Evolutionary Game Analysis of Behavior Strategies of Multiple Stakeholders in an Elderly Care Service System
Abstract
1. Introduction
2. Literature Review
2.1. Provision of Elderly Care Services
2.2. Evolutionary Game Theory and Its Application
3. Model
3.1. Basic Assumptions and Model Parameters
- (1)
- When government departments choose the strategy, they need to input fixed costs (), including human, material, and financial resources in the regulatory process. At the same time, government department supervision will earn a reputation income from the public and a reward income from superior departments, so the total income obtained by the government departments by adopting the strategy is recorded as ( and ). If the government departments do not supervise, it will make the public feel that the government departments do not act, thus causing damage to the reputation of the government departments. At the same time, government departments will also be subject to accountability and punishment from superior departments due to inadequate supervision. Therefore, the total loss incurred by government departments in adopting strategy will be recorded as (). It should be emphasized that the government departments have a certain regulatory success rate when adopting the strategy, which is recorded here as λ, λ ∈ [0,1].
- (2)
- When private pension institutions choose the strategy, they need to incur many infrastructure costs and higher labor costs, for which they pay a total cost () and obtain basic operating income (). At the same time, the private pension institutions can receive a subsidy s(s > 0) from the government departments, and the subsidy coefficient is θ, θ ∈ [0,1]; that is, the subsidy amount is θs. When the private pension institutions choose the strategy, their input cost is (), and at this time, the private pension institutions will receive some extra income Δπ (Δπ > 0) in some illegal ways, in addition to the basic operation income . At this time, the private pension institutions will receive the punishment p (p > 0) from the government departments. The punishment coefficient is η, η ∈ [0,1], and the penalty amount is ηp, while pension institutions will speculate when operating in violation of regulations to reduce operating costs to obtain maximum benefits, .
- (3)
- When the elderly choose the strategy, they need to pay a certain service fee (). In the process of using the elderly care service, they have gained the benefits of a happy mood, quality of life and happiness in life, which are recorded as (). Considering the practical factors, it is assumed that the benefits of elderly care services are higher than their costs; that is, . In addition, because the elderly choose to use the services provided by the private pension institutions, which is conducive to the development of the national elderly care industry, the government departments give a subsidy a (a > 0) to the elderly who choose the strategy. There is no cost to the elderly when they choose the non-participation strategy. As the elderly are the main consumers of elderly care services, if the elderly choose the strategy, it will bring operational losses to the private pension institutions. When private pension institutions choose the strategy and the elderly choose the strategy, it will bring a loss to the private pension institutions. When private pension institutions choose the strategy and the elderly choose strategy, it will bring a loss to private pension institutions. As private pension institutions invest more resource costs in standardized operations, if no one uses elderly care services, it will cause greater operating losses, so . In addition, when private pension institutions operate in violation of the law, the elderly who participate in elderly care services will suffer a loss of benefits, recorded as ().
- (4)
- The government departments, private pension institutions, and the elderly will choose strategies according to their own wishes. Assuming that the probability of government departments’ choosing the strategy is x, the probability of government departments’ choosing the strategy is (1−x), x ∈ [0,1]. The probability of private pension institutions’ choosing the strategy is y, and the probability of choosing the strategy is (1−y), y ∈ [0,1].The probability of the elderly’s choosing the strategy is z, and the probability of choosing the strategy is (1−z), z ∈ [0,1].
3.2. Construction of the Model
4. Numerical Simulation Analysis of the Tripartite Evolutionary Game
4.1. Numerical Simulation Analysis of Four Propositions
- (1)
- Numerical simulation of Proposition 1: Under the condition that , , and are satisfied, we set the parameters of the model as follows: = 10, = 12, = 2, = 9, = 2, = 7, = 5, = 4, = 3, = 2, = 6, = 0.5, = 0.8, = 0.8, s = 10, p = 10, a = 8. In order to reflect the evolution path of each agent more objectively and accurately, the simulation was randomly started from different initial strategies of the agents, the above parameters were combined, and it evolved 50 times with the system time. The final evolution result is shown in Figure 1 (The gradient of the line color from green to red indicates the evolution path of the initial value of the evolution strategy from (0.1,0.1,0.1) to (1,1,1)). It can be seen from the figure that the system eventually evolved to the equilibrium point ; that is, the government departments choose not to supervise, the private pension institutions choose illegal operation, and the elderly choose participation. According to the conditions to be met in Proposition 1, means that the difference between the total revenue (including regulatory revenue and penalty revenue) and costs (including regulatory costs and subsidies to the elderly) of the government departments’ choice of regulatory strategies is less than the total loss caused by non-regulation; that is, the total revenue of the government departments’ choice of regulation is less than the total revenue of non-regulation. means that the difference between the additional income and the operating cost of the private pension institutions’ choice of illegal operation is greater than the cost of the standardized operation; that is, the total income of the private pension institutions’ choice of illegal operation is greater than the total income of the standardized operation. means that the difference between the income and cost (including service fees and benefit losses) of the elderly who choose to participate is higher than the income of non-participation.
- (2)
- Numerical simulation of Proposition 2: To satisfy the three inequality conditions of Proposition 2 (, and ), some parameters of the model were adjusted to = 20 and = 18, and the rest of the parameter values remained the same as the initial settings of the numerical simulation of Proposition 1. The simulation also started randomly from different strategy combinations for each subject and evolved 50 times with the system time; the results obtained are shown in Figure 2 (The gradient of the line color from green to red indicates the evolution path of the initial value of the evolution strategy from (0.1,0.1,0.1) to (1,1,1)). It can be seen from the figure that the system eventually evolved to the equilibrium point (1,0,0); that is, government departments choose regulation, private pension institutions choose illegal operation, and the elderly choose non-participation. Further analysis of the three conditions satisfied by Proposition 2 shows that means that the benefit of the government departments’ choosing to regulate is higher than that of not regulating; means that the benefit of private pension institutions’ choosing standardized operation is smaller than that of violating; means that the benefit of the elderly’s choosing participation is smaller than that of non-participation. Therefore, it can be inferred that the final strategy choices of each subject are related to the maximization of their own interests, and the numerical simulation results of Proposition 2 are consistent with the theoretical derivation results. This situation corresponds to the stage where government departments have regulatory awareness, but the regulatory methods and mechanisms are not mature enough. At this time, the government departments should fully invest in the supervision, improve the success rate of supervision as much as possible, and severely crack down on the illegal operation of private pension institutions. At the same time, the government departments can set more incentive subsidy policies to promote the private pension institutions to change to the standard operation direction.
- (3)
- Numerical simulation of Proposition 3: Under the condition that , and , some parameters of the model were adjusted: = 21, and = 6, while other parameter values remain the same as those set in the numerical simulation of Proposition 1. Again evolving 50 times with the system time, the final simulation results obtained are shown in Figure 3 (The gradient of the line color from green to red indicates the evolution path of the initial value of the evolution strategy from (0.1,0.1,0.1) to (1,1,1)). It can be seen from Figure 3 that the system eventually evolves to equilibrium point . Similarly, by analyzing the three prerequisites of Proposition 3, we can see that the three parties finally choose their own strategies with higher benefits, and the simulation results of Proposition 3 also verified the stability of . This situation shows that the regulatory system of government departments is not perfect enough, and private pension institutions are too strong in their profit-seeking behavior, in which it is very easy to infringe on the legitimate rights and interests of the elderly. In this case, the government departments should further strengthen the supervision, try to find and cut off the channels for illegal operation and profit of private pension institutions, further improve the subsidy and punishment policies for private pension institutions, promote their evolution towards standardized operation, and effectively protect the legitimate rights and interests of the elderly.
- (4)
- Numerical simulation of Proposition 4: In order to meet the three conditions of Proposition 4 (, and ) some parameters of the model were adjusted to = 8, = 10, = 2, and a = 1, while the other parameter values were consistent with the initial settings in the numerical simulation of Proposition 1. It also evolved 50 times with the system time, and the final simulation results are shown in Figure 4 (The gradient of the line color from green to red indicates the evolution path of the initial value of the evolution strategy from (0.1,0.1,0.1) to (1,1,1)). We can see that the system finally evolved to the ideal stable state of equilibrium point . Similarly, analyzing the three preconditions of Proposition 4, it is known that each subject will eventually choose the strategy with the largest gain, and the numerical simulation results verify the stability of . This stable situation corresponds to the mature stage of regulation and governance of senior care services. Government departments are able to reasonably adjust the cost of regulation and rationally formulate reward and punishment schemes suitable for private pension institutions and the elderly, which regulate the behavior of each subject and facilitate the long-term development of social senior care services.
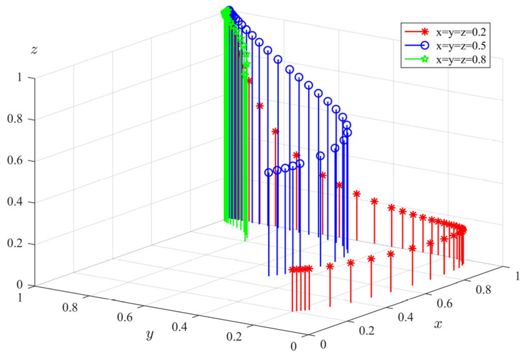
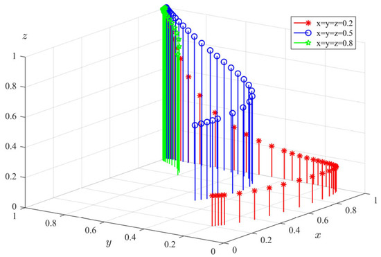
4.2. Simulation Analysis of the Initial Strategy of Participating Subjects
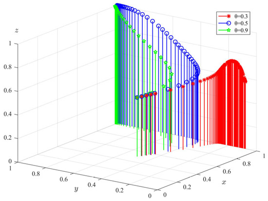
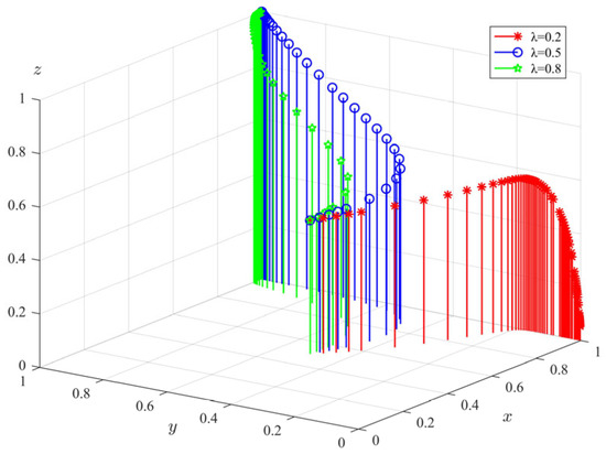
4.3. Simulation Analysis of External Parameters
- (1)
- The impact of regulatory success rate (λ) on tripartite evolutionary behavior
- (2)
- The impact of subsidy coefficient (θ) on tripartite evolutionary behavior
- (3)
- The impact of penalty coefficient (η) on tripartite evolutionary behavior
- (4)
- The impact of additional benefits () on tripartite evolutionary behavior
- (5)
- The impact of fixed subsidies (a) on tripartite evolutionary behavior
- (6)
- The impact of regulatory fixed costs () on tripartite evolutionary behavior
5. Discussion
- (1)
- According to simulation analysis, there are four ESSs in the pension service supervision system, namely . The final result of system evolution depends on the relative return value of each agent’s selection strategy. Revenue is the decisive factor that affects the evolution of the game players’ strategies. For the government department, only when the net income of implementing the regulatory strategy is positive, will the government department implement the regulatory strategy; otherwise, it will choose the non-regulatory strategy. If the government department adopts the non-regulatory strategy, the private pension institutions are likely to choose the illegal operation strategy, in which it is very easy to cause the rights of the elderly to be violated. When the government department chooses to implement the regulatory strategy and the net income of private pension institutions’ choosing to regulate operation is positive, private pension institutions will choose to regulate operation, and the elderly will also choose to participate. In the four ESSs, indicates that the ideal stable state is of government departments’ choosing supervision, private pension institutions’ choosing standardized operation, and the elderly’s choosing participation strategy. It also corresponds to the mature stage of pension service supervision and governance, which is conducive to the long-term development of social pension service. The other three ESSs all represent the governance stage in which private pension institutions have a too strong profit-seeking behavior, and the regulatory system of government departments is not perfect. In these three cases, the government departments need to work hard to improve the regulatory efficiency and formulate reasonable regulatory policies according to the actual situation to promote the evolution of the system to an ideal stable state.
- (2)
- No matter what the initial strategy of the participants is, they can change their behavior through observation, learning, and imitation, and finally evolve to the optimal stable strategy (under the condition of proposition 4): namely, the government departments choose to supervise, the private pension institutions choose to regulate the operation, and the elderly choose to participate. This shows that the final evolution result of the system is not necessarily related to the initial strategy value of each agent, but the size of the initial strategy value will affect the rate of each agent’s evolution to a stable state. The smaller the probability that private pension institutions initially choose to operate in a standardized manner, the greater the rate at which government departments evolve to complete supervision. This is because in this case, the probability of the elderly being infringed upon by institutions is very high. The government departments need to protect the legal rights and interests of the elderly, so they need to complete the comprehensive supervision of the elderly care institutions in a short time. The rate at which the elderly evolve to full participation is positively correlated with the rate at which private pension institutions evolve to standardized operation. This shows that the elderly also have a sense of seeking benefits and avoiding disadvantages. Only when the operation of the elderly care institutions is safe and standardized enough, will they have a stronger willingness to participate in the use of elderly care services.
- (3)
- The increase in the success rate of government supervision, subsidy coefficient and punishment coefficient, or the reduction of its own supervision cost and fixed subsidies for the elderly can increase the probability of private pension institutions’ evolving towards standardized operation. In addition, we need to pay attention to the impact of additional income on the behavior evolution of private pension institutions. If the extra income is large enough, private pension institutions will choose to operate in violation of regulations, which will do great harm to the elderly. Therefore, in order to maintain the good order of the elderly care service market, the government departments must crack down on the illegal profit-making behavior of private elderly care institutions and cut off their profit-making channels as much as possible.
6. Conclusions
Author Contributions
Funding
Institutional Review Board Statement
Informed Consent Statement
Data Availability Statement
Acknowledgments
Conflicts of Interest
References
- He, J.; Luo, X.; Zhang, Z.; Yu, Y. Strategic Analysis of Participants in the Provision of Elderly Care Services—An Evolutionary Game Perspective. Int. J. Environ. Res. Public Health 2021, 18, 8595. [Google Scholar] [CrossRef] [PubMed]
- Liu, C. Case-mix and quality indicators in Chinese elder care homes: Are there differences between government-owned and private-sector facilities? J. Am. Geriatr. Soc. 2014, 62, 371–377. [Google Scholar] [CrossRef] [PubMed]
- Feng, Z.; Zhan, H.J.; Feng, X.; Liu, C.; Sun, M.; Mor, V. An Industry in the Making: The Emergence of Institutional Elder Care in Urban China. J. Am. Geriatr. Soc. 2011, 59, 738–744. [Google Scholar] [CrossRef]
- Chen, Z.; Yu, J.; Song, Y.; Chui, D. Aging Beijing: Challenges and strategies of health care for the elderly. Ageing Res. Rev. 2010, 9, S2–S5. [Google Scholar] [CrossRef]
- Ariaans, M.; Linden, P.; Wendt, C. Worlds of long-term care: A typology of OECD countries. Health Policy 2021, 125, 609–617. [Google Scholar] [CrossRef] [PubMed]
- Feng, Z.L.; Liu, C.; Guan, X.P.; Mor, V. China’s Rapidly Aging Population Creates Policy Challenges In Shaping A Viable Long-Term Care System. Health Aff. 2012, 31, 2764–2773. [Google Scholar] [CrossRef] [PubMed]
- Feng, Z.; Glinskaya, E.; Chen, H.; Gong, S.; Qiu, Y.; Xu, J.; Yip, W. Long-term care system for older adults in China: Policy landscape, challenges, and future prospects. Lancet 2020, 396, 1362–1372. [Google Scholar] [CrossRef]
- How will 260 million people live through their old age with frequent thunderstorms in nursing homes. Available online: https://new.qq.com/rain/a/20221229A00SQ900 (accessed on 11 February 2023).
- Goharinezhad, S.; Maleki, M.; Baradaran, H.R.; Ravaghi, H. A qualitative study of the current situation of elderly care in Iran: What can we do for the future? Glob. Health Action 2016, 9, 32156. [Google Scholar] [CrossRef] [PubMed]
- Prince, M.; Livingston, G.; Katona, C. Mental health care for the elderly in low-income countries: A health systems approach. World Psychiatry 2007, 6, 5–13. [Google Scholar] [PubMed]
- Sudo, K.; Kobayashi, J.; Noda, S.; Fukuda, Y.; Takahashi, K. Japan’s healthcare policy for the elderly through the concepts of self-help (Ji-jo), mutual aid (Go-jo), social solidarity care (Kyo-jo), and governmental care (Ko-jo). Biosci. Trends 2018, 12, 7–11. [Google Scholar] [CrossRef] [PubMed]
- Pestieau, P.; Sato, M. Long-Term Care: The State, the Market and the Family. Economica 2008, 75, 435–454. [Google Scholar] [CrossRef]
- Maarse, H. The Privatization of Health Care in Europe: An Eight-Country Analysis. J. Health Politi-Policy Law 2006, 31, 981–1014. [Google Scholar] [CrossRef]
- Stolt, R.; Blomqvist, P.; Winblad, U. Privatization of social services: Quality differences in Swedish elderly care. Soc. Sci. Med. 2011, 72, 560–567. [Google Scholar] [CrossRef] [PubMed]
- Hillmer, M.P.; Wodchis, W.P.; Gill, S.S.; Anderson, G.M.; Rochon, P.A. Nursing home profit status and quality of care: Is there any evidence of an association? Med. Care Res. Rev. 2005, 62, 139–166. [Google Scholar] [CrossRef] [PubMed]
- Tokunaga, M.; Hashimoto, H. Factors affecting the entry of for-profit providers into a price regulated market for formal long-term care services: A case study from Japan. Soc. Sci. Med. 2013, 76, 143–149. [Google Scholar] [CrossRef] [PubMed]
- Kuhn, M.; Nuscheler, R. Optimal public provision of nursing homes and the role of information. J. Health Econ. 2011, 30, 795–810. [Google Scholar] [CrossRef] [PubMed]
- Yue, X.; Lin, Y. Effectiveness of Punishment and Operating Subsidy in Supervision of China’s Pension PPP Projects: An Evolutionary Game and Simulation Analysis. Math. Probl. Eng. 2019, 2019, 9641429. [Google Scholar] [CrossRef]
- Li, C.; Li, X.; Wang, Y. Evolutionary Game Analysis of the Supervision Behavior for Public-Private Partnership Projects with Public Participation. Math. Probl. Eng. 2016, 2016, 1760837. [Google Scholar] [CrossRef]
- Zhu, G.; Liu, H.; Feng, M. An Evolutionary Game-Theoretic Approach for Assessing Privacy Protection in mHealth Systems. Int. J. Environ. Res. Public Health 2018, 15, 2196. [Google Scholar] [CrossRef] [PubMed]
- Ho, E.; Rajagopalan, A.; Skvortsov, A.; Arulampalam, S.; Piraveenan, M. Game Theory in Defence Applications: A Review. Sensors 2022, 22, 1032. [Google Scholar] [CrossRef] [PubMed]
- Duan, W.; Li, C.; Zhang, P.; Chang, Q. Game modeling and policy research on the system dynamics-based tripartite evolution for government en-vironmental regulation. Clust. Comput. 2016, 19, 2061–2074. [Google Scholar] [CrossRef]
- Colman, A.M. Cooperation, psychological game theory, and limitations of rationality in social interaction. Behav. Brain Sci. 2003, 26, 139–153. [Google Scholar] [CrossRef] [PubMed]
- Xiao, T.; Yu, G. Supply chain disruption management and evolutionarily stable strategies of retailers in the quantity-setting duopoly situation with homogeneous goods. Eur. J. Oper. Res. 2006, 173, 648–668. [Google Scholar] [CrossRef] [PubMed]
- Schotter, A. The economic theory of social institutions. In Cambridge Books; Cambridge University Press: Cambridge, UK, 2008. [Google Scholar]
- Chen, W.; Hu, Z.-H. Using evolutionary game theory to study governments and manufacturers’ behavioral strategies under various carbon taxes and subsidies. J. Clean. Prod. 2018, 201, 123–141. [Google Scholar] [CrossRef]
- Sun, S.; Yang, H.; Yang, G.; Pi, J. Evolutionary Games and Dynamics in Public Goods Supply with Repetitive Actions. Mathematics 2021, 9, 1726. [Google Scholar] [CrossRef]
- Liu, Z.; Lang, L.; Li, L.; Zhao, Y.; Shi, L. Evolutionary game analysis on the recycling strategy of household medical device enterprises under government dynamic rewards and punishments. Math. Biosci. Eng. 2021, 18, 6434–6451. [Google Scholar] [PubMed]
- Chen, T.; Peng, L.; Yang, J.; Cong, G.; Li, G. Evolutionary Game of Multi-Subjects in Live Streaming and Governance Strategies Based on Social Preference Theory during the COVID-19 Pandemic. Mathematics 2021, 9, 2743. [Google Scholar] [CrossRef]
- He, Y.; Qin, R. Autonomous rectification behavior of coal mine safety hazards under a gambling mind: From an evolutionary game perspective. Process Saf. Environ. Prot. 2023, 169, 840–849. [Google Scholar]
- Li, X.; Huang, R.; Dai, J.; Li, J.; Shen, Q. Research on the Evolutionary Game of Construction and Demolition Waste (CDW) Recycling Units’ Green Behavior, Considering Remanufacturing Capability. Int. J. Environ. Res. Public Health 2021, 18, 9268. [Google Scholar] [CrossRef] [PubMed]
- Antoci, A.; Apollonio, M.; Russu, P.; Scandura, M. When humans play evolutionary games with animal species. Ecol. Model. 2023, 476, 110221. [Google Scholar] [CrossRef]
- Weibull, J.W. Evolutionary Game Theory; MIT Press: Cambridge, MA, USA, 1997. [Google Scholar]
- Wang Q, Yin X, Understanding the impact on energy transition of consumer behavior and enterprise decisions through evolutionary game analysis. Sustain. Prod. Consum. 2021, 28, 231–240. [CrossRef]
- Kalman, R.; Bertram, J. Control system analysis and design via the second method of lyapunov: (I) continuous-time systems (II) discrete time systems. IRE Trans. Autom. Control. 1959, 4, 112. [Google Scholar] [CrossRef]











| Parameters | Descriptions |
|---|---|
| Total revenue when government departments choose strategy | |
| Basic operating income of private pension institutions when choosing strategy | |
| The benefits of using elderly care services when the elderly choose strategy | |
| Δπ | Additional benefits obtained by private pension institutions by choosing strategy |
| Fixed costs invested by government departments when choosing the strategy | |
| Total losses suffered by government departments when choosing strategy | |
| The cost invested by private pension institutions when choosing strategy | |
| The cost invested by private pension institutions when choosing strategy | |
| Service fees paid by the elderly when they choose strategy | |
| Private pension institutions choose strategy, but the elderly choose strategy, resulting in operational losses | |
| Private pension institutions choose strategy, but the elderly choose strategy, resulting in operational losses | |
| The benefit loss of the elderly caused by the choice of strategy by private pension institutions | |
| a | Fixed subsidies given by government departments when the elderly choose strategy |
| λ | regulatory success rate of government departments |
| s | Subsidies from government departments when private pension institutions choose strategy |
| θ | Subsidy coefficient of government departments |
| p | Punishments of government departments when private pension institutions choose strategy |
| η | Penalty coefficient of government departments |
| Variables | Descriptions |
| x | Probability of government departments’ choosing strategy |
| y | Probability of private pension institutions’ choosing strategy |
| z | Probability of the elderly choosing strategy |
| Government Departments | |||||
|---|---|---|---|---|---|
| Strategy (x) | Strategy (1−x) | ||||
| The Elderly | The Elderly | ||||
| Strategy (z) | Strategy (1−z) | Strategy (z) | Strategy (1−z) | ||
| Private pension institutions | strategy (y) | −−θs−a θs− − | −−θs θs−− 0 | − − − | − −− 0 |
| strategy (1−y) | −ληp−a −−a | −ληp − 0 | − −− | − − 0 | |
| Equilibrium Points | Eigenvalue 1 | Eigenvalue 2 | Eigenvalue 3 |
|---|---|---|---|
Disclaimer/Publisher’s Note: The statements, opinions and data contained in all publications are solely those of the individual author(s) and contributor(s) and not of MDPI and/or the editor(s). MDPI and/or the editor(s) disclaim responsibility for any injury to people or property resulting from any ideas, methods, instructions or products referred to in the content. |
© 2023 by the authors. Licensee MDPI, Basel, Switzerland. This article is an open access article distributed under the terms and conditions of the Creative Commons Attribution (CC BY) license (https://creativecommons.org/licenses/by/4.0/).
Share and Cite
Zhang, Z.; Song, X.; Shi, Y. Evolutionary Game Analysis of Behavior Strategies of Multiple Stakeholders in an Elderly Care Service System. Int. J. Environ. Res. Public Health 2023, 20, 4263. https://doi.org/10.3390/ijerph20054263
Zhang Z, Song X, Shi Y. Evolutionary Game Analysis of Behavior Strategies of Multiple Stakeholders in an Elderly Care Service System. International Journal of Environmental Research and Public Health. 2023; 20(5):4263. https://doi.org/10.3390/ijerph20054263
Chicago/Turabian StyleZhang, Zhiyong, Xiaodie Song, and Yongqiang Shi. 2023. "Evolutionary Game Analysis of Behavior Strategies of Multiple Stakeholders in an Elderly Care Service System" International Journal of Environmental Research and Public Health 20, no. 5: 4263. https://doi.org/10.3390/ijerph20054263
APA StyleZhang, Z., Song, X., & Shi, Y. (2023). Evolutionary Game Analysis of Behavior Strategies of Multiple Stakeholders in an Elderly Care Service System. International Journal of Environmental Research and Public Health, 20(5), 4263. https://doi.org/10.3390/ijerph20054263

