Maximal Oxygen Consumption Is Negatively Associated with Fat Mass in Facioscapulohumeral Dystrophy
Abstract
1. Introduction
2. Materials and Methods
2.1. Participants
2.2. VO2max Assessment
2.3. Body Composition and Anthropometric Assessment
2.4. Statistical Analysis
3. Results
3.1. Participants
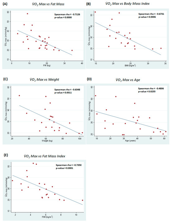
3.2. Correlation Analysis between Body Composition, Anthropometric Parameters, and VO2max
4. Discussion
Limitations and Future Directions
5. Conclusions
Author Contributions
Funding
Institutional Review Board Statement
Informed Consent Statement
Data Availability Statement
Acknowledgments
Conflicts of Interest
References
- Papaefthymiou, P.; Kekou, K.; Ozdemir, F. Orofacial Manifestations Associated with Muscular Dystrophies: A Review. Turk. J. Orthod. 2022, 35, 67–73. [Google Scholar] [CrossRef] [PubMed]
- Hamel, J.; Johnson, N.; Tawil, R.; Martens, W.B.; Dilek, N.; McDermott, M.P.; Heatwole, C. Patient-Reported Symptoms in Facioscapulohumeral Muscular Dystrophy (PRISM-FSHD). Neurology 2019, 93, e1180–e1192. [Google Scholar] [CrossRef]
- Deutekom, J.C.V.; Wljmenga, C.; Tlenhoven, E.A.V.; Gruter, A.M.; Hewitt, J.E.; Padberg, G.W.; Ommen, G.J.B.V.; Hofker, M.H.; Fronts, R.R. FSHD associated DNA rearrangements are due to deletions of integral copies of a 3.2 kb tandemly repeated unit. Hum. Mol. Genet. 1993, 2, 2037–2042. [Google Scholar] [CrossRef]
- Lemmers, R.J.L.F.; van der Vliet, P.J.; Klooster, R.; Sacconi, S.; Camaño, P.; Dauwerse, J.G.; Snider, L.; Straasheijm, K.R.; van Ommen, G.J.; Padberg, G.W.; et al. A unifying genetic model for facioscapulohumeral muscular dystrophy. Science 2010, 329, 1650–1653. [Google Scholar] [CrossRef]
- Vera, K.A.; McConville, M.; Kyba, M.; Keller-Ross, M.L. Sarcopenic Obesity in Facioscapulohumeral Muscular Dystrophy. Front. Physiol. 2020, 11, 1008. [Google Scholar] [CrossRef] [PubMed]
- Guruju, N.M.; Jump, V.; Lemmers, R.; Van Der Maarel, S.; Liu, R.; Nallamilli, B.R.; Shenoy, S.; Chaubey, A.; Koppikar, P.; Rose, R.; et al. Molecular Diagnosis of Facioscapulohumeral Muscular Dystrophy in Patients Clinically Suspected of FSHD Using Optical Genome Mapping. Neurol. Genet. 2023, 9, e200107. [Google Scholar] [CrossRef] [PubMed]
- Schipper, K.; Bakker, M.; Abma, T. Fatigue in facioscapulohumeral muscular dystrophy: A qualitative study of people’s experiences. Disabil. Rehabil. 2017, 39, 1840–1846. [Google Scholar] [CrossRef]
- Voet, N.B.; Bleijenberg, G.; Padberg, G.W.; van Engelen, B.G.; Geurts, A.C. Effect of aerobic exercise training and cognitive behavioural therapy on reduction of chronic fatigue in patients with facioscapulohumeral dystrophy: Protocol of the FACTS-2-FSHD trial. BMC Neurol. 2010, 10, 56. [Google Scholar] [CrossRef]
- Mul, K.; Lassche, S.; Voermans, N.C.; Padberg, G.W.; Horlings, C.G.; van Engelen, B.G. What’s in a name? The clinical features of facioscapulohumeral muscular dystrophy. Pract. Neurol. 2016, 16, 201–207. [Google Scholar] [CrossRef]
- Attarian, S.; Beloribi-Djefaflia, S.; Bernard, R.; Nguyen, K.; Cances, C.; Gavazza, C.; Echaniz-Laguna, A.; Espil, C.; Evangelista, T.; Feasson, L.; et al. French National Protocol for diagnosis and care of facioscapulohumeral muscular dystrophy (FSHD). J. Neurol. 2024. [Google Scholar] [CrossRef]
- Bettio, C.; Banchelli, F.; Salsi, V.; Vicini, R.; Crisafulli, O.; Ruggiero, L.; Ricci, G.; Bucci, E.; Angelini, C.; Berardinelli, A.; et al. Physical activity practiced at a young age is associated with a less severe subsequent clinical presentation in facioscapulohumeral muscular dystrophy. BMC Musculoskelet. Disord. 2024, 25, 35. [Google Scholar] [CrossRef]
- Ricci, G.; Ruggiero, L.; Vercelli, L.; Sera, F.; Nikolic, A.; Govi, M.; Mele, F.; Daolio, J.; Angelini, C.; Antonini, G.; et al. A novel clinical tool to classify facioscapulohumeral muscular dystrophy phenotypes. J. Neurol. 2016, 263, 1204–1214. [Google Scholar] [CrossRef] [PubMed]
- Skalsky, A.J.; Abresch, R.T.; Han, J.J.; Shin, C.S.; McDonald, C.M. The relationship between regional body composition and quantitative strength in facioscapulohumeral muscular dystrophy (FSHD). Neuromuscul. Disord. 2008, 18, 873–880. [Google Scholar] [CrossRef]
- Alphonsa, S.; Wuebbles, R.; Jones, T.; Pavilionis, P.; Murray, N. Spatio-temporal gait differences in facioscapulohumeral muscular dystrophy during single and dual task overground walking—A pilot study. J. Clin. Transl. Res. 2022, 8, 166–175. [Google Scholar] [PubMed]
- Vera, K.A.; Mcconville, M.; Glazos, A.; Stokes, W.; Kyba, M.; Keller-Ross, M. Exercise Intolerance in Facioscapulohumeral Muscular Dystrophy. Med. Sci. Sports Exerc. 2022, 54, 887–895. [Google Scholar] [CrossRef]
- Wang, Z.; Heshka, S.; Wang, J.; Gallagher, D.; Deurenberg, P.; Chen, Z.; Heymsfield, S.B. Metabolically active portion of fat-free mass: A cellular body composition level modeling analysis. Am. J. Physiol. Metab. 2007, 292, E49–E53. [Google Scholar] [CrossRef]
- Zhou, N. Assessment of aerobic exercise capacity in obesity, which expression of oxygen uptake is the best? Sports Med. Health Sci. 2021, 3, 138–147. [Google Scholar] [CrossRef] [PubMed]
- Mondal, H. Effect of BMI, Body Fat Percentage and Fat Free Mass on Maximal Oxygen Consumption in Healthy Young Adults. J. Clin. Diagn. Res. 2017, 11, CC17–CC20. [Google Scholar] [CrossRef] [PubMed]
- Kjaergaard, A.D.; Ellervik, C.; Jessen, N.; Lessard, S.J. Cardiorespiratory fitness, body composition, diabetes, and longevity: A two-sample Mendelian randomization study. J. Clin. Endocrinol. Metab. 2024, 12, dgae393. [Google Scholar] [CrossRef] [PubMed]
- Köhler, A.; King, R.; Bahls, M.; Groß, S.; Steveling, A.; Gärtner, S.; Schipf, S.; Gläser, S.; Völzke, H.; Felix, S.B.; et al. Cardiopulmonary fitness is strongly associated with body cell mass and fat-free mass. Scand. J. Med. Sci. Sports 2018, 28, 1628–1635. [Google Scholar] [CrossRef]
- Chen, J.-K.; Chen, T.-W.; Chen, C.-H.; Huang, M.-H. Oxygen Uptake for Cycling in Relation to Body Composition: A Pilot Study. Kaohsiung J. Med. Sci. 2009, 25, 544–551. [Google Scholar] [CrossRef] [PubMed]
- Zeiher, J.; Ombrellaro, K.J.; Perumal, N.; Keil, T.; Mensink, G.B.M.; Finger, J.D. Correlates and Determinants of Cardiorespiratory Fitness in Adults: A Systematic Review. Sports Med.-Open 2019, 5, 39. [Google Scholar] [CrossRef] [PubMed]
- Bennett, H.; Parfitt, G.; Davison, K.; Eston, R. Validity of Submaximal Step Tests to Estimate Maximal Oxygen Uptake in Healthy Adults. Sports Med. 2016, 46, 737–750. [Google Scholar] [CrossRef] [PubMed]
- Norha, J.; Sjöros, T.; Garthwaite, T.; Laine, S.; Saarenhovi, M.; Kallio, P.; Laitinen, K.; Houttu, N.; Vähä-Ypyä, H.; Sievänen, H.; et al. Effects of reducing sedentary behavior on cardiorespiratory fitness in adults with metabolic syndrome: A 6-month randomized trial. Scand. J. Med. Sci. Sports 2023, 33, 1452–1461. [Google Scholar] [CrossRef]
- Langeskov-Christensen, M.; Heine, M.; Kwakkel, G.; Dalgas, U. Aerobic capacity in persons with multiple sclerosis: A systematic review and meta-analysis. Sports Med. 2015, 45, 905–923. [Google Scholar] [CrossRef] [PubMed]
- Trzaska-Sobczak, M.; Brożek, G.; Farnik, M.; Pierzchała, W. Evaluation of COPD progression based on spirometry and exercise capacity. Pneumonol. Alergol. Pol. 2013, 81, 288–293. [Google Scholar] [CrossRef] [PubMed]
- Markvardsen, L.K.; Carstens, A.-K.R.; Knak, K.L.; Overgaard, K.; Vissing, J.; Andersen, H. Muscle Strength and Aerobic Capacity in Patients with CIDP One Year after Participation in an Exercise Trial. J. Neuromuscul. Dis. 2019, 6, 93–97. [Google Scholar] [CrossRef] [PubMed]
- Sveen, M.L.; Jeppesen, T.D.; Hauerslev, S.; Køber, L.; Krag, T.O.; Vissing, J. Endurance training improves fitness and strength in patients with Becker muscular dystrophy. Brain 2008, 131 Pt 11, 2824–2831. [Google Scholar] [CrossRef]
- Salsia, V.; Vattemi, G.N.A.; Tupler, R.G. The FSHD jigsaw: Are we placing the tiles in the right position? Curr. Opin. Neurol. 2023, 36, 455–463. [Google Scholar] [CrossRef]
- Juby, A.G.; Davis, C.M.; Minimaana, S.; Mager, D.R. Addressing the Main Barrier to Sarcopenia Identification: Utility of Practical Office-Based Bioimpedance Tools Vs. Dual Energy X-ray Absorptiometry (DXA) Body Composition for Identification of Low Muscle Mass in Older Adults. Can. Geriatr. J. 2023, 26, 493–501. [Google Scholar] [CrossRef]
- Aleixo, G.F.; Shachar, S.S.; Nyrop, K.A.; Muss, H.B.; Battaglini, C.L.; Williams, G.R. Bioelectrical Impedance Analysis for the Assessment of Sarcopenia in Patients with Cancer: A Systematic Review. Oncologist 2019, 25, 170–182. [Google Scholar] [CrossRef]
- Goselink, R.J.; Mul, K.; van Kernebeek, C.R.; Lemmers, R.J.; van der Maarel, S.M.; Schreuder, T.H.; Erasmus, C.E.; Padberg, G.W.; Statland, J.M.; Voermans, N.C.; et al. Early onset as a marker for disease severity in facioscapulohumeral muscular dystrophy. Neurology 2019, 92, e378–e385. [Google Scholar] [CrossRef] [PubMed]
- Wells, J.C.; Fuller, N.J.; Dewit, O.; Fewtrell, M.S.; Elia, M.; Cole, T.J. Four-component model of body composition in children: Density and hydration of fat-free mass and comparison with simpler models. Am. J. Clin. Nutr. 1999, 69, 904–912. [Google Scholar] [CrossRef] [PubMed]
- Kushner, R.; Schoeller, D.; Fjeld, C.R.; Danford, L. Is the Impedance index (ht2/R) significant in predicting total body water? Am. J. Clin. Nutr. 1992, 56, 835–839. [Google Scholar] [CrossRef]
- Vicente-Rodríguez, G.; Rey-López, J.P.; Mesana, M.I.; Poortvliet, E.; Ortega, F.B.; Polito, A.; Nagy, E.; Widhalm, K.; Sjöström, M.; Moreno, L.A.; et al. Reliability and intermethod agreement for body fat assessment among two field and two laboratory methods in adolescents. Obesity 2011, 20, 221–228. [Google Scholar] [CrossRef]
- Sun, S.S.; Chumlea, W.C.; Heymsfield, S.B.; Lukaski, H.C.; Schoeller, D.; Friedl, K.; Kuczmarski, R.J.; Flegal, K.M.; Johnson, C.L.; Hubbard, V.S. Development of bioelectrical impedance analysis prediction equations for body composition with the use of a multicomponent model for use in epidemiologic surveys. Am. J. Clin. Nutr. 2003, 77, 331–340. [Google Scholar] [CrossRef] [PubMed]
- Kotler, D.P.; Burastero, S.; Wang, J.; Pierson, R.N.; Pierson, R.N. Prediction of body cell mass, fat-free mass, and total body water with bioelectrical impedance analysis: Effects of race, sex, and disease. Am. J. Clin. Nutr. 1996, 64 (Suppl. S3), 489S–497S. [Google Scholar] [CrossRef]
- Kotler, D.P.; Rosenbaum, K.; Allison, D.B.; Wang, J.; Pierson, R.N. Validation of bioimpedance analysis as a measure of change in body cell mass as estimated by whole-body counting of potassium in adults. J. Parenter. Enter. Nutr. 1999, 23, 345–349. [Google Scholar] [CrossRef]
- Fleg, J.L.; Lakatta, E.G. Role of muscle loss in the age-associated reduction in VO2 max. J. Appl. Physiol. 1988, 65, 1147–1151. [Google Scholar] [CrossRef]
- Seffrin, A.; Vivan, L.; Souza, V.R.d.A.; da Cunha, R.A.; de Lira, C.A.B.; Vancini, R.L.; Weiss, K.; Knechtle, B.; Andrade, M.S. Impact of aging on maximal oxygen uptake adjusted for lower limb lean mass, total body mass, and absolute values in runners. GeroScience 2023, 46, 913–921. [Google Scholar] [CrossRef]
- Strasser, B.; Burtscher, M. Survival of the fittest: VO2max, a key predictor of longevity? Front. Biosci. 2018, 23, 1505–1516. [Google Scholar] [CrossRef] [PubMed]
- The FSH-DY Group. A prospective, quantitative study of the natural history of facioscapulohumeral muscular dystrophy (FSHD): Implications for therapeutic trials. Neurology 1997, 48, 38–46. [Google Scholar] [CrossRef] [PubMed]
- Capel, T.L.; Vaisberg, M.; Araujo, M.P.; Paiva, R.F.; Santos Jde, M.; Bella, Z.I. Influence of body mass index, body fat percentage and age at menarche on aerobic capacity (VO2max) of elementary school female students. Rev. Bras. Ginecol. Obstet. 2014, 36, 84–89. [Google Scholar] [CrossRef] [PubMed]
- Kriketos, A.D.; Sharp, T.A.; Seagle, H.M.; Peters, J.C.; Hill, J.O. Effects of aerobic fitness on fat oxidation and body fatness. Med. Sci. Sports Exerc. 2000, 32, 805–811. [Google Scholar] [CrossRef] [PubMed]
- Schnurr, T.M.; Gjesing, A.P.; Sandholt, C.H.; Jonsson, A.; Mahendran, Y.; Have, C.T.; Ekstrøm, C.T.; Bjerregaard, A.-L.; Brage, S.; Witte, D.R.; et al. Genetic Correlation between Body Fat Percentage and Cardiorespiratory Fitness Suggests Common Genetic Etiology. PLoS ONE 2016, 11, e0166738. [Google Scholar] [CrossRef]
- Leung, D.G.; Carrino, J.A.; Wagner, K.R.; Jacobs, M.A. Whole-body magnetic resonance imaging evaluation of facioscapulohumeral muscular dystrophy. Muscle Nerve 2015, 52, 512–520. [Google Scholar] [CrossRef]
- Hunt, B.E.; Davy, K.P.; Jones, P.P.; DeSouza, C.A.; Van Pelt, R.E.; Tanaka, H.; Seals, D.R.; With the Technical Assistance of Cyndi Long and Mary Jo Reiling. Role of central circulatory factors in the fat-free mass-maximal aerobic capacity relation across age. Am. J. Physiol. 1998, 275, H1178–H1182. [Google Scholar] [CrossRef] [PubMed]
- Ando, T.; Piaggi, P.; Bogardus, C.; Krakoff, J. VO2max is associated with measures of energy expenditure in sedentary condition but does not predict weight change. Metabolism 2019, 90, 44–51. [Google Scholar] [CrossRef]
- Celegato, B.; Capitanio, D.; Pescatori, M.; Romualdi, C.; Pacchioni, B.; Cagnin, S.; Viganò, A.; Colantoni, L.; Begum, S.; Ricci, E.; et al. Parallel protein and transcript profiles of FSHD patient muscles correlate to the D4Z4 arrangement and reveal a common impairment of slow to fast fibre differentiation and a general deregulation of MyoD-dependent genes. Proteomics 2006, 6, 5303–5321. [Google Scholar] [CrossRef]
- Wong, E.; Stevenson, C.; Backholer, K.; Mannan, H.; Pasupathi, K.; Hodge, A.; Freak-Poli, R.; Peeters, A. Adiposity measures as predictors of long-term physical disability. Ann. Epidemiol. 2012, 22, 710–716. [Google Scholar] [CrossRef]
- Campa, F.; Coratella, G.; Cerullo, G.; Noriega, Z.; Francisco, R.; Charrier, D.; Irurtia, A.; Lukaski, H.; Silva, A.M.; Paoli, A. High-standard predictive equations for estimating body composition using bioelectrical impedance analysis: A systematic review. J. Transl. Med. 2024, 22, 515. [Google Scholar] [CrossRef] [PubMed]
- Grilo, E.C.; Cunha, T.A.; Costa, A.D.S.; Araújo, B.G.M.; Lopes, M.M.G.D.; Maciel, B.L.L.; Alves, C.X.; Vermeulen-Serpa, K.M.; Dourado-Júnior, M.E.T.; Leite-Lais, L.; et al. Validity of bioelectrical impedance to estimate fat-free mass in boys with Duchenne muscular dystrophy. PLoS ONE 2020, 15, e0241722. [Google Scholar] [CrossRef] [PubMed]
- Saure, C.; Caminiti, C.; Weglinski, J.; de Castro Perez, F.; Monges, S. Energy expenditure, body composition, and prevalence of metabolic disorders in patients with Duchenne muscular dystrophy. Diabetes Metab. Syndr. 2018, 12, 81–85. [Google Scholar] [CrossRef] [PubMed]
- Mok, E.; Letellier, G.; Cuisset, J.-M.; Denjean, A.; Gottrand, F.; Hankard, R. Assessing change in body composition in children with Duchenne muscular dystrophy: Anthropometry and bioelectrical impedance analysis versus dual-energy X-ray absorptiometry. Clin. Nutr. 2010, 29, 633–638. [Google Scholar] [CrossRef]
- Mok, E.; Béghin, L.; Gachon, P.; Daubrosse, C.; Fontan, J.-E.; Cuisset, J.-M.; Gottrand, F.; Hankard, R. Estimating body composition in children with Duchenne muscular dystrophy: Comparison of bioelectrical impedance analysis and skinfold-thickness measurement. Am. J. Clin. Nutr. 2006, 83, 65–69. [Google Scholar] [CrossRef][Green Version]
- Rinninella, E.; Silvestri, G.; Cintoni, M.; Perna, A.; Martorana, G.E.; De Lorenzo, A.; Rossini, P.M.; Miggiano, G.A.D.; Gasbarrini, A.; Mele, M.C. Clinical use of bioelectrical impedance analysis in patients affected by myotonic dystrophy type 1: A cross-sectional study. Nutrition 2019, 67–68, 110546. [Google Scholar] [CrossRef]

| Variables | n | Mean | Standard Deviation | Percentual Values (%) | |
|---|---|---|---|---|---|
| Socio-demographic variables | |||||
| Gender | Female | 6 | - | - | 27.28 |
| Male | 16 | - | - | 72.72 | |
| Age (y) | - | 35.18 | 16.14 | ||
| FSHD variables | |||||
| FSHD category | A | 17 | - | - | 77.27 |
| B | 5 | - | - | 22.73 | |
| Anthropometric variables | |||||
| Weight (kg) | - | 74.49 | 17.65 | - | |
| Height (cm) | - | 169.01 | 11.57 | - | |
| Body Mass Index | - | 22.85 | 4.25 | - | |
| Body composition variables | |||||
| Fat Free Mass (kg; % of BW) | - | 58.66 | 20.91 | 78.74 | |
| Fat Free Mass Index (kg/m2) | 20.13 | 6.00 | - | ||
| Fat Mass (kg; % of BW) | - | 15.83 | 6.80 | 21,26 | |
| Fat Mass Index (kg/m2) | 5.45 | 2.09 | - | ||
| Body Cell Mass (kg; % of BW) | - | 25.45 | 8.33 | 34.16 | |
| Body Cell Mass Index (kg/m2) | 8.76 | 2.31 | - | ||
| Cardiopulmonary exercise test variables | |||||
| VO2max (mL/min/kg) | - | 30.99 | 9.87 | - | |
| VO2AT (mL/min/kg) | - | 20.71 | 7.12 | - | |
| Ventilation Max (L/min) | - | 69.82 | 25.82 | - | |
| Breathing Frequency Max (b/min) | - | 35.60 | 8.00 | ||
| Tidal Volume Max (L) | - | 1.96 | 0.63 | - | |
| Heart Rate Max (beat/min) | - | 163 | 13.79 | - | |
| Variables | VO2max (mL/min/kg) | |||
|---|---|---|---|---|
| Total Sample (n = 22) | Adults (n = 17) | Males (n = 16) | Type A FSHD (n = 17) | |
| Sociodemographic variables | ||||
| Age (y) | −0.48 * | −0.26 | −0.46 | −0.32 |
| Anthropometric variables | ||||
| Weight (kg) | −0.63 ** | −0.60 * | −0.90 *** | −0.71 ** |
| Height (cm) | −0.31 | −0.21 | −0.43 | −0.39 |
| Body Mass Index | −0.67 *** | −0.59 * | −0.90 *** | −0.76 *** |
| Body composition variables | ||||
| Fat Free Mass (kg) | 0.02 | 0.21 | −0.15 | −0.18 |
| Fat Free Mass Index (kg/m2) | 0.02 | 0.23 | −0.10 | −0.19 |
| Fat Mass (kg) | −0.71 *** | −0.71 ** | −0.77 *** | −0.80 *** |
| Fat Mass Index (kg/m2) | −0.73 *** | −0.71 ** | −0.70 ** | −0.73 *** |
| Body Cell Mass (kg) | 0.07 | 0.05 | −0.40 | −0.15 |
| Body Cell Mass index (kg/m2) | 0.06 | 0.10 | −0.34 | −0.02 |
Disclaimer/Publisher’s Note: The statements, opinions and data contained in all publications are solely those of the individual author(s) and contributor(s) and not of MDPI and/or the editor(s). MDPI and/or the editor(s) disclaim responsibility for any injury to people or property resulting from any ideas, methods, instructions or products referred to in the content. |
© 2024 by the authors. Licensee MDPI, Basel, Switzerland. This article is an open access article distributed under the terms and conditions of the Creative Commons Attribution (CC BY) license (https://creativecommons.org/licenses/by/4.0/).
Share and Cite
Crisafulli, O.; Grattarola, L.; Bottoni, G.; Lacetera, J.; Lavaselli, E.; Beretta-Piccoli, M.; Tupler, R.; Soldini, E.; D’Antona, G. Maximal Oxygen Consumption Is Negatively Associated with Fat Mass in Facioscapulohumeral Dystrophy. Int. J. Environ. Res. Public Health 2024, 21, 979. https://doi.org/10.3390/ijerph21080979
Crisafulli O, Grattarola L, Bottoni G, Lacetera J, Lavaselli E, Beretta-Piccoli M, Tupler R, Soldini E, D’Antona G. Maximal Oxygen Consumption Is Negatively Associated with Fat Mass in Facioscapulohumeral Dystrophy. International Journal of Environmental Research and Public Health. 2024; 21(8):979. https://doi.org/10.3390/ijerph21080979
Chicago/Turabian StyleCrisafulli, Oscar, Luca Grattarola, Giorgio Bottoni, Jessica Lacetera, Emanuela Lavaselli, Matteo Beretta-Piccoli, Rossella Tupler, Emiliano Soldini, and Giuseppe D’Antona. 2024. "Maximal Oxygen Consumption Is Negatively Associated with Fat Mass in Facioscapulohumeral Dystrophy" International Journal of Environmental Research and Public Health 21, no. 8: 979. https://doi.org/10.3390/ijerph21080979
APA StyleCrisafulli, O., Grattarola, L., Bottoni, G., Lacetera, J., Lavaselli, E., Beretta-Piccoli, M., Tupler, R., Soldini, E., & D’Antona, G. (2024). Maximal Oxygen Consumption Is Negatively Associated with Fat Mass in Facioscapulohumeral Dystrophy. International Journal of Environmental Research and Public Health, 21(8), 979. https://doi.org/10.3390/ijerph21080979

