Path Model of Risk Factors for Age at Primary Tooth Eruption: A Cohort Study of Preterm and Term Infants
Abstract
1. Introduction
2. Materials and Methods
2.1. Ethical Aspects
2.2. Study Design and Eligibility Criteria
2.3. Sample Size Calculation
2.4. Calibration of the Examiners
2.5. Data Collection of Observable Clinical Variables
2.6. Observable Non-Clinical Variables
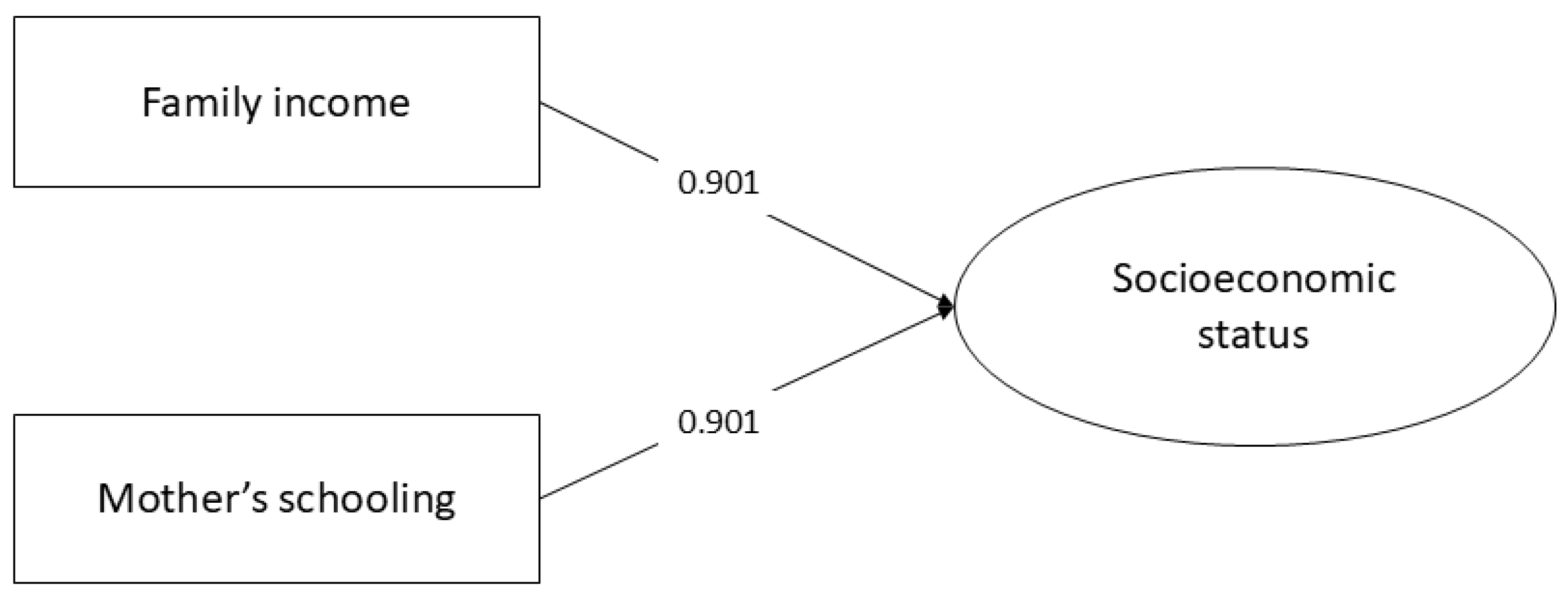
2.6.1. Socioeconomic Component
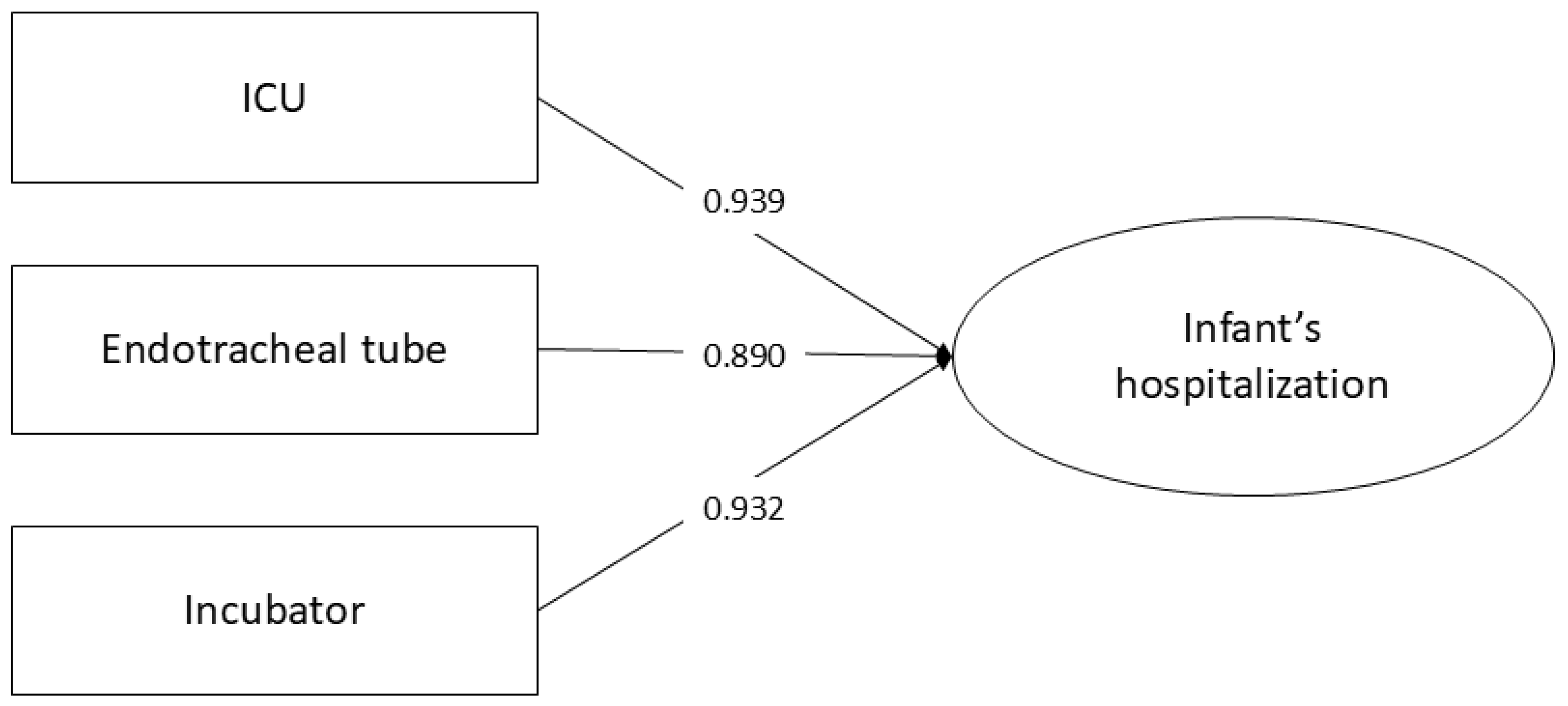
2.6.2. Infant’s Hospitalization Component
2.7. Statistical Analysis
3. Results
4. Discussion
5. Conclusions
Author Contributions
Funding
Institutional Review Board Statement
Informed Consent Statement
Data Availability Statement
Conflicts of Interest
Abbreviations
| LBW | Low birth weight |
| STROBE | Strengthening the Reporting of Observational Studies in Epidemiology |
| CI | Confidence interval |
| ICU | Care unit |
| KMO | Kaiser-Meyer-Olkin |
| WLSMV | Weighted Least Squares Mean and the Variance-adjusted |
| CFI | Comparative Fit Index |
| TLI | Tucker–Lewis Index |
| SRMR | Standardized Root Mean Residual |
| RMSEA | Root Mean Square Error of Approximation |
Appendix A


References
- Madani, M.; Berardi, T.; Stoopler, E.T. Anatomic and examination considerations of the oral cavity. Med. Clin. North Am. 2014, 98, 1225–1238. [Google Scholar] [CrossRef] [PubMed]
- Koussoulakou, D.S.; Margaritis, L.H.; Koussoulakos, S.L. A curriculum vitae of teeth: Evolution, generation, regeneration. Int. J. Biol. Sci. 2009, 5, 226–243. [Google Scholar] [CrossRef] [PubMed]
- Alnemer, K.A.; Pani, S.C.; Althubaiti, A.M.; Bawazeer, M. Impact of birth characteristics, breast feeding and vital statistics on the eruption of primary teeth among healthy infants in Saudi Arabia: An observational study. BMJ Open 2017, 7, e018621. [Google Scholar] [CrossRef] [PubMed]
- Devraj, I.M.; Nandlal, B.; Narayanappa, D.; Deshmukh, S.; Dhull, K.S. Effect of Neonatal Factors on the Eruption of Primary Teeth in Children: A Longitudinal Prospective Cohort Study. Int. J. Clin. Pediatr. Dent. 2023, 16, 321–326. [Google Scholar] [CrossRef] [PubMed]
- Neto, P.G.; Falcão, M.C. Eruption chronology of the first deciduous teeth in children born prematurely with birth weight less than 1500 g. Rev. Paul. Pediatr. 2014, 32, 17–23. [Google Scholar] [CrossRef] [PubMed][Green Version]
- Ramos, S.R.; Gugisch, R.C.; Fraiz, F.C. The influence of gestational age and birth weight of the newborn on tooth eruption. J. Appl. Oral Sci. 2006, 14, 228–232. [Google Scholar] [CrossRef] [PubMed]
- Birant, S.; Veznikli, M.; Kasimoglu, Y.; Koruyucu, M.; Evren, A.A.; Seymen, F. Path Analysis of the Relationships between the Eruption Time of the First Primary Teeth and Various Factors in Twins. Children 2023, 10, 683. [Google Scholar] [CrossRef] [PubMed]
- Khalifa, A.M.; Gendy, R.A.; El-Mohsen, M.M.; Hammour, A.A.; Aly, R.S.A.E.L. Relationship between gestational age, birth weight and deciduous tooth eruption. Egypt. Pediatr. Assoc. Gaz. 2014, 62, 41–45. [Google Scholar] [CrossRef][Green Version]
- Harel-Gadassi, A.; Friedlander, E.; Yaari, M.; Bar-Oz, B.; Eventov-Friedman, S.; Mankuta, D.; Yirmiya, N. Developmental assessment of preterm infants: Chronological or corrected age? Res. Dev. Disabil. 2018, 80, 35–43. [Google Scholar] [CrossRef] [PubMed]
- World Health Organization. WHO Recommendations on Interventions to Improve Preterm Birth Outcomes; WHO: Geneva, Switzerland, 2015. [Google Scholar]
- Doyle, L.W.; Anderson, P.J. Do we need to correct age for prematurity when assessing children? J. Pediatr. 2016, 173, 11–12. [Google Scholar] [CrossRef] [PubMed]
- Malta, M.; Cardoso, L.O.; Bastos, F.I.; Magnanini, M.M.; Silva, C.M. STROBE initiative: Guidelines on reporting observational studies. Rev. Saude Publica 2010, 44, 559–565. [Google Scholar] [CrossRef] [PubMed]
- White Ribbon Alliance. Respectful Maternity Care Charter: Universal Rights of Mothers and Newborns; White Ribbon Alliance: Washington, DC, USA, 2019; Available online: https://healthynewbornnetwork.org/hnn-content/uploads/Respectful-Maternity-Care-Charter-2019.pdf (accessed on 17 February 2024).
- Rocha, A.D.S.; Falcão, I.R.; Teixeira, C.S.S.; Alves, F.J.O.; Ferreira, A.J.F.; Silva, N.J.; Almeida, M.F.; Ribeiro-Silva, R.C. Determinants of preterm birth: Proposal for a hierarchical theoretical model. Ciênc Saúde Coletiva 2022, 27, 3139–3152. [Google Scholar] [CrossRef] [PubMed]
- Dolatian, M.; Mirabzadeh, A.; Forouzan, A.S.; Sajjadi, H.; Alavimajd, H.; Mahmoodi, Z.; Moafi, F. Relationship between structural and intermediary determinants of health and preterm delivery. J. Reprod. Infertil. 2014, 15, 78–86. [Google Scholar] [PubMed]
- Norlén, F.; Gustavsson, P.; Wiebert, P.; Rylander, L.; Albin, M.; Westgren, M.; Plato, N.; Selander, J. Occupational exposure to inorganic particles during pregnancy and birth outcomes: A nationwide cohort study in Sweden. BMJ Open 2019, 9, e023879. [Google Scholar] [CrossRef] [PubMed]
- Ministério da Saúde. Available online: https://www.saude.mg.gov.br/cuidadomaterno/prenatal/CADERNETA (accessed on 17 February 2024).
- Ministério da Saúde. Caderneta da Criança: Menina, 2nd ed.; Ministério da Saúde: Brasília, Brazil, 2020; 110p.
- Kline, R.B. Principles and Practice of Structural Equation Modeling, 4th ed.; Guilford Press: New York, NY, USA, 2011. [Google Scholar]
- Li, C.H. Confirmatory factor analysis with ordinal data: Comparing robust maximum likelihood and diagonally weighted least squares. Behav. Res. Methods 2016, 48, 936–949. [Google Scholar] [CrossRef] [PubMed]
- Junior, J.T.; Ortiz, F.R.; Ramadan, Y.H.; Maroneze, M.C.; Agostini, B.A.; Ardenghi, T.M. Direct relations between sense of coherence and oral health-related quality of life in adolescents. Oral Dis. 2023, 29, 1367–1375. [Google Scholar] [CrossRef] [PubMed]
- D’Agostino, J.A. An evidentiary review regarding the use of chronological and adjusted age in the assessment of preterm infants. J. Spec. Pediatr. Nurs. 2010, 15, 26–32. [Google Scholar] [CrossRef] [PubMed]
- Perumal, N.; Roth, D.E.; Cole, D.C.; Zlotkin, S.H.; Perdrizet, J.; Barros, A.J.D.; Santos, I.S.; Matijasevich, A.; Bassani, D.G. Effect of Correcting the Postnatal Age of Preterm-Born Children on Measures of Associations Between Infant Length-for-Age z Scores and Mid-Childhood Outcomes. Am. J. Epidemiol. 2021, 190, 477–486. [Google Scholar] [CrossRef] [PubMed]
- Haznedaroglu, E.; Mentes, A. The Internet versus pediatricians as a source of infant teething information for parents in Turkey. Clinics 2016, 71, 430–434. [Google Scholar] [CrossRef] [PubMed]
- Barbosa, M.F.; Martins, L.P.; Bittencourt, J.M.; Paiva, S.M.; Bendo, C.B. Impact of Early Childhood Caries and Parental Oral Health Literacy on the Use of Oral Health Care Services by Children. Caries, Health Literacy and Health Care. Int. J. Odontostomatol. 2023, 172, 160–166. [Google Scholar]


| Variables | At Term | Preterm |
|---|---|---|
| N (%) | N (%) | |
| Infant’s demographic characteristics | ||
| Sex | ||
| Female | 25 (52.1) | 22 (51.2) |
| Male | 23 (47.9) | 21 (48.8) |
| Infant’s health | ||
| Birth weight | ||
| Low weight | 2 (4.2) | 23 (53.5) |
| Normal weight | 46 (95.8) | 20 (46.6) |
| Stayed in the ICU | ||
| Yes | 0 (0) | 39 (90.7) |
| No | 48 (100) | 4 (9.3) |
| Endotracheal tube use | ||
| Yes | 0 (0) | 29 (67.4) |
| No | 48 (100) | 14 (32.6) |
| Stayed in the incubator | ||
| Yes | 1 (2.1) | 39 (90.7) |
| No | 47 (97.9) | 4 (9.3) |
| Mother’s health | ||
| Worked during pregnancy | ||
| Yes | 40 (83.3) | 25 (58.1) |
| No | 8 (16.7) | 17 (39.5) |
| Medication during pregnancy † | ||
| Yes | 22 (54.8) | 22 (54.8) |
| No | 26 (54.2) | 26 (54.2) |
| Prenatal consultations | ||
| Up to 6 consultations | 8 (16.7) | 22 (51.2) |
| 7 or more queries | 39 (81.3) | 21 (48.8) |
| Complication during pregnancy ‡ | ||
| Yes | 1 (2.1) | 13 (30.2) |
| No | 47 (97.9) | 30 (69.8) |
| First child | ||
| Yes | 33 (68.8) | 20 (46.5) |
| No | 15 (31.3) | 23 (53.5) |
| Mother’s demographic characteristics | ||
| Mother’s education | ||
| Up to 11 years of studies | 16 (33.3) | 36 (83.7) |
| More than 11 years of studies | 31 (64.6) | 7 (16.3) |
| Income | ||
| Up to 2 minimum wages | 17 (35.4) | 28 (65.1) |
| Above 3 minimum wages | 31 (64.6) | 11 (25.6) |
| Ways | Initial Model Standardized Coefficients (p-Value) | Final Model Standardized Coefficients (p-Value) | Confidence Interval | Standard Error |
|---|---|---|---|---|
| Gestational age ON | ||||
| Socioeconomic status | 0.295 (0.011) | 0.297 (0.010) | 0.107–0.487 | 2.57 |
| Work during pregnancy | −0.169 (0.066) | −0.170 (0.068) | −0.324–−0.017 | −1.82 |
| Medication during pregnancy | 0.335 (<0.001) | 0.337 (<0.001) | 0.183–0.490 | 3.61 |
| Prenatal consultations | 0.197 (0.026) | 0.198 (0.025) | 0.053–0.343 | 2.25 |
| Number of births | −0.155 (0.072) | −0.156 (0.070) | −0.298–−0.014 | −1.81 |
| Complication during the birth | 0.225 (0.031) | 0.214 (0.007) | 0.084–0.345 | 2.70 |
| Infant’s hospitalization ON | ||||
| Gestational age | 0.834 (<0.001) | 0.829 (<0.001) | 0.749–0.909 | 17.0 |
| Complication during the birth | 0.148 (0.073) | 0.158 (0.080) | −0.009–0.307 | 1.75 |
| Birth weight ON | ||||
| Gestational age | 0.934 (<0.001) | 0.935 (<0.001) | 0.823–1.048 | 13.6 |
| Chronological age of tooth eruption ON | ||||
| Gestational age | −1.305 (0.024) | −0.888 (<0.001) | −0.979–−0.797 | −16.0 |
| Birth weight | 0.438 (0.448) | - | - | - |
| Complication during the birth | 0.018 (0.854) | - | - | - |
| General Fit Indices | ||||
| CFI | 0.999 | 1.000 | - | - |
| TLI | 0.998 | 1.000 | - | - |
| SRMR | 0.094 | 0.095 | - | - |
| RMSEA (IC95%) | 0.010 (0.000–0.096) | 0.001 (0.001–0.093) | - | - |
| Ways | Initial Model Standardized Coefficients (p-Value) | Final Model Standardized Coefficients (p-Value) | Confidence Interval | Standard Error |
|---|---|---|---|---|
| Gestational age ON | ||||
| Socioeconomic status | 0.309 (0.010) | 0.312 (0.010) | 0.113–0.512 | 2.57 |
| Work during pregnancy | −0.170 (0.076) | −0.172 (0.075) | −0.332–−0.013 | −1.78 |
| Medication during pregnancy | 0.345 (<0.001) | 0.348 (<0.001) | 0.188–0.508 | 3.58 |
| Prenatal consultations | 0.190 (0.040) | 0.192 (0.040) | 0.038–0.345 | 2.06 |
| Number of births | −0.159 (0.064) | −0.160 (0.065) | −0.303–−0.018 | −1.85 |
| Complication during the birth | 0.221 (0.031) | 0.229 (0.013) | 0.078–0.380 | 2.49 |
| Infant’s hospitalization ON | ||||
| Gestational age | 0.832 (<0.001) | 0.826 (<0.001) | 0.743–0.909 | 16.42 |
| Complication during the birth | 0.148 (0.070) | 0.142 (0.121) | −0.009–0.293 | 1.55 |
| Birth weight ON | ||||
| Gestational age | 0.935 (<0.001) | 0.914 (<0.001) | 0.811–1.017 | 14.56 |
| Chronological age of tooth eruption ON | ||||
| Gestational age | −1.164 (0.092) | −0.606 (<0.001) | −0.785–−0.428 | −5.58 |
| Birth weight | 0.599 (0.374) | - | - | - |
| Complication during the birth | −0.007 (0.949) | - | - | - |
| General Fit Indices | ||||
| CFI | 1.000 | 1.000 | - | - |
| TLI | 1.000 | 1.000 | - | - |
| SRMR | 0.104 | 0.100 | - | - |
| RMSEA (IC95%) | 0.000 (0.000–0.094) | 0.000 (0.000–0.089) | - | - |
Disclaimer/Publisher’s Note: The statements, opinions and data contained in all publications are solely those of the individual author(s) and contributor(s) and not of MDPI and/or the editor(s). MDPI and/or the editor(s) disclaim responsibility for any injury to people or property resulting from any ideas, methods, instructions or products referred to in the content. |
© 2025 by the authors. Licensee MDPI, Basel, Switzerland. This article is an open access article distributed under the terms and conditions of the Creative Commons Attribution (CC BY) license (https://creativecommons.org/licenses/by/4.0/).
Share and Cite
Tavares, B.S.; Bittencourt, J.M.; Ramos-Jorge, J.; Paiva, S.M.; Lopes-Silva, J.; Bendo, C.B. Path Model of Risk Factors for Age at Primary Tooth Eruption: A Cohort Study of Preterm and Term Infants. Int. J. Environ. Res. Public Health 2025, 22, 1837. https://doi.org/10.3390/ijerph22121837
Tavares BS, Bittencourt JM, Ramos-Jorge J, Paiva SM, Lopes-Silva J, Bendo CB. Path Model of Risk Factors for Age at Primary Tooth Eruption: A Cohort Study of Preterm and Term Infants. International Journal of Environmental Research and Public Health. 2025; 22(12):1837. https://doi.org/10.3390/ijerph22121837
Chicago/Turabian StyleTavares, Bianca S., Jéssica M. Bittencourt, Joana Ramos-Jorge, Saul M. Paiva, Jhonathan Lopes-Silva, and Cristiane B. Bendo. 2025. "Path Model of Risk Factors for Age at Primary Tooth Eruption: A Cohort Study of Preterm and Term Infants" International Journal of Environmental Research and Public Health 22, no. 12: 1837. https://doi.org/10.3390/ijerph22121837
APA StyleTavares, B. S., Bittencourt, J. M., Ramos-Jorge, J., Paiva, S. M., Lopes-Silva, J., & Bendo, C. B. (2025). Path Model of Risk Factors for Age at Primary Tooth Eruption: A Cohort Study of Preterm and Term Infants. International Journal of Environmental Research and Public Health, 22(12), 1837. https://doi.org/10.3390/ijerph22121837

