Musculoskeletal Disorder Burden and Its Attributable Risk Factors in China: Estimates and Predicts from 1990 to 2044
Abstract
1. Introduction
2. Materials and Methods
2.1. Data Source
2.2. Statistical Analysis
2.3. Software
3. Results
3.1. Musculoskeletal Disorder Burden in China
3.2. Joinpoint Regression Analysis of the Disease Burden of Musculoskeletal Disorders in China
3.3. Difference in Attributable Risk Factors
3.4. Age–Period–Cohort (APC) Model Analysis of Musculoskeletal Disorders Incidence in China
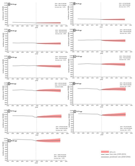
3.5. Prediction Based on the Bayesian Age Cohort Model
4. Discussion
5. Conclusions
Supplementary Materials
Author Contributions
Funding
Institutional Review Board Statement
Informed Consent Statement
Data Availability Statement
Acknowledgments
Conflicts of Interest
References
- Cieza, A.; Causey, K.; Kamenov, K.; Hanson, S.W.; Chatterji, S.; Vos, T. Global estimates of the need for rehabilitation based on the Global Burden of Disease study 2019: A systematic analysis for the Global Burden of Disease Study 2019. Lancet 2020, 396, 2006–2017. [Google Scholar] [CrossRef] [PubMed]
- Gomez-Galan, M.; Perez-Alonso, J.; Callejon-Ferre, A.-J.; Lopez-Martinez, J. Musculoskeletal disorders: OWAS review. Ind. Health 2017, 55, 314–337. [Google Scholar] [CrossRef]
- Freemont, A.J.; Hoyland, J.A. Morphology, mechanisms and pathology of musculoskeletal ageing. J. Pathol. 2007, 211, 252–259. [Google Scholar] [CrossRef] [PubMed]
- Safiri, S.; Kolahi, A.-A.; Cross, M.; Hill, C.; Smith, E.; Carson-Chahhoud, K.; Mansournia, M.A.; Almasi-Hashiani, A.; Ashrafi-Asgarabad, A.; Kaufman, J.; et al. Prevalence, Deaths, and Disability-Adjusted Life Years Due to Musculoskeletal Disorders for 195 Countries and Territories 1990–2017. Arthritis Rheumatol. 2021, 73, 702–714. [Google Scholar] [CrossRef] [PubMed]
- Punnett, L.; Wegman, D.H. Work-related musculoskeletal disorders: The epidemiologic evidence and the debate. J. Electromyogr. Kinesiol. 2004, 14, 13–23. [Google Scholar] [CrossRef]
- Gcelu, A.; Kalla, A.A. Musculoskeletal disorders-disease burden and challenges in the developing world. S. Afr. Med. J. 2015, 105, 1070–1071. [Google Scholar] [CrossRef]
- Liu, S.; Wang, B.; Fan, S.; Wang, Y.; Zhan, Y.; Ye, D. Global burden of musculoskeletal disorders and attributable factors in 204 countries and territories: A secondary analysis of the Global Burden of Disease 2019 study. BMJ Open 2022, 12, e062183. [Google Scholar] [CrossRef]
- Xu, G.; Li, L.; Liu, F.; Pei, D.; Wang, S. Musculoskeletal disorders and risk factors of workers in a coal mine. Chin. J. Ind. Hyg. Occup. Dis. 2011, 29, 190–193. [Google Scholar] [CrossRef]
- Wang, Y.; Peng, Q.; Guo, J.; Zhou, L.; Lu, W. Age-Period-Cohort Analysis of Type-Specific Stroke Morbidity and Mortality in China. Circ. J. 2020, 84, 662–669. [Google Scholar] [CrossRef]
- Punnett, L. Musculoskeletal disorders and occupational exposures: How should we judge the evidence concerning the causal association? Scand. J. Public Health 2014, 42, 49–58. [Google Scholar] [CrossRef]
- Blyth, F.M.; Briggs, A.M.; Schneider, C.H.; Hoy, D.G.; March, L.M. The Global Burden of Musculoskeletal Pain-Where to From Here? Am. J. Public Health 2019, 109, 35–40. [Google Scholar] [CrossRef]
- Eun, M.A. Effects of Dental Hygienist’s Musculoskeletal Pain Resolution and Self-Efficacy on Musculoskeletal Disorders. J. Korea Acad. Ind. Coop. Soc. 2018, 19, 329–338. [Google Scholar] [CrossRef]
- Li, J.; Yin, P.; Wang, H.; Zeng, X.; Zhang, X.; Wang, L.; Liu, J.; Liu, Y.; You, J.; Zhao, Z.; et al. The disease burden attributable to 18 occupational risks in China: An analysis for the global burden of disease study 2017. Environ. Health 2020, 19, 21. [Google Scholar] [CrossRef]
- Yasin, Y.J.; Banoub, J.A.M.; Kanchan, T. GBD 2017 Risk Factor Collaborators. Global, regional, and national comparative risk assessment of 84 behavioural, environmental and occupational, and metabolic risks or clusters of risks for 195 countries and territories, 1990–2017: A systematic analysis for the Global Burden of Disease Study 2017 (2017, vol 392, pg 1923). Lancet 2019, 393, E44. [Google Scholar]
- Eun, M.A. The Relationship between Working Environment Factors and Stress and Musculoskeletal Disorders in Dental Hygienists. J. Dent. Hyg. Sci. 2015, 15, 472–479. [Google Scholar] [CrossRef][Green Version]
- Hendi, O.M.; Abdulaziz, A.A.; Althaqafi, A.M.; Hindi, A.M.; Khan, S.A.; Atalla, A.A. Prevalence of musculoskeletal disorders and its correlation to physical activity among health specialty students. Int. J. Prev. Med. 2019, 10, 48. [Google Scholar] [CrossRef]
- Bedno, S.A.; Jackson, R.; Feng, X.; Walton, I.L.; Boivin, M.R.; Cowan, D.N. Meta-analysis of Cigarette Smoking and Musculoskeletal Injuries in Military Training. Med. Sci. Sport. Exerc. 2017, 49, 2191–2197. [Google Scholar] [CrossRef]
- Lee, J.J.; Patel, R.; Biermann, J.S.; Dougherty, P.J. The Musculoskeletal Effects of Cigarette Smoking. J. Bone Jt. Surg. Am. Vol. 2013, 95, 850–859. [Google Scholar] [CrossRef]
- Lincoln, A.E.; Smith, G.S.; Amoroso, P.J.; Bell, N.S. The effect of cigarette smoking on musculoskeletal-related disability. Am. J. Ind. Med. 2003, 43, 337–349. [Google Scholar] [CrossRef]
- Prajapati, S.P.; Purohit, A. Prevalence of Musculoskeletal Disorder among College Students in Times of COVID-19 Pandemic—An Observational Study. Int. J. Health Sci. Res. 2021, 11, 214–218. [Google Scholar] [CrossRef]
- Kyu, H.H.; Abate, D.; Abate, K.H.; Abay, S.M.; Abbafati, C.; Abbasi, N.; Abbastabar, H.; Abd-Allah, F.; Abdela, J.; Abdelalim, A.; et al. Global, regional, and national disability-adjusted life-years (DALYs) for 359 diseases and injuries and healthy life expectancy (HALE) for 195 countries and territories, 1990–2017: A systematic analysis for the Global Burden of Disease Study 2017. Lancet 2018, 392, 1859–1922. [Google Scholar] [CrossRef] [PubMed]
- Abbafati, C.; Abbas, K.M.; Abbasi, M.; Abbasifard, M.; Abbasi-Kangevari, M.; Abbastabar, H.; Abd-Allah, F.; Abdelalim, A.; Abdollahi, M.; Abdollahpour, I.; et al. Global burden of 369 diseases and injuries in 204 countries and territories, 1990–2019: A systematic analysis for the Global Burden of Disease Study 2019. Lancet 2020, 396, 1204–1222. [Google Scholar] [CrossRef]
- Zhou, M.; Wang, H.; Zeng, X.; Yin, P.; Zhu, J.; Chen, W.; Li, X.; Wang, L.; Wang, L.; Liu, Y.; et al. Mortality, morbidity, and risk factors in China and its provinces, 1990–2017: A systematic analysis for the Global Burden of Disease Study 2017. Lancet 2019, 394, 1145–1158. [Google Scholar] [CrossRef] [PubMed]
- Wu, D.; Wong, P.; Guo, C.; Tam, L.-S.; Gu, J. Pattern and trend of five major musculoskeletal disorders in China from 1990 to 2017: Findings from the Global Burden of Disease Study 2017. BMC Med. 2021, 19, 34. [Google Scholar] [CrossRef] [PubMed]
- Chen, N.; Fong, D.Y.T.; Wong, J.Y.H. Trends in Musculoskeletal Rehabilitation Needs in China From 1990 to 2030: A Bayesian Age-Period-Cohort Modeling Study. Front. Public Health 2022, 10, 869239. [Google Scholar] [CrossRef] [PubMed]
- Zhang, L.; Zhang, H.; Wan, S.; Xiong, H.; Wu, L.; Zhao, H. Investigation and analysis of occupational musculoskeletal disorders among workers in three industries. J. Public Health Prev. 2006, 2, 74–75. [Google Scholar]
- Jia, N.; Ling, R.; Wang, W.; Wang, Z. Correlation between ergonomic load and work-related musculoskeletal disorders among automobile assembly workers. J. Environ. Occup. Med. 2017, 34, 858–863. [Google Scholar] [CrossRef]
- Cheng, C.; Wang, J.; Wu, L.; Shen, Y.; Jin, K. Prevalence of musculoskeletal disorders and associated risk factors of healthcare workers in a hospital of Shanghai. J. Environ. Occup. Med. 2017, 34, 15–21. [Google Scholar] [CrossRef]
- Jiang, P.; He, L. Overview on the identification and compensation criteria of work-related musculoskeletal disorders abroad. China Occup. Med. 2021, 48, 557–565. [Google Scholar] [CrossRef]
- Burton, K.; Kendall, N. Musculoskeletal Disorders. In ABC of Occupational and Environmental Medicine, 3rd ed.; Wiley: Hoboken, NJ, USA, 2014; Volume 348, p. bmj.g1076. [Google Scholar] [CrossRef]
- Li, N.; Deng, Y.; Zhou, L.; Tian, T.; Yang, S.; Wu, Y.; Zheng, Y.; Zhai, Z.; Hao, Q.; Song, D.; et al. Global burden of breast cancer and attributable risk factors in 195 countries and territories, from 1990 to 2017: Results from the Global Burden of Disease Study 2017. J. Hematol. Oncol. 2019, 12, 140. [Google Scholar] [CrossRef]
- Qu, Y.; Wang, T.; Yang, J.; Zhang, J.; Lyu, J. GBD database application and data extraction methods and processes. Chin. J. Evid. -Based Cardiovasc. Med. 2019, 11, 1043–1046. [Google Scholar] [CrossRef]
- Briggs, A.M.; Cross, M.J.; Hoy, D.G.; Sanchez-Riera, L.; Blyth, F.M.; Woolf, A.D.; March, L. Musculoskeletal Health Conditions Represent a Global Threat to Healthy Aging: A Report for the 2015 World Health Organization World Report on Ageing and Health. Gerontologist 2016, 56, S243–S255. [Google Scholar] [CrossRef]
- Zhu, W.; Wang, Y.; Li, T.; Chen, W.; Wang, W. Gap to End-TB targets in eastern China: A joinpoint analysis from population-based notification data in Zhejiang Province, China, 2005–2018. Int. J. Infect. Dis. 2021, 104, 407–414. [Google Scholar] [CrossRef]
- Liu, X.; Jiang, J.; Yu, C.; Wang, Y.; Sun, Y.; Tang, J.; Chen, T.; Bi, Y.; Liu, Y.; Zhang, Z.-J. Secular trends in incidence and mortality of bladder cancer in China, 1990–2017: A joinpoint and age-period-cohort analysis. Cancer Epidemiol. 2019, 61, 95–103. [Google Scholar] [CrossRef]
- Khanh Bao, T.; Lang, J.J.; Compton, K.; Xu, R.; Acheson, A.R.; Henrikson, H.J.; Kocarnik, J.M.; Penberthy, L.; Aali, A.; Abbas, Q.; et al. The global burden of cancer attributable to risk factors, 2010–2019: A systematic analysis for the Global Burden of Disease Study 2019. Lancet 2022, 400, 563–591. [Google Scholar] [CrossRef]
- Wilkinson, K.; Righolt, C.H.; Elliott, L.J.; Fanella, S.; Mahmud, S.M. The impact of pertussis vaccine programme changes on pertussis disease burden in Manitoba, 1992–2017—An age–period–cohort analysis. Int. J. Epidemiol. 2022, 51, 440–447. [Google Scholar] [CrossRef]
- Chen, N.; Fong, D.Y.T.; Wong, J.Y.H. Secular Trends in Musculoskeletal Rehabilitation Needs in 191 Countries and Territories From 1990 to 2019. Jama Netw. Open 2022, 5, e2144198. [Google Scholar] [CrossRef]
- Lewis, R.; Alvarez, C.B.G.; Rayman, M.; Lanham-New, S.; Woolf, A.; Mobasheri, A. Strategies for optimising musculoskeletal health in the 21st century. BMC Musculoskelet. Disord. 2019, 20, 164. [Google Scholar] [CrossRef]
- Grote, C.; Reinhardt, D.; Zhang, M.; Wang, J. Regulatory mechanisms and clinical manifestations of musculoskeletal aging. J. Orthop. Res. 2019, 37, 1475–1488. [Google Scholar] [CrossRef]
- Guangzhou, W.; Jun, W. Economic and Social Impact of China’s Aging Population and Public Policy Response. China Econ. 2021, 16, 78–107. [Google Scholar] [CrossRef]
- Shufang, W.A.; Xiuyan, W.A.; Yuwei, Y.A.; Risu, N.A.; Yuyu, H.E.; Ruhong, W.U.; Ling, J.I.; Juan, A.N.; Yan, M.E.; Xiaochun, W.U. Associated Factors of Osteoporosis and Physical Fitness in Elderly Chinese Men. Chin. Gen. Pract. 2022, 25, 2188–2193. [Google Scholar] [CrossRef]
- Kesikburun, S.; Guzelkuecuek, U.; Fidan, U.; Demir, Y.; Ergun, A.; Tan, A.K. Musculoskeletal pain and symptoms in pregnancy: A descriptive study. Ther. Adv. Musculoskelet. Dis. 2018, 10, 229–234. [Google Scholar] [CrossRef] [PubMed]
- Liu, Z.; Li, Y.-H.; Cui, Z.-Y.; Li, L.; Nie, X.-Q.; Yu, C.-D.; Shan, G.-L.; Zhou, X.-M.; Qin, R.; Cheng, A.-Q.; et al. Prevalence of tobacco dependence and associated factors in China: Findings from nationwide China Health Literacy Survey during 2018–2019. Lancet Reg. Health-West. Pac. 2022, 24, 100464. [Google Scholar] [CrossRef]
- Zhang, D.; Yan, M.; Lin, H.; Xu, G.; Yan, H.; He, Z. Evaluation of work-related musculoskeletal disorders among sonographers in general hospitals in Guangdong province, China. Int. J. Occup. Saf. Ergon. 2020, 26, 802–810. [Google Scholar] [CrossRef]
- Yan, P.; Li, F.; Zhang, L.; Yang, Y.; Huang, A.; Wang, Y.; Yao, H. Prevalence of Work-Related Musculoskeletal Disorders in the Nurses Working in Hospitals of Xinjiang Uygur Autonomous Region. Pain Res. Manag. 2017, 2017, 5757108. [Google Scholar] [CrossRef]






| Measure | Sex | Trend 1 | Trend 2 | Trend 3 | Trend 4 | Trend 5 | Trend 6 | 1900–2019 AAPC (95% CI) | ||||||
|---|---|---|---|---|---|---|---|---|---|---|---|---|---|---|
| Years | APC | Years | APC | Years | APC | Years | APC | Years | APC | Years | APC | |||
| Crude Incidence Rate | Both | 1990–1994 | −3.1 * | 1994–1998 | 1.2 * | 1998–2005 | 1.7 * | 2005–2014 | 1.2 * | 2014–2019 | 0.7 * | NA | NA | 0.6 * (0.6~0.7) |
| Female | 1990–1994 | −3.7 * | 1994–2009 | 1.6 * | 2009–2019 | 1.2 * | NA | NA | NA | NA | NA | NA | 0.7 * (0.7~0.7) | |
| Male | 1990–1994 | −2.5 * | 1994–1998 | 1.1 * | 1998–2005 | 1.6 * | 2005–2014 | 1.0 * | 2014–2019 | 0.2 | NA | NA | 0.5 * (0.4~−0.7) | |
| Crude Death Rate | Both | 1990–1993 | −1.0 | 1993–1998 | 3.1 * | 1998–2001 | 7.9 * | 2001–2005 | 3.8 * | 2005–2015 | 0.8 * | 2015–2019 | 3.0 * | 2.5 * (2.0~2.9) |
| Female | 1990–1992 | −1.1 | 1992–1998 | 3.9 * | 1998–2001 | 6.9 * | 2001–2005 | 3.8 * | 2005–2015 | 0.5 * | 2015–2019 | 3.3 * | 2.6 * (2.2~3.0) | |
| Male | 1990–1994 | −2.4 * | 1994–1997 | 0.7 | 1997–2003 | 7.2 * | 2003–2019 | 1.7 * | NA | NA | NA | NA | 2.1 * (1.6~2.7) | |
| Crude DALY Rate | Both | 1990–1993 | −1.9 * | 1993–1996 | 0.7 | 1996–2005 | 2.1 * | 2005–2014 | 1.7 * | 2014–2019 | 0.9 * | NA | NA | 1.2 * (1.1~1.3) |
| Female | 1990–1993 | −2.3 * | 1993–1996 | 0.8 * | 1996–2006 | 2.1 * | 2006–2014 | 1.8 * | 2014–2019 | 1.2 * | NA | NA | 1.2 * (1.2~1.3) | |
| Male | 1990–1994 | −1.1 * | 1994–1999 | 1.6 * | 1999–2004 | 2.3 * | 2004–2014 | 1.6 * | 2014–2017 | 0.2 | 2017–2019 | 1.3 * | 1.2 * (1.1~1.2) | |
| Measure | Sex | Trend 1 | Trend 2 | Trend 3 | Trend 4 | Trend 5 | Trend 6 | 1900–2019 AAPC (95% CI) | ||||||
|---|---|---|---|---|---|---|---|---|---|---|---|---|---|---|
| Years | APC | Years | APC | Years | APC | Years | APC | Years | APC | Years | APC | |||
| Age-Standardized Incidence Rate | Both | 1990–1994 | −4.1 * | 1994–2005 | −0.0 | 2005–2019 | −0.2 * | NA | NA | NA | NA | NA | NA | −0.7 * (−0.7~−0.6) |
| Female | 1990–1994 | −4.5 * | 1994–2005 | −0.0 | 2005–2019 | −0.1 * | NA | NA | NA | NA | NA | NA | −0.7 * (−0.7~−0.7) | |
| Male | 1990–1994 | −3.7 * | 1994–2006 | −0.0 | 2006–2010 | −0.5 * | 2010–2014 | 0.2 | 2014–2017 | −1.1 * | 2017–2019 | 0.3 | −0.7 * (−0.8~−0.6) | |
| Age-Standardized Death Rate | Both | 1990–1993 | −2.0 * | 1993–1998 | 1.2 * | 1998–2001 | 6.0 * | 2001–2005 | 1.7 * | 2005–2015 | −1.2 * | 2015–2019 | 0.5 | 0.5 * (0.1~0.9) |
| Female | 1990–1992 | −1.9 | 1992–1998 | 2.0 * | 1998–2001 | 5.3 * | 2001–2005 | 1.9 * | 2005–2015 | −1.5 * | 2015–2019 | 0.8 | 0.7 * (0.3~1.1) | |
| Male | 1990–1994 | −3.5 * | 1994–1998 | 0.1 | 1998–2001 | 6.9 * | 2001–2004 | 1.9 | 2004–2019 | −0.4 * | NA | NA | 0.2 (−0.5~0.8) | |
| Age-Standardized DALY Rate | Both | 1990–1993 | −3.0 * | 1993–1996 | −0.6 * | 1996–2004 | 0.4 * | 2004–2014 | 0.2 * | 2014–2017 | −0.4 * | 2017–2019 | 0.4 | −0.2 * (−0.3~−0.2) |
| Female | 1990–1994 | −2.9 * | 1994–2008 | 0.3 * | 2008–2019 | 0.0 | NA | NA | NA | NA | NA | NA | −0.2 * (−0.3~−0.2) | |
| Male | 1990–1994 | −2.2 * | 1994–1999 | 0.2 | 1999–2004 | 0.6 * | 2004–2014 | 0.1 * | 2014–2017 | −0.7 | 2017–2019 | 0.4 | −0.2 * (−0.3~−0.1) | |
Disclaimer/Publisher’s Note: The statements, opinions and data contained in all publications are solely those of the individual author(s) and contributor(s) and not of MDPI and/or the editor(s). MDPI and/or the editor(s) disclaim responsibility for any injury to people or property resulting from any ideas, methods, instructions or products referred to in the content. |
© 2023 by the authors. Licensee MDPI, Basel, Switzerland. This article is an open access article distributed under the terms and conditions of the Creative Commons Attribution (CC BY) license (https://creativecommons.org/licenses/by/4.0/).
Share and Cite
Yu, Z.; Zhang, J.; Lu, Y.; Zhang, N.; Wei, B.; He, R.; Mao, Y. Musculoskeletal Disorder Burden and Its Attributable Risk Factors in China: Estimates and Predicts from 1990 to 2044. Int. J. Environ. Res. Public Health 2023, 20, 840. https://doi.org/10.3390/ijerph20010840
Yu Z, Zhang J, Lu Y, Zhang N, Wei B, He R, Mao Y. Musculoskeletal Disorder Burden and Its Attributable Risk Factors in China: Estimates and Predicts from 1990 to 2044. International Journal of Environmental Research and Public Health. 2023; 20(1):840. https://doi.org/10.3390/ijerph20010840
Chicago/Turabian StyleYu, Zeru, Jingya Zhang, Yongbo Lu, Ning Zhang, Bincai Wei, Rongxin He, and Ying Mao. 2023. "Musculoskeletal Disorder Burden and Its Attributable Risk Factors in China: Estimates and Predicts from 1990 to 2044" International Journal of Environmental Research and Public Health 20, no. 1: 840. https://doi.org/10.3390/ijerph20010840
APA StyleYu, Z., Zhang, J., Lu, Y., Zhang, N., Wei, B., He, R., & Mao, Y. (2023). Musculoskeletal Disorder Burden and Its Attributable Risk Factors in China: Estimates and Predicts from 1990 to 2044. International Journal of Environmental Research and Public Health, 20(1), 840. https://doi.org/10.3390/ijerph20010840

