How Does Sustainable Leadership Affect Environmental Innovation Strategy Adoption? The Mediating Role of Environmental Identity
Abstract
1. Introduction
2. Literature Review
2.1. Sustainable Leadership
2.2. Environmental Identity Theory
2.3. Environmental Innovation Strategy
2.4. The Sustainable Leadership and the Environmental Identity of the TMT
2.5. The Environmental Identity of TMT and Environmental Innovation Strategy Adoption
2.6. The Mediating Role of the Environmental Identity of the TMT
3. Materials and Methods
3.1. Sampling
3.2. Measures
3.3. Validation
3.4. Latent Growth Curve Model
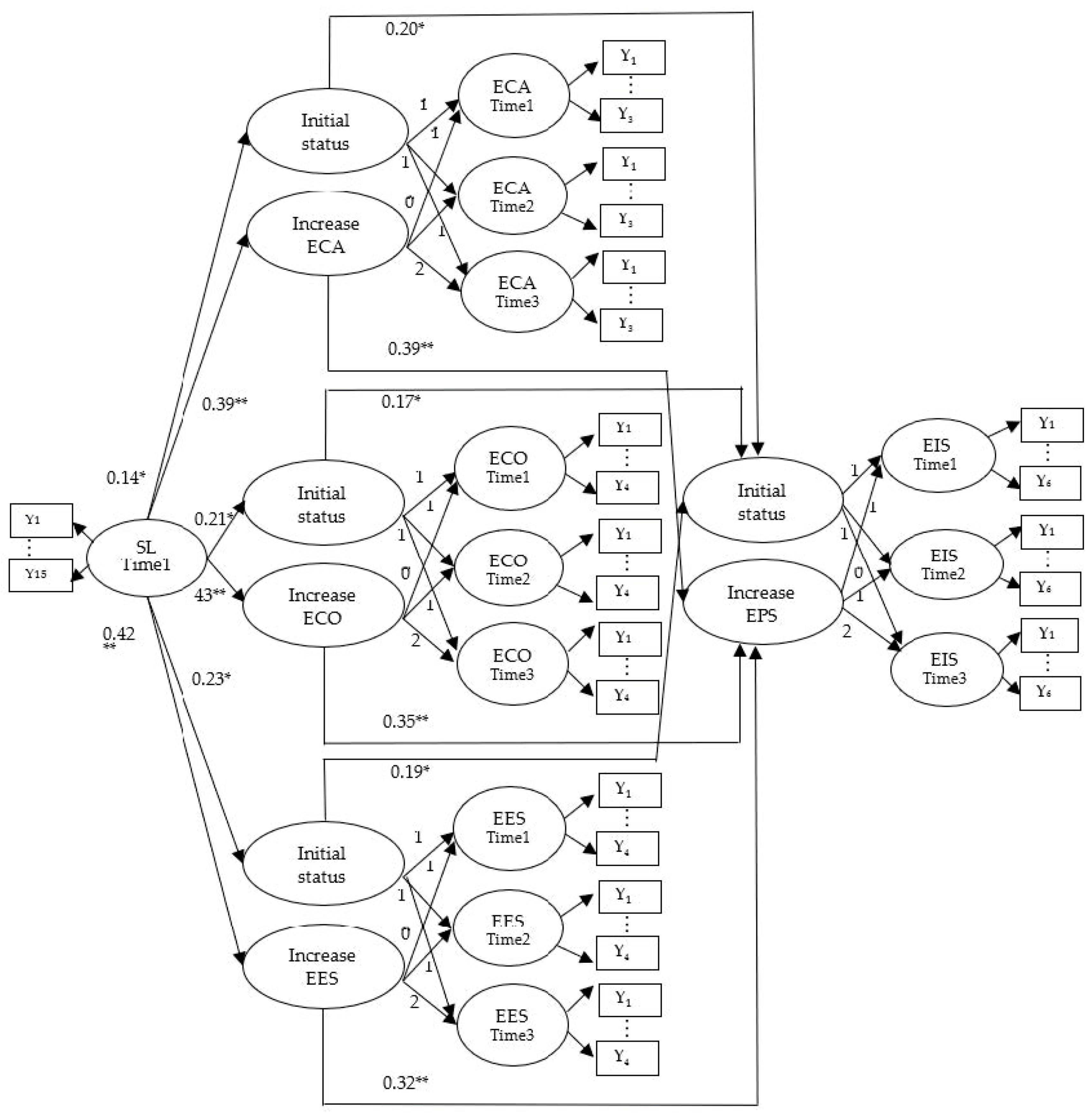
4. Analysis Results
5. Discussion
5.1. Theoretical Implications
5.2. Practical Implications
5.3. Limitations
6. Conclusions
Author Contributions
Funding
Institutional Review Board Statement
Informed Consent Statement
Conflicts of Interest
Appendix A
| Variable | Evaluation Items |
|---|---|
| Sustainable Leadership | 1. My leader acts in a sustainable, socially responsible manner. 2. My leader acts in a sustainable, environmentally responsible manner. 3. My leader acts in a sustainable, ethically responsible manner. 4. My leader’s decisions are made while considering the entire organization. 5. My leader’s management officially recognizes when a mistake is made that affects sustainability. 6. My leader is willing to correct mistakes that affect sustainability. 7. My leader attempts to use unique innovative methods to resolve sustainability issues. 8. My leader attempts to create wealth through sustainable efforts. 9. My leader puts purpose before profit. 10. My leader balances sustainable social responsibility with profits. 11. My leader demonstrates sustainability by persevering through all types of change. 12. My leader is concerned about how sustainability affects employees. 13. My leader communicates sustainability decisions to all involved. 14. My leader attempts to build a culture of sustainability through communication efforts. 15. My leader has a plan to demonstrate sustainability when hiring, promoting employees, and replacing leaders. |
| Environmental self-categorization | 1. Our team identifies … 2. Our team likes the … 3. Our team is an import reflection of the … |
| Environmental affective commitment | 1. Our team will very much enjoy executing the … 2. The problems of … are problems of ours. 3. Our team is emotionally attached to … 4. Our team has strong sense of belonging to … |
| Environmental self-esteem. | 1. Our team feels confident executing the … 2. Employees respect and admire our team for executing the … 3. Our team is smart to execute the … 4. Our team is confident of understanding the … |
| Environmental Innovation Strategy | 1. My company will choose the least-polluting material for product development or design. 2. My company will design products using the least amount of materials. 3. My company will design products that are easy to recycle, reuse and decompose. 4. My company’s manufacturing process reduces the consumption of water, electricity, coal or oil consumption. 5. My company has effectively reduced the discharge of harmful substances or waste during the product manufacturing process. 6. My company reduces the use of materials in the product manufacturing process. |
References
- Chang, T.W. Corporate Sustainable Development Strategy: Effect of Green Shared Vision on Organization Members’ Behavior. Int. J. Environ. Res. Public Health 2020, 17, 2446. [Google Scholar] [CrossRef]
- Chang, T.W.; Chen, Y.S.; Huang, S.Y.B. How to weigh in on sustainability trends? Sustainable consumption by electric scooter customers and its implications for green marketing. Corp. Manag. Rev. 2021, 41, 39–79. [Google Scholar]
- Huang, S.Y.B.; Yu, C.-C.; Lee, Y.-S. How to Promote the Agricultural Company Through Environmental Social Responsibility to Achieve Sustainable Production? Front. Environ. Sci. 2022, 9, 770783. [Google Scholar] [CrossRef]
- Alnaim, A.F.; Abdelwahed, N.A.A.; Soomro, B.A. Environmental Challenges and Green Innovation Strategy: A Vigorous Development of Greener Dynamics. Sustainability 2022, 14, 9709. [Google Scholar] [CrossRef]
- Hlioui, Z.; Gabsi, M.; Omri, A. Informal Competition Effect on SMEs’ Innovation: Do Credit Constraints Matter? Evidence from Eastern European Countries. Sustainability 2022, 14, 13874. [Google Scholar] [CrossRef]
- Soewarno, N.; Tjahjadi, B.; Fithrianti, F. Green innovation strategy and green innovation: The roles of green organizational identity and environmental organizational legitimacy. Manag. Decis. 2019, 57, 3061–3078. [Google Scholar] [CrossRef]
- Farrow, S.; Miller, K.A.; Myllyvirta, L. 2020 Toxic Air: The Price of Fossil Fuels Greenspace. Available online: https://www.greenpeace.org/static/planet4-southeastasia-stateless/2020/02/21b480fa-toxic-air-report-110220.pdf (accessed on 1 October 2022).
- Alyahya, M.; Aliedan, M.; Agag, G.; Abdelmoety, Z.H. Exploring the Link between Sustainable Development Practices, Institutional Pressures, and Green Innovation. Sustainability 2022, 14, 14312. [Google Scholar] [CrossRef]
- Mulaessa, N.; Lin, L. How Do Proactive Environmental Strategies Affect Green Innovation? The Moderating Role of Environmental Regulations and Firm Performance. Int. J. Environ. Res. Public Health 2021, 18, 9083. [Google Scholar] [CrossRef] [PubMed]
- Yu, Y.; Xu, Z.; Shen, P.; Zhang, L.; Ni, T. Efficiency Evaluation and Influencing Factors of Green Innovation in Chinese Resource-Based Cities: Based on SBM-Undesirable and Spatial Durbin Model. Int. J. Environ. Res. Public Health 2022, 19, 13772. [Google Scholar] [CrossRef] [PubMed]
- Huang, S.Y.B.; Chen, K.-H.; Lee, Y.-S. How to Promote Medium-Sized Farms to Adopt Environmental Strategy to Achieve Sustainable Production during the COVID-19 Pandemic? Agriculture 2021, 11, 1052. [Google Scholar] [CrossRef]
- Tajfel, H. Social categorization, social identity and social comparison. In Diferentiation between Social Groups: Studies in the Social Psychology of Intergroup Relations; Tajfel, H., Ed.; Academic Press: London, UK, 1978; pp. 61–76. [Google Scholar]
- Merma-Molina, G.; Urrea-Solano, M.; Baena-Morales, S.; Gavilán-Martín, D. The Satisfactions, Contributions, and Opportunities of Women Academics in the Framework of Sustainable Leadership: A Case Study. Sustainability 2022, 14, 8937. [Google Scholar] [CrossRef]
- Robertson, J.L.; Barling, J. (Eds.) Introduction. In The Psychology of Green Organizations; Oxford University: Oxford, UK, 2015; pp. 3–11. [Google Scholar]
- Brubaker, R.; Cooper, F. Beyond “identity”. Theory Soc. 2000, 29, 1–47. [Google Scholar] [CrossRef]
- Chang, T.W.; Chen, Y.S.; Lin, C.Y. The Myth of Organizational Change Process: A Study of Uniting Organizational Identity, Promoting Organizational Performance, and Member Behavior. SAGE Open 2022, 12, 21582440221079891. [Google Scholar] [CrossRef]
- Lu, Z.-A.; Shi, L.; Que, J.-Y.; Zheng, Y.-B.; Wang, Q.-W.; Liu, W.-J.; Huang, Y.-T.; Liu, X.-X.; Yuan, K.; Yan, W.; et al. Accessibility to Digital Mental Health Services among the General Public throughout COVID-19: Trajectories, Influencing Factors and Association with Long-Term Mental Health Symptoms. Int. J. Environ. Res. Public Health 2022, 19, 3593. [Google Scholar] [CrossRef]
- Preacher, K.J. Latent Growth Curve Models; Routledge: New York, NY, USA, 2018. [Google Scholar]
- Zhu, X.; Shek, D.T.L. Parental Control and Adolescent Delinquency Based on Parallel Process Latent Growth Curve Modeling. Int. J. Environ. Res. Public Health 2021, 18, 8916. [Google Scholar] [CrossRef]
- Yukl, G. Effective leadership behavior: What we know and what questions need more attention. Acad. Manag. Perspect. 2012, 26, 66–85. [Google Scholar] [CrossRef]
- Wu, Q.; Cherian, J.; Samad, S.; Comite, U.; Hu, H.; Gunnlaugsson, S.B.; Oláh, J.; Sial, M.S. The Role of CSR and Ethical Leadership to Shape Employees’ Pro-Environmental Behavior in the Era of Industry 4.0. A Case of the Banking Sector. Sustainability 2021, 13, 9773. [Google Scholar] [CrossRef]
- Nor-Aishah, H.; Ahmad, N.H.; Thurasamy, R. Entrepreneurial Leadership and Sustainable Performance of Manufacturing SMEs in Malaysia: The Contingent Role of Entrepreneurial Bricolage. Sustainability 2020, 12, 3100. [Google Scholar] [CrossRef]
- Bazzoli, A.; Curcuruto, M.; Morgan, J.I.; Brondino, M.; Pasini, M. Speaking Up about Workplace Safety: An Experimental Study on Safety Leadership. Sustainability 2020, 12, 7458. [Google Scholar] [CrossRef]
- Iqbal, Q.; Ahmad, N.H.; Li, Z.; Li, Y. To walk in beauty: Sustainable leadership, frugal innovation and environmental performance. Manag. Decis. Econ. 2021, 43, 738–750. [Google Scholar] [CrossRef]
- Boiral, O.; Baron, C.; Gunnlaugson, O. Environmental leadership and consciousness development: A case study among Canadian SMEs. J. Bus. Ethics 2014, 123, 363–383. [Google Scholar] [CrossRef]
- Lourenço, I.C.; Callen, J.L.; Branco, M.C.; Curto, J.D. The value relevance of reputation for sustainability leadership. J. Bus. Ethics 2014, 119, 17–28. [Google Scholar] [CrossRef]
- Sulasmi, E.; Agussani; Tanjung, H. Bridging the way towards sustainability performance through safety, empowerment and learning: Using sustainable leadership as driving force. J. Secur. Sustain. Issues 2020, 10, 93–107. [Google Scholar] [CrossRef] [PubMed]
- Hogg, M.A.; Hardie, E.A. Prototypicality, Conformity and Depersonalized Attraction: A Self-Categorization Analysis of Group Cohesiveness. Br. J. Soc. Psychol. 1992, 31, 41–56. [Google Scholar] [CrossRef]
- Bergami, M.; Bagozzi, R.P. Self-categorization, affective commitment, and group self-esteem as distinct aspects of social identity in the organization. Br. J. Soc. Psychol. 2000, 39, 555–577. [Google Scholar] [CrossRef] [PubMed]
- Allen, N.J.; Meyer, J.P. Affective, Continuance, and Normative Commitment to the Organization: An Examination of Construct Validity. J. Appl. Psychol. 1996, 49, 252–276. [Google Scholar] [CrossRef] [PubMed]
- Miller, K. The Triple Bottom Line: What It Is & Why It’s Important. Business Insights—Blog, 8 December 2020. Available online: https://online.hbs.edu/blog/post/what-is-the-triple-bottom-line (accessed on 16 December 2022).
- Suriyankietkaew, S.; Krittayaruangroj, K.; Iamsawan, N. Sustainable Leadership Practices and Competencies of SMEs for Sustainability and Resilience: A Community-Based Social Enterprise Study. Sustainability 2022, 14, 5762. [Google Scholar] [CrossRef]
- Jung, J.-Y. The Effect of Authentic Leadership of Deans and Directors on Sustainable Organizational Commitment at Universities: Mediated by Organizational Culture and Trust. Sustainability 2022, 14, 11051. [Google Scholar] [CrossRef]
- Son, W.-H.; Baek, W.-Y.; Byon, K.K. Effects of Sports Center Employees’ Self-Leadership on Organizational Commitment: Mediating Effects of Leader-Member Exchange. Sustainability 2022, 14, 11343. [Google Scholar] [CrossRef]
- Wang, C.-J. Exploring the Mechanisms Linking Transformational Leadership, Perceived Organizational Support, Creativity, and Performance in Hospitality: The Mediating Role of Affective Organizational Commitment. Behav. Sci. 2022, 12, 406. [Google Scholar] [CrossRef]
- Zeng, J.; Xu, G. How Servant Leadership Motivates Innovative Behavior: A Moderated Mediation Model. Int. J. Environ. Res. Public Health 2020, 17, 4753. [Google Scholar] [CrossRef]
- Wen, Q.; Wu, Y.; Long, J. Influence of Ethical Leadership on Employees’ Innovative Behavior: The Role of Organization-Based Self-Esteem and Flexible Human Resource Management. Sustainability 2021, 13, 1359. [Google Scholar] [CrossRef]
- Huang, S.Y.B.; Lee, S.-C.; Lee, Y.-S. Constructing an Adoption Model of Proactive Environmental Strategy: A Novel Quantitative Method of the Multi-Level Growth Curve Model. Mathematics 2021, 9, 1962. [Google Scholar] [CrossRef]
- Hambrick, D.C. Upper echelons theory: An update. Acad. Manag. Rev. 2007, 32, 334–343. [Google Scholar] [CrossRef]
- Huang, S.Y.B.; Li, M.-W.; Lee, Y.-S. Why Do Medium-Sized Technology Farms Adopt Environmental Innovation? The Mediating Role of Pro-Environmental Behaviors. Horticulturae 2021, 7, 318. [Google Scholar] [CrossRef]
- Chen, Y.; Tang, G.; Cooke, F.L.; Jin, J. How does executive strategic resource management link to organizational ambidexterity? an empirical examination of manufacturing firms in China. Hum. Resour. Manag. 2016, 55, 919–943. [Google Scholar] [CrossRef]
- Fareed, M.Z.; Su, Q. Project Governance and Project Performance: The Moderating Role of Top Management Support. Sustainability 2022, 14, 2516. [Google Scholar] [CrossRef]
- Wang, H.; He, W.; Yang, Y. Is Heterogeneity Better? The Impact of Top Management Team Characteristics on Enterprise Innovation Performance. Behav. Sci. 2022, 12, 164. [Google Scholar] [CrossRef]
- Huang, S.Y.B.; Huang, C.-H.; Chang, T.-W. A New Concept of Work Engagement Theory in Cognitive Engagement, Emotional Engagement, and Physical Engagement. Front. Psychol. 2022, 12, 663440. [Google Scholar] [CrossRef]
- Huang, S.Y.B.; Lee, C.-J. Predicting continuance intention to fintech chatbot. Comput. Hum. Behav. 2022, 129, 107027. [Google Scholar] [CrossRef]
- Reynolds, N.; Diamantopoulos, A.; Schlegelmilch, B.B. Presting in questionnaire design: A review of the literature and suggestion for further research. J. Mark. Res. Soc. 1993, 35, 171–182. [Google Scholar]
- McCann, J.T.; Holt, R.A. Servant and sustainable leadership: An analysis in the manufacturing environment. Int. J. Manag. Pract. 2010, 4, 134–148. [Google Scholar] [CrossRef]
- Ellemers, N.; Kortekaas, P.; Ouwerkerk, J.W. Self-categorisation, commitment to the group and group self-esteem as related but distinct aspects of social identity. Eur. J. Soc. Psychol. 1999, 29, 371–389. [Google Scholar] [CrossRef]
- Fornell, C.R.; Larcker, F.F. Structural Equation Models with Unobservable Variables and Measurement Error. J. Mark. Res. 1981, 18, 39–51. [Google Scholar] [CrossRef]
- Huang, S.Y.B.; Li, M.-W.; Chang, T.-W. Transformational Leadership, Ethical Leadership, and Participative Leadership in Predicting Counterproductive Work Behaviors: Evidence From Financial Technology Firms. Front. Psychol. 2021, 12, 658727. [Google Scholar] [CrossRef] [PubMed]
- Lee, C.-J.; Huang, S.Y.B. Double-edged effects of ethical leadership in the development of Greater China salespeople’s emotional exhaustion and long-term customer relationships. Chin. Manag. Stud. 2020, 14, 29–49. [Google Scholar] [CrossRef]
- Huang, S.Y.B.; Li, M.-W.; Lee, Y.-S. Transforming the Emotional Intelligence of the Feeders in Agribusinesses into the Development of Task Performance and Counterproductive Work Behaviors during the COVID-19 Pandemic. Animals 2021, 11, 3124. [Google Scholar] [CrossRef]
- Baron, R.; Kenny, D. The moderator-mediator variable distinction in social psychological research: Conceptual, strategic, andstatistical considerations. J. Pers. Soc. Psychol. 1986, 51, 1173–1182. [Google Scholar] [CrossRef]
- Toscano, A.; Balzarotti, M.; Re, I. Sustainability Practices and Greenwashing Risk in the Italian Poultry Sector: A Grounded Theory Study. Sustainability 2022, 14, 14088. [Google Scholar] [CrossRef]
- Chreif, M.; Farmanesh, P. Applying Green Human Resource Practices toward Sustainable Workplace: A Moderated Mediation Analysis. Sustainability 2022, 14, 9250. [Google Scholar] [CrossRef]
- Chang, T.W.; Chen, Y.S.; Yeh, Y.L.; Li, H.X. Sustainable consumption models for customers: Investigating the significant antecedents of green purchase behavior from the perspective of information asymmetry. J. Environ. Plan. Manag. 2021, 64, 1668–1688. [Google Scholar] [CrossRef]
- Chang, T.W.; Hung, C.Z. Sustainable consumption: Research on examining the influence of the psychological process of consumer green purchase intention by using a theoretical model of consumer affective events. Environ. Dev. Sustain. 2022, 1–21. [Google Scholar] [CrossRef]


| Variables | Mean | Standard Deviation | SLE | ECA | ECO | EES | EIS |
|---|---|---|---|---|---|---|---|
| SLE | 5.31 | 0.92 | 1 | ||||
| ECA | 5.24 | 0.86 | 0.41 | 1 | |||
| ECO | 5.12 | 0.83 | 0.48 | 0.23 | 1 | ||
| EES | 5.13 | 0.81 | 0.47 | 0.25 | 0.27 | 1 | |
| EIS | 4.99 | 0.93 | 0.27 | 0.41 | 0.39 | 0.37 | 1 |
| Constructs | Items | λ | Cronbach’s α | Composite Reliability | Average Variation Extracted |
|---|---|---|---|---|---|
| Sustainable Leadership | SLE01 | 0.701 ** | 0.937 | 0.89 | 0.61 |
| SLE02 | 0.765 ** | ||||
| SLE03 | 0.676 *** | ||||
| SLE04 | 0.895 ** | ||||
| SLE05 | 0.748 ** | ||||
| SLE06 | 0.775 ** | ||||
| SLE07 | 0.778 ** | ||||
| SLE08 | 0.785 ** | ||||
| SLE09 | 0.718 ** | ||||
| SLE10 | 0.815 ** | ||||
| SLE11 | 0.788 ** | ||||
| SLE12 | 0.725 ** | ||||
| SLE13 | 0.798 ** | ||||
| SLE14 | 0.725 ** | ||||
| SLE15 | 0.758 ** | ||||
| SLE16 | 0.725 ** | ||||
| Environment-categorization | ECA01 | 0.810 ** | 0.893 | 0.84 | 0.65 |
| ECA02 | 0.822 ** | ||||
| ECA03 | 0.790 ** | ||||
| Environment-commitment | ECO01 | 0.830 ** | 0.913 | 0.88 | 0.65 |
| ECO02 | 0.832 ** | ||||
| ECO03 | 0.780 ** | ||||
| ECO03 | 0.790 ** | ||||
| Environment-esteem | EES01 | 0.789 ** | 0.869 | 0.87 | 0.63 |
| EES02 | 0.811 ** | ||||
| EES03 | 0.808 ** | ||||
| EES04 | 0.759 ** | ||||
| Environmental Innovation Strategy | EIS01 | 0.799 ** | 0.921 | 0.89 | 0.60 |
| EIS02 | 0.802 ** | ||||
| EIS03 | 0.758 ** | ||||
| EIS04 | 0.799 ** | ||||
| EIS05 | 0.718 ** | ||||
| EIS06 | 0.739 ** |
| Hypothesis | Pathway | Coefficient |
|---|---|---|
| H1 | SL → ECA | 0.39 ** |
| H2 | SL → EES | 0.43 ** |
| H3 | SL → ECO | 0.42 ** |
| H4 | ECA → EIS | 0.39 ** |
| H5 | EES → EIS | 0.35 ** |
| H6 | ECO → EIS | 0.32 ** |
Disclaimer/Publisher’s Note: The statements, opinions and data contained in all publications are solely those of the individual author(s) and contributor(s) and not of MDPI and/or the editor(s). MDPI and/or the editor(s) disclaim responsibility for any injury to people or property resulting from any ideas, methods, instructions or products referred to in the content. |
© 2023 by the authors. Licensee MDPI, Basel, Switzerland. This article is an open access article distributed under the terms and conditions of the Creative Commons Attribution (CC BY) license (https://creativecommons.org/licenses/by/4.0/).
Share and Cite
Hu, L.; Chang, T.-W.; Lee, Y.-S.; Yen, S.-J.; Ting, C.-W. How Does Sustainable Leadership Affect Environmental Innovation Strategy Adoption? The Mediating Role of Environmental Identity. Int. J. Environ. Res. Public Health 2023, 20, 894. https://doi.org/10.3390/ijerph20010894
Hu L, Chang T-W, Lee Y-S, Yen S-J, Ting C-W. How Does Sustainable Leadership Affect Environmental Innovation Strategy Adoption? The Mediating Role of Environmental Identity. International Journal of Environmental Research and Public Health. 2023; 20(1):894. https://doi.org/10.3390/ijerph20010894
Chicago/Turabian StyleHu, Ling, Tai-Wei Chang, Yue-Shi Lee, Show-Jane Yen, and Chih-Wen Ting. 2023. "How Does Sustainable Leadership Affect Environmental Innovation Strategy Adoption? The Mediating Role of Environmental Identity" International Journal of Environmental Research and Public Health 20, no. 1: 894. https://doi.org/10.3390/ijerph20010894
APA StyleHu, L., Chang, T.-W., Lee, Y.-S., Yen, S.-J., & Ting, C.-W. (2023). How Does Sustainable Leadership Affect Environmental Innovation Strategy Adoption? The Mediating Role of Environmental Identity. International Journal of Environmental Research and Public Health, 20(1), 894. https://doi.org/10.3390/ijerph20010894

