Breast Cancer Characteristics and Outcomes in Canadian Black Women by Ancestry
Simple Summary
Abstract
1. Introduction
2. Methods
2.1. Data Sources
2.2. Study Population
2.3. Incidence and Mortality Rates
2.4. Age at Breast Cancer Diagnosis and Death
2.5. Anatomic/Prognostic Stage and Molecular Subtypes
3. Results
3.1. Incidence
3.2. Age at Diagnosis
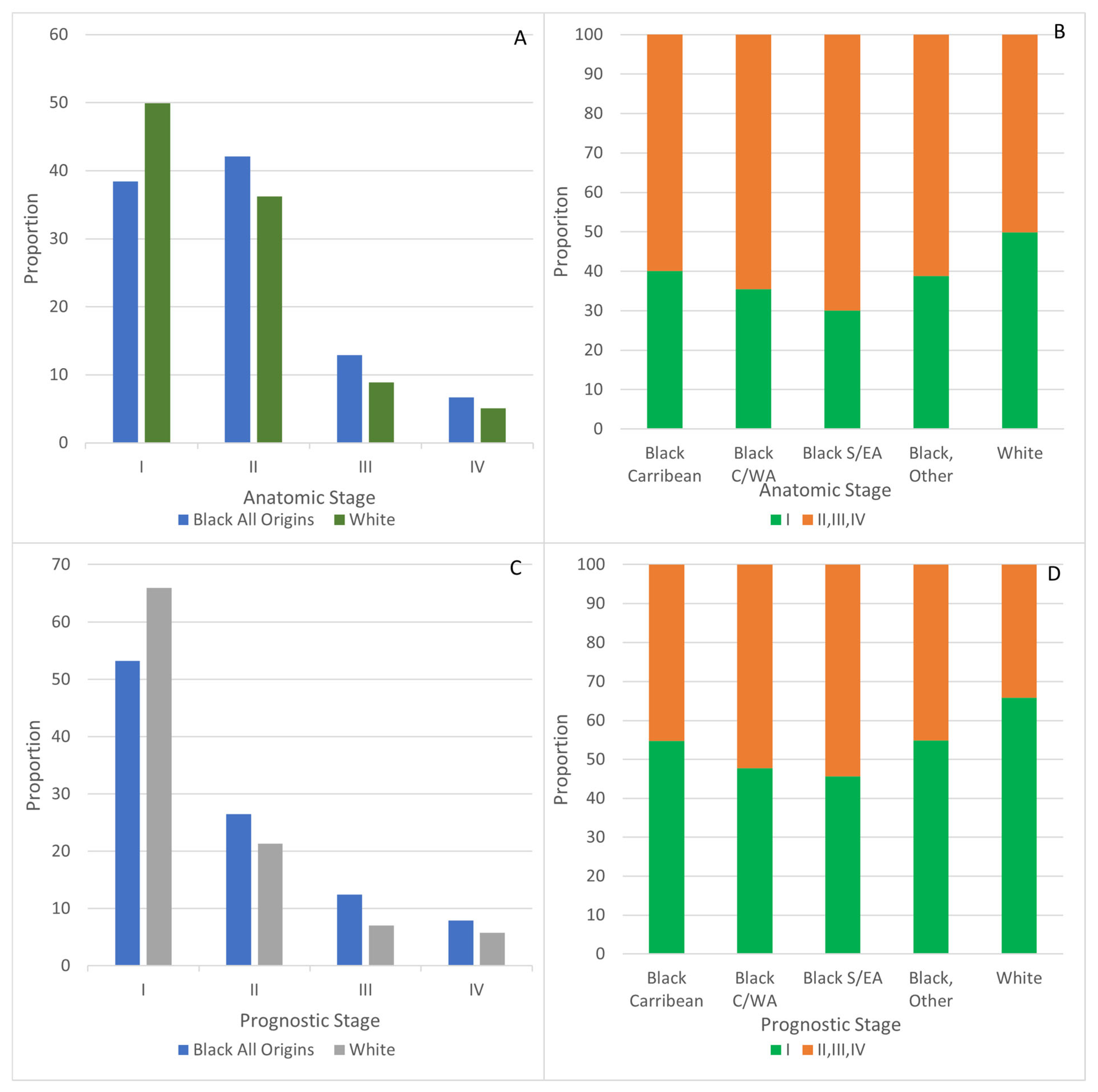
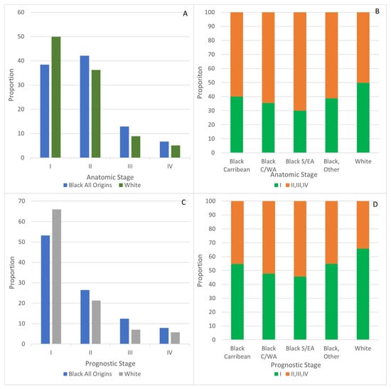
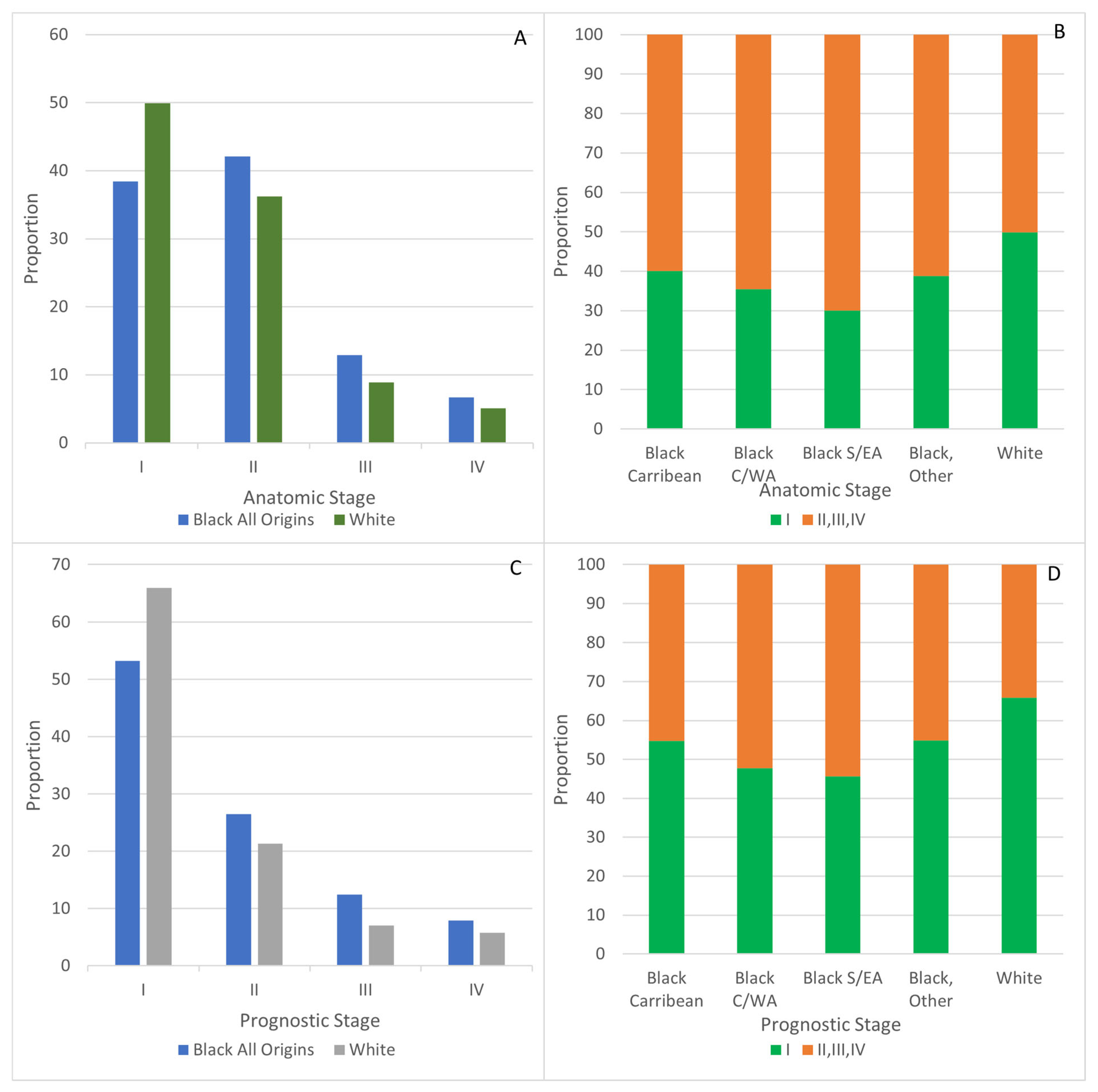
3.3. Stage
3.4. Molecular Subtype
3.5. Mortality
4. Interpretation
Supplementary Materials
Author Contributions
Funding
Institutional Review Board Statement
Informed Consent Statement
Data Availability Statement
Conflicts of Interest
References
- Canadian Cancer Society/Société Canadienne du Cancer. (n.d.). Breast Cancer Statistics. Canadian Cancer Society. Available online: https://cancer.ca/en/cancer-information/cancer-types/breast/statistics (accessed on 7 July 2025).
- Wilkinson, A.N.; Ng, C.; Ellison, L.F.; Seely, J.M. Breast cancer incidence and mortality, by age, stage and molecular subtypes, by race/ethnicity in Canada. Oncologist 2024, 30, oyae283. [Google Scholar] [CrossRef]
- Smedley, A.; Smedley, B.D. Race as biology is fiction, racism as a social problem is real: Anthropological and historical perspectives on the social construction of race. Am. Psychol. 2005, 60, 16–26. [Google Scholar] [CrossRef]
- Statistics Canada. The Diversity of the Black Populations in Canada, 2021: A Sociodemographic Portrait. 2024. Available online: https://www150.statcan.gc.ca/n1/pub/89-657-x/89-657-x2024005-eng.htm (accessed on 7 July 2025).
- Osei-Twum, J.A.; Gedleh, S.; Lofters, A.; Nnorom, O. Differences in Breast Cancer Presentation at Time of Diagnosis for Black and White Women in High Resource Settings. J. Immigr. Minor. Health 2021, 23, 1305–1342. [Google Scholar] [CrossRef]
- Statistics Canada. Canadian Census Health and Environment Cohorts (CanCHECs). Available online: https://www.statcan.gc.ca/en/microdata/data-centres/data/canchec (accessed on 27 May 2025).
- Statistics Canada. Visible Minority and Population Group Reference Guide, National Household Survey. 2011. Available online: https://www12.statcan.gc.ca/nhs-enm/2011/ref/guides/99-010-x/99-010-x2011009-eng.cfm (accessed on 27 May 2025).
- Statistics Canada. Ethnic Origin Reference Guide, National Household Survey. 2011. Available online: https://www12.statcan.gc.ca/nhs-enm/2011/ref/guides/99-010-x/99-010-x2011006-eng.cfm (accessed on 27 May 2025).
- Statistics Canada. Visible Minority and Population Group Reference Guide, Census of Population. 2021. Available online: https://www12.statcan.gc.ca/census-recensement/2021/ref/98-500/006/98-500-x2021006-eng.cfm (accessed on 27 May 2025).
- Statistics Canada. Ethnic or Cultural Origin Reference Guide, Census of Population. 2021. Available online: https://www12.statcan.gc.ca/census-recensement/2021/ref/98-500/008/98-500-x2021008-eng.cfm (accessed on 27 May 2025).
- Amin, M.B.; Greene, F.L.; Edge, S.B.; Compton, C.C.; Gershenwald, J.E.; Brookland, R.K.; Meyer, L.; Gress, D.M.; Byrd, D.R.; Winchester, D.P. AJCC Cancer Staging Manual, 8th ed.; Springer: New York, NY, USA, 2017. [Google Scholar]
- Stark, A.; Kleer, C.G.; Martin, I.; Awuah, B.; Nsiah-Asare, A.; Takyi, V.; Braman, M.; Quayson, S.E.; Zarbo, R.; Wicha, M.; et al. African ancestry and higher prevalence of triple-negative breast cancer: Findings from an international study. Cancer 2010, 116, 4926–4932. [Google Scholar] [CrossRef] [PubMed]
- Fregene, A.; Newman, L.A. Breast cancer in sub-Saharan Africa: How does it relate to breast cancer in African-American women? Cancer 2005, 103, 1540–1550. [Google Scholar] [CrossRef] [PubMed]
- Sung, H.; DeSantis, C.E.; Fedewa, S.A.; Kantelhardt, E.J.; Jemal, A. Breast cancer subtypes among Eastern-African-born black women and other black women in the United States. Cancer 2019, 125, 3401–3411. [Google Scholar] [CrossRef] [PubMed]
- Nwagu, G.C.; Bhattarai, S.; Swahn, M.; Ahmed, S.; Aneja, R. Prevalence and Mortality of Triple-Negative Breast Cancer in West Africa: Biologic and Sociocultural Factors. JCO Glob. Oncol. 2021, 7, 1129–1140. [Google Scholar] [CrossRef]
- Trottier, M.; Lunn, J.; Butler, R.; Curling, D.; Turnquest, T.; Francis, W.; Halliday, D.; Royer, R.; Zhang, S.; Li, S.; et al. Prevalence of founder mutations in the BRCA1 and BRCA2 genes among unaffected women from the Bahamas. Clin. Genet. 2016, 89, 328–331. [Google Scholar] [CrossRef]
- Dietze, E.C.; Sistrunk, C.; Miranda-Carboni, G.; O’Regan, R.; Seewaldt, V.L. Triple-negative breast cancer in African-American women: Disparities versus biology. Nature reviews. Cancer 2015, 15, 248–254. [Google Scholar] [CrossRef]
- Churpek, J.E.; Walsh, T.; Zheng, Y.; Moton, Z.; Thornton, A.M.; Lee, M.K.; Casadie, S.; Watts, A.; Neistadt, B.; Churpek, M.M.; et al. Inherited predisposition to breast cancer among African American women. Breast Cancer Res. Treatment. 2014, 149, 31–39. [Google Scholar] [CrossRef]
- Bassey-Archibong, B.I.; Hercules, S.M.; Rayner, L.G.A.; Skeete, D.H.A.; Smith Connell, S.P.; Brain, I.; Daramola, A.; Banjo, A.A.F.; Byun, J.S.; Gardner, K.; et al. Kaiso is highly expressed in TNBC tissues of women of African ancestry compared to Caucasian women. Cancer Causes Control CCC 2017, 28, 1295–1304. [Google Scholar] [CrossRef]
- Yao, S.; Cheng, T.D.; Elkhanany, A.; Yan, L.; Omilian, A.; Abrams, S.I.; Evans, S.; Hong, C.C.; Qi, Q.; Davis, W.; et al. Breast Tumor Microenvironment in Black Women: A Distinct Signature of CD8+ T-Cell Exhaustion. J. Natl. Cancer Inst. 2021, 113, 1036–1043. [Google Scholar] [CrossRef]
- Freeman, J.Q.; Huo, D.; Shubeck, S.P.; Chen, N.; Yarlagadda, S.R.; Nanda, R.; Howard, F.M. Trends and Disparities in the Use of Immunotherapy for Triple-Negative Breast Cancer in the US. JAMA Netw. Open 2025, 8, e2460243. [Google Scholar] [CrossRef]
- Siddharth, S.; Sharma, D. Racial Disparity and Triple-Negative Breast Cancer in African-American Women: A Multifaceted Affair between Obesity, Biology, and Socioeconomic Determinants. Cancers 2018, 10, 514. [Google Scholar] [CrossRef]
- Dogan, B.E.; Turnbull, L.W. Imaging of triple-negative breast cancer. Ann. Oncol. Off. J. Eur. Soc. Med. Oncol. 2012, 23 (Suppl. 6), vi23–vi29. [Google Scholar] [CrossRef]
- Holloway, C.M.B.; Jiang, L.; Whitehead, M.; Racz, J.M.; Groome, P.A. Organized screening detects breast cancer at earlier stage regardless of molecular phenotype. J. Cancer Res. Clin. Oncol. 2018, 144, 1769–1775. [Google Scholar] [CrossRef] [PubMed]
- Bayard, S.; Fasano, G.; Chen, Y.; Davis, M.; Drotman, M.; Bensenhaver, J.; Swistel, A.; Simmons, R.; Marti, J.; Newman, L. Screening mammography mitigates breast cancer disparities through early detection of triple negative breast cancer. Clin. Imaging 2021, 80, 430–437. [Google Scholar] [CrossRef] [PubMed]
- Caswell-Jin, J.L.; Sun, L.P.; Munoz, D.; Lu, Y.; Li, Y.; Huang, H.; Hampton, J.M.; Song, J.; Jayasekera, J.; Schechter, C.; et al. Analysis of Breast Cancer Mortality in the US-1975 to 2019. JAMA 2024, 331, 233–241. [Google Scholar] [CrossRef] [PubMed]
- Vahabi, M.; Lofters, A.; Kim, E.; Wong, J.P.; Ellison, L.; Graves, E.; Glazier, R.H. Breast cancer screening utilization among women from Muslim majority countries in Ontario, Canada. Prev. Med. 2017, 105, 176–183. [Google Scholar] [CrossRef]
- Lofters, A.K.; McBride, M.L.; Li, D.; Whitehead, M.; Moineddin, R.; Jiang, L.; Grunfeld, E.; Groome, P.A.; CanIMPACT Team. Disparities in breast cancer diagnosis for immigrant women in Ontario and BC: Results from the CanIMPACT study. BMC Cancer 2019, 19, 42. [Google Scholar] [CrossRef]
- Wilkinson, A.N.; Ellison, L.F.; McGee, S.F.; Billette, J.M.; Seely, J.M. The Landscape of Breast Cancer Molecular and Histologic Subtypes in Canada. Curr. Oncol. 2024, 31, 5544–5556. [Google Scholar] [CrossRef]
- Giaquinto, A.N.; Sung, H.; Newman, L.A.; Freedman, R.A.; Smith, R.A.; Star, J.; Jemal, A.; Siegel, R.L. Breast cancer statistics 2024. CA Cancer J. Clin. 2024, 74, 477–495. [Google Scholar] [CrossRef]
- Xu, S.; Murtagh, S.; Han, Y.; Wan, F.; Toriola, A.T. Breast Cancer Incidence Among US Women Aged 20 to 49 Years by Race, Stage, and Hormone Receptor Status. JAMA Netw. Open 2024, 7, e2353331. [Google Scholar] [CrossRef]
- Oppong, B.A.; Obeng-Gyasi, S.; Relation, T.; Adams-Campbell, L. Call to action: Breast cancer screening recommendations for Black women. Breast Cancer Res. Treat. 2021, 187, 295–297. [Google Scholar] [CrossRef] [PubMed]



| Race/Ethnicity | N | Median Age of Sample (y) | Mean Age of Sample (y) | Breast Cancer Cases | Median Age at Diagnosis (y) | Mean Age Diagnosis (y) | Peak Age at Diagnosis (y) | Breast Cancer Deaths | Median Age at Breast Cancer Death (y) | Mean Age at Breast Cancer Death (y) | Peak Age at Breast Cancer Death (y) |
|---|---|---|---|---|---|---|---|---|---|---|---|
| Black Caribbean origins | 70,240 | 44 | 45.5 | 690 | 59 | 59.3 | 57 | 210 | 64 | 65.1 | 55 |
| Black Other origins | 27,585 | 42 | 44.1 | 250 | 61 | 61.0 | 61 | 80 | 71 | 66.4 | 66 |
| Black Central/West African origins | 19,485 | 35 | 37.0 | 100 | 48 | 49.2 | 46 | 25 | 48.5 | 50.6 | 54 |
| Black Southern/East African origins | 18,355 | 37 | 38.6 | 95 | 49 | 49.8 | 48 | 35 | 51 | 53.3 | 53 |
| White | 3,918,405 | 51 | 50.5 | 56,300 | 64 | 63.8 | 67 | 15,230 | 72 | 71.0 | 71 |
| Race/Ethnicity | Age-Standardized Incidence Rate (Per 100,000 Person-Years) | Rate Lower CL | Rate Upper CL | Age-Standardized Incidence Rate Ratio | Rate Ratio Lower CL | Rate Ratio Upper CL |
|---|---|---|---|---|---|---|
| Black Caribbean origins | 123.1 | 113.7 | 133.4 | 0.89 | 0.83 | 0.97 |
| Black Other origins | 110.5 | 97.0 | 126.0 | 0.80 | 0.71 | 0.91 |
| Black Central/West African origins | 90.2 | 70.4 | 118.0 | 0.65 | 0.52 | 0.83 |
| Black Southern/East African origins | 74.4 | 58.2 | 95.3 | 0.54 | 0.43 | 0.68 |
| White | 137.9 | 136.6 | 139.1 |
| Race/Ethnicity | Cases | Age at Diagnosis Group | Crude Rate (Per 100,000 Person-Years) | Rate Lower CL | Rate Upper CL | Crude Rate Ratio | Rate Ratio Lower CL | Rate Ratio Upper CL |
|---|---|---|---|---|---|---|---|---|
| Black Caribbean origins | 55 | 30–39 | 58.7 | 43.1 | 74.4 | 1.36 | 1.04 | 1.79 |
| 125 | 40–49 | 130.5 | 107.3 | 153.8 | 0.93 | 0.78 | 1.11 | |
| 165 | 50–59 | 202.7 | 172.1 | 233.4 | 0.90 | 0.77 | 1.05 | |
| 150 | 60–69 | 258.6 | 217.5 | 299.7 | 0.77 | 0.66 | 0.90 | |
| 125 | 70–79 | 309.7 | 255.6 | 363.8 | 0.76 | 0.64 | 0.91 | |
| 60 | 80+ | 323.9 | 241.3 | 406.6 | 0.90 | 0.70 | 1.16 | |
| Black Central/West African origins | 40 | 40–49 | 128.9 | 89.0 | 168.9 | 0.92 | 0.67 | 1.25 |
| 30 | 50–59 | 176.0 | 114.1 | 238.0 | 0.78 | 0.55 | 1.11 | |
| Black Other origins | 15 | 30–39 | 38.5 | 19.6 | 57.4 | 0.89 | 0.55 | 1.46 |
| 40 | 40–49 | 101.4 | 70.4 | 132.5 | 0.72 | 0.53 | 0.98 | |
| 65 | 50–59 | 190.5 | 143.5 | 237.5 | 0.85 | 0.66 | 1.08 | |
| 55 | 60–69 | 251.9 | 186.5 | 317.3 | 0.75 | 0.58 | 0.97 | |
| 45 | 70–79 | 340.3 | 245.0 | 435.6 | 0.84 | 0.63 | 1.11 | |
| 30 | 80+ | 388.3 | 241.9 | 534.8 | 1.08 | 0.74 | 1.58 | |
| Black Southern/East African origins | 15 | 30–39 | 41.7 | 20.6 | 62.8 | 0.97 | 0.58 | 1.61 |
| 35 | 40–49 | 103.2 | 69.5 | 137.0 | 0.73 | 0.53 | 1.02 | |
| 30 | 50–59 | 132.7 | 86.0 | 179.5 | 0.59 | 0.41 | 0.84 | |
| White | 1795 | 30–39 | 43.1 | 41.1 | 45.1 | |||
| 6255 | 40–49 | 140.6 | 137.1 | 144.1 | ||||
| 12405 | 50–59 | 225.3 | 221.3 | 229.3 | ||||
| 16515 | 60–69 | 335.8 | 330.7 | 340.9 | ||||
| 12385 | 70–79 | 405.1 | 397.9 | 412.2 | ||||
| 6790 | 80+ | 359.7 | 351.1 | 368.2 |
| Race/Ethnicity | Age- Standardized Mortality Rate (Per 100,000 Person-Years) | Rate Lower CL | Rate Upper CL | Age-Standardized Mortality Rate Ratio | Rate Ratio Lower CL | Rate Ratio Upper CL |
|---|---|---|---|---|---|---|
| Black Caribbean origins | 22.6 | 19.6 | 26.4 | 1.08 | 0.94 | 1.25 |
| Black Other origins | 13.6 | 7.6 | 25.1 | 0.65 | 0.39 | 1.09 |
| Black Central/West African origins | 22.5 | 17.7 | 29.0 | 1.08 | 0.86 | 1.35 |
| Black Southern/East African origins | 23.5 | 15.4 | 35.2 | 1.12 | 0.77 | 1.64 |
| White | 20.9 | 20.5 | 21.3 |
| Race/Ethnicity | Age Diagnosis Group | Deaths | Crude Rate (per 100,000 Person-Years) | Rate Lower CL | Rate Upper CL | Crude Rate Ratio | Rate Ratio Lower CL | Rate Ratio Upper CL |
|---|---|---|---|---|---|---|---|---|
| Black Caribbean origins | 40–49 | 30 | 23.4 | 15.3 | 31.5 | 1.70 | 1.19 | 2.42 |
| 50–59 | 50 | 43.1 | 31.4 | 54.9 | 1.42 | 1.08 | 1.88 | |
| 60–69 | 35 | 41.6 | 28.0 | 55.1 | 0.86 | 0.62 | 1.19 | |
| 70–79 | 40 | 65.0 | 44.8 | 85.1 | 0.79 | 0.58 | 1.09 | |
| 80+ | 45 | 150.1 | 105.7 | 194.4 | 0.87 | 0.65 | 1.18 | |
| Black Other origins | 50–59 | 15 | 41.5 | 22.9 | 60.2 | 1.37 | 0.87 | 2.15 |
| 70–79 | 20 | 92.2 | 50.8 | 133.7 | 1.13 | 0.72 | 1.77 | |
| 80+ | 20 | 221.6 | 131.0 | 312.2 | 1.29 | 0.86 | 1.95 | |
| White | 30–39 | 250 | 4.4 | 3.9 | 4.9 | |||
| 40–49 | 835 | 13.8 | 12.8 | 14.7 | ||||
| 50–59 | 2250 | 30.3 | 29.0 | 31.5 | ||||
| 60–69 | 3410 | 48.5 | 46.9 | 50.1 | ||||
| 70–79 | 3730 | 81.8 | 79.2 | 84.4 | ||||
| 80+ | 4735 | 171.6 | 166.7 | 176.5 |
Disclaimer/Publisher’s Note: The statements, opinions and data contained in all publications are solely those of the individual author(s) and contributor(s) and not of MDPI and/or the editor(s). MDPI and/or the editor(s) disclaim responsibility for any injury to people or property resulting from any ideas, methods, instructions or products referred to in the content. |
© 2025 by the authors. Licensee MDPI, Basel, Switzerland. This article is an open access article distributed under the terms and conditions of the Creative Commons Attribution (CC BY) license (https://creativecommons.org/licenses/by/4.0/).
Share and Cite
Wilkinson, A.N.; Lofters, A.; Rushton, M.; Seely, J.M.; Ng, C. Breast Cancer Characteristics and Outcomes in Canadian Black Women by Ancestry. Curr. Oncol. 2025, 32, 616. https://doi.org/10.3390/curroncol32110616
Wilkinson AN, Lofters A, Rushton M, Seely JM, Ng C. Breast Cancer Characteristics and Outcomes in Canadian Black Women by Ancestry. Current Oncology. 2025; 32(11):616. https://doi.org/10.3390/curroncol32110616
Chicago/Turabian StyleWilkinson, Anna N., Aisha Lofters, Moira Rushton, Jean M. Seely, and Carmina Ng. 2025. "Breast Cancer Characteristics and Outcomes in Canadian Black Women by Ancestry" Current Oncology 32, no. 11: 616. https://doi.org/10.3390/curroncol32110616
APA StyleWilkinson, A. N., Lofters, A., Rushton, M., Seely, J. M., & Ng, C. (2025). Breast Cancer Characteristics and Outcomes in Canadian Black Women by Ancestry. Current Oncology, 32(11), 616. https://doi.org/10.3390/curroncol32110616

