance status |
References
- Long-Term Health Concerns for Cancer Survivors. Available online: https://www.cancer.net/survivorship/long-term-side-effects-cancer-treatment (accessed on 15 September 2025).
- Costa, D.S.J.; Mercieca-Bebber, R.; Rutherford, C.; Gabb, L.; King, M.T. The impact of cancer on psychological and social outcomes. Aust. Psychol. 2016, 51, 89–99. [Google Scholar] [CrossRef]
- Siegel, R.L.; Miller, K.D.; Wagle, N.S.; Jemal, A. Cancer statistics, 2023. CA A Cancer J. Clin. 2023, 73, 17–48. [Google Scholar] [CrossRef]
- Wade, D.T. Goal setting in rehabilitation: An overview of what, why and how. Clin. Rehabil. 2009, 23, 291–295. [Google Scholar] [CrossRef]
- Levack, W.M.; Weatherall, M.; Hay-Smith, E.J.; Dean, S.G.; McPherson, K.; Siegert, R.J. Goal setting and strategies to enhance goal pursuit for adults with acquired disability participating in rehabilitation. Cochrane Database Syst. Rev. 2015, 2015, CD009727. [Google Scholar] [CrossRef]
- Holliday, R.C.; Cano, S.; Freeman, J.A.; Playford, E.D. Should patients participate in clinical decision making? An optimised balance block design controlled study of goal setting in a rehabilitation unit. J. Neurol. Neurosurg. Psychiatry 2007, 78, 576–580. [Google Scholar] [CrossRef] [PubMed]
- Hullmann, S.E.; Robb, S.L.; Rand, K.L. Life goals in patients with cancer: A systematic review of the literature. Psycho-Oncol. 2016, 25, 387–399. [Google Scholar] [CrossRef] [PubMed]
- Janse, M.; Sprangers, M.A.; Ranchor, A.V.; Fleer, J. Long-term effects of goal disturbance and adjustment on well-being in cancer patients. Qual. Life Res. 2016, 25, 1017–1027. [Google Scholar] [CrossRef]
- von Blanckenburg, P.; Seifart, U.; Conrad, N.; Exner, C.; Rief, W.; Nestoriuc, Y. Quality of life in cancer rehabilitation: The role of life goal adjustment. Psycho-Oncol. 2014, 23, 1149–1156. [Google Scholar] [CrossRef] [PubMed]
- Doig, E.; Prescott, S.; Fleming, J.; Cornwell, P.; Kuipers, P. Development and construct validation of the Client-Centredness of Goal Setting (C-COGS) scale. Scand. J. Occup. Ther. 2015, 22, 302–310. [Google Scholar] [CrossRef]
- Doig, E.; Prescott, S.; Fleming, J.; Cornwell, P.; Kuipers, P. Reliability of the Client-Centeredness of Goal Setting (C-COGS) Scale in acquired brain injury rehabilitation. Am. J. Occup. Ther. 2016, 70, 7004290010. [Google Scholar] [CrossRef]
- Luborsky, L.; Barber, J.P.; Siqueland, L.; Johnson, S.; Najavits, L.M.; Frank, A.; Daley, D. The Revised Helping Alliance questionnaire (HAq-II): Psychometric properties. J. Psychother. Pract. Res. 1996, 5, 260–271. [Google Scholar]
- Kagaya, Y.; Asano, T.; Tsugaruya, M.; Ishikawa, T. Sense of difficulties experienced by Japanese occupational therapists in cancer rehabilitation. Asian J. Occup. Ther. 2022, 18, 209–220. [Google Scholar] [CrossRef]
- Piggott, K.L.; Patel, A.; Wong, A.; Martin, L.; Patel, A.; Patel, M.; Liu, Y.; Dhesy-Thind, S.; You, J.J. Breaking silence: A survey of barriers to goals of care discussions from the perspective of oncology practitioners. BMC Cancer 2019, 19, 130. [Google Scholar] [CrossRef] [PubMed]
- Ikeuchi, K.; Nishida, S.; Karikawa, M. Life goal domains, traits, and setting process in the collaboration between healthcare professionals and cancer survivors: A scoping review. Prog. Rehabil. Med. 2024, 9, 20240018. [Google Scholar] [CrossRef]
- Ikeuchi, K.; Nishida, S.; Karikawa, M.; Sakamoto, C.; Mori, F.; Tanaka, M. Development of an assessment tool to measure the quality of the life goal setting for cancer survivors: A content validity study. Cureus 2024, 16, e71272. [Google Scholar] [CrossRef]
- COSMIN Study Design Checklist for Patient-Reported Outcome Measurement Instruments. Available online: https://www.cosmin.nl/wp-content/uploads/COSMIN-study-designing-checklist_final.pdf (accessed on 15 September 2025).
- Ikechi, Y.; Inoue, K.; Ono, K.; Kanayama, Y.; Oogishi, T. Development of the self-rating scale of occupational therapists for terminal cancer (SROT-TC): Examination of validity and reliability. Jpn. Occup. Ther. Res. 2022, 41, 61–69. [Google Scholar] [CrossRef]
- Streiner, D.L.; Norman, G.R.; Cairney, J. (Eds.) From items to scales. In Health Measurement Scales: A Practical Guide to Their Development and Use, 5th ed.; Kihara, M.; Kaji, M.; Kihara, M., Translators; Medical Science International, Ltd.: Tokyo, Japan, 2016; pp. 128–154. Original work published 2015. [Google Scholar]
- van Kampen, D.A.; van Beers, L.W.; Scholtes, V.A.; Terwee, C.B.; Willems, W.J. Validation of the Dutch version of the Simple Shoulder Test. J. Shoulder Elb. Surg. 2012, 21, 808–814. [Google Scholar] [CrossRef] [PubMed]
- Bond, T.G.; Yan, Z.I.; Heene, M. (Eds.) Why measurement is fundamental. In Applying the Rasch Model: Fundamental Measurement in the Human Sciences, 4th ed.; Routledge: London, UK, 2020; pp. 1–17. [Google Scholar]
- Tennant, A.; McKenna, S.P.; Hagell, P. Application of Rasch analysis in the development and application of quality of life instruments. Value Health 2004, 7 (Suppl. S1), S22–S26. [Google Scholar] [CrossRef]
- Lombard, K.; Nolan, C.; Heron, E. A scoping review of the use of Rasch analysis methodology to strengthen self-report occupational therapy mental health measures. Occup. Ther. Ment. Health 2021, 38, 124–150. [Google Scholar] [CrossRef]
- Stolt, M.; Kottorp, A.; Suhonen, R. The use and quality of reporting of Rasch analysis in nursing research: A methodological scoping review. Int. J. Nurs. Stud. 2022, 132, 104244. [Google Scholar] [CrossRef]
- Linacre, J.M. Optimizing rating scale category effectiveness. J. Appl. Meas. 2002, 3, 85–106. [Google Scholar]
- Bond, T.G.; Yan, Z.I.; Heene, M. (Eds.) Basic principles of the Rasch model. In Applying the Rasch Model: Fundamental Measurement in the Human Sciences, 4th ed.; Routledge: London, UK, 2020; pp. 31–49. [Google Scholar]
- Bond, T.G.; Yan, Z.I.; Heene, M. (Eds.) Building a set of items for measurement. In Applying the Rasch Model: Fundamental Measurement in the Human Sciences, 4th ed.; Routledge: London, UK, 2020; pp. 50–68. [Google Scholar]
- Reasonable Mean-Square Fit Values. Available online: https://www.rasch.org/rmt/rmt83b.htm (accessed on 15 September 2025).
- Fit Diagnosis: Infit Outfit Mean-Square Standardized. Available online: https://www.winsteps.com/winman/misfitdiagnosis.htm. (accessed on 15 September 2025).
- Nishigami, T.; Tanaka, K.; Mibu, A.; Manfuku, M.; Yono, S.; Tanabe, A. Development and psychometric properties of short form of central sensitization inventory in participants with musculoskeletal pain: A cross-sectional study. PLoS ONE 2018, 13, e0200152. [Google Scholar] [CrossRef]
- Bray, N.; Tudor Edwards, R. Preference-based measurement of mobility-related quality of life: Developing the MobQoL-7D health state classification system. Disabil. Rehabil. 2022, 44, 2915–2929. [Google Scholar] [CrossRef]
- Wright, B.D.; Masters, G.N. (Eds.) Verifying variables and supervising measures. In Rating Scale Analysis; MESA Press: Chicago, IL, USA, 1982; pp. 90–117. [Google Scholar]
- Reliability and Separation of Measures. Available online: https://www.winsteps.com/winman/reliability.htm (accessed on 15 September 2025).
- Tennant, A.; Conaghan, P.G. The Rasch measurement model in rheumatology: What is it and why use it? When should it be applied, and what should one look for in a Rasch paper? Arthritis Rheumatol. 2007, 57, 1358–1362. [Google Scholar] [CrossRef]
- Landis, J.R.; Koch, G.G. The measurement of observer agreement for categorical data. Biometrics 1977, 33, 159–174. [Google Scholar] [CrossRef]
- Bond, T.G.; Yan, Z.I.; Heene, M. (Eds.) Rasch modeling applied: Rating scale design. In Applying the Rasch Model: Fundamental Measurement in the Human Sciences, 4th ed.; Routledge: London, UK, 2020; pp. 222–237. [Google Scholar]
- Bashkin, O.; Asna, N.; Amoyal, M.; Dopelt, K. The role of nurses in the quality of cancer care management: Perceptions of cancer survivors and oncology teams. Semin. Oncol. Nurs. 2023, 39, 151423. [Google Scholar] [CrossRef] [PubMed]
- Morishita, S.; Suzuki, K.; Okayama, T.; Inoue, J.; Tanaka, T.; Nakano, J.; Fukushima, T. Recent findings in physical exercise for cancer survivors. Phys. Ther. Res. 2023, 26, 10–16. [Google Scholar] [CrossRef] [PubMed]
- Pergolotti, M.; Williams, G.R.; Campbell, C.; Munoz, L.A.; Muss, H.B. Occupational therapy for adults with cancer: Why it matters. Oncologist 2016, 21, 314–349. [Google Scholar] [CrossRef]
- Nursing Statistical Data. Available online: https://www.nurse.or.jp/nursing/home/statistics/pdf/toukei04.pdf (accessed on 15 September 2025).
- Transition in the Number of Physical Therapists by Place of Employment. Available online: https://www.mhlw.go.jp/stf/wp/hakusyo/kousei/21/backdata/01-01-02-32.html (accessed on 15 September 2025).
- Transition in the Number of Occupational Therapists by Place of Employment. Available online: https://www.mhlw.go.jp/stf/wp/hakusyo/kousei/21/backdata/01-01-02-34.html (accessed on 15 September 2025).
- Wade, D.T. Goal planning in stroke rehabilitation: How? Top. Stroke Rehabil. 1999, 6, 16–36. [Google Scholar] [CrossRef]
- Ilie, G.; Bradfield, J.; Moodie, L.; Lawen, T.; Ilie, A.; Lawen, Z.; Blackman, C.; Gainer, R.; Rutledge, R.D.H. The role of response-shift in studies assessing quality of life outcomes among cancer patients: A systematic review. Front. Oncol. 2019, 9, 783. [Google Scholar] [CrossRef]
- Sprangers, M.A.; Schwartz, C.E. The challenge of response shift for quality-of-life-based clinical oncology research. Ann. Oncol. 1999, 10, 747–749. [Google Scholar] [CrossRef] [PubMed]



| Subscales | Items |
|---|---|
| Classification |
|
| Characteristic |
|
| Process |
|
| Regional Divisions | % |
|---|---|
| Hokkaido | 4.8 (4.1) b |
| Tohoku | 9.9 (9.1) |
| Northern Kanto | 9.4 (9.9) |
| Southern Kanto | 18.0 (23.1) |
| Hokuriku | 5.3 (5.0) |
| Tokai | 9.9 (8.3) |
| Kinki | 14.9 (9.9) |
| Chugoku | 8.1 (19.8) |
| Sikoku | 4.6 (6.6) |
| Kyusyu | 13.8 (4.1) |
| Okinawa | 1.3 (0.0) |
| N = 121 | |
|---|---|
| Sex (n) | |
| Male | 77 |
| Female | 44 |
| Age, years (n) | |
| 18–39 | 7 |
| 40–64 | 35 |
| 65–74 | 44 |
| ≥75 | 35 |
| Cancer types (n) | |
| Digestive | 30 |
| Lung | 19 |
| Hematopoietic | 16 |
| Urological | 14 |
| Head and neck | 10 |
| Head (brain tumor) | 9 |
| Breast | 9 |
| Gynecological | 5 |
| Pancreatic | 4 |
| Sarcoma | 2 |
| Gallbladder | 1 |
| Liver | 1 |
| Peritoneal | 1 |
| Cancer treatment (n) | |
| Chemotherapy | 81 |
| Surgery | 73 |
| Radiotherapy | 39 |
| Stage (n) | |
| I | 14 |
| II | 33 |
| III | 29 |
| IV | 40 |
| Unknown | 5 |
| ECOG PS scale (n) | |
| 0 | 22 |
| 1 | 49 |
| 2 | 20 |
| 3 | 24 |
| 4 | 6 |
| Number of Observations | % | Outfit MnSq | Average Measure | |
|---|---|---|---|---|
| Five-category response scale | ||||
| 1 (Strongly disagree) a | 179 | 7.04 | 1.30 | −2.02 |
| 2 (Disagree a little) a | 240 | 9.45 | 1.16 | −0.87 |
| 3 (Neither agree nor disagree) a | 401 | 15.78 | 0.74 | −0.15 |
| 4 (Agree a little) a | 1019 | 40.10 | 0.91 | 0.75 |
| 5 (Strongly agree) a | 702 | 27.63 | 0.99 | 2.49 |
| Total | 2541 | |||
| Three-category response scale | ||||
| 1 (Strongly disagree–Neither agree nor disagree) a | 820 | 32.27 | 1.05 | −1.98 |
| 2 (Agree a little) a | 1019 | 40.10 | 0.90 | 0.00 |
| 3 (Strongly agree) a | 702 | 27.63 | 1.06 | 1.98 |
| Total | 2541 |
| Item No. | First Rasch Analysis | Second Rasch Analysis | Third Rasch Analysis | |||||||||||||||
|---|---|---|---|---|---|---|---|---|---|---|---|---|---|---|---|---|---|---|
| Logit | SE | Infit | Outfit | Logit | SE | Infit | Outfit | Logit | SE | Infit | Outfit | |||||||
| MnSq | Zstd | MnSq | Zstd | MnSq | Zstd | MnSq | Zstd | MnSq | Zstd | MnSq | Zstd | |||||||
| Item 1 | 1.46 | 0.17 | 1.20 | 1.43 | 1.14 | 0.82 | 1.74 | 0.18 | 1.31 | 2.12 * | 1.22 | 1.22 | 1.80 | 0.18 | 1.35 | 2.36 * | 1.23 | 1.27 |
| Item 2 | 0.58 | 0.15 | 0.97 | −0.24 | 1.03 | 0.32 | 0.78 | 0.15 | 1.00 | 0.06 | 1.05 | 0.44 | 0.78 | 0.16 | 1.04 | 0.38 | 1.08 | 0.68 |
| Item 3 | 0.42 | 0.14 | 0.86 | −1.28 | 0.91 | −0.76 | 0.59 | 0.15 | 0.90 | −0.92 | 0.92 | −0.63 | 0.58 | 0.16 | 0.97 | −0.21 | 1.00 | 0.07 |
| Item 4 | −0.68 | 0.14 | 1.06 | 0.56 | 1.10 | 0.84 | −0.63 | 0.15 | 1.18 | 1.54 | 1.23 | 1.75 | −0.71 | 0.16 | 1.18 | 1.54 | 1.20 | 1.48 |
| Item 5 | −0.24 | 0.14 | 0.98 | −0.18 | 1.02 | 0.24 | ― | ― | ||||||||||
| Item 6 | −1.05 | 0.15 | 0.67 | −3.26 * | 0.67 | −2.82 * | −1.03 | 0.16 | 0.74 | −2.43 * | 0.73 | −2.11 * | −1.13 | 0.16 | 0.75 | −2.25 * | 0.75 | −1.77 |
| Item 7 | 0.74 | 0.15 | 1.84 * | 5.98 * | 1.95 * | 5.92 * | ― | ― | ||||||||||
| Item 8 | 0.50 | 0.14 | 1.47 * | 3.79 * | 1.50 * | 3.69 * | ― | ― | ||||||||||
| Item 9 | −1.14 | 0.15 | 0.74 | −2.44 * | 0.89 | −0.81 | −1.13 | 0.16 | 0.84 | −1.38 | 1.05 | 0.39 | −1.23 | 0.16 | 0.93 | −0.57 | 1.23 | 1.44 |
| Item 10 | −0.34 | 0.14 | 1.09 | 0.85 | 1.07 | 0.67 | −0.25 | 0.15 | 1.26 | 2.22 * | 1.32 | 2.51 * | ― | |||||
| Item 11 | −0.40 | 0.14 | 0.95 | −0.42 | 0.97 | −0.21 | −0.31 | 0.15 | 1.03 | 0.34 | 1.05 | 0.47 | −0.38 | 0.15 | 1.09 | 0.85 | 1.10 | 0.81 |
| Item 12 | −0.38 | 0.14 | 1.14 | 1.28 | 1.17 | 1.48 | −0.29 | 0.15 | 1.24 | 2.10 * | 1.27 | 2.16 * | ― | |||||
| Item 13 | 0.44 | 0.14 | 1.19 | 1.67 | 1.14 | 1.21 | 0.61 | 0.15 | 1.26 | 2.18 * | 1.20 | 1.61 | 0.61 | 0.16 | 1.36 | 2.85 * | 1.29 | 2.19 * |
| Item 14 | 0.99 | 0.15 | 0.92 | −0.62 | 0.90 | −0.70 | 1.22 | 0.16 | 1.03 | 0.31 | 1.01 | 0.09 | 1.26 | 0.17 | 1.05 | 0.48 | 1.00 | 0.04 |
| Item 15 | −0.40 | 0.14 | 0.57 * | −4.80 * | 0.58 * | −4.42 * | ― | ― | ||||||||||
| Item 16 | −0.32 | 0.14 | 0.72 | −2.87 * | 0.71 | −2.93 * | −0.23 | 0.15 | 0.80 | −1.90 | 0.79 | −1.93 | −0.28 | 0.15 | 0.86 | −1.30 | 0.83 | −1.42 |
| Item 17 | −1.45 | 0.16 | 0.56 * | −4.20 * | 0.56 * | −3.38 * | −1.47 | 0.17 | 0.58 * | −3.90 * | 0.61 | −2.64 * | −1.60 | 0.17 | 0.63 | −3.37 * | 0.70 | −1.78 |
| Item 18 | −0.38 | 0.14 | 0.89 | −1.01 | 0.91 | −0.84 | −0.29 | 0.15 | 0.97 | −0.21 | 0.96 | −0.30 | −0.35 | 0.15 | 1.02 | 0.18 | 1.00 | 0.06 |
| Item 19 | 1.26 | 0.16 | 1.56 * | 3.81 * | 1.47 * | 2.70 * | ― | ― | ||||||||||
| Item 20 | 0.19 | 0.14 | 0.83 | −1.72 | 0.86 | −1.24 | 0.34 | 0.15 | 0.87 | −1.19 | 0.90 | −0.84 | 0.32 | 0.15 | 0.83 | −1.57 | 0.84 | −1.39 |
| Item 21 | 0.19 | 0.14 | 0.85 | −1.46 | 0.82 | −1.70 | 0.34 | 0.15 | 0.90 | −0.93 | 0.85 | −1.27 | 0.32 | 0.15 | 0.91 | −0.77 | 0.87 | −1.13 |
| First Rasch Analysis | Second Rasch Analysis | Third Rasch Analysis | |||
|---|---|---|---|---|---|
| Remaining Items | Deleted Items (Reason) | Remaining Items | Deleted Items (Reason) | Remaining Items | |
| Classification | Items 1–3 | None | Items 1–3 | None | Items 1–3 |
| Characteristic | Items 4–13 | Item 5 (standardized residual correlations) Item 7 (underfitting) Item 8 (underfitting, DIF) | Items 4, 6, 9–13 | Item 10 (DIF) Item 12 (DIF) | Items 4, 6, 9, 11, 13 |
| Process | Items 14–21 | Item 15 (standardized residual correlations, overfitting) Item 19 (underfitting) | Items 14, 16–18, 20–21 | None | Items 14, 16–18, 20–21 |
| Total number of items | 21 | 5 | 16 | 2 | 14 |
Disclaimer/Publisher’s Note: The statements, opinions and data contained in all publications are solely those of the individual author(s) and contributor(s) and not of MDPI and/or the editor(s). MDPI and/or the editor(s) disclaim responsibility for any injury to people or property resulting from any ideas, methods, instructions or products referred to in the content. |
© 2025 by the authors. Licensee MDPI, Basel, Switzerland. This article is an open access article distributed under the terms and conditions of the Creative Commons Attribution (CC BY) license (https://creativecommons.org/licenses/by/4.0/).
Share and Cite
Ikeuchi, K.; Nishida, S.; Karikawa, M.; Sakamoto, C.; Tanaka, M. Structural Validity and Reliability of a Tool for Clinical Rehabilitation Staff to Evaluate Life-Goal-Setting Practice for Cancer Survivors. Curr. Oncol. 2025, 32, 625. https://doi.org/10.3390/curroncol32110625
Ikeuchi K, Nishida S, Karikawa M, Sakamoto C, Tanaka M. Structural Validity and Reliability of a Tool for Clinical Rehabilitation Staff to Evaluate Life-Goal-Setting Practice for Cancer Survivors. Current Oncology. 2025; 32(11):625. https://doi.org/10.3390/curroncol32110625
Chicago/Turabian StyleIkeuchi, Katsuma, Seiji Nishida, Mari Karikawa, Chiaki Sakamoto, and Mutsuhide Tanaka. 2025. "Structural Validity and Reliability of a Tool for Clinical Rehabilitation Staff to Evaluate Life-Goal-Setting Practice for Cancer Survivors" Current Oncology 32, no. 11: 625. https://doi.org/10.3390/curroncol32110625
APA StyleIkeuchi, K., Nishida, S., Karikawa, M., Sakamoto, C., & Tanaka, M. (2025). Structural Validity and Reliability of a Tool for Clinical Rehabilitation Staff to Evaluate Life-Goal-Setting Practice for Cancer Survivors. Current Oncology, 32(11), 625. https://doi.org/10.3390/curroncol32110625

