Abstract
Facioscapulohumeral dystrophy (FSHD) leads to progressive changes in body composition such as loss of muscle mass and increase in adiposity. In healthy subjects, anthropometric parameters are associated with the maximum volume of oxygen consumed per minute (VO2max), which is a health and function indicator in several populations of subjects, both healthy and pathological. Since VO2max can be difficult to test in patients with FSHD due to exercise intolerance, the identification of associated anthropometric parameters could provide new easily obtainable elements for the patients’ clinical stratification. The aim of this study was to evaluate whether anthropometric and body composition parameters are associated with VO2max in patients with FSHD. A total of 22 subjects with a molecular genetics-based diagnosis of FSHD (6 females, 16 males, mean age of 35.18 years) were recruited for the study. VO2max was measured by cardiopulmonary exercise tests (CPETs) on a cycle ergometer, utilizing a step incremental technique (15 Watts (W) every 30 s). Weight (Kg) and height (m) were obtained and utilized to calculate body mass index (BMI). Body composition parameters (fat mass (FM), fat free mass (FFM), and body cell mass (BCM)) were obtained by bioelectrical impedance analysis (BIA). Significant negative associations were found between VO2max and FM (Spearman correlation coefficient (SCC) −0.712), BMI (SCC −0.673), age (SCC −0.480), and weight (SCC −0.634), unlike FFM and BCM. Our results indicate that FM, BMI, age, and body weight are negatively associated with VO2max in patients with FSHD. This evidence may help practitioners to better stratify patients with FSHD.
1. Introduction
Facioscapulohumeral dystrophy (FSHD, OMIM #158900) is the third most common form of muscular dystrophy after Duchenne muscular dystrophy and myotonic dystrophy type 1 [1], with an estimated prevalence of between 1:15,000 and 1:20,000 [2]. The name of the disease is due to the fact that it manifests itself primarily with weakness of the face, shoulder, and arm muscles. The diagnosis of FSHD is determined by a combination of genetic and clinical features, as well as the exclusion of disorders that share similar characteristics. Genetically, it is typically associated with deletion of an integral number of tandem 3.3 kb units of the polymorphic D4Z4 repeat array at 4q35 [3]. Notably, D4Z4 alleles with fewer than 10 repeat units in association with the 4qA polymorphism are considered pathogenic [4]. A peculiar clinical feature of FSHD is the progressive loss of fat free mass (FFM) and the associated increase in fat mass (FM). Indeed, Vera et al. [5] reported that patients with FSHD commonly meet the definition of sarcopenic obesity, a condition that combines the key features of sarcopenia with an increased presence of adiposity. This change in body composition leads to face, upper extremity, arm, lower leg, and hip girdle muscle weakness, which often manifests asymmetrically [6]. Another pathological trait is marked fatigue, which can be induced by loss of muscle strength, physical overachieving or underachieving, and stress, negatively impacting quality of life and social participation [7,8]. Apart from rare cases that present respiratory impairment [9], life expectancy is not reduced [10]. However, the disease has a wide phenotypic spectrum, with heterogeneous patterns of symptoms and progression [11]. To overcome such heterogeneity in the clinical presentation, patients are classified according to the Complete Clinical Evaluation form (CCEF), which categorizes subjects based on: facial and scapular girdle muscle weakness (category A); muscle weakness limited to the scapular girdle or facial muscles (category B); no symptoms (category C); and myopathic phenotype presenting inconsistent clinical features with the canonical FSHD phenotype (category D) [12]. In FSHD, the association between body composition and functional outcomes has been underlined in several available studies [13,14,15]. For instance, Skalsky et al. [13] reported that patients show increased regional fat mass, decreased regional lean mass, and loss of strength. Similarly, lower limb muscle degeneration is proposed as a main cause of gait impairment [14]. Moreover, a study of Vera et al. [15] pointed out that the loss of lean mass due to the disease leads to exercise intolerance, as evidenced by a lower VO2peak and elevated symptoms of dyspnea and fatigue during submaximal exercise compared to healthy controls. The connection between body cell mass (BCM) (the metabolically active subcomponent of FFM) [16] and functional outcomes has not been investigated in patients with FSHD yet.
Literature data suggest that, in healthy subjects, body composition parameters are associated with the maximal oxygen uptake per minute (VO2max). Specifically, FM is negatively associated with VO2max, while FFM shows a positive association with it [17,18,19]. Moreover, BCM showed a higher positive association value with VO2peak than FFM [20,21].
Interestingly, VO2max reflects the maximal ability in terms of oxygen uptake, use, and transport [22]. It is a predictor of general health and fitness and is considered a key physiological measure both in the healthy [23] and the clinical population. However, no data are available on possible associations between body composition parameters and VO2max in patients with FSHD. A cardiopulmonary exercise test (CPET) on a treadmill or a cycle ergometer until exhaustion is typically used to estimate VO2max. However, the exercise intolerance phenomenon indicated by Vera et al. [15] suggests that execution of the test may be problematic for some patients. Moreover, for the 20% of patients who use a wheelchair [8], CPET would not be feasible. Therefore, given the well-known association of VO2max with health and functional domains in both the healthy population [24] and several clinical populations [25,26,27,28], the search for possible associations between maximal oxygen consumption and body composition parameters may help to identify additional, easily obtainable, anthropometric-based information aiming at the clinical stratification of patients, a pivotal factor to address the phenotypic variability observed in FSHD [29].
Among the most accurate techniques for evaluating body composition, dual-energy X-ray absorptiometry (DXA) is considered the reference method. However, since its application involves high costs [30], alternative methods such as bioelectrical impedance analysis (BIA) are commonly used for routine assessments [31].
The purpose of this study was to verify whether body composition parameters (FFM, FM, and BCM), obtained by a non-invasive and simple examination such as BIA, are associated with VO2max in FSHD patients.
2. Materials and Methods
2.1. Participants
The demographic and clinical characteristics of the participants are reported in Table 1. Inclusion criteria were as follows: age ≥ 9 years; clinical and genetic diagnosis of FSHD; registration in the Italian National Register for FSHD. Exclusion criteria were as follows: using a wheelchair at the time of selection; use of corticosteroids; severe cardiac and respiratory dysfunction; psychological or psychiatric disorders; major osteoarticular dysfunctions. Pediatric patients were included considering that, in subjects with early onset, the severity and speed of the disease are greater than in patients with classic onset [32]; therefore, it seems plausible to expect alterations in the considered parameters even at a young age. In total, 22 patients with FSHD were involved in the study. The sample was composed by 16 men and 6 women, with a mean age of 35.18 years (< >9–61 years). Of these, 17 patients belonged to the A clinical category and 5 to the B clinical category of the Comprehensive CCEF [12], as presenting facial and scapular girdle muscle weakness (category A) or muscle weakness concerning the scapular girdle or facial muscles (category B). All subjects provided written, informed consent to participate in this study (provided by parents or legal guardians for minor participants), which was conducted according to the Declaration of Helsinki (1975). This study was approved by the Lombardy Territorial Ethics Committee 6, protocol number 0006176/24 on 31 January 2024. The study was carried out at the CRIAMS-Sport Medicine Centre of Voghera (University of Pavia, Voghera, Italy).
Table 1.
Descriptive statistics of the sample.
2.2. VO2max Assessment
All participants performed a maximal cardiopulmonary exercise test (CPET) on a cycle ergometer (E 100, Cosmed, Rome, Italy) under electrocardiographic guidance, supervised by a medical doctor (GD), to check for cardiac events. A previous clinical incremental test to evaluate patients’ cardiac function allowed familiarization with such an experimental procedure. During the tests, pulmonary gas exchange was measured breath-by-breath using a face mask (V2 Mask TM, Hans Rudolph Inc., Shawnee, KS, USA) connected to a gas analyzer (Quark PFT, Cosmed, Italy). The test was performed with the step incremental technique (15 Watts (W) every 30 s, with a previous baseline cycling of 3.5 min at 25 W). The test was considered maximal when it met three criteria, as follows: respiratory exchange ratio (RER) > 1.1, ratio of perceived exertion (RPE) ≥ 8, and VO2 at plateau for at least 30 s. Notably, RER was derived from raw values, while VO2max was calculated as the average of the 30 s following achievement of RER = 1.1 and RPE ≥ 8. For each patient the test was performed at 11 a.m. in a room with a constant temperature of 23 °C.
2.3. Body Composition and Anthropometric Assessment
The BIA measurement technique was used to investigate body composition parameters. For this purpose, a single frequency impedancemeter was used (50 kHz) (BIA 101, Akern/RJL srl, Florence, Italy). For all the participants, the test was performed at 8.00 a.m.; to avoid disturbances in fluid distribution, subjects were instructed to abstain from food and drink for ≤2 h before the procedure. During the test, subjects were asked to lie supine for ten minutes, with limbs extended and abducted. After cleansing the skin with isotropic alcohol, four adhesive electrodes with low intrinsic impedance (Biatrodes Akern Srl, Florence, Italy) were placed on the back of the hands and four more electrodes on the neck of the corresponding feet. Before positioning, the skin, shaved if necessary, was gently abraded and cleaned with 75% alcohol to reduce electrical impedance. The parameters taken into account were weight (kg), BMI (kg/m2), FFM (kg), FM (kg), and BCM (kg). To account for body size, BIA parameters were also considered as indexed values (kg/m2). The estimates were obtained with Bodygram PRO v.3.0 software. To estimate FFM in children under 10 years old, the software uses the following equation: FFM = total body water (TBW)/0.755 [33], in which TBW is estimated using Kushner’s equation [34]. For the age range of 10 to 16 years, the software employs proprietary clinically validated equations for FFM [35]. In adults and geriatric populations, the equation for estimating FFM is from Sun et al., 2003 [36]. Regarding BCM, the software implements the equation BCM = 0.29 × FFM × Ln × Pha, which was clinically validated in [37,38]. Finally, FM was estimated by subtracting FFM values from body weights.
2.4. Statistical Analysis
Categorical variables were described through frequency distributions, and continuous variables were presented using mean and standard deviation. The relations between continuous variables were investigated using Spearman correlation coefficients (SCCs) to account for the small sample size. Statistical significance thresholds were set at 5%, 1%, and 0.1%. We conducted three sensitivity analyses by calculating the correlations for adult patients only, male patients only, and patients with type A FSHD only (the size of the subsamples of minors, females, and type B FSHD patients were too low, at n = 5, n = 6, and n = 5, respectively). All statistical analyses were carried out with Stata/IC v16.0 (StataCorp, College Station, TX, USA).
3. Results
3.1. Participants
Demographic and clinical characteristics are reported in Table 1. Patients had a mean FFM of 58.66 kg (±20.91), while the mean FM was 15.83 kg (±6.80), and the mean BCM was 24.45 kg (±8.33). The mean weight and height were 74.49 kg (±17.65) and 169.01 cm (±11.57), respectively, while the mean BMI was 22.85 kg/m2 (±4.25). Regarding indexed values, patients had a mean fat free mass index (FFMI) of 20.13 kg/m2 (±6), while the mean fat mass index (FMI) was 5.45 kg/m2 (±2.09), and the mean body cell mass index (BCMI) was 8.76 kg/m2 (±2.31).
The following mean values were obtained from the CPET: VO2max, 30.99 mL/min/kg (±9.87); oxygen consumption at anaerobic threshold (VO2AT), 20.71 mL/min/kg (±7.12); maximal breathing frequency (BF), 35.60 breath/min; maximal ventilation (MV) 66.79 L/min (±25.83); maximal tidal volume (TV) 1.97 L (±0.63); maximal heart rate (MHR) 163 beats per minute (BPM) (±13.79)(Table 1).
3.2. Correlation Analysis between Body Composition, Anthropometric Parameters, and VO2max
Correlations between VO2max and the other variables considered are summarized in Table 2. No significant correlations were observed between VO2max and FFM (SCC: 0.027), BCM (SCC: 0.075), FFMI (SCC: 0.02), BCMI (SCC: 0.067).
Table 2.
Spearman correlation coefficients between VO2max and the other continuous variables.
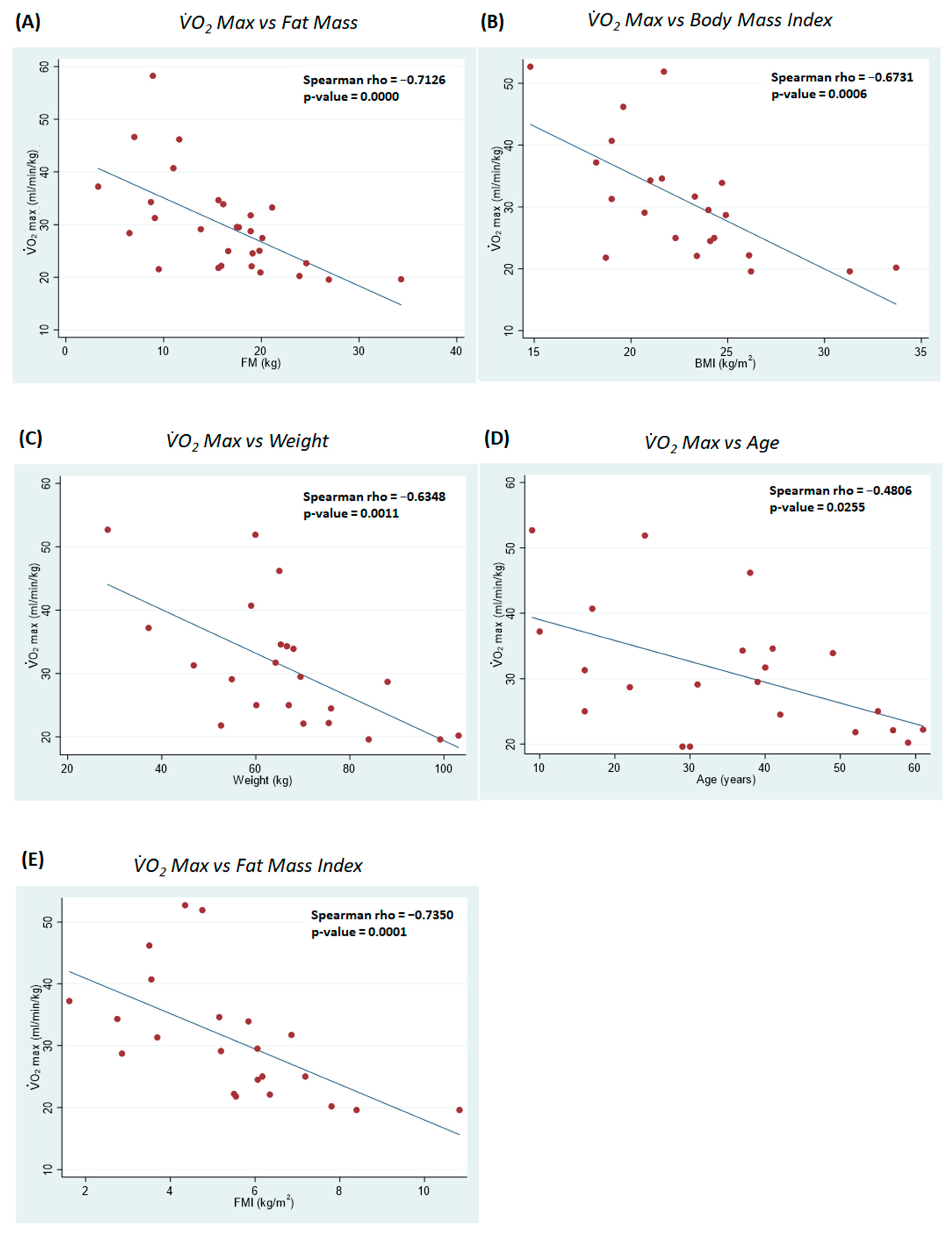
Instead, the analyses highlighted five statistically significant relations between VO2max and age (SCC: −0.48), weight (SCC: −0.635), FM (SCC: −0.712), FMI (SCC: −0.735), and BMI (SCC: −0.673); all these relations were negative, meaning that higher values of age, weight, FM, and BMI were related to lower VO2max levels. The graphic details of these relations are exposed in the scatter plots reported in Figure 1.
Figure 1.
Scatterplots, relating to all participants, of the statistically significant correlations between VO2max and fat mass (A), body mass index (B), weight (C), age (D), fat mass index (E).
Considering adult patients only (n = 17), the significance of the SCC was confirmed for weight (SCC: −0.603), FM (SCC: −0.714), FMI (SCC: −0.719), and BMI (SCC: −0.595), but not for age (SCC: −0.269). Similar results were obtained for the subpopulation of males (n = 16; weight SCC: −0.904; FM SCC: −0.776; FMI SCC: 0.707; BMI SCC: −0.908) and type A FSHD subjects (n = 17; weight SCC: −0.712; FM SCC:−0.805; FMI SCC: 0.738; BMI SCC: −0.765).
4. Discussion
As far as we know, this is the first study analyzing the relationship between body composition parameters measured by BIA and VO2max values in patients with FSHD. The obtained results showed a negative association between VO2max and age, FM, body weight, and BMI; importantly, no associations were found between maximal aerobic fitness and FFM and BCM. The associations with the BIA parameters remained the same even when the values were indexed (Table 2).
In healthy subjects, a gradual decrease in VO2max has been reported with age [39,40]. Such a decrease is mostly linked to age-related change in body composition, which become worse when associated with a progressive increase in FM and a decrease in FFM during the aging process [41]. Our results seem in line with healthy subjects’ trends; however, the weak, although significant, association value indicates the need to test a larger sample of patients to confirm or deny this association. The weaker association between VO2max and age compared to body composition parameters could reflect the wide clinical variability of the disease [29], in which functional outcomes are not necessarily associated with age [42], while they often are associated with body composition [13,14,15]. In this light, our results seem to be coherent with the literature data. The association between FM and VO2max was found to be the strongest (see Figure 1); this seems to be consistent with some previous findings of a negative association between FM and VO2max in different populations of subjects [43,44,45], including a small group of patients with FSHD [15]. Considering the sample, it seems reasonable to interpret the BMI and weight associations as confirmatory data of the FM association, as in these patients an increase in weight, and therefore an increase in BMI, is plausibly attributable to an increase in FM [5,13,46].
The associations between VO2max and weight, BMI, and FM were also present considering adult patients only, male patients only, and category A patients only. Instead, age association lost significance in all subgroups. Since this association is the weakest of all those observed, the increase in variability caused by the reduction in sample size could be the reason for the loss of significance.
It remains unclear why a positive association between aerobic fitness and FFM and BCM was not found in our sample population, whereas several works reported it in healthy subjects [20,21,47,48].
The lack of such an association in our FSHD sample may be due to the disease-driven low amount of residual FFM and/or, possibly, to the associated shift in skeletal muscle composition. Indeed, in an interesting work by Celegato et al. [49], a fast-glycolytic to slow-oxidative muscle phenotype transformation, which is linked to a concomitant deficit of fundamental proteins involved in the response to oxidative stress, is reported; these data could suggest that the residual muscle mass in this patient cohort becomes progressively metabolically dysfunctional, which may not be associated with the overall aerobic fitness. Future studies should clarify if the level of training and/or of objectively measured physical activity can influence such an association in patients with FSHD.
Finally, in apparent contrast with our findings, a positive association with FFM was found in patients with FSHD by Vera et al. [15]. In their study, whose primary aim was to evaluate exercise intolerance in FSHD, an association of absolute and percent leg lean mass vs. VO2 peak was detected. This discrepancy may be due to the different methodologies used to estimate body composition (whole-body BIA vs. segmental dual-energy X-ray absorptiometry), to differences in the sample dimensions (22 vs. 11 subjects), or in clinical characterization of the patients. Furthermore, in our experimental conditions, body composition was associated to VO2max, while in the study of Vera et al. [15] it was associated to VO2peak.
Overall, our results indicate FM as the body composition parameter with the highest associative value with VO2max in patients with FSHD. This may help clinicians to better stratify patients. In fact, the negative association between FM and a fundamental functional indicator as VO2max seems in line with an interesting 14-year follow-up study, including 7142 adult subjects, which showed that adiposity is a predictive factor for the development of physical disability [50]. Our findings suggest that, in patients with FSHD, a high FM value could indicate a low level of physical efficiency and should be promptly addressed with ad hoc investigations and interventions, including tailored nutritional and/or physical exercise plans. Furthermore, even in patients who do not have high FM values, the inclusion in the clinical routine of strategies aimed at controlling body composition could be useful to maintain an acceptable level of physical efficiency long-term or to reduce the burden of deconditioning caused by diseases.
Limitations and Future Directions
This study suffers from some limitations. First, bioimpedance measurements are based on predictive models that must be tailored to a particular cohort [51]. Although previously used in other muscular dystrophies [52,53,54,55,56], population-specific models for patients with FSHD have not been developed, and this may have, to some extent, biased the results. No control group was included in the present work; in future studies it should be present to compare VO2max and body composition values between patients and healthy subjects. Additionally, future studies on a larger sample will be needed to confirm or disprove the results obtained in the present work. Specifically, the sample size does not allow to support a multivariable regression analysis to evaluate the influence of possible confounders such as age, gender, or weight on the identified associations. Furthermore, only patients belonging to clinical subcategories A and B were included here, and the low number of B patients did not allow us to evaluate possible differences between these two clinical categories. To determine if variations in the clinical presentation of the disease are associated with variations of proposed associations, it is necessary to include all subcategories in future studies. Particularly, it will be of interest to test if, in patients with type C, a category composed of asymptomatic subjects, the association between FFM and VO2max is present, as in healthy subjects, or not; a possible absence could lead to research of metabolic alterations not yet detected in FSHD. Furthermore, the impact of the level of training and/or of objectively measured physical activity on the association between VO2max and body composition should be evaluated as well.
5. Conclusions
Our results indicate that VO2max is negatively associated with age, FM, BMI, and weight in patients with FSHD. The obtained data seem to reflect the resulting changes in body composition. Since FM is the body composition parameter that shows the highest association value with VO2max, it could be taken into account in the clinical stratification of patients with FSHD.
Author Contributions
O.C. analyzed and interpreted the data and wrote the first draft and the final version of the manuscript. L.G., G.B., J.L. and E.L. acquired, analyzed, and interpreted the data. M.B.-P. and R.T. contributed to writing and revision of the manuscript for intellectual content. E.S. analyzed and interpreted the data and contributed to writing and revision of the manuscript for intellectual content. G.D. developed the concept of the study, interpreted the data, supervised functional measurements, and wrote the first draft and the final version of the manuscript. All authors have read and agreed to the published version of the manuscript.
Funding
This work was supported by a grant from AFM-Telethon [Grant nr. 24420] to G.D.
Institutional Review Board Statement
The study was conducted in accordance with the Declaration of Helsinki and approved by the Local Ethics Committee Lombardy 6 (0006176/24; 31 January 2024).
Informed Consent Statement
Written informed consent has been obtained from the patients to publish this paper.
Data Availability Statement
The data presented in this study are available on request from the corresponding author due to privacy and ethical reasons.
Acknowledgments
The authors wish to thank the patients and their relatives for taking part in the experimental project, and Maria Douvli Smith for linguistic manuscript editing.
Conflicts of Interest
The authors have no competing interests to report.
References
- Papaefthymiou, P.; Kekou, K.; Ozdemir, F. Orofacial Manifestations Associated with Muscular Dystrophies: A Review. Turk. J. Orthod. 2022, 35, 67–73. [Google Scholar] [CrossRef] [PubMed]
- Hamel, J.; Johnson, N.; Tawil, R.; Martens, W.B.; Dilek, N.; McDermott, M.P.; Heatwole, C. Patient-Reported Symptoms in Facioscapulohumeral Muscular Dystrophy (PRISM-FSHD). Neurology 2019, 93, e1180–e1192. [Google Scholar] [CrossRef]
- Deutekom, J.C.V.; Wljmenga, C.; Tlenhoven, E.A.V.; Gruter, A.M.; Hewitt, J.E.; Padberg, G.W.; Ommen, G.J.B.V.; Hofker, M.H.; Fronts, R.R. FSHD associated DNA rearrangements are due to deletions of integral copies of a 3.2 kb tandemly repeated unit. Hum. Mol. Genet. 1993, 2, 2037–2042. [Google Scholar] [CrossRef]
- Lemmers, R.J.L.F.; van der Vliet, P.J.; Klooster, R.; Sacconi, S.; Camaño, P.; Dauwerse, J.G.; Snider, L.; Straasheijm, K.R.; van Ommen, G.J.; Padberg, G.W.; et al. A unifying genetic model for facioscapulohumeral muscular dystrophy. Science 2010, 329, 1650–1653. [Google Scholar] [CrossRef]
- Vera, K.A.; McConville, M.; Kyba, M.; Keller-Ross, M.L. Sarcopenic Obesity in Facioscapulohumeral Muscular Dystrophy. Front. Physiol. 2020, 11, 1008. [Google Scholar] [CrossRef] [PubMed]
- Guruju, N.M.; Jump, V.; Lemmers, R.; Van Der Maarel, S.; Liu, R.; Nallamilli, B.R.; Shenoy, S.; Chaubey, A.; Koppikar, P.; Rose, R.; et al. Molecular Diagnosis of Facioscapulohumeral Muscular Dystrophy in Patients Clinically Suspected of FSHD Using Optical Genome Mapping. Neurol. Genet. 2023, 9, e200107. [Google Scholar] [CrossRef] [PubMed]
- Schipper, K.; Bakker, M.; Abma, T. Fatigue in facioscapulohumeral muscular dystrophy: A qualitative study of people’s experiences. Disabil. Rehabil. 2017, 39, 1840–1846. [Google Scholar] [CrossRef]
- Voet, N.B.; Bleijenberg, G.; Padberg, G.W.; van Engelen, B.G.; Geurts, A.C. Effect of aerobic exercise training and cognitive behavioural therapy on reduction of chronic fatigue in patients with facioscapulohumeral dystrophy: Protocol of the FACTS-2-FSHD trial. BMC Neurol. 2010, 10, 56. [Google Scholar] [CrossRef]
- Mul, K.; Lassche, S.; Voermans, N.C.; Padberg, G.W.; Horlings, C.G.; van Engelen, B.G. What’s in a name? The clinical features of facioscapulohumeral muscular dystrophy. Pract. Neurol. 2016, 16, 201–207. [Google Scholar] [CrossRef]
- Attarian, S.; Beloribi-Djefaflia, S.; Bernard, R.; Nguyen, K.; Cances, C.; Gavazza, C.; Echaniz-Laguna, A.; Espil, C.; Evangelista, T.; Feasson, L.; et al. French National Protocol for diagnosis and care of facioscapulohumeral muscular dystrophy (FSHD). J. Neurol. 2024. [Google Scholar] [CrossRef]
- Bettio, C.; Banchelli, F.; Salsi, V.; Vicini, R.; Crisafulli, O.; Ruggiero, L.; Ricci, G.; Bucci, E.; Angelini, C.; Berardinelli, A.; et al. Physical activity practiced at a young age is associated with a less severe subsequent clinical presentation in facioscapulohumeral muscular dystrophy. BMC Musculoskelet. Disord. 2024, 25, 35. [Google Scholar] [CrossRef]
- Ricci, G.; Ruggiero, L.; Vercelli, L.; Sera, F.; Nikolic, A.; Govi, M.; Mele, F.; Daolio, J.; Angelini, C.; Antonini, G.; et al. A novel clinical tool to classify facioscapulohumeral muscular dystrophy phenotypes. J. Neurol. 2016, 263, 1204–1214. [Google Scholar] [CrossRef] [PubMed]
- Skalsky, A.J.; Abresch, R.T.; Han, J.J.; Shin, C.S.; McDonald, C.M. The relationship between regional body composition and quantitative strength in facioscapulohumeral muscular dystrophy (FSHD). Neuromuscul. Disord. 2008, 18, 873–880. [Google Scholar] [CrossRef]
- Alphonsa, S.; Wuebbles, R.; Jones, T.; Pavilionis, P.; Murray, N. Spatio-temporal gait differences in facioscapulohumeral muscular dystrophy during single and dual task overground walking—A pilot study. J. Clin. Transl. Res. 2022, 8, 166–175. [Google Scholar] [PubMed]
- Vera, K.A.; Mcconville, M.; Glazos, A.; Stokes, W.; Kyba, M.; Keller-Ross, M. Exercise Intolerance in Facioscapulohumeral Muscular Dystrophy. Med. Sci. Sports Exerc. 2022, 54, 887–895. [Google Scholar] [CrossRef]
- Wang, Z.; Heshka, S.; Wang, J.; Gallagher, D.; Deurenberg, P.; Chen, Z.; Heymsfield, S.B. Metabolically active portion of fat-free mass: A cellular body composition level modeling analysis. Am. J. Physiol. Metab. 2007, 292, E49–E53. [Google Scholar] [CrossRef]
- Zhou, N. Assessment of aerobic exercise capacity in obesity, which expression of oxygen uptake is the best? Sports Med. Health Sci. 2021, 3, 138–147. [Google Scholar] [CrossRef] [PubMed]
- Mondal, H. Effect of BMI, Body Fat Percentage and Fat Free Mass on Maximal Oxygen Consumption in Healthy Young Adults. J. Clin. Diagn. Res. 2017, 11, CC17–CC20. [Google Scholar] [CrossRef] [PubMed]
- Kjaergaard, A.D.; Ellervik, C.; Jessen, N.; Lessard, S.J. Cardiorespiratory fitness, body composition, diabetes, and longevity: A two-sample Mendelian randomization study. J. Clin. Endocrinol. Metab. 2024, 12, dgae393. [Google Scholar] [CrossRef] [PubMed]
- Köhler, A.; King, R.; Bahls, M.; Groß, S.; Steveling, A.; Gärtner, S.; Schipf, S.; Gläser, S.; Völzke, H.; Felix, S.B.; et al. Cardiopulmonary fitness is strongly associated with body cell mass and fat-free mass. Scand. J. Med. Sci. Sports 2018, 28, 1628–1635. [Google Scholar] [CrossRef]
- Chen, J.-K.; Chen, T.-W.; Chen, C.-H.; Huang, M.-H. Oxygen Uptake for Cycling in Relation to Body Composition: A Pilot Study. Kaohsiung J. Med. Sci. 2009, 25, 544–551. [Google Scholar] [CrossRef] [PubMed]
- Zeiher, J.; Ombrellaro, K.J.; Perumal, N.; Keil, T.; Mensink, G.B.M.; Finger, J.D. Correlates and Determinants of Cardiorespiratory Fitness in Adults: A Systematic Review. Sports Med.-Open 2019, 5, 39. [Google Scholar] [CrossRef] [PubMed]
- Bennett, H.; Parfitt, G.; Davison, K.; Eston, R. Validity of Submaximal Step Tests to Estimate Maximal Oxygen Uptake in Healthy Adults. Sports Med. 2016, 46, 737–750. [Google Scholar] [CrossRef] [PubMed]
- Norha, J.; Sjöros, T.; Garthwaite, T.; Laine, S.; Saarenhovi, M.; Kallio, P.; Laitinen, K.; Houttu, N.; Vähä-Ypyä, H.; Sievänen, H.; et al. Effects of reducing sedentary behavior on cardiorespiratory fitness in adults with metabolic syndrome: A 6-month randomized trial. Scand. J. Med. Sci. Sports 2023, 33, 1452–1461. [Google Scholar] [CrossRef]
- Langeskov-Christensen, M.; Heine, M.; Kwakkel, G.; Dalgas, U. Aerobic capacity in persons with multiple sclerosis: A systematic review and meta-analysis. Sports Med. 2015, 45, 905–923. [Google Scholar] [CrossRef] [PubMed]
- Trzaska-Sobczak, M.; Brożek, G.; Farnik, M.; Pierzchała, W. Evaluation of COPD progression based on spirometry and exercise capacity. Pneumonol. Alergol. Pol. 2013, 81, 288–293. [Google Scholar] [CrossRef] [PubMed]
- Markvardsen, L.K.; Carstens, A.-K.R.; Knak, K.L.; Overgaard, K.; Vissing, J.; Andersen, H. Muscle Strength and Aerobic Capacity in Patients with CIDP One Year after Participation in an Exercise Trial. J. Neuromuscul. Dis. 2019, 6, 93–97. [Google Scholar] [CrossRef] [PubMed]
- Sveen, M.L.; Jeppesen, T.D.; Hauerslev, S.; Køber, L.; Krag, T.O.; Vissing, J. Endurance training improves fitness and strength in patients with Becker muscular dystrophy. Brain 2008, 131 Pt 11, 2824–2831. [Google Scholar] [CrossRef]
- Salsia, V.; Vattemi, G.N.A.; Tupler, R.G. The FSHD jigsaw: Are we placing the tiles in the right position? Curr. Opin. Neurol. 2023, 36, 455–463. [Google Scholar] [CrossRef]
- Juby, A.G.; Davis, C.M.; Minimaana, S.; Mager, D.R. Addressing the Main Barrier to Sarcopenia Identification: Utility of Practical Office-Based Bioimpedance Tools Vs. Dual Energy X-ray Absorptiometry (DXA) Body Composition for Identification of Low Muscle Mass in Older Adults. Can. Geriatr. J. 2023, 26, 493–501. [Google Scholar] [CrossRef]
- Aleixo, G.F.; Shachar, S.S.; Nyrop, K.A.; Muss, H.B.; Battaglini, C.L.; Williams, G.R. Bioelectrical Impedance Analysis for the Assessment of Sarcopenia in Patients with Cancer: A Systematic Review. Oncologist 2019, 25, 170–182. [Google Scholar] [CrossRef]
- Goselink, R.J.; Mul, K.; van Kernebeek, C.R.; Lemmers, R.J.; van der Maarel, S.M.; Schreuder, T.H.; Erasmus, C.E.; Padberg, G.W.; Statland, J.M.; Voermans, N.C.; et al. Early onset as a marker for disease severity in facioscapulohumeral muscular dystrophy. Neurology 2019, 92, e378–e385. [Google Scholar] [CrossRef] [PubMed]
- Wells, J.C.; Fuller, N.J.; Dewit, O.; Fewtrell, M.S.; Elia, M.; Cole, T.J. Four-component model of body composition in children: Density and hydration of fat-free mass and comparison with simpler models. Am. J. Clin. Nutr. 1999, 69, 904–912. [Google Scholar] [CrossRef] [PubMed]
- Kushner, R.; Schoeller, D.; Fjeld, C.R.; Danford, L. Is the Impedance index (ht2/R) significant in predicting total body water? Am. J. Clin. Nutr. 1992, 56, 835–839. [Google Scholar] [CrossRef]
- Vicente-Rodríguez, G.; Rey-López, J.P.; Mesana, M.I.; Poortvliet, E.; Ortega, F.B.; Polito, A.; Nagy, E.; Widhalm, K.; Sjöström, M.; Moreno, L.A.; et al. Reliability and intermethod agreement for body fat assessment among two field and two laboratory methods in adolescents. Obesity 2011, 20, 221–228. [Google Scholar] [CrossRef]
- Sun, S.S.; Chumlea, W.C.; Heymsfield, S.B.; Lukaski, H.C.; Schoeller, D.; Friedl, K.; Kuczmarski, R.J.; Flegal, K.M.; Johnson, C.L.; Hubbard, V.S. Development of bioelectrical impedance analysis prediction equations for body composition with the use of a multicomponent model for use in epidemiologic surveys. Am. J. Clin. Nutr. 2003, 77, 331–340. [Google Scholar] [CrossRef] [PubMed]
- Kotler, D.P.; Burastero, S.; Wang, J.; Pierson, R.N.; Pierson, R.N. Prediction of body cell mass, fat-free mass, and total body water with bioelectrical impedance analysis: Effects of race, sex, and disease. Am. J. Clin. Nutr. 1996, 64 (Suppl. S3), 489S–497S. [Google Scholar] [CrossRef]
- Kotler, D.P.; Rosenbaum, K.; Allison, D.B.; Wang, J.; Pierson, R.N. Validation of bioimpedance analysis as a measure of change in body cell mass as estimated by whole-body counting of potassium in adults. J. Parenter. Enter. Nutr. 1999, 23, 345–349. [Google Scholar] [CrossRef]
- Fleg, J.L.; Lakatta, E.G. Role of muscle loss in the age-associated reduction in VO2 max. J. Appl. Physiol. 1988, 65, 1147–1151. [Google Scholar] [CrossRef]
- Seffrin, A.; Vivan, L.; Souza, V.R.d.A.; da Cunha, R.A.; de Lira, C.A.B.; Vancini, R.L.; Weiss, K.; Knechtle, B.; Andrade, M.S. Impact of aging on maximal oxygen uptake adjusted for lower limb lean mass, total body mass, and absolute values in runners. GeroScience 2023, 46, 913–921. [Google Scholar] [CrossRef]
- Strasser, B.; Burtscher, M. Survival of the fittest: VO2max, a key predictor of longevity? Front. Biosci. 2018, 23, 1505–1516. [Google Scholar] [CrossRef] [PubMed]
- The FSH-DY Group. A prospective, quantitative study of the natural history of facioscapulohumeral muscular dystrophy (FSHD): Implications for therapeutic trials. Neurology 1997, 48, 38–46. [Google Scholar] [CrossRef] [PubMed]
- Capel, T.L.; Vaisberg, M.; Araujo, M.P.; Paiva, R.F.; Santos Jde, M.; Bella, Z.I. Influence of body mass index, body fat percentage and age at menarche on aerobic capacity (VO2max) of elementary school female students. Rev. Bras. Ginecol. Obstet. 2014, 36, 84–89. [Google Scholar] [CrossRef] [PubMed]
- Kriketos, A.D.; Sharp, T.A.; Seagle, H.M.; Peters, J.C.; Hill, J.O. Effects of aerobic fitness on fat oxidation and body fatness. Med. Sci. Sports Exerc. 2000, 32, 805–811. [Google Scholar] [CrossRef] [PubMed]
- Schnurr, T.M.; Gjesing, A.P.; Sandholt, C.H.; Jonsson, A.; Mahendran, Y.; Have, C.T.; Ekstrøm, C.T.; Bjerregaard, A.-L.; Brage, S.; Witte, D.R.; et al. Genetic Correlation between Body Fat Percentage and Cardiorespiratory Fitness Suggests Common Genetic Etiology. PLoS ONE 2016, 11, e0166738. [Google Scholar] [CrossRef]
- Leung, D.G.; Carrino, J.A.; Wagner, K.R.; Jacobs, M.A. Whole-body magnetic resonance imaging evaluation of facioscapulohumeral muscular dystrophy. Muscle Nerve 2015, 52, 512–520. [Google Scholar] [CrossRef]
- Hunt, B.E.; Davy, K.P.; Jones, P.P.; DeSouza, C.A.; Van Pelt, R.E.; Tanaka, H.; Seals, D.R.; With the Technical Assistance of Cyndi Long and Mary Jo Reiling. Role of central circulatory factors in the fat-free mass-maximal aerobic capacity relation across age. Am. J. Physiol. 1998, 275, H1178–H1182. [Google Scholar] [CrossRef] [PubMed]
- Ando, T.; Piaggi, P.; Bogardus, C.; Krakoff, J. VO2max is associated with measures of energy expenditure in sedentary condition but does not predict weight change. Metabolism 2019, 90, 44–51. [Google Scholar] [CrossRef]
- Celegato, B.; Capitanio, D.; Pescatori, M.; Romualdi, C.; Pacchioni, B.; Cagnin, S.; Viganò, A.; Colantoni, L.; Begum, S.; Ricci, E.; et al. Parallel protein and transcript profiles of FSHD patient muscles correlate to the D4Z4 arrangement and reveal a common impairment of slow to fast fibre differentiation and a general deregulation of MyoD-dependent genes. Proteomics 2006, 6, 5303–5321. [Google Scholar] [CrossRef]
- Wong, E.; Stevenson, C.; Backholer, K.; Mannan, H.; Pasupathi, K.; Hodge, A.; Freak-Poli, R.; Peeters, A. Adiposity measures as predictors of long-term physical disability. Ann. Epidemiol. 2012, 22, 710–716. [Google Scholar] [CrossRef]
- Campa, F.; Coratella, G.; Cerullo, G.; Noriega, Z.; Francisco, R.; Charrier, D.; Irurtia, A.; Lukaski, H.; Silva, A.M.; Paoli, A. High-standard predictive equations for estimating body composition using bioelectrical impedance analysis: A systematic review. J. Transl. Med. 2024, 22, 515. [Google Scholar] [CrossRef] [PubMed]
- Grilo, E.C.; Cunha, T.A.; Costa, A.D.S.; Araújo, B.G.M.; Lopes, M.M.G.D.; Maciel, B.L.L.; Alves, C.X.; Vermeulen-Serpa, K.M.; Dourado-Júnior, M.E.T.; Leite-Lais, L.; et al. Validity of bioelectrical impedance to estimate fat-free mass in boys with Duchenne muscular dystrophy. PLoS ONE 2020, 15, e0241722. [Google Scholar] [CrossRef] [PubMed]
- Saure, C.; Caminiti, C.; Weglinski, J.; de Castro Perez, F.; Monges, S. Energy expenditure, body composition, and prevalence of metabolic disorders in patients with Duchenne muscular dystrophy. Diabetes Metab. Syndr. 2018, 12, 81–85. [Google Scholar] [CrossRef] [PubMed]
- Mok, E.; Letellier, G.; Cuisset, J.-M.; Denjean, A.; Gottrand, F.; Hankard, R. Assessing change in body composition in children with Duchenne muscular dystrophy: Anthropometry and bioelectrical impedance analysis versus dual-energy X-ray absorptiometry. Clin. Nutr. 2010, 29, 633–638. [Google Scholar] [CrossRef]
- Mok, E.; Béghin, L.; Gachon, P.; Daubrosse, C.; Fontan, J.-E.; Cuisset, J.-M.; Gottrand, F.; Hankard, R. Estimating body composition in children with Duchenne muscular dystrophy: Comparison of bioelectrical impedance analysis and skinfold-thickness measurement. Am. J. Clin. Nutr. 2006, 83, 65–69. [Google Scholar] [CrossRef][Green Version]
- Rinninella, E.; Silvestri, G.; Cintoni, M.; Perna, A.; Martorana, G.E.; De Lorenzo, A.; Rossini, P.M.; Miggiano, G.A.D.; Gasbarrini, A.; Mele, M.C. Clinical use of bioelectrical impedance analysis in patients affected by myotonic dystrophy type 1: A cross-sectional study. Nutrition 2019, 67–68, 110546. [Google Scholar] [CrossRef]
Disclaimer/Publisher’s Note: The statements, opinions and data contained in all publications are solely those of the individual author(s) and contributor(s) and not of MDPI and/or the editor(s). MDPI and/or the editor(s) disclaim responsibility for any injury to people or property resulting from any ideas, methods, instructions or products referred to in the content. |
© 2024 by the authors. Licensee MDPI, Basel, Switzerland. This article is an open access article distributed under the terms and conditions of the Creative Commons Attribution (CC BY) license (https://creativecommons.org/licenses/by/4.0/).
