Urban Vitality Measurement and Influence Mechanism Detection in China
Abstract
1. Introduction
2. Study Area, Data, and Methods
2.1. Study Area
2.2. Data
2.3. Methods
2.3.1. Urban Vitality Measurement
2.3.2. Space Scanning
2.4. Multi-Scale Geographical Weighted Regression
3. Results
3.1. Spatial Pattern of Urban Vitality in China
3.1.1. Characteristics of Urban Vitality at Grid Scale
3.1.2. Characteristics of Urban Vitality at Prefecture-Level Administrative
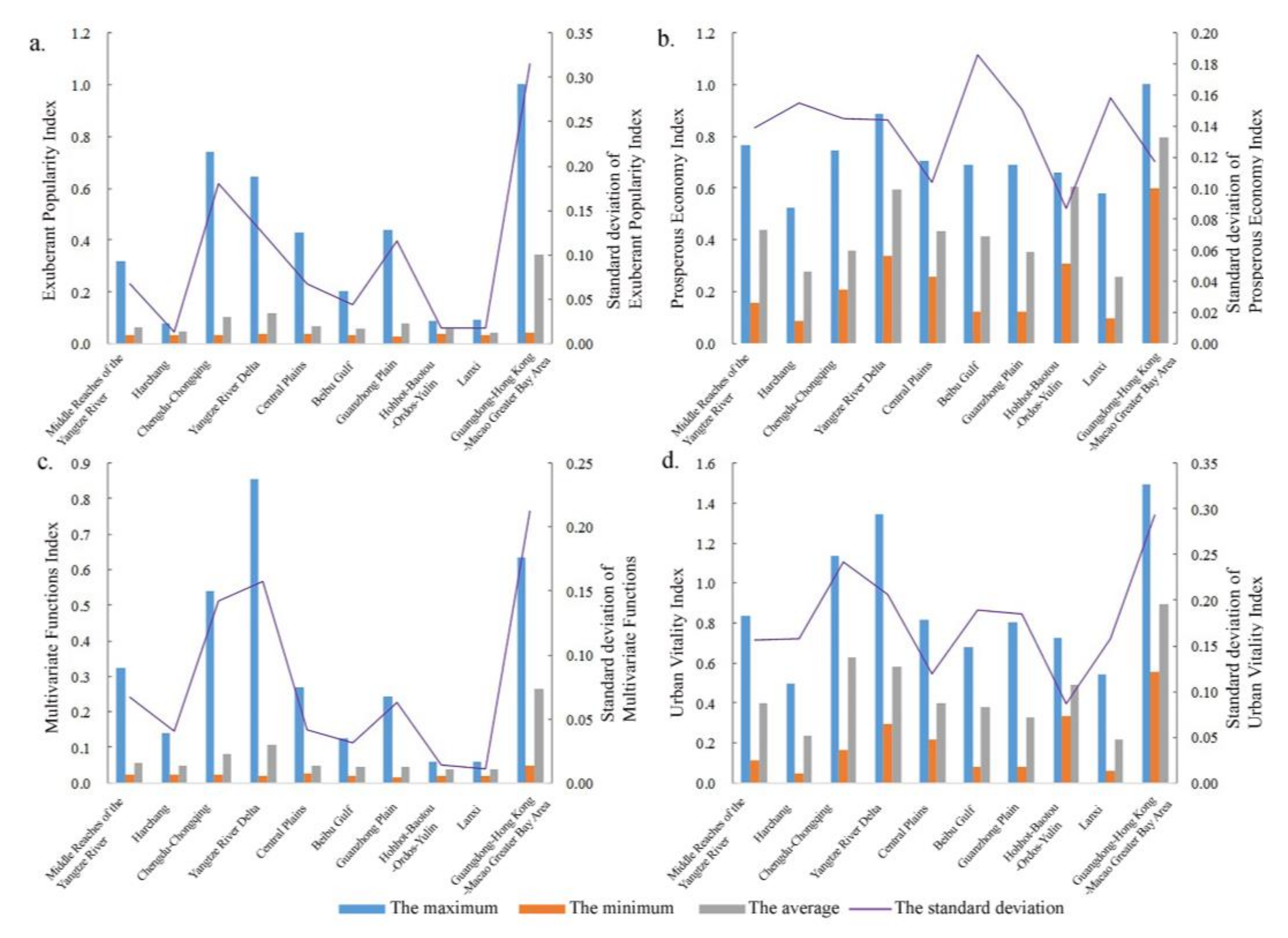
3.1.3. The Vitality of Urban Agglomeration
3.2. Influence Mechanism of Urban Vitality
3.2.1. Influencing Factors of Urban Vitality
3.2.2. The Influence Mechanism of Spatial Difference of Urban Vitality
4. Discussion
4.1. Comparison with Similar Research
4.2. Uncertainty and Limitation
4.3. Policy Suggestions
- (1)
- We should make a reasonable plan for urban development. Through the study on the spatial distribution characteristics and spatial pattern of urban vitality, it is found that there is spatial differentiation of urban vitality, that its spatial difference is large, and the distribution is not balanced. When making city-related policies, we need to consider the city’s functional positioning and development basis. While promoting the flow of factors of production between cities, we also need to increase the links with central cities. We also need to de-emphasize the concept of city boundaries, which will help promote the interconnected development of urban clusters and strengthen inter-regional cooperation.
- (2)
- We should optimize the environment in and around the city. Comfortable urban living environment will improve residents’ life satisfaction. At the same time, we need to optimize our infrastructure. Sound infrastructure is one of the important guarantees for building smart cities. These measures may improve the happiness of residents and thus effectively stimulate the vitality of the city.
- (3)
- We need to promote the transformation and upgrading of the industrial structure. The new rational industrial structure will become an important driving force for urban development. At the same time, we also need to improve the efficiency of land use and pursue an appropriate increase in the size of the industry. These moves could contribute to a more hierarchical industrial layout.
- (4)
- At the same time as technological innovation, we also need to keep the city with a “young” vitality and pay attention to the construction of cultural cities. We need a stronger sense of cultural belonging and a good education system. This will provide rich talent resources for urban development.
5. Conclusions
Author Contributions
Funding
Institutional Review Board Statement
Informed Consent Statement
Data Availability Statement
Conflicts of Interest
References
- Hao, S. Analysis of the inverted U-Shaped relationship between China’s new urbanization and economic growth-based on comparison with traditional urbanization. Int. Bus. Manag. 2018, 16, 27–33. [Google Scholar]
- Chu, Y. China’s new urbanization plan: Progress and structural constraints. Cities 2020, 103, 102736. [Google Scholar] [CrossRef]
- Jacobs, J. The Death and Life of the Great American Cities; Jonathan Cape: London, UK; Random House: New York, NY, USA, 1961; pp. 143–241. [Google Scholar]
- Ford, L.R. Lynch revisited—New urbanism and theories of good city form. Cities 1999, 16, 247–257. [Google Scholar] [CrossRef]
- Gehl, J. Life Between Buildings: Using Public Space; VAN Nosrand Reinhold Company: New York, USA, 1987; pp. 12–18. [Google Scholar]
- Montgomery, J. Making a city: Urbanity, vitality and urban design. J. Urban. Des. 1998, 3, 93–116. [Google Scholar] [CrossRef]
- Pohan, A.F.; Ginting, N.; Zahrah, W. Environmental vitality study on shophouse area. Case study: Asia Mega Mas Shophouse Area, Medan. IOP Conf. Ser. Mater. Sci. Eng. 2019, 505, 12030. [Google Scholar] [CrossRef]
- Yu, Y.; Nes, A.V. Quantitative tools in urban morphology: Combining space syntax, spacematrix and mixed-use index in a GIS framework. Urban. Morpholo. 2014, 18, 97–118. [Google Scholar]
- Kirsch, R.K.; Newman, D.N.; Zhu, R.; McDonald, T.J.; Xu, X.; Homey, J.A. Applying and integrating urban contamination factors into community garden siting. J. Geovis. Spat. Anal. 2022, 6, 33. [Google Scholar] [CrossRef]
- Pakz, M.Z.; Yaratgan, D.; Ahin, A. Re-mapping urban vitality through Jane Jacobs’ criteria: The case of Kayseri, Turkey. Land. Use. Policy. 2022, 114, 105985. [Google Scholar] [CrossRef]
- Yong, W.; Zou, Q.; Li, G. Public Space Construction of Urban Resettlement Community Based on Analysis of Vitality Characteristics: Taking the 6 resettlement communities of Suzhou as examples. Sci. Geogr. Sin. 2018, 38, 747–754. (In Chinese) [Google Scholar]
- Keerthana, S.D.; Bindu, C.A. Urban regeneration of ghost cities. IOP Conf. Ser. Mater. Sci. Eng. 2021, 1114, 012038. [Google Scholar] [CrossRef]
- Liu, L.; Xu, Y.; Jiang, S.; Wu, Q. Evaluation of urban vitality based on fuzzy matter-element model. Geogr. Geo-Inf. Sci. 2010, 26, 73–77. (In Chinese) [Google Scholar]
- Long, Y. Street Urbanism A new perspective for urban studies and city planning in the new data environment. Time. Archit. 2016, 2016, 128–132. (In Chinese) [Google Scholar]
- Zhang, Y.; Zhong, W.; Wang, D.; Lin, F. Understanding the spatiotemporal patterns of nighttime urban vibrancy in central Shanghai inferred from mobile phone data. Region. Sustain. 2021, 2, 297–307. [Google Scholar] [CrossRef]
- Wilmoth, D. The death and life of great American-cities-The failure of town-planning-Jacobs, J. Aust. Geogr. 1988, 19, 301–302. [Google Scholar]
- Wu, J.; Lu, Y.; Gao, H.; Wang, M. Cultivating historical heritage area vitality using urban morphology approach based on big data and machine learning. Comput. Environ. Urban. 2022, 91, 101716. [Google Scholar] [CrossRef]
- Li, X.; Li, Y.; Jia, T.; Zhou, L.; Hijazi, I.H. The six dimensions of built environment on urban vitality: Fusion evidence from multi-source data. Cities 2022, 121, 103482. [Google Scholar] [CrossRef]
- Tian, B.; Meng, B.; Wang, J.; Zhi, G.; Qi, Z.; Chen, S.; Liu, J. Spatio-temporal patterns of fitness behavior in Beijing based on social media data. Sustainability 2022, 14, 4106. [Google Scholar] [CrossRef]
- Tang, L.; Zou, Q.; Zhang, X.; Ren, C.; Li, Q. Spatio-Temporal Behavior Analysis and Pheromone-Based Fusion Model for Big Trace Data. ISPRS Int. J. Geo-Inf. 2017, 6, 151. [Google Scholar] [CrossRef]
- Huang, Q.; Yang, Y.; Xu, Y.; Yang, F.; Sun, Y. Citywide road-network traffic monitoring using large-scale mobile signaling Data. Neurocomputing 2021, 444, 136–146. [Google Scholar] [CrossRef]
- Kan, Z.; Kwan, M.P.; Liu, D.; Tang, L.; Chen, Y.; Fang, M. Assessing individual activity-related exposures to traffic congestion using GPS trajectory data. J. Transp. Geogr. 2022, 98, 103240. [Google Scholar] [CrossRef]
- Huang, B.; Zhou, Y.; Li, Z.; Song, Y.; Cai, J.; Tu, W. Evaluating and characterizing urban vibrancy using spatial big data: Shanghai as a case study. Environ. Plan. B-Urban. 2020, 47, 1543–1559. [Google Scholar] [CrossRef]
- Tatem, A.J. WorldPop, open data for spatial demography. Sci. Data. 2017, 4, 170004. [Google Scholar] [CrossRef]
- Fan, K.; Li, Y.; Feng, Y. Spatial distribution of road density in Chongqing based on GIS. Sci. Geogr. Sin. 2011, 31, 365–371. (In Chinese) [Google Scholar]
- Chen, T.; Hui, E.; Wu, J.; Lang, W.; Li, X. Identifying urban spatial structure and urban vibrancy in highly dense cities using georeferenced social media data. Habitat. Int. 2019, 89, 102005. [Google Scholar] [CrossRef]
- Tu, W.; Zhu, T.; Xia, J.; Zhou, Y.; Lai, Y.; Jiang, J.; Li, Q. Portraying the spatial dynamics of urban vibrancy using multisource urban big data. Comput. Environ. Urban. 2020, 80, 101428. [Google Scholar] [CrossRef]
- Akinci, Z.S.; Marquet, O.; Delclòs-Alió, X.; Miralles-Guasch, C. Urban vitality and seniors’ outdoor rest time in Barcelona. J. Transp. Geogr. 2022, 98, 103241. [Google Scholar] [CrossRef]
- Chen, W.; Baike, W.U. Comprehensive evaluation of urban public transit routes based on spatial distance model. J. Railway. Sci. Eng. 2018, 15, 515–521. (In Chinese) [Google Scholar]
- Bosomprah, S.; Dotse-Gborgbortsi, W.; Aboagye, P.; Matthews, Z. Use of a spatial scan statistic to identify clusters of births occurring outside Ghanaian health facilities for targeted intervention. Int. J. Gy. Obstet. 2016, 135, 221–224. [Google Scholar] [CrossRef]
- Gao, Y.; Zhao, J.; Yu, K. Effects of block morphology on the surface thermal environment and the corresponding planning strategy using the geographically weighted regression model. Build. Environ. 2022, 216, 109037. [Google Scholar] [CrossRef]
- Aychiluhm, S.B.; Melaku, M.S.; Mare, K.U.; Tadesse, A.W.; Mulaw, G.F. Geographical clustering and geographically weighted regression analysis of home delivery and its determinants in developing regions of Ethiopia: A spatial analysis. Emerg. Themes. Epidemi. 2022, 19, 8. [Google Scholar] [CrossRef]
- Tang, R. Identifying surface urban heat island drivers and their spatial heterogeneity in China’s 281 cities: An empirical study based on multiscale geographically weighted regression. Remote Sens. 2021, 13, 4428. [Google Scholar]
- Wu, C.; Ye, X.; Ren, F.; Du, Q. Check-in behaviour and spatio-temporal vibrancy: An exploratory analysis in Shenzhen, China. Cities 2018, 77, 104–116. [Google Scholar] [CrossRef]
- Ye, Y.; Li, D.; Liu, X. How block density and typology affect urban vitality: An exploratory analysis in Shenzhen, China. Urban. Geogr. 2018, 39, 631–652. [Google Scholar] [CrossRef]
- Hu, X.; Yan, H.; Wang, D.; Zhao, Z.; Zhang, G.; Lin, T.; Ye, H. A Promotional construction approach for an urban three-dimensional compactness model—Law-of-gravitation-based. Sustainability 2020, 12, 6777. [Google Scholar] [CrossRef]
- Li, G.; Cao, Y.; He, Z.; He, J.; Yu, C.; Wang, J.; Fang, X. Understanding the diversity of urban–rural fringe development in a fast urbanizing region of China. Remote Sens. 2021, 13, 2373. [Google Scholar] [CrossRef]
- Pan, H.; Yang, C.; Quan, L.; Liao, L. A new insight into understanding urban vitality: A case Study in the Chengdu-Chongqing Area Twin-City Economic Circle, China. Sustainability 2021, 13, 10068. [Google Scholar] [CrossRef]
- Yue, W.; Chen, Y.; Zhang, Q.; Liu, Y. Spatial explicit assessment of urban vitality using multi-source data: A case of Shanghai, China. Sustainability 2019, 11, 638. [Google Scholar] [CrossRef]
- Li, Q.; Cui, C.; Liu, F.; Wu, Q.; Run, Y.; Han, Z. Multidimensional urban vitality on streets: Spatial patterns and influence factor identification using multisource urban data. ISPRS Int. J. Geo-Inf. 2021, 11, 2. [Google Scholar] [CrossRef]
- Liu, S.; Zhang, L.; Long, Y.; Xu, M. A new urban vitality analysis and evaluation framework based on human activity modeling using multi-source big data. ISPRS Int. J. Geo-Inf. 2020, 9, 617. [Google Scholar] [CrossRef]
- Pan, C.; Zhou, J.; Huang, X. Impact of check-in data on urban vitality in the Macao Peninsula. Sci. Program. 2021, 2021, 7179965. [Google Scholar] [CrossRef]
- Zikirya, B.; He, X.; Li, M.; Zhou, C. Urban Food Takeaway Vitality: A new technique to assess urban vitality. Int. J. Environ. Res. Public Health 2021, 18, 3578. [Google Scholar] [CrossRef] [PubMed]
- Kim, S. Urban Vitality, Urban Form, and Land Use: Their relations within a geographical boundary for walkers. Sustainability 2020, 12, 10633. [Google Scholar] [CrossRef]
- Zhou, L.; Zhou, C.; Che, L.; Wang, B. Spatio-temporal evolution and influencing factors of urban green development efficiency in China. J. Geogr. Sci. 2020, 30, 724–742. [Google Scholar] [CrossRef]
- Morshed, M.M.; Chakraborty, T.; Mazumder, T. Measuring Dhaka’s urban transformation using nighttime light data. J. Geovis. Spat. Anal. 2022, 6, 25. [Google Scholar] [CrossRef]









| Data | Spatial Resolution | Sources | Instruction |
|---|---|---|---|
| NPP-VIIRS | 500 m | The Earth Observation Group (EOG) (https://eogdata.mines.edu/products/vnl/, accessed on 10 March 2022) | This data filtering removes cloudy, sunny, and moonlight exposures, removes high and low emissivity outliers and biomass burning pixels, and separates the background. |
| Spatial distribution of population data | 1000 m | The WorldPop (http://www.worldpop.org.uk/, accessed on 10 March 2022) | Using Random Forest estimation to generate regional population data [24]. |
| GDP spatial distribution data | 1000 m | The Resource and Environment Science and Data Center of CAS (https://www.resdc.cn/Default.aspx/, accessed on 10 March 2022) | - |
| DEM | 90 m | The United States Geological Survey (https://lta.cr.usgs.gov/HYDRO1K/, accessed on 10 March 2022) | Using slope analysis and zoning statistics to count the elevation, average slope, and topographic fragmentation of each prefecture-level city in China. |
| POI | - | The Amap platform (https://lbs.amap.com/, accessed on 10 March 2022) | The nationwide POI data for 2020 were obtained through operations such as correction, rectifying, and spatial matching. |
| China’s traffic road data | - | The Amap platform (https://lbs.amap.com/, accessed on 10 March 2022) | The administrative boundary or grid is used to divide the road data at all levels, the density of the road network at all levels in the unit is counted, and the weighted overlay is used to obtain the traffic degree index value. |
| Urban activity data | - | The CBN · New First-line Knowledge City data platform (https://www.datayicai.com/, accessed on 10 March 2022) | The data include Tencent’s social activity, number of Talkingdata active devices, Tiktok users and activity, etc. |
| Urban living data | - | The Numbeo database (https://www.numbeo.com/common/, accessed on 10 March 2022) The Amap platform (https://lbs.amap.com/, accessed on 10 March 2022) | The data include history and culture, social security, social equity, housing cost, etc. |
| Comprehensive population data | - | The Seven National Census Data | The data include patent applications, employment data, and the proportion of tertiary industries, etc. |
| Regional statistics data | - | The National Bureau of Statistics, provincial and municipal statistical departments The China Urban Statistical Yearbook, and provincial and municipal statistical yearbooks | - |
| Administrative divisions data | - | The National Geomatics Center of China (http://www.ngcc.cn/, accessed on 10 March 2022) | The base map has not been modified. |
| Dimension | First Indicators | Second Indicators | Calculation Method |
|---|---|---|---|
| Exuberant Popularity | Population to attract | Increase in permanent population | Annual increment of the permanent population in urban areas |
| Attraction of population | Number of urban population inflows after the Spring Festival | ||
| Population structure | Youth of the population | Percentage of population under 60 | |
| Population quality level | Number of people with a college degree or above per 100,000 | ||
| Population accumulation | Population density | The ratio of permanent population to an area in an urban area | |
| Prosperous Economy | Economic base | Per capita GDP | GDP in the downtown/Population |
| Science and technology innovation | Technological innovation competitiveness | Comprehensive evaluation of patent applications, academic papers, scientific and technological enterprises, universities, and cultural facilities in the city | |
| Consumption scale | Night economy | Ratio of overnight Didi orders to full-day orders | |
| Digital information | Digital Economy Index | Comprehensive evaluation of digital and information construction, urban service, urban governance, and industrial integration in the city | |
| Multivariate Functions | Versatile | POI information entropy | Information entropy of POI in urban area |
| Social inclusion | Degree of social inclusion | Comprehensive evaluation of the city’s history and culture, social security, social equity, living cost, openness, and health | |
| Leisure entertainment | Third spatial density | Number and area ratio of shopping and leisure places in urban areas | |
| Social culture | Word frequency of cultural and creative activities | Average daily “online activity” and “offline activity” keyword search average | |
| Degree of social activity | Combined with Tencent social activity, the number of talkingdata active devices, TikTok users, and activity comprehensive evaluation | ||
| Convenient transportation | Road traffic operation degree | Density of road network in urban areas |
| Dimension | First Indicators | Second Indicators | Calculation Method | Spatial Data Sources |
|---|---|---|---|---|
| Exuberant Popularity | Population scale | Population density | Ratio of the human mouth and area in the grid | WorldPop data & Global city boundaries |
| Population to attract | Population increment | Annual population increment in the grid | WorldPop data & Global city boundaries | |
| Prosperous Economy | Economic base | GDP | GDP in the grid | GDP spatial grid data & Global city boundaries |
| Night economy | Night light intensity | Ratio of the nighttime light intensity and area in the grid | Nighttime light data & Global city boundaries | |
| Multivariate Functions | Function versatile | POI information entropy | POI information entropy in the grid | POI data & Global city boundaries |
| Leisure entertainment | Third spatial density | Ratio of the number and area of shopping and leisure places in the grid | POI data & Global city boundaries | |
| Transportation convenient | Road traffic index | Grid road network density | National urban road data & Global city boundaries |
| Partition | EPI | PEI | MFI | UVI | ||||
|---|---|---|---|---|---|---|---|---|
| AVG | STD | AVG | STD | AVG | STD | AVG | STD | |
| East China | 0.120 | 0.169 | 0.549 | 0.214 | 0.110 | 0.161 | 0.542 | 0.281 |
| Central China | 0.060 | 0.060 | 0.416 | 0.135 | 0.048 | 0.051 | 0.378 | 0.148 |
| West China | 0.055 | 0.077 | 0.311 | 0.189 | 0.036 | 0.057 | 0.275 | 0.204 |
| Northeast China | 0.046 | 0.019 | 0.255 | 0.143 | 0.042 | 0.033 | 0.215 | 0.146 |
| North China | 0.061 | 0.087 | 0.350 | 0.189 | 0.050 | 0.084 | 0.317 | 0.214 |
| South China | 0.084 | 0.126 | 0.434 | 0.219 | 0.069 | 0.112 | 0.410 | 0.259 |
| Provincial capital and above | 0.276 | 0.247 | 0.699 | 0.115 | 0.253 | 0.228 | 0.776 | 0.274 |
| National | 0.074 | 0.109 | 0.396 | 0.210 | 0.060 | 0.101 | 0.368 | 0.244 |
| Type | Dimension | Evaluation Index | Unit |
|---|---|---|---|
| Internal characteristics | Natural conditions | Elevation X1 | m |
| Average slope X2 | / | ||
| Degree of terrain fragmentation X3 | % | ||
| Environmental quality | Green coverage rate X4 | % | |
| PM2.5 annual mean concentration X5 | ug/m3 | ||
| Public service | Participate in endowment insurance proportion X6 | % | |
| Total electricity consumption per capita X7 | 10,000 kwh | ||
| Industrial economy | Proportion of secondary industry X8 | % | |
| Proportion of tertiary industry X9 | % | ||
| Total imports and exports X10 | 10,000 yuan | ||
| Household deposit balance X11 | 10,000 yuan | ||
| Space form | Compactness of construction land X12 | % | |
| Intensity of urban development and utilization X13 | % | ||
| Land use efficiency X14 | % | ||
| External environment | Policy guidance | Expenditure of public finance X15 | 10,000 yuan |
| Expenditure on scientific undertakings X16 | 10,000 yuan | ||
| Scale and location | Urban size X17 | / | |
| Distance to the nearest city above the provincial capital X18 | m |
| Model | RSS | AICc | R2 | Adjusted R2 |
|---|---|---|---|---|
| GR | 21.609 | 112.267 | 0.926 | 0.921 |
| GWR | 15.340 | −42.198 | 0.952 | 0.942 |
| MGWR | 7.080 | −75.343 | 0.976 | 0.968 |
Disclaimer/Publisher’s Note: The statements, opinions and data contained in all publications are solely those of the individual author(s) and contributor(s) and not of MDPI and/or the editor(s). MDPI and/or the editor(s) disclaim responsibility for any injury to people or property resulting from any ideas, methods, instructions or products referred to in the content. |
© 2022 by the authors. Licensee MDPI, Basel, Switzerland. This article is an open access article distributed under the terms and conditions of the Creative Commons Attribution (CC BY) license (https://creativecommons.org/licenses/by/4.0/).
Share and Cite
Pan, J.; Zhu, X.; Zhang, X. Urban Vitality Measurement and Influence Mechanism Detection in China. Int. J. Environ. Res. Public Health 2023, 20, 46. https://doi.org/10.3390/ijerph20010046
Pan J, Zhu X, Zhang X. Urban Vitality Measurement and Influence Mechanism Detection in China. International Journal of Environmental Research and Public Health. 2023; 20(1):46. https://doi.org/10.3390/ijerph20010046
Chicago/Turabian StylePan, Jinghu, Xiuwei Zhu, and Xin Zhang. 2023. "Urban Vitality Measurement and Influence Mechanism Detection in China" International Journal of Environmental Research and Public Health 20, no. 1: 46. https://doi.org/10.3390/ijerph20010046
APA StylePan, J., Zhu, X., & Zhang, X. (2023). Urban Vitality Measurement and Influence Mechanism Detection in China. International Journal of Environmental Research and Public Health, 20(1), 46. https://doi.org/10.3390/ijerph20010046

