Developing Problematic Performance Value Scores: Binding Routine Activity Performance, Environmental Barriers, and Health Conditions
Abstract
1. Introduction
2. Methods
2.1. Data Collection
2.2. Environmental Barriers
2.3. Participant Demographic Characteristics
2.4. Multinomial Logit Model and the Problematic Performance Value Score
Ph(Sometimes) + (1 × P13 + 0.5 × P23 + 0 × P33) × 0 × Ph(Never) = (P11 + 0.5 × P21) × 1 ×
Ph(Always) + (1 × P12 + 0.5 × P22) × 0.5 × Ph(Sometimes)
3. Results
3.1. MNL Results
3.2. Problematic Performance Value Scores by Activities and Health Conditions
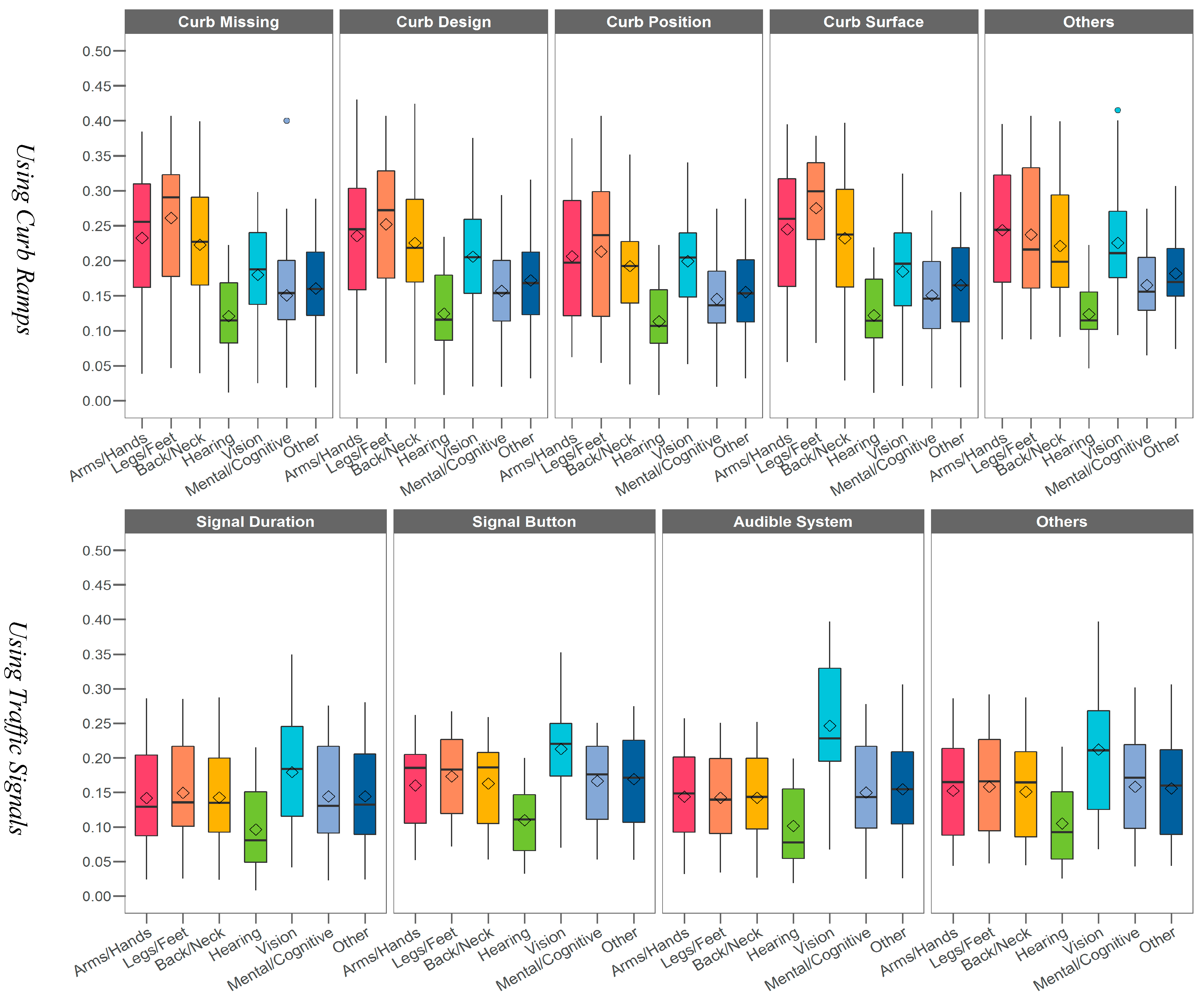
3.3. Problematic Performance Value Scores by Environmental Barriers and Health Conditions
4. Discussion
5. Conclusions
Author Contributions
Funding
Institutional Review Board Statement
Informed Consent Statement
Data Availability Statement
Acknowledgments
Conflicts of Interest
References
- Saelens, B.E.; Sallis, J.F.; Frank, L.D. Environmental correlates of walking and cycling: Findings from the transportation, urban design, and planning literatures. Ann. Behav. Med. 2003, 25, 80–91. [Google Scholar] [CrossRef] [PubMed]
- Baek, S.; Raja, S.; Park, J.; Epstein, L.H.; Yin, L.; Roemmich, J.N. Park design and children’s active play: A microscale spatial analysis of intensity of play in Olmsted’s Delaware Park. Environ. Plan. B Plan. Des. 2015, 42, 1079–1097. [Google Scholar] [CrossRef]
- Ahn, Y.; Park, J.; Bruckner, T.A.; Choi, S. Do local employment centers modify the association between neighborhood urban form and individual obesity? Environ. Plan. A Econ. Space 2018, 50, 1128–1143. [Google Scholar] [CrossRef]
- Moore, T.H.; Kesten, J.M.; López-López, J.A.; Ijaz, S.; McAleenan, A.; Richards, A.; Gray, S.; Savović, J.; Audrey, S. The effects of changes to the built environment on the mental health and well-being of adults: Systematic review. Health Place 2018, 53, 237–257. [Google Scholar] [CrossRef] [PubMed]
- Sallis, J.F.; Cerin, E.; Kerr, J.; Adams, M.A.; Sugiyama, T.; Christiansen, L.B.; Schipperijn, J.; Davey, R.; Salvo, D.; Frank, L.D.; et al. Built environment, physical activity, and obesity: Findings from the international physical activity and environment network (IPEN) adult study. Annu. Rev. Public Health 2020, 41, 119–139. [Google Scholar] [CrossRef] [PubMed]
- Van Cauwenberg, J.; De Bourdeaudhuij, I.; De Meester, F.; Van Dyck, D.; Salmon, J.; Clarys, P.; Deforche, B. Relationship between the physical environment and physical activity in older adults: A systematic review. Health Place 2011, 17, 458–469. [Google Scholar] [CrossRef] [PubMed]
- Ding, D.; Gebel, K. Built environment, physical activity, and obesity: What have we learned from reviewing the literature? Health Place 2012, 18, 100–105. [Google Scholar] [CrossRef] [PubMed]
- Frank, L.D.; Iroz-Elardo, N.; MacLeod, K.E.; Hong, A. Pathways from built environment to health: A conceptual framework linking behavior and exposure-based impacts. J. Transp. Health 2019, 12, 319–335. [Google Scholar] [CrossRef]
- Shigematsu, R.; Sallis, J.F.; Conway, T.L.; Saelens, B.E.; Frank, L.D.; Cain, K.L.; Chapman, J.E.; King, A.C. Age differences in the relation of perceived neighborhood environment to walking. Med. Sci. Sports Exerc. 2009, 41, 314–321. [Google Scholar] [CrossRef]
- Satariano, W.A.; Ivey, S.L.; Kurtovich, E.; Kealey, M.; Hubbard, A.E.; Bayles, C.M.; Bryant, L.L.; Hunter, R.H.; Prohaska, T.R. Lower-body function, neighborhoods, and walking in an older population. Am. J. Prev. Med. 2010, 38, 419–428. [Google Scholar] [CrossRef]
- Syed, S.T.; Gerber, B.S.; Sharp, L.K. Traveling towards disease: Transportation barriers to health care access. J. Community Health 2013, 38, 976–993. [Google Scholar] [CrossRef] [PubMed]
- National Council on Disability. Transportation Update: Where We’ve Gone and What We’ve Learned. Washington, DC. 2015. Available online: https://www.ncd.gov/report/transportation-update-where-weve-gone-and-what-weve-learned/ (accessed on 20 August 2023).
- Lynott, J.; Haase, J.; Nelson, K.; Taylor, A.; Twaddell, H.; Ulmer, J.; McCann, B.; Stollof, E.R. Planning Complete Streets for an Aging America; AARP Public Policy Institute: Washington, DC, USA, 2009. [Google Scholar]
- Chandra, S.; Bari, M.E.; Devarasetty, P.C.; Vadali, S. Accessibility evaluations of feeder transit services. Transp. Res. Part A Policy Pract. 2013, 52, 47–63. [Google Scholar] [CrossRef]
- Liu, L.; Kar, A.; Tokey, A.I.; Le, H.T.; Miller, H.J. Disparities in public transit accessibility and usage by people with mobility disabilities: An evaluation using high-resolution transit data. J. Transp. Geogr. 2023, 109, 103589. [Google Scholar] [CrossRef]
- Brumbaugh, S. Travel Patterns of American Adults with Disabilities. Bureau of Transportation Statistics, U.S. Department of Transportation. 2018. Available online: https://www.bts.gov/sites/bts.dot.gov/files/docs/explore-topics-and-geography/topics/passenger-travel/222466/travel-patterns-american-adults-disabilities-11-26-19.pdf (accessed on 1 June 2023).
- Clarke, P.; George, L.K. The role of the built environment in the disablement process. Am. J. Public Health 2005, 95, 1933–1939. [Google Scholar] [CrossRef]
- Levine, K. “The bus is accessible, but how do you get to the bus”: First and last mile experiences of disabled transit riders. J. Public Transp. 2024, 26, 100086. [Google Scholar] [CrossRef]
- Steinfeld, E.; Maisel, J. Universal Design: Creating Inclusive Environments; John Wiley & Sons: Hoboken, NJ, USA, 2012. [Google Scholar]
- Danford, G.S.; Maurer, J. Empirical tests of the claimed benefits of Universal Design. In Proceedings of the Thirty-Sixth Annual International Conference of the Environment Design Research Association, Vancouver, BC, Canada, 27 April–1 May 2005; Environmental Design Research Association: Washington, DC, USA, 2005; pp. 123–128. [Google Scholar]
- World Health Organization. World Report on Disability. 2011. Available online: https://www.who.int/publications/i/item/9789241564182 (accessed on 1 May 2022).
- Law, C. Responding to Accessibility Issues in Business. Ph.D. Dissertation, RMIT University, Melbourne, Australia, 2010. [Google Scholar]
- Ielegems, E.; Herssens, J.; Nuyts, E.; Vanrie, J. Drivers and barriers for universal designing. J. Archit. Plan. Res. 2019, 36, 181–197. [Google Scholar]
- Watchorn, V.; Hitch, D.; Grant, C.; Tucker, R.; Aedy, K.; Ang, S.; Frawley, P. An integrated literature review of the current discourse around universal design in the built environment–is occupation the missing link? Disabil. Rehabil. 2021, 43, 1–12. [Google Scholar] [CrossRef] [PubMed]
- Steinfeld, E. Conceptual Framework. 2010. Available online: https://globaluniversaldesign.org/standards-development/proposed-conceptual-framework/ (accessed on 10 December 2021).
- Shackel, B. Usability–Context, framework, definition, design and evaluation. Interact. Comput. 2009, 21, 339–346. [Google Scholar] [CrossRef]
- Bevan, N. Quality in use: Meeting user needs for quality. J. Syst. Softw. 1999, 49, 89–96. [Google Scholar] [CrossRef]
- ISO Standard No. 9241-11; Ergonomic Requirements for Office Work with Visual Display Terminals (VDTs)—Part 11: Guidance on Usability. International Organization for Standardization (ISO): Geneva, Switzerland, 1998. Available online: https://www.iso.org/obp/ui/#iso:std:iso:9241:-11:ed-1:v1:en (accessed on 20 May 2024).
- Iwarsson, S.; Ståhl, A. Accessibility, usability and universal design—Positioning and definition of concepts describing person-environment relationships. Disabil. Rehabil. 2003, 25, 57–66. [Google Scholar] [CrossRef]
- Rimmer, J.H.; Riley, B.; Wang, E.; Rauworth, A.; Jurkowski, J. Physical activity participation among persons with disabilities: Barriers and facilitators. Am. J. Prev. Med. 2004, 26, 419–425. [Google Scholar] [CrossRef] [PubMed]
- Rosenberg, D.E.; Huang, D.L.; Simonovich, S.D.; Belza, B. Outdoor built environment barriers and facilitators to activity among midlife and older adults with mobility disabilities. Gerontol. 2013, 53, 268–279. [Google Scholar] [CrossRef] [PubMed]
- Eisenberg, Y.; Heider, A.; Gould, R.; Jones, R. Are communities in the United States planning for pedestrians with disabilities? Findings from a systematic evaluation of local government barrier removal plans. Cities 2020, 102, 102720. [Google Scholar] [CrossRef]
- Zahari, N.F.; Ani, A.I.C.; Rashid, R.A.; Hashim, H.; Taharuddin, N.S. Disabled Independent Living: From the Perspectives of Built Environment. Idealogy J. 2020, 5, 107–112. [Google Scholar] [CrossRef]
- Kirchner, C.E.; Gerber, E.G.; Smith, B.C. Designed to deter: Community barriers to physical activity for people with visual or motor impairments. Am. J. Prev. Med. 2008, 34, 349–352. [Google Scholar] [CrossRef] [PubMed]
- Hammel, J.; Magasi, S.; Heinemann, A.; Gray, D.B.; Stark, S.; Kisala, P.; Carlozzi, N.E.; Tulsky, D.; Garcia, S.F.; Hahn, E.A. Environmental barriers and supports to everyday participation: A qualitative insider perspective from people with disabilities. Arch. Phys. Med. Rehabil. 2015, 96, 578–588. [Google Scholar] [CrossRef] [PubMed]
- Henly, M.; Brucker, D.L. Transportation patterns demonstrate inequalities in community participation for working-age Americans with disabilities. Transp. Res. Part A Policy Pract. 2019, 130, 93–106. [Google Scholar] [CrossRef]
- Hwang, J. A factor analysis for identifying people with disabilities’ mobility issues in built environments. Transportation Res. Part F Traffic Psychol. Behav. 2022, 88, 122–131. [Google Scholar] [CrossRef]
- Shen, X.; Zheng, S.; Wang, R.; Li, Q.; Xu, Z.; Wang, X.; Wu, J. Disabled travel and urban environment: A literature review. Transp. Res. Part D Transp. Environ. 2023, 115, 103589. [Google Scholar] [CrossRef]
- Danford, G.S.; Grimble, M.; Maisel, J.L. Benchmarking the Effectiveness of Universal Designs. In The State of the Science in Universal Design: Emerging Research and Developments; Bentham Science Publishers: Sharjah, United Arab Emirates, 2010; pp. 47–56. [Google Scholar]
- Alyami, S.H.; Rezgui, Y. Sustainable building assessment tool development approach. Sustain. Cities Soc. 2012, 5, 52–62. [Google Scholar] [CrossRef]
- Center for Inclusive Design and Environmental Access, University at Buffalo. Innovative Solutions for Universal Design (isUD). Available online: https://www.thisisud.com/ (accessed on 18 May 2024).
- Meshur, H.F.A. Accessibility for people with disabilities in urban spaces: A case study of Ankara, Turkey. ArchNet-IJAR Int. J. Archit. Res. 2013, 7, 43. [Google Scholar]
- Morgan, D.L. Focus Groups as Qualitative Research, 2nd ed.; Sage Publications, Inc.: Thousand Oaks, CA, USA, 1997. [Google Scholar]
- Portney, L.G.; Watkins, M.P. Foundations of Clinical Research: Application to Practice; Pearson/Prentice Hall: Hoboken, NJ, USA, 2009. [Google Scholar]
- Liao, T.F. Interpreting Probability Models: Logit, Probit, and Other Generalized Linear Models (No. 101); Sage: Los Angeles, CA, USA, 1994. [Google Scholar]
- Oswald, F.; Wahl, H.W.; Schilling, O.; Nygren, C.; Fänge, A.; Sixsmith, A.; Sixsmith, J.; Széan, Z.; Tomsone, S.; Iwarsson, S. Relationships between housing and healthy aging in very old age. Gerontologist 2007, 47, 96–107. [Google Scholar] [CrossRef] [PubMed]
- Yen, I.H.; Michael, Y.L.; Perdue, L. Neighborhood environment in studies of health of older adults: A systematic review. Am. J. Prev. Med. 2009, 37, 455–463. [Google Scholar] [CrossRef] [PubMed]



| Variables | Definition | Mean (M-CURB/ M-SIGNAL/ M-CWALK) | Std Dev (M-CURB/ M-SIGNAL/ M-CWALK) | No. Obs (M-CURB/ M-SIGNAL/ M-CWALK) | Notes |
|---|---|---|---|---|---|
| Dependent Variable | |||||
| CURB | Categorical variable measuring a problem performing activities using curb ramps, 1 = Always, 2 = Sometimes, 3 = Never | 2.54 | 0.59 | 478 | M-CURB |
| SIGNAL | Categorical variable measuring a problem performing activities using pedestrian traffic signals, 1 = Always, 2 = Sometimes, 3 = Never | 2.48 | 0.62 | 482 | M-SIGNAL |
| CROSSWALK | Categorical variable measuring a problem performing activities using street crosswalks, 1 = Always, 2 = Sometimes, 3 = Never | 2.58 | 0.58 | 478 | M-CWALK |
| Independent Variables | |||||
| SEX | Respondent’s sex, 0 = Female, 1 = Male | 0.33/0.33/0.33 | 0.47/0.47/0.47 | 478/482/478 | All Models |
| MEDIAN_AGE | The median age of respondents from 14 categories (years) | 45.15/45.29/45.13 | 15.75/15.78/15.72 | 478/482/478 | All Models |
| AGE_SQ | Square of respondent’s median age (years) | 2286/2300/2283 | 1438/1444/1433 | 478/482/478 | All Models |
| INCOME_MD | Categorical variable describing annual household income level, 1 = if income is between USD 25,000 and USD 74,999; otherwise = 0 | 0.34/0.34/0.34 | 0.47/0.47/0.47 | 478/482/478 | All Models |
| INCOME_HG | Categorical variable describing annual household income level, 1 = if income is USD 75,000 or more; otherwise = 0 | 0.28/0.28/0.28 | 0.45/0.45/0.45 | 478/482/478 | All Models |
| INCOME_DN | Categorical variable describing annual household income level not reported, 1 = if prefer not to answer, don’t know, or not answered; otherwise = 0 | 0.13/0.13/0.13 | 0.33/0.33/0.33 | 478/482/478 | All Models |
| H_TYPE | Dichotomous variable describing the type of housing, 1 = if single-family house; otherwise (multi-family house, apartment, condo, townhouse, mobile home, or missing value) = 0 | 0.58/0.57/0.58 | 0.49/0.49/0.49 | 478/482/478 | All Models |
| ARM_AL | Categorical variable measuring how often mobility of arms/hands conditions affect the ability to perform routine activities, 1 = Always; otherwise = 0 | 0.17/0.16/0.16 | 0.37/0.37/0.37 | 478/482/478 | Model 1 |
| ARM_ST | Categorical variable measuring how often mobility of arms/hands conditions affect ability to perform routine activities, 1 = Sometimes; otherwise = 0 | 0.27/0.27/0.27 | 0.44/0.44/0.44 | 478/482/478 | Model 1 |
| LEG_AL | Categorical variable measuring how often mobility of legs/feet conditions affect ability to perform routine activities, 1 = Always; otherwise = 0 | 0.32/0.32/0.32 | 0.47/0.47/0.47 | 478/482/478 | Model 2 |
| LEG_ST | Categorical variable measuring how often mobility of legs/feet conditions affect ability to perform routine activities, 1 = Sometimes; otherwise = 0 | 0.2/0.2/0.2 | 0.4/0.4/0.4 | 478/482/478 | Model 2 |
| BACK_AL | Categorical variable measuring how often mobility of back/neck conditions affect ability to perform routine activities, 1 = Always; otherwise = 0 | 0.13/0.13/0.13 | 0.34/0.34/0.34 | 478/482/478 | Model 3 |
| BACK_ST | Categorical variable measuring how often mobility of back/neck conditions affect ability to perform routine activities, 1 = Sometimes; otherwise = 0 | 0.33/0.33/0.33 | 0.47/0.47/0.47 | 478/482/478 | Model 3 |
| HEAR_AL | Categorical variable measuring how often hearing conditions affect ability to perform routine activities, 1 = Always; otherwise = 0 | 0.12/0.12/0.12 | 0.33/0.33/0.32 | 478/482/478 | Model 4 |
| HEAR_ ST | Categorical variable measuring how often hearing conditions affect ability to perform routine activities, 1 = Sometimes; otherwise = 0 | 0.23/0.24/0.23 | 0.42/0.43/0.42 | 478/482/478 | Model 4 |
| SIGHT_AL | Categorical variable measuring how often sight conditions affect ability to perform routine activities, 1 = Always; otherwise = 0 | 0.14/0.15/0.15 | 0.35/0.35/0.35 | 478/482/478 | Model 5 |
| SIGHT_ST | Categorical variable measuring how often sight conditions affect ability to perform routine activities, 1 = Sometimes; otherwise = 0 | 0.25/0.25/0.25 | 0.44/0.43/0.43 | 478/482/478 | Model 5 |
| MENTAL_AL | Categorical variable measuring how often mental and/or cognitive conditions affect ability to perform routine activities, 1 = Always; otherwise = 0 | 0.05/0.05/0.04 | 0.21/0.21/0.21 | 478/482/478 | Model 6 |
| MENTAL_ ST | Categorical variable measuring how often mental and/or cognitive conditions affect ability to perform routine activities, 1 = Sometimes; otherwise = 0 | 0.13/0.13/0.13 | 0.33/0.34/0.33 | 478/482/478 | Model 6 |
| OTHER_AL | Categorical variable measuring how often other health conditions affect ability to perform routine activities, 1 = Always; otherwise = 0 | 0.11/0.11/0.11 | 0.31/0.31/0.31 | 478/482/478 | Model 7 |
| OTHER_ ST | Categorical variable measuring how often other health conditions affect ability to perform routine activities, 1 = Sometimes; otherwise = 0 | 0.22/0.22/0.22 | 0.41/0.42/0.41 | 478/482/478 | Model 7 |
| Probabilities of Problematic Performance | ||||
|---|---|---|---|---|
| Always | Sometimes | Never | ||
| Health Condition (Individual Selection) | Ph (Always) | Ph (Sometimes) | Ph (Never) | |
| Health Condition | Always | P11 | P12 | P13 |
| Sometimes | P21 | P22 | P23 | |
| Never | P31 | P32 | P33 | |
| Model 1 | Model 2 | Model 3 | Model 4 | Model 5 | Model 6 | Model 7 | ||
|---|---|---|---|---|---|---|---|---|
| Level | Est. Coef. | Est. Coef. | Est. Coef. | Est. Coef. | Est. Coef. | Est. Coef. | Est. Coef. | |
| Intercept | 1 | −6.214 *** | −7.419 ** | −6.709 ** | −6.087 ** | −6.522 ** | −6.492 ** | −5.605 ** |
| 2 | −6.076 *** | −6.204 *** | −6.114 *** | −6.183 *** | −6.505 *** | −6.415 *** | −6.383 *** | |
| median_age | 1 | 0.126 | 0.110 | 0.147 | 0.172 | 0.177 | 0.177 | 0.129 |
| 2 | 0.227 *** | 0.231 *** | 0.233 *** | 0.257 *** | 0.262 *** | 0.268 *** | 0.262 *** | |
| age_SQ | 1 | −0.001 | −0.001 | −0.001 | −0.002 | −0.002 | −0.002 | −0.001 |
| 2 | −0.002 *** | −0.002 *** | −0.002 *** | −0.002 *** | −0.003 *** | −0.003 *** | −0.003 *** | |
| Sex | 1 | −1.773 * | −1.872 * | −1.634 * | −1.697 * | −1.568 * | −1.588 * | −1.696 * |
| 2 | 0.065 | −0.101 | 0.069 | −0.040 | 0.100 | 0.067 | 0.083 | |
| income_md | 1 | −0.757 | −0.877 | −0.573 | −0.835 | −0.910 | −0.923 | −0.595 |
| 2 | −0.127 | −0.167 | −0.082 | −0.151 | −0.240 | −0.226 | −0.188 | |
| income_hg | 1 | −2.786 * | −2.751 * | −2.655 * | −3.238 ** | −3.154 ** | −2.989 ** | −2.850 * |
| 2 | −0.429 | −0.395 | −0.475 | −0.725 * | −0.685 * | −0.755 * | −0.669 * | |
| income_dn | 1 | 0.091 | 0.249 | 0.069 | −0.350 | −0.395 | −0.269 | −0.079 |
| 2 | −0.626 | −0.576 | −0.715 | −0.794 * | −0.906 * | −0.940 * | −0.878 * | |
| h_type | 1 | 0.867 | 1.016 | 1.041 | 0.994 | 1.095 * | 0.894 | 1.102 * |
| 2 | −0.142 | −0.126 | −0.097 | −0.100 | 0.002 | −0.075 | −0.085 | |
| HC_al | 1 | 2.913 *** | 4.501 *** | 2.846 *** | −0.509 | 1.486 * | 1.911 ** | 1.601 ** |
| 2 | 1.480 *** | 1.923 *** | 1.371 *** | −1.015 ** | 1.160 *** | −0.007 | 0.202 | |
| HC_st | 1 | 1.111 | 2.019 | 0.752 | −0.051 | 0.338 | 0.408 | 0.342 |
| 2 | 0.893 *** | 0.190 | 0.541 * | −0.188 | 0.005 | −0.218 | 0.078 | |
| No. Obs | 478 | 478 | 478 | 478 | 478 | 478 | 478 | |
| −2LL | 658.114 | 611.532 | 670.647 | 695.371 | 686.464 | 695.380 | 697.279 | |
| Model 1 | Model 2 | Model 3 | Model 4 | Model 5 | Model 6 | Model 7 | ||
|---|---|---|---|---|---|---|---|---|
| Level | Est. Coef. | Est. Coef. | Est. Coef. | Est. Coef. | Est. Coef. | Est. Coef. | Est. Coef. | |
| Intercept | 1 | −3.981 * | −3.889 * | −4.076 | −3.992 * | −4.339 * | −4.183 * | −3.974 * |
| 2 | −2.859 *** | −2.747 ** | −2.818 *** | −2.586 ** | −2.869 *** | −2.981 *** | −2.981 *** | |
| median_age | 1 | 0.066 | 0.063 | 0.071 | 0.073 | 0.053 | 0.082 | 0.064 |
| 2 | 0.098 * | 0.091 * | 0.095 * | 0.089 * | 0.091 * | 0.106 ** | 0.104 ** | |
| age_SQ | 1 | −0.0004 | −0.0003 | −0.0004 | −0.0004 | −0.0003 | −0.001 | −0.0004 |
| 2 | −0.001 | −0.001 | −0.001 | −0.001 | −0.001 | −0.001 * | −0.001 * | |
| Sex | 1 | −0.823 | −0.830 | −0.770 | −0.838 | −0.715 | −0.710 | −0.713 |
| 2 | 0.100 | 0.059 | 0.083 | −0.124 | 0.093 | 0.076 | 0.087 | |
| income_md | 1 | −0.120 | −0.142 | −0.094 | −0.147 | −0.349 | −0.187 | −0.107 |
| 2 | 0.261 | 0.268 | 0.264 | 0.345 | 0.235 | 0.280 | 0.260 | |
| income_hg | 1 | −0.699 | −0.683 | −0.682 | −0.902 | −0.751 | −0.812 | −0.674 |
| 2 | −0.470 | −0.452 | −0.481 | −0.571 | −0.483 | −0.467 | −0.457 | |
| income_dn | 1 | 0.099 | 0.084 | 0.090 | 0.008 | 0.005 | −0.015 | 0.076 |
| 2 | −0.418 | −0.383 | −0.433 | −0.351 | −0.451 | −0.427 | −0.453 | |
| h_type | 1 | −0.138 | −0.050 | −0.028 | −0.017 | 0.231 | −0.042 | −0.010 |
| 2 | −0.126 | −0.145 | −0.134 | −0.129 | −0.036 | −0.157 | −0.143 | |
| HC_al | 1 | 0.926 | 0.609 | 0.697 | −0.750 | 2.971 *** | 0.303 | 0.657 |
| 2 | 0.106 | 0.378 | 0.147 | −1.545 *** | 1.534 *** | 0.111 | 0.127 | |
| HC_st | 1 | 0.010 | −0.831 | −0.179 | 0.183 | 0.319 | 0.170 | 0.445 |
| 2 | 0.305 | 0.346 | 0.350 | 0.081 | 0.371 | 0.259 | 0.454 | |
| No. Obs | 482 | 482 | 482 | 482 | 482 | 482 | 482 | |
| −2LL | 805.663 | 802.823 | 806.093 | 791.465 | 763.376 | 810.976 | 807.126 | |
| Model 1 | Model 2 | Model 3 | Model 4 | Model 5 | Model 6 | Model 7 | ||
|---|---|---|---|---|---|---|---|---|
| Level | Est. Coef. | Est. Coef. | Est. Coef. | Est. Coef. | Est. Coef. | Est. Coef. | Est. Coef. | |
| Intercept | 1 | −5.842 ** | −5.749 ** | −6.031 ** | −6.141 ** | −6.513 ** | −6.193 ** | −6.007 ** |
| 2 | −4.735 *** | −4.681 *** | −4.728 *** | −4.855 *** | −5.071 *** | −5.044 *** | −5.092 *** | |
| median_age | 1 | 0.130 | 0.120 | 0.148 | 0.154 | 0.152 | 0.149 | 0.134 |
| 2 | 0.173 *** | 0.166 *** | 0.170 *** | 0.194 *** | 0.195 *** | 0.203 *** | 0.203 *** | |
| age_SQ | 1 | −0.001 | −0.001 | −0.001 | −0.001 | −0.001 | −0.001 | −0.001 |
| 2 | −0.002 ** | −0.002 ** | −0.002 ** | −0.002 *** | −0.002 *** | −0.002 *** | −0.002 *** | |
| Sex | 1 | −0.621 | −0.567 | −0.488 | −0.482 | −0.437 | −0.399 | −0.404 |
| 2 | −0.275 | −0.357 | −0.269 | −0.368 | −0.244 | −0.272 | −0.247 | |
| income_md | 1 | −0.572 | −0.653 | −0.632 | −0.727 | −0.842 | −0.653 | −0.634 |
| 2 | −0.120 | −0.138 | −0.051 | −0.146 | −0.232 | −0.180 | −0.201 | |
| income_hg | 1 | −2.112 * | −2.117 * | −2.223 * | −2.367 ** | −2.304 ** | −2.128 * | −2.080 * |
| 2 | −1.096 *** | −1.082 ** | −1.053 ** | −1.311 *** | −1.286 *** | −1.285 *** | −1.268 *** | |
| income_dn | 1 | 0.041 | 0.048 | −0.117 | −0.234 | −0.159 | −0.066 | −0.082 |
| 2 | −0.497 | −0.465 | −0.510 | −0.609 | −0.686 | −0.689 | −0.707 | |
| h_type | 1 | 0.124 | 0.251 | 0.295 | 0.304 | 0.454 | 0.196 | 0.292 |
| 2 | −0.139 | −0.122 | −0.110 | −0.087 | 0.011 | −0.090 | −0.096 | |
| HC_al | 1 | 1.468 ** | 1.255 * | 0.603 | −0.037 | 2.139 *** | 0.799 | 0.723 |
| 2 | 0.985 ** | 1.242 *** | 1.142 *** | −0.824 * | 1.201 *** | −0.328 | −0.036 | |
| HC_st | 1 | −0.120 | −0.036 | −0.208 | 0.356 | 0.034 | 0.624 | 0.920 |
| 2 | 0.557 * | 0.340 | 0.520 * | −0.068 | 0.093 | 0.015 | 0.242 | |
| No. Obs | 478 | 478 | 478 | 478 | 478 | 478 | 478 | |
| −2LL | 675.669 | 664.896 | 679.119 | 687.311 | 668.709 | 691.077 | 689.565 | |
| Health Condition | |||||||||
|---|---|---|---|---|---|---|---|---|---|
| Arms | Legs | Back | Hearing | Vision | Mental | Other | |||
| Mean PPV Score | Activities | Curb | 0.169 | 0.162 | 0.165 | 0.095 | 0.161 | 0.124 | 0.135 |
| Signal | 0.133 | 0.139 | 0.133 | 0.086 | 0.171 | 0.137 | 0.136 | ||
| Crosswalk | 0.126 | 0.123 | 0.132 | 0.082 | 0.131 | 0.092 | 0.103 | ||
| Median PPV Score | Activities | Curb | 0.162 | 0.151 | 0.169 | 0.097 | 0.173 | 0.129 | 0.142 |
| Signal | 0.119 | 0.124 | 0.119 | 0.074 | 0.150 | 0.123 | 0.119 | ||
| Crosswalk | 0.106 | 0.110 | 0.112 | 0.056 | 0.103 | 0.060 | 0.075 | ||
Disclaimer/Publisher’s Note: The statements, opinions and data contained in all publications are solely those of the individual author(s) and contributor(s) and not of MDPI and/or the editor(s). MDPI and/or the editor(s) disclaim responsibility for any injury to people or property resulting from any ideas, methods, instructions or products referred to in the content. |
© 2024 by the authors. Licensee MDPI, Basel, Switzerland. This article is an open access article distributed under the terms and conditions of the Creative Commons Attribution (CC BY) license (https://creativecommons.org/licenses/by/4.0/).
Share and Cite
Choi, J.; Park, J. Developing Problematic Performance Value Scores: Binding Routine Activity Performance, Environmental Barriers, and Health Conditions. Int. J. Environ. Res. Public Health 2024, 21, 764. https://doi.org/10.3390/ijerph21060764
Choi J, Park J. Developing Problematic Performance Value Scores: Binding Routine Activity Performance, Environmental Barriers, and Health Conditions. International Journal of Environmental Research and Public Health. 2024; 21(6):764. https://doi.org/10.3390/ijerph21060764
Chicago/Turabian StyleChoi, Jimin, and JiYoung Park. 2024. "Developing Problematic Performance Value Scores: Binding Routine Activity Performance, Environmental Barriers, and Health Conditions" International Journal of Environmental Research and Public Health 21, no. 6: 764. https://doi.org/10.3390/ijerph21060764
APA StyleChoi, J., & Park, J. (2024). Developing Problematic Performance Value Scores: Binding Routine Activity Performance, Environmental Barriers, and Health Conditions. International Journal of Environmental Research and Public Health, 21(6), 764. https://doi.org/10.3390/ijerph21060764

