Psychosocial Factors Associated with Lower Urinary Tract Symptoms One Year Postpartum
Abstract
:1. Introduction
2. Materials and Methods
2.1. Data Source
2.2. Measures
- Depressive symptoms: Depressive symptoms were measured using the Center for Epidemiologic Studies-Depression (CES-D) scale [38]. Consistent with prior studies of pregnant individuals, five items describing somatic symptoms often associated with pregnancy (e.g., poor appetite, poor sleep) were excluded [39,40]. Participants rated how often during the past week they experienced affective components of depressed mood (e.g., feelings of loneliness, failure, hopelessness) on a 4-point Likert scale, ranging from none of the time (0) to all of the time (3). Scores for each item were summed, with a higher summative score indicating greater depressive symptoms (α = 0.87).
- Perceived stress: An abridged, four-item version of the Perceived Stress Scale was used to measure the degree to which an individual appraised situations in their life as stressful [41]. Participants rated how often during the past month they felt or thought a certain way (e.g., unable to control important things, not confident about ability to handle personal problems) on a 5-point Likert scale, ranging from never (1) to very often (5). Item scores were summed, with higher scores indicating higher levels of stress (α = 0.79).
- Social support: Social support was assessed using an abridged, four-item version of the Multidimensional Scale of Perceived Social Support [42]. Participants rated their level of agreement about the availability of a support person (e.g., someone to talk to about my problems, someone who helps me make decisions) on a 5-point Likert scale, ranging from strongly disagree (1) to strongly agree (5). A summary score was calculated, with higher scores indicating greater perceived social support (α = 0.92).
- LUTSs: Items used to assess LUTSs were adapted from existing self-report measures of urinary frequency, urgency, nocturia, incontinence, and pain (Urogenital Distress Inventory, Overactive Bladder Questionnaire, Bristol Female Lower Urinary Tract Symptoms Questionnaire, King’s Health Questionnaire, O’Leary Sant Index) [43,44,45,46,47]. Participants responded ‘yes’ or ‘no’ to the following items assessing bladder symptoms: “I go to the bathroom too frequently during the day”; “I often have a strong or overwhelming urge to urinate”; “I go to the bathroom too frequently at night”; “I leak urine”; and “I have bladder pain”. Participants who responded ‘yes’ to at least one symptom were categorized as having ‘any LUTS’.
2.3. Data Analysis
3. Results
3.1. Participant Characteristics
3.2. Association of Psychosocial Factors with LUTSs Postpartum
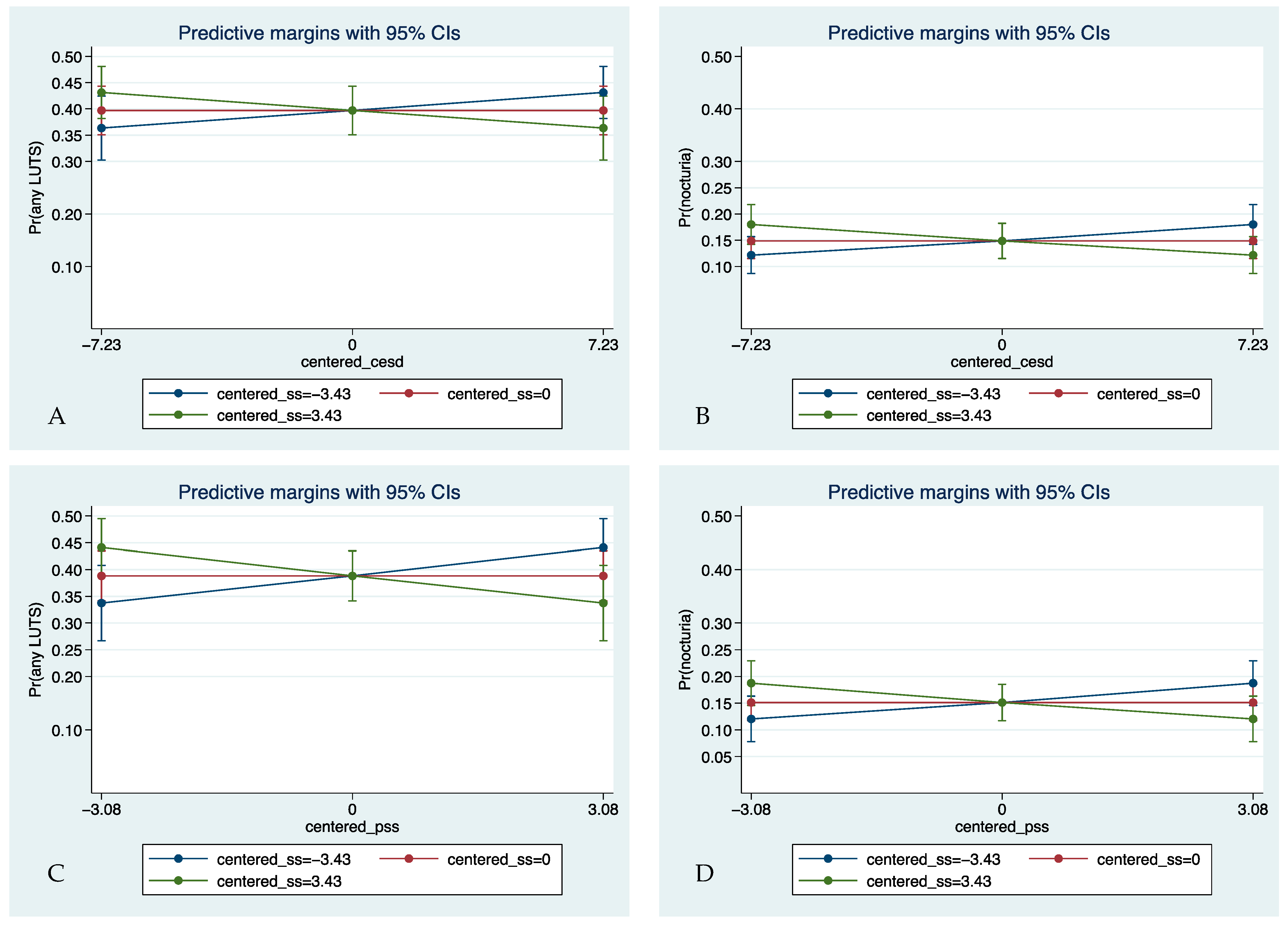
3.3. Moderation Effects
4. Discussion
5. Conclusions
Author Contributions
Funding
Institutional Review Board Statement
Informed Consent Statement
Data Availability Statement
Acknowledgments
Conflicts of Interest
References
- Monte, L.M.; Ellis, R.R. Fertility of Women in the United States: June 2012; Current Population Reports; US Census Bureau: Washington, DC, USA, 2014; pp. 20–575. [Google Scholar]
- Wang, X.; Jin, Y.; Xu, P.; Feng, S. Urinary incontinence in pregnant women and its impact on health-related quality of life. Health Qual. Life Outcomes 2022, 20, 13. [Google Scholar] [CrossRef]
- Thom, D.H.; Rortveit, G. Prevalence of postpartum urinary incontinence: A systematic review. Acta Obstet. Gynecol. Scand. 2010, 89, 1511–1522. [Google Scholar] [CrossRef] [PubMed]
- Boyles, S.H.; Li, H.; Mori, T.; Osterweil, P.; Guise, J.M. Effect of mode of delivery on the incidence of urinary incontinence in primiparous women. Obstet. Gynecol. 2009, 113, 134–141. [Google Scholar] [CrossRef] [PubMed]
- Cerruto, M.A.; D’Elia, C.; Aloisi, A.; Fabrello, M.; Artibani, W. Prevalence, incidence and obstetric factors’ impact on female urinary incontinence in Europe: A systematic review. Urol. Int. 2013, 90, 1–9. [Google Scholar] [CrossRef] [PubMed]
- Hantoushzadeh, S.; Javadian, P.; Shariat, M.; Salmanian, B.; Ghazizadeh, S.; Aghssa, M. Stress urinary incontinence: Pre-pregnancy history and effects of mode of delivery on its postpartum persistency. Int. Urogynecol J. 2011, 22, 651–655. [Google Scholar] [CrossRef] [PubMed]
- Viktrup, L.; Rortveit, G.; Lose, G. Does the impact of subsequent incontinence risk factors depend on continence status during the first pregnancy or the postpartum period 12 years before? A cohort study in 232 primiparous women. Am. J. Obstet. Gynecol. 2008, 199, e1–e73. [Google Scholar] [CrossRef] [PubMed]
- Gyhagen, M.; Åkervall, S.; Molin, M.; Milsom, I. The effect of childbirth on urinary incontinence: A matched cohort study in women aged 40–64 years. Am. J. Obstet. Gynecol. 2019, 221, e1–e322. [Google Scholar] [CrossRef]
- Herrmann, V.; Scarpa, K.; Palma, P.C.; Riccetto, C.Z. Stress urinary incontinence 3 years after pregnancy: Correlation to mode of delivery and parity. Int. Urogynecol J. Pelvic Floor. Dysfunct. 2009, 20, 281–288. [Google Scholar] [CrossRef]
- Chang, S.R.; Chen, K.H.; Lin, H.H.; Lin, M.I.; Chang, T.C.; Lin, W.A. Association of mode of delivery with urinary incontinence and changes in urinary incontinence over the first year postpartum. Obstet. Gynecol. 2014, 123, 568–577. [Google Scholar] [CrossRef]
- Felde, G.; Ebbesen, M.H.; Hunskaar, S. Anxiety and depression associated with urinary incontinence. A 10-year follow-up study from the Norwegian HUNT study (EPINCONT). Neurourol. Urodyn. 2017, 36, 322–328. [Google Scholar] [CrossRef]
- Melville, J.L.; Fan, M.-Y.; Rau, H.; Nygaard, I.E.; Katon, W.J. Major depression and urinary incontinence in women: Temporal associations in an epidemiologic sample. Am. J. Obstet. Gynecol. 2009, 201, e1–e7. [Google Scholar] [CrossRef]
- Mishra, G.D.; Barker, M.S.; Herber-Gast, G.C.; Hillard, T. Depression and the incidence of urinary incontinence symptoms among young women: Results from a prospective cohort study. Maturitas 2015, 81, 456–461. [Google Scholar] [CrossRef] [PubMed]
- Legendre, G.; Fritel, X.; Panjo, H.; Zins, M.; Ringa, V. Incidence and remission of stress, urge, and mixed urinary incontinence in midlife and older women: A longitudinal cohort study. Neurourol. Urodyn. 2020, 39, 650–657. [Google Scholar] [CrossRef] [PubMed]
- Legendre, G.; Ringa, V.; Panjo, H.; Zins, M.; Fritel, X. Incidence and remission of urinary incontinence at midlife: A cohort study. BJOG 2015, 122, 816–824. [Google Scholar] [CrossRef] [PubMed]
- Bradley, C.S.; Nygaard, I.E.; Hillis, S.L.; Torner, J.C.; Sadler, A.G. Longitudinal associations between mental health conditions and overactive bladder in women veterans. Am. J. Obstet. Gynecol. 2017, 217, e1–e430. [Google Scholar] [CrossRef] [PubMed]
- Maserejian, N.N.; Minassian, V.A.; Chen, S.; Hall, S.A.; McKinlay, J.B.; Tennstedt, S. Treatment status and risk factors for incidence and persistence of urinary incontinence in women. Int. Urogynecol. J. 2014, 25, 775–782. [Google Scholar] [CrossRef] [PubMed]
- Liu, A.B.; Liu, Q.; Yang, C.C.; Griffith, J.W.; Smith, A.R.; Helmuth, M.E.; Lai, H.H.; Amundsen, C.L.; Erickson, B.A.; Jelovsek, J.E.; et al. Patient Characteristics Associated with More Bother from Lower Urinary Tract Symptoms. J. Urol. 2019, 202, 585–591. [Google Scholar] [CrossRef] [PubMed]
- Häkkinen, J.T.; Shiri, R.; Koskimäki, J.; Tammela, T.L.; Auvinen, A.; Hakama, M. Depressive symptoms increase the incidence of nocturia: Tampere Aging Male Urologic Study (TAMUS). J. Urol. 2008, 179, 1897–1901. [Google Scholar] [CrossRef] [PubMed]
- Huang, C.L.; Wu, M.P.; Ho, C.H.; Wang, J.J. The bidirectional relationship between anxiety, depression, and lower urinary track symptoms: A nationwide population-based cohort study. J. Psychosom. Res. 2017, 100, 77–82. [Google Scholar] [CrossRef]
- Perry, S.; McGrother, C.W.; Turner, K.; Leicestershire MRC Incontinence Study Group. An investigation of the relationship between anxiety and depression and urge incontinence in women: Development of a psychological model. Br. J. Health Psychol. 2006, 11, 463–482. [Google Scholar] [CrossRef]
- Swenson, C.W.; DePorre, J.A.; Haefner, J.K.; Berger, M.B.; Fenner, D.E. Postpartum depression screening and pelvic floor symptoms among women referred to a specialty postpartum perineal clinic. Am. J. Obstet. Gynecol. 2018, 218, e1–e335. [Google Scholar] [CrossRef] [PubMed]
- Jurášková, M.; Piler, P.; Kukla, L.; Švancara, J.; Daňsová, P.; Hruban, L.; Kandrnal, V.; Pikhart, H. Association between Stress Urinary Incontinence and Depressive Symptoms after Birth: The Czech ELSPAC Study. Sci. Rep. 2020, 10, 6233. [Google Scholar] [CrossRef] [PubMed]
- Doering, A.D.; Hundley, A.F.; Hudson, C.O.; Benedict, J.A.; Lynch, C.D.; Schaffir, J.A. Is There an Association Between Bothersome Urinary Symptoms and Postpartum Depression? Female Pelvic Med. Reconstr. Surg. 2019, 25, 323–327. [Google Scholar] [CrossRef] [PubMed]
- Smith, A.L.; Berry, A.; Brubaker, L.; Cunningham, S.D.; Gahagan, S.; Low, L.K.; Mueller, M.; Sutcliffe, S.; Williams, B.R.; Brady, S.S. The Brain, Gut, and Bladder Health Nexus: A Conceptual Model Linking Stress and Mental Health Disorders to Bladder Health in Women. The Brain, Gut, and Bladder Health Nexus: A Conceptual Model Linking Stress and Mental Health Disorders to Bladder Health in Women. Neurourol Urodyn. 2023. under review. [Google Scholar]
- Lai, H.; Gardner, V.; Vetter, J.; Andriole, G.L. Correlation between psychological stress levels and the severity of overactive bladder symptoms. BMC Urol. 2015, 15, 14. [Google Scholar] [CrossRef] [PubMed]
- Rothrock, N.E.; Lutgendorf, S.K.; Kreder, K.J.; Ratliff, T.; Zimmerman, B. Stress and symptoms in patients with interstitial cystitis: A life stress model. Urology 2001, 57, 422–427. [Google Scholar] [CrossRef] [PubMed]
- Gokoel, A.R.; Abdoel Wahid, F.; Zijlmans, W.C.W.R.; Shankar, A.; Hindori-Mohangoo, A.D.; Covert, H.H.; MacDonald-Ottevanger, M.S.; Lichtveld, M.Y.; Harville, E.W. Influence of perceived stress on prenatal depression in Surinamese women enrolled in the CCREOH study. Reprod. Health 2021, 18, 136. [Google Scholar] [CrossRef] [PubMed]
- Gelaye, B.; Rondon, M.B.; Araya, R.; Williams, M.A. Epidemiology of maternal depression, risk factors, and child outcomes in low-income and middle-income countries. Lancet Psychiatry 2016, 3, 973–982. [Google Scholar] [CrossRef]
- Gariépy, G.; Honkaniemi, H.; Quesnel-Vallée, A. Social support and protection from depression: Systematic review of current findings in Western countries. Br. J. Psychiatry 2016, 209, 284–293. [Google Scholar] [CrossRef]
- Holt-Lunstad, J.; Uchino, B.N. Social Support and Health. In Health Behavior: Theory, Research, and Practice; Glanz, K., Rimer, B.K., Viswanath, K., Eds.; Jossey-Bass/Wiley: Hoboken, NJ, USA, 2015; pp. 183–204. [Google Scholar]
- Vila, J. Social support and longevity: Meta-analysis-based evidence and psychobiological mechanisms. Front. Psychol. 2021, 12, 717164. [Google Scholar] [CrossRef]
- Brady, S.S.; Arguedas, A.; Huling, J.D.; Shan, L.; Lewis, C.E.; Fok, C.S.; Van Den Eeden, S.K.; Markland, A.D. Interpersonal Stressors and Resources for Support: Associations with Lower Urinary Tract Symptoms and Impact Among Women. J. Womens Health 2023, 32, 693–701. [Google Scholar] [CrossRef]
- Waetjen, L.E.; Liao, S.; Johnson, W.O.; Sampselle, C.M.; Sternfield, B.; Harlow, S.D.; Gold, E.B. Factors associated with prevalent and incident urinary incontinence in a cohort of midlife women: A longitudinal analysis of data: Study of women’s health across the nation. Am. J. Epidemiol. 2007, 165, 309–318. [Google Scholar] [CrossRef] [PubMed]
- Dybowski, C.; Lowe, B.; Brunahl, C. Predictors of pain, urinary symptoms and quality of life in patients with chronic pelvic pain syndrome (CPPS): A prospective 12-month follow-up study. J. Psychosom. Res. 2018, 112, 99–106. [Google Scholar] [CrossRef] [PubMed]
- Cunningham, S.D.; Lewis, J.B.; Thomas, J.L.; Grilo, S.A.; Ickovics, J.R. Expect With Me: Development and evaluation design for an innovative model of group prenatal care to improve perinatal outcomes. BMC Pregnancy Childbirth 2017, 17, 147. [Google Scholar] [CrossRef] [PubMed]
- Lewis, J.B.; Cunningham, S.D.; Shabanova, V.; Hassan, S.S.; Magriples, U.; Rodriguez, M.G.; Ickovics, J.R. Group prenatal care and improved birth outcomes: Results from a type 1 hybrid effectiveness-implementation study. Prev. Med. 2021, 153, 106853. [Google Scholar] [CrossRef] [PubMed]
- Radloff, L.S. The CES-D scale: A self-report depression scale for research in the general population. Appl. Psychol. Meas. 1977, 1, 385–401. [Google Scholar] [CrossRef]
- Ickovics, J.R.; Reed, E.; Magriples, U.; Westdahl, C.; Schindler Rising, S.; Kershaw, T.S. Effects of group prenatal care on psychosocial risk in pregnancy: Results from a randomised controlled trial. Psychol. Health 2011, 26, 235–250. [Google Scholar] [CrossRef] [PubMed]
- Cunningham, S.D.; Smith, A.; Kershaw, T.; Lewis, J.B.; Cassells, A.; Tobin, J.N.; Ickovics, J.R. Prenatal depressive symptoms and postpartum sexual risk among young urban women of color. J. Pediatr. Adolesc. Gynecol. 2016, 29, 11–17. [Google Scholar] [CrossRef] [PubMed]
- Cohen, S.; Kamarck, T.; Mermelstein, R. A global measure of perceived stress. J. Health Soc. Behav. 1983, 24, 385–396. [Google Scholar] [CrossRef]
- Zimet, G.D.; Powell, S.S.; Farley, G.K.; Werkman, S.; Berkoff, K.A. Psychometric characteristics of the Multidimensional Scale of Perceived Social Support. J. Pers. Assess. 1990, 55, 610–617. [Google Scholar]
- Uebersax, J.S.; Wyman, J.F.; Shumaker, S.A.; McClish, D.K.; Fantl, J.A. Short forms to assess life quality and symptom distress for urinary incontinence in women: The Incontinence Impact Questionnaire and the Urogenital Distress Inventory. Continence Program for Women Research Group. Neurourol. Urodyn. 1995, 14, 131–139. [Google Scholar] [CrossRef]
- Coyne, K.S.; Thompson, C.L.; Lai, J.S.; Sexton, C.C. An overactive bladder symptom and health-related quality of life short-form: Validation of the OAB-q SF. Neurourol. Urodyn. 2015, 34, 255–263. [Google Scholar] [CrossRef] [PubMed]
- Jackson, S.; Donovan, J.; Brookes, S.; Eckford, S.; Swithinbank, L.; Abrams, P. The Bristol Female Lower Urinary Tract Symptoms questionnaire: Development and psychometric testing. Br. J. Urol. 1996, 77, 805–812. [Google Scholar] [CrossRef] [PubMed]
- Kelleher, C.J.; Cardozo, L.D.; Khullar, V.; Salvatore, S. A new questionnaire to assess the quality of life of urinary incontinent women. Br. J. Obstet. Gynaecol. 1997, 104, 1374–1379. [Google Scholar] [CrossRef] [PubMed]
- O’Leary, M.P.; Sant, G.R.; Fowler, F.J.; Whitmore, K.E.; Spolarich-Kroll, J. The interstitial cystitis symptom index and problem index. Urology 1997, 49, 58–63. [Google Scholar] [CrossRef] [PubMed]
- Hayes, A.F. Introduction to Mediation, Moderation, and Conditional Process Analysis: A Regression-Based Approach; The Guilford Press: New York, NY, USA, 2018. [Google Scholar]
- Brady, S.S.; Bavendam, T.G.; Berry, A.; Fok, C.S.; Gahagan, S.; Goode, P.S.; Hardacker, C.T.; Hebert-Beirne, J.; Lewis, C.E.; Lewis, J.B.; et al. Prevention of Lower Urinary Tract Symptoms (PLUS) Research Consortium. The Prevention of Lower Urinary Tract Symptoms (PLUS) in girls and women: Developing a conceptual framework for a prevention research agenda. Neurourol. Urodyn. 2018, 37, 2951–2964. [Google Scholar] [CrossRef] [PubMed]
- Vrijens, D.; Drossaerts, J.; van Koeveringe, G.; Van Kerrebroeck, P.; van Os, J.; Leue, C. Affective symptoms and the overactive bladder-a systematic review. J. Psychosom. Res. 2015, 78, 95–108. [Google Scholar] [CrossRef] [PubMed]
- Golabek, T.; Skalski, M.; Przydacz, M.; Świerkosz, A.; Siwek, M.; Golabek, K.; Stangel-Wojcikiewicz, K.; Dudek, D.; Chlosta, P. Lower urinary tract symptoms, nocturia and overactive bladder in patients with depression and anxiety. Psychiatr. Pol. 2016, 50, 417–430. [Google Scholar] [CrossRef] [PubMed]
- Zuluaga, L.; Caicedo, J.I.; Mogollón, M.P.; Santander, J.; Bravo-Balado, A.; Trujillo, C.G.; Diaz Ritter, C.; Rondón, M.; Plata, M. Anxiety and depression in association with lower urinary tract symptoms: Results from the COBaLT study. World J. Urol. 2023, 41, 1381–1388. [Google Scholar] [CrossRef]
- Mahjoob, D.M.; Janssen, J.M.W.; van Koeveringe, G.A.; Leue, C.; van Osch, F.H.M.; Vrijens, D.M.J. Psychiatric disorders in patients with lower urinary tract symptoms: A systematic review including a subgroup meta-analysis on the association between LUTS and depressive symptoms. Continence 2023, 6, 100589. [Google Scholar] [CrossRef]
- Yang, Y.J.; Koh, J.S.; Ko, H.J.; Cho, K.J.; Kim, J.C.; Lee, S.-J.; Pae, C.-U. The Influence of Depression, Anxiety and Somatization on the Clinical Symptoms and Treatment Response in Patients with Symptoms of Lower Urinary Tract Symptoms Suggestive of Benign Prostatic Hyperplasia. J. Korean Med. Sci. 2014, 29, 1145–1151. [Google Scholar] [CrossRef]
- Wong, S.Y.; Woo, J.; Leung, J.C.; Leung, P.C. Depressive symptoms and lifestyle factors as risk factors of lower urinary tract symptoms in Southern Chinese men: A prospective study. Aging Male 2010, 13, 113–119. [Google Scholar] [CrossRef] [PubMed]
- Rhee, S.J.; Kim, E.Y.; Kim, S.W.; Kim, S.H.; Lee, H.J.; Yoon, D.H.; Ahn, Y.M. Longitudinal study of the relationship between lower urinary tract symptoms and depressive symptoms. J. Psychosom. Res. 2019, 116, 100–105. [Google Scholar] [CrossRef] [PubMed]
- Chess-Williams, R.; McDermott, C.; Sellers, D.J.; West, E.G.; Mills, K.A. Chronic psychological stress and lower urinary tract symptoms. Low. Urin. Tract. Symptoms 2021, 13, 414–424. [Google Scholar] [CrossRef] [PubMed]
- Grundy, L.; Caldwell, A.; Brierley, S.M. Mechanisms underlying overactive bladder and interstitial cystitis/Painful Bladder Syndrome. Front. Neurosci. 2018, 12, 931. [Google Scholar] [CrossRef] [PubMed]
- Smith, A.L.; Hantsoo, L.; Malykhina, A.P.; File, D.W.; Valentino, R.; Wein, A.J.; Sammel, M.D.; Epperson, C.N. Basal and stress-activated hypothalamic pituitary adrenal axis function in postmenopausal women with overactive bladder. Int. Urogynecol. J. 2016, 27, 1383–1391. [Google Scholar] [CrossRef] [PubMed]
- Li, Z.; Xu, T.; Zhang, L.; Zhu, L. Prevalence, potential risk factors, and symptomatic bother of lower urinary tract symptoms during and after pregnancy. Low. Urin. Tract. Symptoms 2019, 11, 217–223. [Google Scholar] [CrossRef] [PubMed]

| Characteristics | n | % |
|---|---|---|
| Demographics | ||
| Age, mean (SD); range: 14–42 years | 25.55 (5.55) | |
| Race and Ethnicity | ||
| White, Non-Hispanic | 84 | 18.2 |
| Black, Non-Hispanic | 284 | 61.5 |
| Hispanic | 76 | 16.5 |
| Other, Non-Hispanic | 18 | 3.9 |
| Education | ||
| Less than high school | 64 | 13.9 |
| High school graduate/GED | 179 | 38.7 |
| Some college or higher education | 215 | 46.5 |
| Relationship status | ||
| Single or other (i.e., separated/divorced) | 261 | 56.5 |
| Married or living with partner | 194 | 42.0 |
| Insurance | ||
| Private | 134 | 29.0 |
| Public | 316 | 68.4 |
| None | 10 | 2.2 |
| Post-pregnancy BMI group | ||
| Underweight | 9 | 1.9 |
| Healthy weight | 126 | 27.3 |
| Overweight | 127 | 27.5 |
| Obese | 200 | 43.3 |
| Primiparous | 239 | 51.7 |
| Delivery mode of most recent child | ||
| Vaginal | 337 | 72.9 |
| C-section | 121 | 26.2 |
| LUTSs variables (one year postpartum) | ||
| Any LUTS currently | 186 | 40.3 |
| Frequent daytime urination | 103 | 22.3 |
| Urgency | 83 | 18.0 |
| Nocturia | 72 | 15.6 |
| Urinary incontinence | 90 | 19.5 |
| Pain | 32 | 6.9 |
| Psychosocial variables (one year postpartum) | ||
| Depressive symptoms, mean (SD); range: 0–45 | 7.13 (7.23) | |
| Perceived stress, mean (SD); range: 4–18 | 8.33 (3.08) | |
| Perceived social support, mean (SD); range: 4–20 | 17.18 (3.43) | |
| Outcome | ||||||
|---|---|---|---|---|---|---|
| Psychosocial Variables | Any LUTS | Frequent Daytime Urination | Urgency | Nocturia | Urinary Incontinence | Pain |
| AOR (95% CI) | AOR (95% CI) | AOR (95% CI) | AOR (95% CI) | AOR (95% CI) | AOR (95% CI) | |
| Depressive symptoms | 1.08 (1.04, 1.11) *** | 1.05 (1.02, 1.08) ** | 1.05 (1.01, 1.09) ** | 1.07 (1.04, 1.11) *** | 1.06 (1.03, 1.10) *** | 1.05 (1.00, 1.10) * |
| Perceived stress | 1.12 (1.04, 1.19) ** | 1.07 (0.99, 1.15) | 1.10 (1.01, 1.20) * | 1.04 (0.95, 1.15) | 1.14 (1.04, 1.23) ** | 1.03 (0.91, 1.17) |
| Perceived social support | 0.94 (0.88, 0.99) * | 0.96 (0.91, 1.03) | 0.94 (0.87, 1.00) | 0.89 (0.82, 0.95) ** | 0.92 (0.86, 0.99) * | 0.93 (0.84, 1.02) |
| Depressive symptoms × Perceived social support | 0.99 (0.98, 0.99) * | 0.99 (0.99, 1.00) | 0.99 (0.98, 1.00) | 0.98 (0.98, 0.99) *** | 0.99 (0.99, 1.00) | 0.99 (0.99, 1.00) |
| Perceived stress × Perceived social support | 0.97 (0.95, 0.99) * | 0.99 (0.97, 1.02) | 0.97 (0.95, 1.00) | 0.97 (0.95, 0.99) * | 0.98 (0.95, 1.00) | 0.98 (0.95, 1.01) |
Disclaimer/Publisher’s Note: The statements, opinions and data contained in all publications are solely those of the individual author(s) and contributor(s) and not of MDPI and/or the editor(s). MDPI and/or the editor(s) disclaim responsibility for any injury to people or property resulting from any ideas, methods, instructions or products referred to in the content. |
© 2023 by the authors. Licensee MDPI, Basel, Switzerland. This article is an open access article distributed under the terms and conditions of the Creative Commons Attribution (CC BY) license (https://creativecommons.org/licenses/by/4.0/).
Share and Cite
Cunningham, S.D.; Carandang, R.R.; Boyd, L.M.; Lewis, J.B.; Ickovics, J.R.; Rickey, L.M. Psychosocial Factors Associated with Lower Urinary Tract Symptoms One Year Postpartum. Int. J. Environ. Res. Public Health 2024, 21, 40. https://doi.org/10.3390/ijerph21010040
Cunningham SD, Carandang RR, Boyd LM, Lewis JB, Ickovics JR, Rickey LM. Psychosocial Factors Associated with Lower Urinary Tract Symptoms One Year Postpartum. International Journal of Environmental Research and Public Health. 2024; 21(1):40. https://doi.org/10.3390/ijerph21010040
Chicago/Turabian StyleCunningham, Shayna D., Rogie Royce Carandang, Lisa M. Boyd, Jessica B. Lewis, Jeannette R. Ickovics, and Leslie M. Rickey. 2024. "Psychosocial Factors Associated with Lower Urinary Tract Symptoms One Year Postpartum" International Journal of Environmental Research and Public Health 21, no. 1: 40. https://doi.org/10.3390/ijerph21010040
APA StyleCunningham, S. D., Carandang, R. R., Boyd, L. M., Lewis, J. B., Ickovics, J. R., & Rickey, L. M. (2024). Psychosocial Factors Associated with Lower Urinary Tract Symptoms One Year Postpartum. International Journal of Environmental Research and Public Health, 21(1), 40. https://doi.org/10.3390/ijerph21010040

