Quality of Life vs. Supportive Care Needs for Oral Cancer Caregivers: Are They Related?
Abstract
1. Introduction
2. Materials and Methods
3. Results
3.1. Participant Characteristics (N = 56)
3.2. Oral Cancer Caregiver QOL
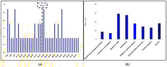
3.3. Oral Cancer Caregiver SCN
3.4. Relationship between Oral Cancer Caregiver QOL and SCN
3.4.1. Correlation between QOL and SCN
3.4.2. Caregiving Duration as a Confounding Factor of Oral Cancer Caregiver’s QOL and SCN
3.4.3. Prediction of Oral Cancer Caregiver SCN
4. Discussion
5. Conclusions
Supplementary Materials
Author Contributions
Funding
Institutional Review Board Statement
Informed Consent Statement
Data Availability Statement
Acknowledgments
Conflicts of Interest
References
- Badr, H.; Bakhshaie, J.; Chhabria, K. Dyadic interventions for cancer survivors and caregivers: State of the science and new directions. Semin. Oncol. Nurs. 2019, 35, 337–341. [Google Scholar] [CrossRef] [PubMed]
- Sharma, A.; Saneha, C.; Phligbua, W. Effects of dyadic interventions on quality of life among cancer patients: An integrative review. Asia-Pac. J. Oncol. Nurs. 2021, 8, 115–131. [Google Scholar] [CrossRef] [PubMed]
- Tan, J.Y.; Molassiotis, A.; Lloyd-Williams, M.; Janelle Yorke, J. Burden, emotional distress and quality of life among informal caregivers of lung cancer patients: An exploratory study. Eur. J. Cancer Care 2018, 27, e12691. [Google Scholar] [CrossRef] [PubMed]
- Unsar, S.; Erol, O.; Ozdemir, O. Caregiving burden, depression, and anxiety in family caregivers of patients with cancer. Eur. J. Oncol. Nurs. 2021, 50, 101882. [Google Scholar] [CrossRef] [PubMed]
- Shahi, V.; Lapid, M.I.; Kung, S.; Atherton, P.J.; Sloan, J.A.; Clark, M.M.; Rummans, T.A. Do age and quality of life of patients with cancer influence quality of life of the caregiver? J. Geriatr. Oncol. 2014, 5, 331–336. [Google Scholar] [CrossRef]
- Troschel, F.M.; Ahndorf, F.; Wille, L.M.; Brandt, R.; Jost, J.; Rekowski, S.; Eich, H.T.; Stummer, W.; Wiewrodt, R.; Jetschke, K.; et al. Quality of life in brain tumor patients and their relatives heavily depends on social support factors during the COVID-19 pandemic. Cancers 2021, 13, 1276. [Google Scholar] [CrossRef]
- Given, B.A.; Given, C.W.; Sherwood, P. The challenge of quality cancer care for family caregivers. Semin. Oncol. Nurs. 2012, 28, 205–212. [Google Scholar] [CrossRef]
- Abdullah, N.N.; Idris, I.B.; Yamat, H.; Abdullah, N.M.A. Health-related quality of life of cancer caregivers in Klang Valley, Malaysia. Environ.-Behav. Proc. J. 2020, 5, 193–198. [Google Scholar] [CrossRef]
- Decadt, I.; Laenen, A.; Celus, J.; Geyskens, S.; Vansteenlandt, H.; Coolbrandt, A. Caregiver distress and quality of life in primary caregivers of oncology patients in active treatment and follow-up. Eur. J. Cancer Care 2021, 30, e13399. [Google Scholar] [CrossRef]
- Goswami, S.; Gupta, S.S. How cancer of oral cavity affects the family caregivers?—A cross-sectional study in Wardha, India, using the Caregiver Quality of Life Index–Cancer questionnaire. South Asian J. Cancer 2020, 9, 62–65. [Google Scholar] [CrossRef]
- Mishra, S.; Gulia, A.; Satapathy, S.; Gogia, A.; Sharma, A.; Bhatnagar, S. Caregiver burden and quality of life among family caregivers of cancer patients on chemotherapy: A prospective observational study. Indian J. Palliat. Care 2021, 27, 109–112. [Google Scholar] [CrossRef] [PubMed]
- Üzar-Özçeti N, Y.S.; Dursun, S.I. Quality of life, caregiver burden, and resilience among the family caregivers of cancer survivors. Eur. J. Oncol. Nurs. 2020, 48, 101832. [Google Scholar] [CrossRef]
- Chua, G.P.; Pang, G.S.Y.; Yee, A.C.P.; Neo, P.S.H.; Zhou, S.; Lim, C.; Wong, Y.Y.; Qu, D.L.; Pan, F.T.; Yang, G.M. Supporting the patients with advanced cancer and their family caregivers: What are their palliative care needs? BMC Cancer 2020, 20, 768. [Google Scholar] [CrossRef] [PubMed]
- Stiller, A.; Goodwin, B.C.; Crawford-Williams, F.; March, S.; Ireland, M.; Aitken, J.F.; Dunn, J.; Chambers, S.K. The supportive care needs of regional and remote cancer caregivers. Curr. Oncol. 2021, 28, 3041–3057. [Google Scholar] [CrossRef] [PubMed]
- Stolz-Baskett, P.; Taylor, C.; Glaus, A.; Ream, E. Supporting older adults with chemotherapy treatment: A mixed methods exploration of cancer caregivers’ experiences and outcomes. Eur. J. Oncol. Nurs. 2021, 50, 101877. [Google Scholar] [CrossRef] [PubMed]
- Wang, T.; Molassiotis, A.; Tan, J.Y.; Chung, B.P.M.; Huang, H.Q. Prevalence and correlates of unmet palliative care needs in dyads of Chinese patients with advanced cancer and their informal caregivers: A cross-sectional survey. Support. Care Cancer 2021, 29, 1683–1698. [Google Scholar] [CrossRef] [PubMed]
- Yang, W.F.Z.; Lee, R.Z.Y.; Kuparasundram, S.; Tan, T.; Chan, Y.H.; Griva, K.; Mahendran, R. Cancer caregivers unmet needs and emotional states across cancer treatment phases. PLoS ONE 2021, 16, e0255901. [Google Scholar] [CrossRef]
- Sathiya Priya, S.; Shavi, G.R.; Sanga, R.; Shankar, S.; Lalithambigai, G.; Rahila, C.; Santhakumari, S. Assessment of the perceived stress and burden of family caregivers of the head-and-neck cancer patients at a tertiary care cancer center: A cross-sectional study. J. Cancer Res. Ther. 2021, 17, 1039–1046. [Google Scholar] [CrossRef]
- Webber, K.; Davies, A.N.; Leach, C.; Bradley, A. Alcohol and drug use disorders in patients with cancer and caregivers: Effects on caregiver burden. BMJ Support. Palliat. Care 2020, 10, 242–247. [Google Scholar] [CrossRef]
- Yu, W.; Lu, Q.; Lu, Y.; Yang, H.; Zhang, L.; Guo, R.; Hou, X. Anticipatory grief among Chinese family caregivers of patients with advanced cancer: A cross-sectional study. Asia-Pac. J. Oncol. Nurs. 2021, 8, 369–376. [Google Scholar] [CrossRef]
- Akpan-Idiok, P.A.; Ehiemere, I.O.; Asuquo, E.F.; Chabo, J.A.U.; Osuchukwu, E.C. Assessment of burden and coping strategies among caregivers of cancer patients in sub-Saharan Africa. World J. Clin. Oncol. 2020, 11, 1045–1063. [Google Scholar] [CrossRef] [PubMed]
- Gurdogan, E.P.; Aksoy, B.; Kinici, E. The concept of a good death from the perspectives of family caregivers of advanced cancer patients. OMEGA-J. Death Dying 2020, 85, 303–316. [Google Scholar] [CrossRef] [PubMed]
- Sánchez, D.G.; López-Leiva, I.; Cuesta-Vargas, A.I. The quality of death perceived by caregivers of patients in palliative care. Enfermería Glob. 2020, 19, 473–481. [Google Scholar]
- García-Carmona, M.; García-Torres, F.; Jabłoński, M.J.; Solís, Á.G.; Jaén-Moreno, M.J.; Moriana, J.A.; Moreno-Díaz, M.J.; Aranda, E. The influence of family social support on quality of life of informal caregivers of cancer patients. Nurs. Open 2021, 8, 3411–3419. [Google Scholar] [CrossRef] [PubMed]
- Lee, J.W.; Lee, J.; Lee, M.H.; Lee, S.K.; Kim, W.S.; Jung, S.; Kim, Z.; Lee, J.; Youn, H.J. Unmet needs and quality of life of caregivers of Korean breast cancer survivors: A cross-sectional study. Ann. Surg. Treat. Res. 2021, 101, 69–78. [Google Scholar] [CrossRef] [PubMed]
- Norinder, M.; Årestedt, K.; Lind, S.; Axelsson, L.; Grande, G.; Ewing, G.; Holm, M.; Öhlén, J.; Benkel, I.; Alvariza, A. Higher levels of unmet support needs in spouses are associated with poorer quality of life—A descriptive cross-sectional study in the context of palliative home care. BMC Palliat. Care 2021, 20, 132. [Google Scholar] [CrossRef]
- Shin, D.W.; Park, J.H.; Shim, E.J.; Park, J.H.; Choi, J.Y.; Kim, S.G.; Park, E.C. The development of a comprehensive needs assessment tool for cancer-caregivers in patient–caregiver dyads. Psycho-Oncology 2011, 20, 1342–1352. [Google Scholar] [CrossRef]
- Minaya, P.; Baumstarck, K.; Berbis, J.; Goncalves, A.; Barlesi, F.; Michel, G.; Salas, S.; Chinot, O.; Grob, J.; Seitz, J.F.; et al. The CareGiver Oncology Quality of Life questionnaire (CarGOQoL): Development and validation of an instrument to measure the quality of life of the caregivers of patients with cancer. Eur. J. Cancer 2012, 48, 904–911. [Google Scholar] [CrossRef]
- Beaton, D.E.; Bombardier, C.; Guillemin, F.; Ferraz, M.B. Guidelines for the process of cross-cultural adaptation of self-report measures. Spine 2000, 25, 3186–3191. [Google Scholar] [CrossRef]
- Bond, T.G.; Fox, C.M. Applying the Rasch Model: Fundamental Measurement in the Human Sciences, 3rd ed.; Routledge: New York, NY, USA, 2015. [Google Scholar]
- IBM Corp. IBM SPSS Statistics for Windows, Version 25.0; IBM Corp.: Armonk, NY, USA, 2017. [Google Scholar]
- Jacobs, J.M.; Nelson, A.M.; Traeger, L.; Waldman, L.; Nicholson, S.; Jagielo, A.D.; D’Alotto, J.; Greer, J.A.; Temel, J.S.; El-Jawahri, A. Enhanced coping and self-efficacy in caregivers of stem cell transplant recipients: Identifying mechanisms of a multimodal psychosocial intervention. Cancer 2020, 126, 5337–5346. [Google Scholar] [CrossRef]
- Lambert-Obry, V.; Gouault-Laliberté, A.; Castonguay, A.; Zanotti, G.; Tran, T.; Mates, M.; Lemieux, J.; Chabot, P.; Prady, C.; Couture, F.; et al. Real-world patient-and caregiver-reported outcomes in advanced breast cancer. Curr. Oncol. 2018, 25, 282–290. [Google Scholar] [CrossRef] [PubMed]
- Minaya-Flores, P.; Berbis, J.; Chinot, O.; Auquier, P. Assessing the quality of life among caregivers of patients with gliomas. Neuro-Oncol. Pract. 2014, 1, 191–197. [Google Scholar] [CrossRef] [PubMed]
- Pereira, M.G.; Vilaça, M.; Pereira, M.; Bacalhau, R.; Monteiro, S.; Fernandes, B.; Faria, S.; Ferreira, G. Validation of the caregiver oncology quality of life questionnaire in Portuguese caregivers of myeloma patients. Palliat. Support. Care 2020, 18, 178–185. [Google Scholar] [CrossRef] [PubMed]
- Goswami, S.; Gupta, S.S.; Raut, A. Understanding the psychosocial impact of oral cancer on the family caregivers and their coping up mechanism: A qualitative study in Rural Wardha, Central India. Indian J. Palliat. Care 2019, 25, 421–427. [Google Scholar] [CrossRef]
- Kim, H.; Yi, M. Unmet needs and quality of life of family caregivers of cancer patients in South Korea. Asia-Pac. J. Oncol. Nurs. 2015, 2, 152–159. [Google Scholar] [CrossRef]
- Mazanec, S.R.; Reichlin, D.; Gittleman, H.; Daly, B.J. Perceived needs, preparedness, and emotional distress of male caregivers of postsurgical women with gynecologic cancer. Oncol. Nurs. Forum 2018, 45, 197–205. [Google Scholar] [CrossRef]
- Shin, J.; Ko, H.; Lee, J.W.; Kim, K.; Song, Y.M. Influence of time lapse after cancer diagnosis on the association between unmet needs and quality of life in family caregivers of Korean cancer patients. Eur. J. Cancer Care 2019, 28, e13089. [Google Scholar] [CrossRef]
- Ashrafian, S.; Feizollahzadeh, H.; Rahmani, A.; Davoodi, A. The unmet needs of the family caregivers of patients with cancer visiting a referral hospital in Iran. Asia-Pac. J. Oncol. Nurs. 2018, 5, 342–352. [Google Scholar] [CrossRef] [PubMed]
- Delalibera, D.; Carvalho, A.C.R.; Thesolim, B.L.; de Rezende, L.F. Quality of life of the patient with head and neck cancer submitted to radiotherapy and the overload of their caregivers. Int. Arch. Otorhinolaryngol. 2021, 25, 536–544. [Google Scholar] [CrossRef]
- Sterba, K.R.; Zapka, J.; Cranos, C.; Laursen, A.; Day, T.A. Quality of life in head and neck cancer patient-caregiver dyads: A systematic review. Cancer Nurs. 2016, 39, 238–250. [Google Scholar] [CrossRef]
- Abdullah, N.N.; Idris, I.B.; Shamsuddin, K.; Abdullah, N.M.A. Health-related quality of life (HRQOL) of gastrointestinal cancer caregivers: The impact of caregiving. Asian Pac. J. Cancer Prev. 2019, 20, 1191–1197. [Google Scholar] [CrossRef] [PubMed]
- Geng, H.; Chuang, D.; Yang, F.; Yang, Y.; Liu, W.; Liu, L.; Tian, H. Prevalence and determinants of depression in caregivers of cancer patients: A systematic review and meta-analysis. Medicine 2018, 97, e11863. [Google Scholar] [CrossRef] [PubMed]
- Kent, E.E.; Dionne-Odom, J.N. Population-based profile of mental health and support service need among family caregivers of adults with cancer. J. Oncol. Pract. 2019, 15, e122–e131. [Google Scholar] [CrossRef] [PubMed]
- Yabroff, K.R.; Kim, Y. Time costs associated with informal caregiving for cancer survivors. Cancer 2009, 115, 4362–4373. [Google Scholar] [CrossRef]
- Beckstein, A.; Rathakrishnan, B.; Hutchings, P.B.; Mohamed, N.H. The COVID-19 pandemic and mental health in Malaysia: Current treatment and future recommendations. Malays. J. Public Health Med. 2021, 21, 260–267. [Google Scholar] [CrossRef]
- Dai, H.; Zhang, S.X.; Looi, K.H.; Su, R.; Li, J. Perception of health conditions and test availability as predictors of adults’ mental health during the COVID-19 pandemic: A survey study of adults in Malaysia. Int. J. Environ. Res. Public Health 2020, 17, 5498. [Google Scholar] [CrossRef]
- Shanmugam, H.; Juhari, J.A.; Nair, P.; Chow, S.K.; Ng, C.G. Impacts of COVID-19 pandemic on mental health in Malaysia: A single thread of hope. Malays. J. Psychiatry 2020, 29, 78–84. [Google Scholar]
- Malaysian Communications and Multimedia Commission. Internet Users Survey 2020 Report; Malaysian Communications and Multimedia Commission: Cyberjaya, Malaysia, 2020. [Google Scholar]


| Characteristics | Frequency [n (%)] | QOL Score [Mean ± SD] | Mean Difference [Test (p-Value)] | SCN Score [Mean ± SD] | Mean Difference [Test (p-Value)] |
|---|---|---|---|---|---|
| Caregivers | |||||
| Age | |||||
| 19–64 years old | 52 (92.9) | 75.08 ± 16.06 | −4.15 (0.00) * | 36.60 ± 24.95 | 0.19 (0.85) |
| ≥65 years old | 4 (7.1) | 90.21 ± 5.77 | 34.15 ± 10.77 | ||
| Gender | |||||
| Male | 14 (25.0) | 83.71 ± 10.97 | 2.58 (0.01) ** | 35.19 ± 22.30 | −0.22 (0.83) |
| Female | 42 (75.0) | 73.64 ± 16.73 | 36.83 ± 25.00 | ||
| Race | |||||
| Malay | 26 (46.4) | 78.24 ± 15.58 | 1.51 (0.68) | 33.40 ± 22.08 | 1.16 (0.34) |
| Chinese | 14 (25.0) | 71.34 ± 16.23 | 42.68 ± 26.80 | ||
| Indian | 13 (23.2) | 76.13 ± 17.51 | 40.06 ± 25.72 | ||
| Other Bumiputera | 3 (5.4) | 80.65 ± 14.68 | 17.69 ± 17.81 | ||
| Financial status | |||||
| Bottom 40% of the Malaysian household income (B40) | 34 (60.7) | 72.47 ± 17.60 | 2.77 (0.07) | 38.16 ± 25.24 | 0.43 (0.66) |
| Middle 40% of the Malaysian household income (M40) | 20 (35.7) | 82.71 ± 11.29 | 34.79 ± 22.37 | ||
| Top 20% of the Malaysian household income (T20) | 2 (3.6) | 73.28 ± 10.97 | 23.17 ± 32.77 | ||
| Employment status | |||||
| Government | 5 (8.9) | 85.15 ± 5.69 | 2.30 (0.07) | 25.85 ± 22.34 | 0.54 (0.71) |
| Private | 19 (33.9) | 70.65 ± 13.92 | 39.60 ± 23.23 | ||
| Self-employed | 5 (8.9) | 79.03 ± 14.62 | 43.90 ± 21.78 | ||
| Retired | 6 (10.7) | 89.54 ± 5.17 | 29.58 ± 8.73 | ||
| Unemployed | 21 (37.5) | 74.49 ± 19.16 | 36.24 ± 28.99 | ||
| Location | |||||
| Urban | 36 (64.3) | 77.14 ± 15.09 | 0.61 (0.54) | 34.77 ± 23.73 | −0.68 (0.50) |
| Rural | 20 (35.7) | 74.39 ± 17.83 | 39.39 ± 25.26 | ||
| Education | |||||
| PhD/Master/Degree | 19 (33.9) | 77.46 ± 15.16 | 0.26 (0.93) | 43.26 ± 25.74 | 0.82 (0.54) |
| Malaysian Higher School Certificate (STPM)/Diploma or equal | 12 (21.4) | 78.36 ± 14.73 | 29.22 ± 20.35 | ||
| Vocational/Certificate or equal | 3 (5.4) | 69.70 ± 14.57 | 41.87 ± 18.51 | ||
| Malaysian Certificate of Education (SPM) or equal | 15 (26.8) | 74.84 ± 18.74 | 33.90 ± 22.63 | ||
| Lower Secondary Assessment (PMR) or equal | 4 (7.1) | 71.20 ± 21.88 | 41.77 ± 29.44 | ||
| Primary school/No formal education | 3 (5.4) | 78.74 ± 14.86 | 21.95 ± 36.97 | ||
| Number of dependents | |||||
| None | 7 (12.5) | 73.68 ± 23.54 | 0.10 (0.91) | 35.89 ± 22.73 | 0.02 (0.98) |
| One | 12 (21.4) | 76.02 ± 11.14 | 35.22 ± 23.07 | ||
| Two or more | 37 (66.1) | 76.67 ± 16.13 | 36.92 ± 25.35 | ||
| Duration of caregiving | |||||
| <3 h/day | 22 (39.3) | 77.58 ± 14.25 | 0.53 (0.60) | 25.64 ± 23.62 | −2.88 (0.00) * |
| ≥3 h/day | 34 (60.7) | 75.23 ± 17.20 | 43.40 ± 22.15 | ||
| Role of caregiving | |||||
| Shared | 36 (64.3) | 75.06 ± 14.82 | −0.68 (0.50) | 38.96 ± 21.21 | 0.97 (0.34) |
| Single | 20 (35.7) | 78.13 ± 18.21 | 31.86 ± 28.76 | ||
| Relationship with patients | |||||
| Spouse | 21 (37.5) | 79.92 ± 15.81 | 2.83 (0.59) | 28.95 ± 22.42 | 0.95 (0.47) |
| Parent | 2 (3.6) | 78.50 ± 18.21 | 40.24 ± 1.72 | ||
| Sibling | 3 (5.4) | 78.29 ± 11.21 | 36.18 ± 31.62 | ||
| Child | 28 (50.0) | 73.15 ± 17.01 | 42.03 ± 25.76 | ||
| Others | 2 (3.6) | 73.28 ± 10.97 | 32.93 ± 5.17 | ||
| Patients | |||||
| Age | |||||
| 22–64 years old | 36 (64.3) | 76.39 ± 15.38 | 0.15 (0.88) | 31.69 ± 23.88 | −2.05 (0.05) ** |
| ≥65 years old | 20 (35.7) | 75.73 ± 17.50 | 44.94 ± 22.82 | ||
| Intervention | |||||
| No active treatment | 3 (5.4) | 73.63 ± 27.02 | 1.30 (0.29) | 33.33 ± 27.82 | 1.09 (0.36) |
| Surgical | 20 (35.7) | 81.59 ± 12.51 | 30.00 ± 18.82 | ||
| Surgical + adjuvant | 29 (51.8) | 72.59 ± 16.93 | 42.01 ± 26.89 | ||
| Non-surgical | 4 (7.1) | 76.76 ± 14.89 | 30.34 ± 23.66 | ||
| M-CNAT-C | Correlations | Sig. (2-Tailed) |
|---|---|---|
| Overall | −0.58 * | 0.00 |
| Health and psychological problems | −0.59 * | 0.00 |
| Family and social support | −0.49 * | 0.00 |
| Healthcare staff | −0.37 * | 0.01 |
| Information | −0.47 * | 0.00 |
| Religious/spiritual | −0.39 * | 0.00 |
| Hospital facilities and services | −0.38 * | 0.00 |
| Practical support | −0.51 * | 0.00 |
| Variable | B [95% CI] | β | sr2 |
|---|---|---|---|
| (constant) | 74.40 | ||
| QOL | −0.83 [−1.15, −0.52] | −0.55 * | 0.35 |
| Caregiving duration | 15.81 [5.62, 26.00] | 0.32 ** | 0.15 |
Disclaimer/Publisher’s Note: The statements, opinions and data contained in all publications are solely those of the individual author(s) and contributor(s) and not of MDPI and/or the editor(s). MDPI and/or the editor(s) disclaim responsibility for any injury to people or property resulting from any ideas, methods, instructions or products referred to in the content. |
© 2023 by the authors. Licensee MDPI, Basel, Switzerland. This article is an open access article distributed under the terms and conditions of the Creative Commons Attribution (CC BY) license (https://creativecommons.org/licenses/by/4.0/).
Share and Cite
Ahmad, A.S.; Doss, J.G.; Ismail, S.M.; Chen Kiong, S.; Jelon, M.A.; Thangavalu, L.; Lay Ling, C. Quality of Life vs. Supportive Care Needs for Oral Cancer Caregivers: Are They Related? Curr. Oncol. 2023, 30, 1733-1744. https://doi.org/10.3390/curroncol30020134
Ahmad AS, Doss JG, Ismail SM, Chen Kiong S, Jelon MA, Thangavalu L, Lay Ling C. Quality of Life vs. Supportive Care Needs for Oral Cancer Caregivers: Are They Related? Current Oncology. 2023; 30(2):1733-1744. https://doi.org/10.3390/curroncol30020134
Chicago/Turabian StyleAhmad, Aira Syazleen, Jennifer Geraldine Doss, Siti Mazlipah Ismail, Shim Chen Kiong, Md Arad Jelon, Logesvari Thangavalu, and Ch’ng Lay Ling. 2023. "Quality of Life vs. Supportive Care Needs for Oral Cancer Caregivers: Are They Related?" Current Oncology 30, no. 2: 1733-1744. https://doi.org/10.3390/curroncol30020134
APA StyleAhmad, A. S., Doss, J. G., Ismail, S. M., Chen Kiong, S., Jelon, M. A., Thangavalu, L., & Lay Ling, C. (2023). Quality of Life vs. Supportive Care Needs for Oral Cancer Caregivers: Are They Related? Current Oncology, 30(2), 1733-1744. https://doi.org/10.3390/curroncol30020134

