The Impact of the COVID-19 Pandemic: A Longitudinal Analysis of Body Weight Variations and Their Implications for Daily Habits
Abstract
1. Introduction
2. Methods
2.1. Variation in Weight and Nutritional Status
2.2. Lifestyle Habits
2.3. Dietary Habits
2.4. Eating Behavior
2.5. Perceived Stress
2.6. Data Analysis
3. Results
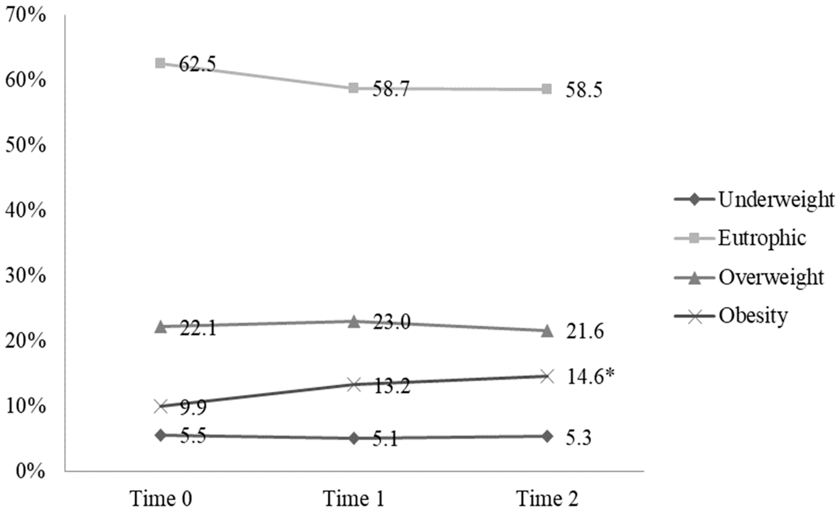
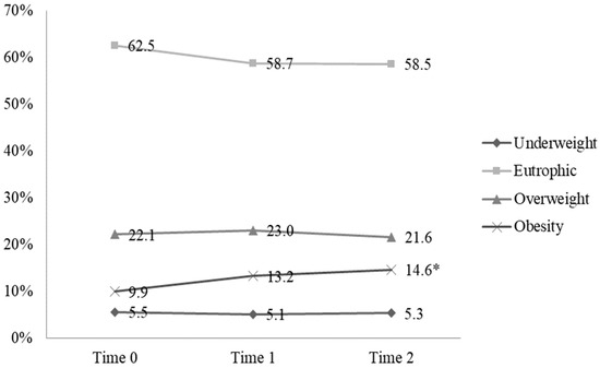
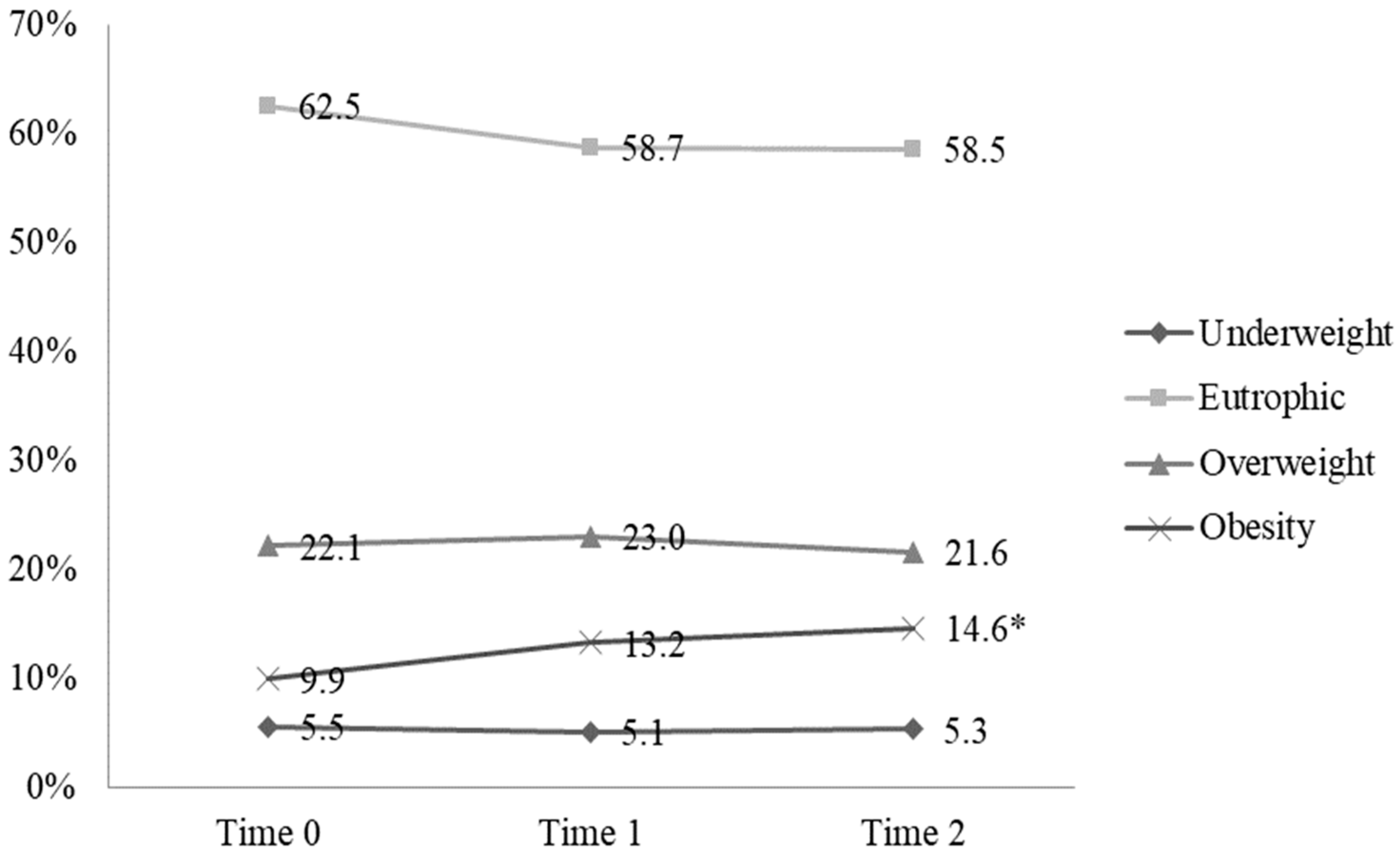
3.1. Variations in Weight, BMI, and Weight Change Classification During the Pandemic
3.2. Influence of Variables on Weight Variations at the Pandemic’s Onset
3.3. Changes in Lifestyle and Dietary Habits, Eating Behavior, and Perceived Stress over Eight to Nine Months During the Pandemic Based on Body Weight Variations
4. Discussion
5. Conclusions
Supplementary Materials
Author Contributions
Funding
Institutional Review Board Statement
Informed Consent Statement
Data Availability Statement
Conflicts of Interest
References
- Sawicka, B.; Aslan, I.; Della Corte, V.; Periasamy, A.; Krishnamurthy, S.K.; Mohammed, A.; Tolba Said, M.M.; Saravanan, P.; Del Gaudio, G.; Adom, D.; et al. The Coronavirus Global Pandemic and Its Impacts on Society. In Coronavirus Drug Discovery; Elsevier: Amsterdam, The Netherlands, 2022; pp. 267–311. [Google Scholar]
- Gallè, F.; Sabella, E.A.; Da Molin, G.; De Giglio, O.; Caggiano, G.; Di Onofrio, V.; Ferracuti, S.; Montagna, M.T.; Liguori, G.; Orsi, G.B.; et al. Understanding Knowledge and Behaviors Related to COVID−19 Epidemic in Italian Undergraduate Students: The Epico Study. Int. J. Environ. Res. Public Health 2020, 17, 3481. [Google Scholar] [CrossRef]
- de Souza, W.M.; Buss, L.F.; Candido, D.d.S.; Carrera, J.P.; Li, S.; Zarebski, A.E.; Pereira, R.H.M.; Prete, C.A.; de Souza-Santos, A.A.; Parag, K.V.; et al. Epidemiological and Clinical Characteristics of the COVID-19 Epidemic in Brazil. Nat. Hum. Behav. 2020, 4, 856–865. [Google Scholar] [CrossRef]
- Chiesa, V.; Antony, G.; Wismar, M.; Rechel, B. COVID-19 Pandemic: Health Impact of Staying at Home, Social Distancing and ‘Lockdown’ Measures—A Systematic Review of Systematic Reviews. J. Public Health 2021, 43, e462–e481. [Google Scholar] [CrossRef]
- Nawaz, S.; Bhowmik, J.; Linden, T.; Mitchell, M. Adapting to the New Normal: Understanding the Impact of COVID-19 on Technology Usage and Human Behaviour. Entertain. Comput. 2024, 51, 100726. [Google Scholar] [CrossRef]
- Haug, N.; Geyrhofer, L.; Londei, A.; Dervic, E.; Desvars-Larrive, A.; Loreto, V.; Pinior, B.; Thurner, S.; Klimek, P. Ranking the Effectiveness of Worldwide COVID-19 Government Interventions. Nat. Hum. Behav. 2020, 4, 1303–1312. [Google Scholar] [CrossRef]
- Brasil, M.d.S. Boletim Epidemiológico Especial. Doença Pelo Coronavírus. No 60. Sem. Epidemiológica 2021, 46, 11. [Google Scholar]
- Fernandez-Rio, J.; Cecchini, J.A.; Mendez-Gimenez, A.; Carriedo, A. Weight Changes during the COVID-19 Home Confinement. Effects on Psychosocial Variables. Obes. Res. Clin. Pr. 2020, 14, 383–385. [Google Scholar] [CrossRef]
- Sidor, A.; Rzymski, P. Dietary Choices and Habits during COVID-19 Lockdown: Experience from Poland. Nutrients 2020, 12, 1657. [Google Scholar] [CrossRef]
- Bhutani, S.; Vandellen, M.R.; Cooper, J.A. Longitudinal Weight Gain and Related Risk Behaviors during the COVID-19 Pandemic in Adults in the US. Nutrients 2021, 13, 671. [Google Scholar] [CrossRef]
- de Melo Souza, T.C.; Liboredo, J.C.; Ferreira, L.G.; Daniel, M.M.; Di Renzo, L.; Pivari, F.; Anastácio, L.R. Daily Habits of Brazilians at Different Moments of the COVID-19 Pandemic. Nutrients 2022, 14, 5136. [Google Scholar] [CrossRef]
- Daniel, M.M.; Liboredo, J.C.; Anastácio, L.R.; Souza, T.C.d.M.; Oliveira, L.A.; Della Lucia, C.M.; Ferreira, L.G. Incidence and Associated Factors of Weight Gain During the Covid-19 Pandemic. Front. Nutr. 2022, 9, 818632. [Google Scholar] [CrossRef]
- Di Renzo, L.; Gualtieri, P.; Pivari, F.; Soldati, L.; Attinà, A.; Cinelli, G.; Cinelli, G.; Leggeri, C.; Caparello, G.; Barrea, L.; et al. Eating Habits and Lifestyle Changes during COVID-19 Lockdown: An Italian Survey. J. Transl. Med. 2020, 18, 229. [Google Scholar] [CrossRef]
- Herle, M.; Smith, A.D.; Bu, F.; Steptoe, A.; Fancourt, D. Trajectories of Eating Behavior during COVID-19 Lockdown: Longitudinal Analyses of 22,374 Adults. Clin. Nutr. ESPEN 2021, 42, 158–165. [Google Scholar] [CrossRef]
- Costa, C.d.S.; Steele, E.M.; Leite, M.A.; Rauber, F.; Levy, R.B.; Monteiro, C.A. Mudanças No Peso Corporal Na Coorte NutriNet Brasil Durante a Pandemia de Covid-19. Rev. Saude Publica 2021, 55, 1. [Google Scholar] [CrossRef]
- Bakaloudi, D.R.; Barazzoni, R.; Bischoff, S.C.; Breda, J.; Wickramasinghe, K.; Chourdakis, M. Impact of the First COVID-19 Lockdown on Body Weight: A Combined Systematic Review and a Meta-Analysis. Clin. Nutr. 2022, 41, 3046–3054. [Google Scholar] [CrossRef]
- Sideli, L.; Lo Coco, G.; Bonfanti, R.C.; Borsarini, B.; Fortunato, L.; Sechi, C.; Micali, N. Effects of COVID-19 Lockdown on Eating Disorders and Obesity: A Systematic Review and Meta-analysis. Eur. Eat. Disord. Rev. 2021, 29, 826–841. [Google Scholar] [CrossRef]
- Baltar, F.; Brunet, I. Social Research 2.0: Virtual Snowball Sampling Method Using Facebook. Internet Res. 2012, 22, 57–74. [Google Scholar] [CrossRef]
- Scarmozzino, F.; Visioli, F. COVID-19 and the Subsequent Lockdown Modified Dietary Habits of Almost Half the Population in an Italian Sample. Foods 2020, 9, 675. [Google Scholar] [CrossRef]
- Brasil, M.d.S. Vigitel Brasil 2019: Vigilância De Fatores De Risco E Proteção Para Doenças Crônicas Por Inquérito Telefônico Estimativas; Ministério da Saúde: Brasília, Brazil, 2020; ISBN 9788533427655.
- World Health Organization (WHO). Physical Status: The Use of and Interpretation of Anthropometry: Report of a WHO Expert Committee; World Health Organization (WHO): Geneva, Switzerland, 1995; p. 463. [Google Scholar]
- Liboredo, J.C.; Anastácio, L.R.; Ferreira, L.G.; Oliveira, L.A.; Della Lucia, C.M. Quarantine During COVID-19 Outbreak: Eating Behavior, Perceived Stress, and Their Independently Associated Factors in a Brazilian Sample. Front. Nutr. 2021, 8, 704619. [Google Scholar] [CrossRef]
- Brasil, M.d.S. Orientações Para Avaliação De Marcadores De Consumo Alimentar Na Atenção Básica; Ministério da Saúde: Brasília, Brazil, 2015.
- Monteiro, C.A.; Cannon, G.; Levy, R.B.; Moubarac, J.C.; Louzada, M.L.C.; Rauber, F.; Khandpur, N.; Cediel, G.; Neri, D.; Martinez-Steele, E.; et al. Ultra-Processed Foods: What They Are and How to Identify Them. Public Health Nutr. 2019, 22, 936–941. [Google Scholar] [CrossRef]
- Natacci, L.C.; Ferreira Júnior, M. The Three Factor Eating Questionnaire—R21: Tradução Para o Português e Aplicação Em Mulheres Brasileiras. Rev. Nutr. 2011, 24, 383–394. [Google Scholar] [CrossRef]
- Siqueira Reis, R.; Ferreira Hino, A.A.; RomÉlio Rodriguez AÑez, C. Perceived Stress Scale: Reliability and Validity Study in Brazil. J. Health Psychol. 2010, 15, 107–114. [Google Scholar] [CrossRef] [PubMed]
- Cohen, J. Statistical Power Analysis for the Behavioural Sciences; Hillside: Hong Kong, China; Lawrence Earlbaum Associates: Mahwah, NJ, USA, 1988. [Google Scholar]
- Dicken, S.J.; Mitchell, J.J.; Le Vay, J.N.; Beard, E.; Kale, D.; Herbec, A.; Shahab, L. Impact of COVID-19 Pandemic on Weight and Bmi among UK Adults: A Longitudinal Analysis of Data from the Hebeco Study. Nutrients 2021, 13, 2911. [Google Scholar] [CrossRef] [PubMed]
- Ismail, L.C.; Osaili, T.M.; Mohamad, M.N.; Marzouqi, A.A.; Jarrar, A.H.; Jamous, D.O.A.; Magriplis, E.; Ali, H.I.; Sabbah, H.A.; Hasan, H.; et al. Eating Habits and Lifestyle during Covid-19 Lockdown in the United Arab Emirates: A Cross-Sectional Study. Nutrients 2020, 12, 3314. [Google Scholar] [CrossRef]
- Cancello, R.; Soranna, D.; Zambra, G.; Zambon, A.; Invitti, C. Determinants of the Lifestyle Changes during COVID-19 Pandemic in the Residents of Northern Italy. Int. J. Environ. Res. Public Health 2020, 17, 6287. [Google Scholar] [CrossRef]
- López-Moreno, M.; López, M.T.I.; Miguel, M.; Garcés-Rimón, M. Physical and Psychological Effects Related to Food Habits and Lifestyle Changes Derived from COVID-19 Home Confinement in the Spanish Population. Nutrients 2020, 12, 3445. [Google Scholar] [CrossRef]
- Ministério Da Saúde. Vigitel Brasil 2021—Estimativas Sobre Frequência E Distribuição Sociodemográfica De Fatores De Risco E Proteção Para Doenças Crônicas; Ministério Da Saúde: Brasília, Brazil, 2021.
- Lim, S.; Shin, S.M.; Nam, G.E.; Jung, C.H.; Koo, B.K. Proper Management of People with Obesity during the COVID-19 Pandemic. J. Obes. Metab. Syndr. 2020, 29, 84–98. [Google Scholar] [CrossRef]
- De Nucci, S.; Zupo, R.; Castellana, F.; Sila, A.; Triggiani, V.; Lisco, G.; De Pergola, G.; Sardone, R. Public Health Response to the SARS-CoV-2 Pandemic: Concern about Ultra-Processed Food Consumption. Foods 2022, 11, 950. [Google Scholar] [CrossRef]
- Horta, P.M.; Matos, J.D.P.; Mendes, L.L. Food Promoted on an Online Food Delivery Platform in a Brazilian Metropolis during the Coronavirus Disease (COVID-19) Pandemic: A Longitudinal Analysis. Public Health Nutr. 2022, 25, 1336–1345. [Google Scholar] [CrossRef]
- Rose, N.; Koperski, S.; Golomb, B.A. Mood Food: Chocolate and Depressive Symptoms in a Cross-Sectional Analysis. Arch. Intern. Med. 2010, 170, 699–703. [Google Scholar] [CrossRef]
- Grant, F.; Scalvedi, M.L.; Scognamiglio, U.; Turrini, A.; Rossi, L. Eating Habits during the Covid-19 Lockdown in Italy: The Nutritional and Lifestyle Side Effects of the Pandemic. Nutrients 2021, 13, 2279. [Google Scholar] [CrossRef] [PubMed]
- de Souza Cunha, C.; Haikal, D.S.A.; Silva, R.R.V.; de Pinho, L.; das Graças Pena, G.; Bicalho, A.H.; de Souza Costa Sobrinho, P.; Nobre, L.N. Association between Lifestyle and Emotional Aspects of Food Consumption during the COVID-19 Pandemic. Nutr. Metab. Cardiovasc. Dis. 2022, 32, 734–742. [Google Scholar] [CrossRef] [PubMed]
- Arora, T.; Grey, I. Health Behaviour Changes during COVID-19 and the Potential Consequences: A Mini-Review. J. Health Psychol. 2020, 25, 1155–1163. [Google Scholar] [CrossRef] [PubMed]
- Aguiar, I.P.; Catarina, V.S.; Almeida, S.G.d.O. Comportamento Alimentar e Os Desdobramentos Da Depressão. Res. Soc. Dev. 2022, 11, e2411931434. [Google Scholar] [CrossRef]
- Sadler, J.R.; Thapaliya, G.; Jansen, E.; Aghababian, A.H.; Smith, K.R.; Carnell, S. Covid-19 Stress and Food Intake: Protective and Risk Factors for Stress-Related Palatable Food Intake in U.S. Adults. Nutrients 2021, 13, 901. [Google Scholar] [CrossRef]
- Gorrell, S.; Walker, D.C.; Anderson, D.A.; Boswell, J.F. Gender Differences in Relations between Alcohol-Related Compensatory Behavior and Eating Pathology. Eat. Weight Disord. 2019, 24, 715–721. [Google Scholar] [CrossRef]
- Malta, D.C.; Szwarcwald, C.L.; Barros, M.B.d.A.; Gomes, C.S.; Machado, Í.E.; Souza Júnior, P.R.B.d.; Romero, D.E.; Lima, M.G.; Damacena, G.N.; Pina, M.d.F.; et al. A Pandemia Da COVID-19 e as Mudanças No Estilo de Vida Dos Brasileiros Adultos: Um Estudo Transversal, 2020. Epidemiol. E Serviços Saúde 2020, 29, e2020407. [Google Scholar] [CrossRef]
- Pitanga, F.J.G.; Beck, C.C.; Pitanga, C.P.S. Inatividade Física, Obesidade e COVID-19: Perspectivas Entre Múltiplas Pandemias. Rev. Bras. De Atividade Física Saúde 2020, 25, e0114. [Google Scholar] [CrossRef]
- Khan, M.A.B.; Menon, P.; Govender, R.; Abu Samra, A.M.B.; Allaham, K.K.; Nauman, J.; Östlundh, L.; Mustafa, H.; Smith, J.E.M.; AlKaabi, J.M. Systematic Review of the Effects of Pandemic Confinements on Body Weight and Their Determinants. Br. J. Nutr. 2022, 127, 298–317. [Google Scholar] [CrossRef]
- Bull, F.C.; Al-Ansari, S.S.; Biddle, S.; Borodulin, K.; Buman, M.P.; Cardon, G.; Carty, C.; Chaput, J.P.; Chastin, S.; Chou, R.; et al. World Health Organization 2020 Guidelines on Physical Activity and Sedentary Behaviour. Br. J. Sports Med. 2020, 54, 1451–1462. [Google Scholar] [CrossRef]
- Bautista-Castaño, I.; Serra-Majem, L. Relationship between Bread Consumption, Body Weight, and Abdominal Fat Distribution: Evidence from Epidemiological Studies. Nutr. Rev. 2012, 70, 218–233. [Google Scholar] [CrossRef] [PubMed]
- Rocha, L.L.; Gratão, L.H.A.; Carmo, A.S.d.; Costa, A.B.P.; Cunha, C.d.F.; Oliveira, T.R.P.R.d.; Mendes, L.L. School Type, Eating Habits, and Screen Time Are Associated With Ultra-Processed Food Consumption Among Brazilian Adolescents. J. Acad. Nutr. Diet. 2021, 121, 1136–1142. [Google Scholar] [CrossRef] [PubMed]
- Si Hassen, W.; Castetbon, K.; Tichit, C.; Péneau, S.; Nechba, A.; Ducrot, P.; Lampuré, A.; Bellisle, F.; Hercberg, S.; Méjean, C. Energy, Nutrient and Food Content of Snacks in French Adults. Nutr. J. 2018, 17, 33. [Google Scholar] [CrossRef] [PubMed]
- Yan, A.F.; Sun, X.; Zheng, J.; Mi, B.; Zuo, H.; Ruan, G.; Hussain, A.; Wang, Y.; Shi, Z. Perceived Risk, Behavior Changes and Health-Related Outcomes during COVID-19 Pandemic: Findings among Adults with and without Diabetes in China. Diabetes Res. Clin. Pract. 2020, 167, 108350. [Google Scholar] [CrossRef]
- Fornili, M.; Petri, D.; Berrocal, C.; Fiorentino, G.; Ricceri, F. Psychological Distress in the Academic Population and Its Association with Socio-Demographic and Lifestyle Characteristics during {COVID}-19 Pandemic. PLoS ONE 2021, 16, e0248370. [Google Scholar] [CrossRef]
- Bhutani, S.; Cooper, J.A. COVID-19–Related Home Confinement in Adults: Weight Gain Risks and Opportunities. Obesity 2020, 28, 1576–1577. [Google Scholar] [CrossRef]




| T0 % (n) | T1 % (n) | T2 % (n) | p | |
|---|---|---|---|---|
| Weight 1 | 63.0 (55.0–72.0) a | 64.0 (56.0–75.0) b | 64.0 (56.0–75.0) b | <0.001 |
| BMI (kg/m2) 1 | 22.9 (20.9–26.0) a | 23.5 (21.0–26.5) b | 23.5 (21.0–26.9) b | <0.001 |
| Weight variation (kg) 2 | 1.0 (0.0–3.0) | - | <0.001 | |
| - | 0.0 (−1.95–2.0) | |||
| Weight Variation Groups | ||||||
|---|---|---|---|---|---|---|
| Item | Time | Lost (n =107) | Maintained (n = 82) | Gained up to 2.4 kg (n = 118) | Gained ≥ 2.5 kg (n = 146) | p |
| Weight (kg) | T0 | 63.0 a1 (55.0–75.0) | 60.0 2 (53.0–71.2) | 59.0 a2 (54.0–66.0) | 67.0 a1 (60.0–78.0) | |
| T1 | 62.00 b (52.0–71.0) | 60.0 (53.0–71.2) | 61.0 b (55.0–67.2) | 72.0 b (63.7–81.2) | <0.001 | |
| T2 | 60.0 c (53.0–75.0) | 61.0 (53.9–71.6) | 60.0 b (54.0–69.0) | 71.0 b (62.3–83.0) | ||
| p | <0.001 | 0.098 | <0.001 | <0.001 | ||
| Lost (n = 107) | Maintained (n = 82) | Gained up to 2.4 kg (n = 118) | Gained ≥ 2.5 kg (n = 146) | p | |
|---|---|---|---|---|---|
| Lifestyle habits | |||||
| Frequency of alcoholic beverage intake (times/week) | 0.5 (0–1) 1,2 | 0.5 (0–0.5) 2 | 1.0 (0.5–2.5) 1 | 0.5 (0–2.5) 1 | <0.001 (d = 0.54) |
| Alcoholic beverages (dosage/occasion) | 1.0 (0–2.5) 1,2 | 1.0 (0–2.1) 2 | 1.0 (1–2.5) 1 | 2.5 (0–4.5) 1 | <0.001 (d = 0.68) |
| Physical activity (minutes/week) | 120 (0–180) 1 | 80 (0–150) 1,2 | 80 (0–120) 1,2 | 80 (0–120) 2 | 0.002 (d = 0.41) |
| Dietary habits | |||||
| Food consumption volume (%, n) | |||||
| Increased | 27.1 (29) 1 | 43.9 (36) 1,2 | 55.9 (66) 2 | 82.2 (120) 3 | <0.001 (d = 0.65) |
| Decreased | 39.3 (42) 1 | 9.8 (8) 2 | 8.5 (10) 2 | 9.6 (14) 2 | <0.001 (d = 0.61) |
| Remained the same | 31.8 (34) 1 | 43.9 (36) 1 | 32.2 (38) 1 | 6.8 (10) 2 | <0.001 (d = 0.73) |
| Snacking habits (%, n) | |||||
| Increased | 27.1 (29) 1 | 32.9 (27) 1 | 52.5 (62) 2 | 67.8 (99) 2 | <0.001 (d = 0.54) |
| Decreased | 17.8 (19) 1 | 6.1 (5) 1,2 | 5.9 (7) 2 | 3.4 (5) 2 | <0.001 (d = 0.57) |
| Does not snack | 30.8 (33) 1 | 29.3 (24) 1 | 19.5 (23) 1,2 | 11.0 (16) 2 | <0.001 (d = 0.60) |
| Frequency of consumption (days/week) | |||||
| Fresh fruits | 7.0 (5.0–10.0) 1 | 7.0 (5–10) 1,2 | 7.0 (4.3–10) 1 | 6.0 (2.5–10) 2 | 0.007 (d = 0.52) |
| Hamburgers or canned products | 0.5 (0.5–2.5) 1 | 0.5 (0.5–1.0) 1 | 1.0 (0.5–2.5) 1,2 | 2.5 (0.5–5.0) 2 | 0.001 (d = 0.83) |
| Sugary drinks | 0.5 (0.5–2.5) 1 | 0.5 (0.5–2.5) 1 | 0.5 (0.5–2.5) 1 | 1.0 (0.5–5) 2 | 0.011 (d = 0.61) |
| Instant meals and snacks | 0.5 (0.5–1) 1 | 0.5 (0–1) 1 | 0.5 (0.5–1) 1,2 | 1.0 (0.5–2.5) 2 | <0.001 (d = 0.54) |
| Candies | 1.0 (0.5–5) 1 | 2.5 (0.5–5) 1 | 2.5 (1–7) 1,2 | 5.0 (1–7) 2 | 0.002 (d = 0.64) |
| Fast food | 1 (0.5–1) 1 | 1 (0.5–1) 1 | 1 (0.5–2.5) 1 | 1 (1–2.5) 2 | <0.001 (d = 0.43) |
| Eating behaviors | |||||
| Uncontrolled eating | 25.9 (14.8–40.7) 1 | 20.3 (8.3–36.1) 1 | 25.9 (16.6–44.4) 1 | 40.7 (22.2–55.5) 2 | <0.001 (d = 0.73) |
| Emotional eating | 27.7 (5.5–50.0) 1 | 27.7 (5.5–38.8) 1 | 27.7 (11.1–50.0) 1 | 50.0 (22.2–72.2) 2 | <0.001 (d = 0.70) |
| Perceived stress | 23.0 (19.0–27.0) 1,2 | 20.0 (15.2–27.7) 1 | 22.0 (16.0–27.5) 1 | 25.0 (21–30.0) 2 | 0.004 (d = 0.60) |
Disclaimer/Publisher’s Note: The statements, opinions and data contained in all publications are solely those of the individual author(s) and contributor(s) and not of MDPI and/or the editor(s). MDPI and/or the editor(s) disclaim responsibility for any injury to people or property resulting from any ideas, methods, instructions or products referred to in the content. |
© 2024 by the authors. Licensee MDPI, Basel, Switzerland. This article is an open access article distributed under the terms and conditions of the Creative Commons Attribution (CC BY) license (https://creativecommons.org/licenses/by/4.0/).
Share and Cite
Daniel, M.M.; Liboredo, J.C.; Souza, T.C.d.M.; Anastácio, L.R.; Ferreira, A.R.S.; Ferreira, L.G. The Impact of the COVID-19 Pandemic: A Longitudinal Analysis of Body Weight Variations and Their Implications for Daily Habits. Int. J. Environ. Res. Public Health 2024, 21, 1510. https://doi.org/10.3390/ijerph21111510
Daniel MM, Liboredo JC, Souza TCdM, Anastácio LR, Ferreira ARS, Ferreira LG. The Impact of the COVID-19 Pandemic: A Longitudinal Analysis of Body Weight Variations and Their Implications for Daily Habits. International Journal of Environmental Research and Public Health. 2024; 21(11):1510. https://doi.org/10.3390/ijerph21111510
Chicago/Turabian StyleDaniel, Marina Martins, Juliana Costa Liboredo, Tamires Cássia de Melo Souza, Lucilene Rezende Anastácio, Alida Rosária Silva Ferreira, and Lívia Garcia Ferreira. 2024. "The Impact of the COVID-19 Pandemic: A Longitudinal Analysis of Body Weight Variations and Their Implications for Daily Habits" International Journal of Environmental Research and Public Health 21, no. 11: 1510. https://doi.org/10.3390/ijerph21111510
APA StyleDaniel, M. M., Liboredo, J. C., Souza, T. C. d. M., Anastácio, L. R., Ferreira, A. R. S., & Ferreira, L. G. (2024). The Impact of the COVID-19 Pandemic: A Longitudinal Analysis of Body Weight Variations and Their Implications for Daily Habits. International Journal of Environmental Research and Public Health, 21(11), 1510. https://doi.org/10.3390/ijerph21111510

