Research on the Mixed Education Mode for the Safety Engineering Major during the Coronavirus (COVID-19) Epidemic
Abstract
:1. Introduction
2. The State of the Art
3. Methods
3.1. Influencing Factors
3.2. Investigation and Research
3.3. Model
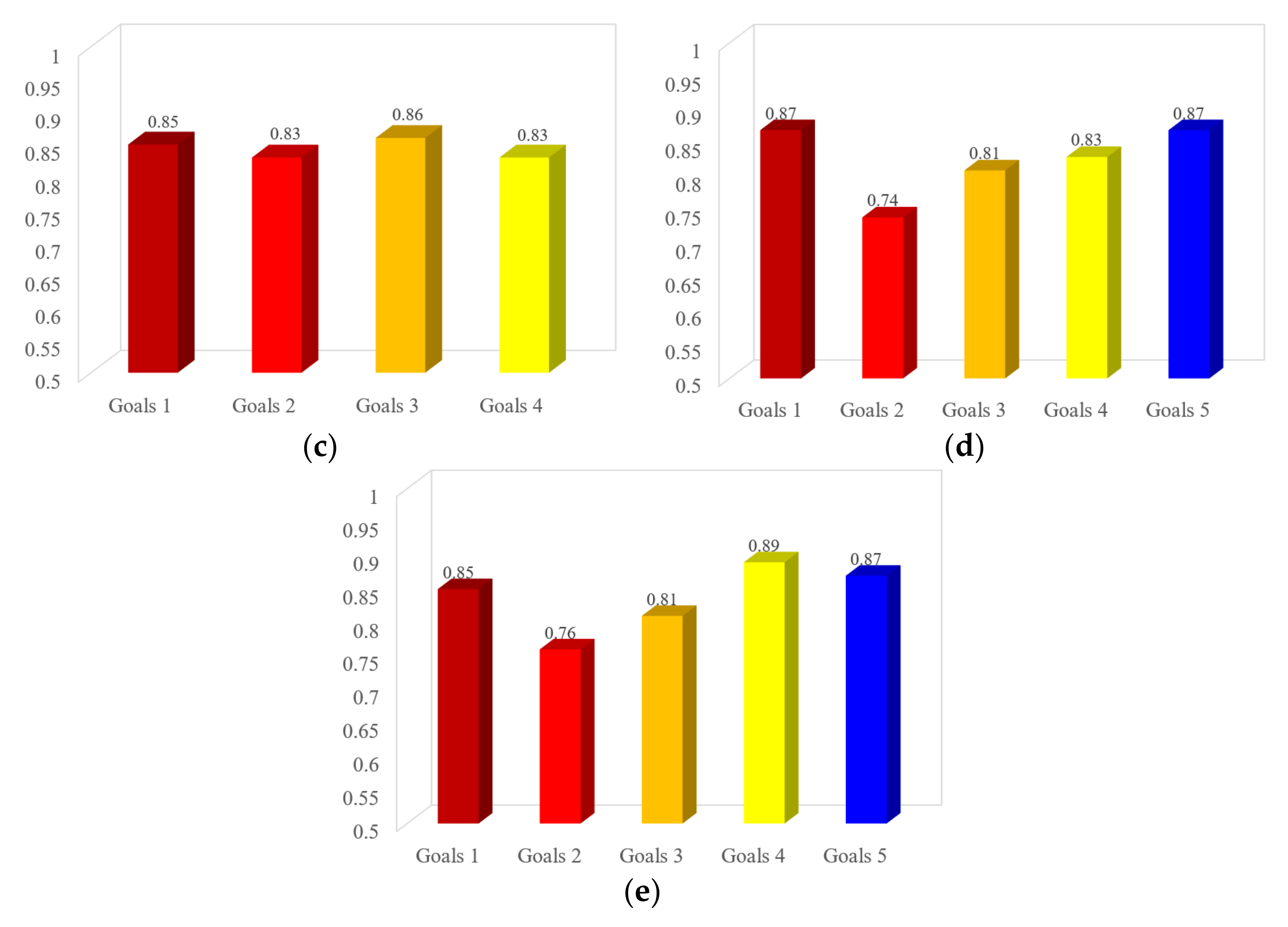
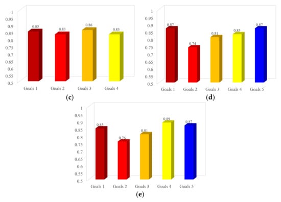
4. Results
4.1. Initial State
4.2. Strategies Simulation
5. Discussion
5.1. Analysis of Results
5.2. Application Analysis
5.3. Effect of Practical Teaching
6. Conclusions
Author Contributions
Funding
Institutional Review Board Statement
Informed Consent Statement
Data Availability Statement
Acknowledgments
Conflicts of Interest
References
- Duan, H.; Wang, S.; Yang, C. Coronavirus: Limit short-term economic damage. Nature 2020, 578, 515. [Google Scholar] [CrossRef] [PubMed] [Green Version]
- Ciano, J.D.; Acerra, J.; Tang, A. Development of a remote learning educational model for international Emergency Medicine trainees in the era of COVID-19. Int. J. Emerg. Med. 2022, 15, 2. [Google Scholar] [CrossRef] [PubMed]
- Colville, T.; Hulme, S.; Kerr, C.; Mercieca, D.; Mercieca, D.P. Teaching and Learning in COVID-19 Lockdown in Scotland: Teachers’ Engaged Pedagogy. Front. Psychol. 2021, 12, 733633. [Google Scholar] [CrossRef] [PubMed]
- Hart, C.M.D.; Berger, D.; Jacob, B.; Loeb, S.; Hill, M. Online Learning, Offline Outcomes: Online Course Taking and High School Student Performance. AERA Open 2019, 5, 1. [Google Scholar] [CrossRef] [Green Version]
- Pérez-Ordás, R.; Nuviala, A.; Grao-Cruces, A.; Fernández-Martínez, A. Implementing Service-Learning Programs in Physical Education; Teacher Education as Teaching and Learning Models for All the Agents Involved: A Systematic Review. Int. J. Environ. Res. Public Health 2021, 18, 669. [Google Scholar] [CrossRef]
- Kavakoğlu, A.A.; Özer, D.G.; Domingo-Callabuig, D.; Bilen, Ö. Architectural design communication (ADC) in online education during COVID-19 pandemic: A comparison of Turkish and Spanish universities. Open House Int. 2021. ahead-of-print. [Google Scholar] [CrossRef]
- Gambau, B.; Palomino, J.C.; Rodríguez, J.G.; Sebastian, R. COVID-19 restrictions in the US: Wage vulnerability by education, race and gender. Appl. Econ. 2021, 1–16. [Google Scholar] [CrossRef]
- Dziuban, C.; Graham, C.; Moskal, P.D.; Norberg, A.; Sicilia, N. Blended learning: The new normal and emerging technologies. Int. J. Educ. Technol. High. Educ. 2018, 15, 3. [Google Scholar] [CrossRef]
- Rasheed, R.A.; Kamsin, A.; Abdullah, N.A. Challenges in the online component of blended learning: A systematic review. Comput. Educ. 2020, 144, 103701. [Google Scholar] [CrossRef]
- Jusoff, K.; Khodabandelou, R. Preliminary Study on the Role of Social Presence in Blended Learning Environment in Higher Education. Int. Educ. Stud. 2009, 2, 79. [Google Scholar] [CrossRef] [Green Version]
- Jiang, M.; Cui, P.; Faloutsos, C. Suspicious Behavior Detection: Current Trends and Future Directions. IEEE Intell. Syst. 2016, 31, 31–39. [Google Scholar] [CrossRef]
- Sun, B.; Mao, H.; Yin, C. Male and Female Users’ Differences in Online Technology Community Based on Text Mining. Front. Psychol. 2020, 11, 806. [Google Scholar] [CrossRef]
- Hartnett, M. The Importance of Motivation in Online Learning. In Motivation in Online Education; Springer: Singapore, 2016; pp. 5–32. ISBN 978-981-10-0700-2. [Google Scholar]
- Cuadrado-García, M.; Ruiz-Molina, M.; Montoro-Pons, J.D. Are there gender differences in e-learning use and assessment? Evidence from an interuniversity online project in Europe. Procedia-Soc. Behav. Sci. 2010, 2, 367–371. [Google Scholar] [CrossRef] [Green Version]
- Finlay, M.J.; Tinnion, D.J.; Simpson, T. A virtual versus blended learning approach to higher education during the COVID-19 pandemic: The experiences of a sport and exercise science student cohort. J. Hosp. Leis. Sport Tour. Educ. 2021, 30, 100363. [Google Scholar] [CrossRef]
- Jiang, W. Interdependence of roles, role rotation, and sense of community in an online course. Distance Educ. 2017, 38, 84–105. [Google Scholar] [CrossRef]
- Jan, S.K.; Vlachopoulos, P. Influence of Learning Design of the Formation of Online Communities of Learning. Int. Rev. Res. Open Distrib. Learn. 2018, 19, 1–16. [Google Scholar] [CrossRef]
- Hendriks, R.A.; De Jong, P.G.M.; Admiraal, W.F.; Reinders, M.E.J. Instructional design quality in medical Massive Open Online Courses for integration into campus education. Med. Teach. 2020, 42, 156–163. [Google Scholar] [CrossRef]
- Broadbent, J. Comparing online and blended learner’s self-regulated learning strategies and academic performance. Internet High. Educ. 2017, 33, 24–32. [Google Scholar] [CrossRef]
- Prasad, P.; Maag, A.; Redestowicz, M.; Hoe, L.S. Unfamiliar technology: Reaction of international students to blended learning. Comput. Educ. 2018, 122, 92–103. [Google Scholar] [CrossRef]
- Medina, L.C. Blended learning: Deficits and prospects in higher education. Australas. J. Educ. Technol. 2018, 34, 42. [Google Scholar] [CrossRef]
- Ocak, M.A. Why are faculty members not teaching blended courses? Insights from faculty members. Comput. Educ. 2011, 56, 689–699. [Google Scholar] [CrossRef]
- Maycock, K.; Lambert, J.; Bane, D. Flipping learning not just content: A 4-year action research study investigating the appropriate level of flipped learning. J. Comput. Assist. Learn. 2018, 34, 661–672. [Google Scholar] [CrossRef]
- Akçayır, G.; Akçayır, M. The flipped classroom: A review of its advantages and challenges. Comput. Educ. 2018, 126, 334–345. [Google Scholar] [CrossRef]
- Brown, M.G. Blended instructional practice: A review of the empirical literature on instructors’ adoption and use of online tools in face-to-face teaching. Internet High. Educ. 2016, 31, 1–10. [Google Scholar] [CrossRef]
- Boelens, R.; De Wever, B.; Voet, M. Four key challenges to the design of blended learning: A systematic literature review. Educ. Res. Rev. 2017, 22, 1–18. [Google Scholar] [CrossRef] [Green Version]
- Halverson, L.R.; Graham, C.; Spring, K.J.; Drysdale, J.S.; Henrie, C.R. A thematic analysis of the most highly cited scholarship in the first decade of blended learning research. Internet High. Educ. 2014, 20, 20–34. [Google Scholar] [CrossRef]
- Porter, W.W.; Graham, C.R. Institutional drivers and barriers to faculty adoption of blended learning in higher education. Br. J. Educ. Technol. 2016, 47, 748–762. [Google Scholar] [CrossRef]
- BBC News. Coronavirus: Japan to Close All Schools to Halt Spread, 27 February 2020. Available online: https://www.bbc.com/news/world-asia-51663182 (accessed on 16 August 2021).
- MOE. Ministry of Education of the People’s Republic of China. 2020. Available online: http://www.moe.gov.cn (accessed on 18 August 2021).
- Tang, Y.M.; Chen, P.C.; Law, K.M.; Wu, C.; Lau, Y.-Y.; Guan, J.; He, D.; Ho, G. Comparative analysis of Student’s live online learning readiness during the coronavirus (COVID-19) pandemic in the higher education sector. Comput. Educ. 2021, 168, 104211. [Google Scholar] [CrossRef] [PubMed]
- Park, C.; Kim, D. Exploring the Roles of Social Presence and Gender Difference in Online Learning. Decis. Sci. J. Innov. Educ. 2020, 18, 291–312. [Google Scholar] [CrossRef]
- Han, F.; Ellis, R.A. Explaining medical students’ learning outcomes in blended course designs: Combining self-reported and observational learning experiences. Adv. Physiol. Educ. 2021, 46, 56–64. [Google Scholar] [CrossRef] [PubMed]
- Iqbal, J.; Asghar, M.Z.; Ashraf, M.A.; Yi, X. The Impacts of Emotional Intelligence on Students’ Study Habits in Blended Learning Environments: The Mediating Role of Cognitive Engagement during COVID-19. Behav. Sci. 2022, 12, 14. [Google Scholar] [CrossRef]
- Ismail, F.; Yelverton, C.; Rademan, R.; Peterson, C. Perceptions and attitudes of University of Johannesburg chiropractic students toward a blended learning approach and a shift to an e-learning approach necessitated by the COVID-19 pandemic. J. Chiropr. Educ. 2021, 10, 7899. [Google Scholar] [CrossRef]
- Zeng, J.R.; Liu, L.Y.; Tong, X.L.; Gao, L.H.; Zhou, L.; Guo, A.Y.; Tan, L.N. Application of blended teaching model based on SPOC and TBL in dermatology and venereology. BMC Med. Educ. 2021, 21, 606. [Google Scholar] [CrossRef]
- Ma, J.; Jiang, X.; Wang, J.; Liang, Z.; Sun, Z.; Qian, H.; Gong, A. The construction and application of a blended teaching model under the strategic background of healthy China. Biochem. Mol. Biol. Educ. 2021, 50, 114–119. [Google Scholar] [CrossRef]
- Suwannaphisit, S.; Anusitviwat, C.; Tuntarattanapong, P.; Chuaychoosakoon, C. Comparing the effectiveness of blended learning and traditional learning in an orthopedics course. Ann. Med. Surg. 2012, 72, 103037. [Google Scholar] [CrossRef]
- Salta, K.; Paschalidou, K.; Tsetseri, M.; Koulougliotis, D. Shift from a Traditional to a Distance Learning Environment during the COVID-19 Pandemic. Sci. Educ. 2021, 31, 93–122. [Google Scholar] [CrossRef]
- Zhang, C. Who bypasses the Great Firewall in China? First Monday 2020, 25, 55–64. [Google Scholar] [CrossRef]
- Chauvin, S.W. Applying Educational Theory to Simulation-Based Training and Assessment in Surgery. Surg. Clin. N. Am. 2015, 95, 695–715. [Google Scholar] [CrossRef]
- Zhao, L.; Cao, C.C.; Li, Y.N.; Li, Y. Determinants of the digital outcome divide in E-learning between rural and urban students: Empirical evidence from the COVID-19 pandemic based on capital theory. Comput. Hum. Behav. 2022, 130, 107177. [Google Scholar] [CrossRef]
- Berestneva, O.G.; Marukhina, O.V.; Bahvalov, S.V.; Fisochenko, O.N.; Berestneva, E.V. Ontological simulation for educational process organisation in a higher educational institution. International Conference on Information Technologies in Business and Industry 2016. J. Phys. Conf. Ser. 2017, 803, 12021. [Google Scholar] [CrossRef]
- Komasawa, N.; Berg, B.W.; Minami, T. Adapting international simulation-based educational methods: Localization for medical culture and educational characteristics. Am. J. Emerg. Med. 2018, 36, 1897. [Google Scholar] [CrossRef]
- Yu, K.; Cao, Q.; Xie, C.; Qu, N.; Zhou, L. Analysis of intervention strategies for coal miners’ unsafe behaviors based on analytic network process and system dynamics. Saf. Sci. 2019, 118, 145–157. [Google Scholar] [CrossRef]
- Yu, K.; Zhou, L.; Cao, Q.; Li, Z. Evolutionary Game Research on Symmetry of Workers’ Behavior in Coal Mine Enterprises. Symmetry 2019, 11, 156. [Google Scholar] [CrossRef] [Green Version]
- Sun, Z.; Xie, K.; Anderman, L.H. The role of self-regulated learning in students’ success in flipped undergraduate math courses. Internet High. Educ. 2018, 36, 41–53. [Google Scholar] [CrossRef]
- Chen, Z.-H.; Lu, H.-D.; Chou, C.-Y. Using game-based negotiation mechanism to enhance students’ goal setting and regulation. Comput. Educ. 2019, 129, 71–81. [Google Scholar] [CrossRef]
- Alexandron, G.; Wiltrout, M.E.; Berg, A.; Ruipérez-Valiente, J.A. Assessment that matters. In Proceedings of the Tenth International Conference on Learning Analytics & Knowledge, Frankfurt, Germany, 23–27 March 2020; Association for Computing Machinery (ACM): Sichuan, China, 2020; pp. 512–517. [Google Scholar]
- Clark, R.A. Learning Outcomes: The Bottom Line. Commun. Educ. 2002, 51, 396–404. [Google Scholar] [CrossRef]
- Education Bureau. Arrangements on Deferral of Class Resumption for All Schools. 2020. Available online: http://www.moe.gov.cn (accessed on 16 August 2021).
- SDUST. Evaluation Method of Undergraduate Course Goal Achievement Degree of School of Safety and Environmental Engineering; Shandong University of Science and Technology: Qingdao, China, 2020; pp. 4–5. [Google Scholar]








| Influence Factors | Regression Coefficient Analysis | ||||||
|---|---|---|---|---|---|---|---|
| Coefficient | Standard Deviation | T | Pt | F | PF | ||
| (Constant) | 0.004 | 0.142 | |||||
| Style of study | 0.781 | 0.038 | 2.493 | 0.021 | 2.495 | 0.013 | |
| Interest in learning | 0.516 | 0.035 | 1.015 | 0.011 | 2.369 | 0.015 | |
| Self-control | 0.423 | 0.035 | 1.311 | 0.017 | 1.332 | 0.016 | |
| Time (min) | Teaching Effect of Higher Education | Time (min) | Teaching Effect of Higher Education |
|---|---|---|---|
| 0 | 300 | 26 | 474.0615234 |
| 1 | 306.6666565 | 27 | 464.0975342 |
| 2 | 308.333313 | 28 | 456.3323669 |
| 3 | 339.3209839 | 29 | 451.8782654 |
| 4 | 389.5473328 | 30 | 451.069519 |
| 5 | 446.8610229 | 31 | 453.5158691 |
| 6 | 499.5984192 | 32 | 458.2820435 |
| 7 | 538.6713257 | 33 | 464.1417236 |
| 8 | 558.8683472 | 34 | 469.8478088 |
| 9 | 559.2457275 | 35 | 474.3663635 |
| 10 | 542.6698608 | 36 | 477.0365601 |
| 11 | 514.7219238 | 37 | 477.6377258 |
| 12 | 482.262207 | 38 | 476.3650513 |
| 13 | 451.9701843 | 39 | 473.731842 |
| 14 | 429.1343384 | 40 | 470.4273071 |
| 15 | 416.8789368 | 41 | 467.1628418 |
| 16 | 415.9060059 | 42 | 464.5370178 |
| 17 | 424.7242432 | 43 | 462.9414978 |
| 18 | 440.2501221 | 44 | 462.519104 |
| 19 | 458.6147461 | 45 | 463.1742554 |
| 20 | 475.9966736 | 46 | 464.6260071 |
| 21 | 489.3226318 | 47 | 466.4874878 |
| 22 | 496.7257385 | 48 | 468.353302 |
| 23 | 497.7125244 | 49 | 469.8772583 |
| 24 | 493.0507813 | 50 | 470.8278198 |
| 25 | 484.4406433 |
| Order | Strategies | Highest Value | After Class (the 50th min) | |
|---|---|---|---|---|
| Effect | Time | |||
| 1 | Management | 49.86% | −22.22% | 42.04% |
| 2 | Students | 37.50% | −22.22% | 16.17% |
| 3 | Teachers | 18.32% | −11.11% | 32.34% |
| 4 | Practice | 7.29% | −11.11% | 6.47% |
| 5 | All | 58.09% | −22.22% | 48.50% |
| Category | Content | Data |
|---|---|---|
| Selected courses | Number of selected courses | 342 |
| Available resources for the course | Teaching video | 84 |
| Total teaching video time (min) | 1000 | |
| Non video resources | 10 | |
| Announcement | Course announcement | 386 |
| Activity | Total number of distribution activities | 167 |
| Total number of participants | 6614 | |
| Total number of sign-ins issued | 116 | |
| Total attendance | 5544 | |
| Total number of votes cast | 72 | |
| Total number of questionnaires issued | 15 | |
| Total number of participation questionnaires | 304 | |
| Total number of responses | 365 | |
| Total number of participating scores | 78 | |
| Total number of in-class exercises | 36 | |
| Total number of tasks involved in grouping | 203 | |
| Tests and assignments | Total times | 161 |
| Total number of exercises | 410 | |
| Number of participants | 339 | |
| Interactive communication | Total posts | 4968 |
| Number of teacher posts | 300 | |
| Number of participants | 300 | |
| Examine | Times | 10 |
| Total number of test questions | 184 | |
| Number of participants | 217 |
Publisher’s Note: MDPI stays neutral with regard to jurisdictional claims in published maps and institutional affiliations. |
© 2022 by the authors. Licensee MDPI, Basel, Switzerland. This article is an open access article distributed under the terms and conditions of the Creative Commons Attribution (CC BY) license (https://creativecommons.org/licenses/by/4.0/).
Share and Cite
Yu, K.; Wu, L.; Zhou, L. Research on the Mixed Education Mode for the Safety Engineering Major during the Coronavirus (COVID-19) Epidemic. Int. J. Environ. Res. Public Health 2022, 19, 1967. https://doi.org/10.3390/ijerph19041967
Yu K, Wu L, Zhou L. Research on the Mixed Education Mode for the Safety Engineering Major during the Coronavirus (COVID-19) Epidemic. International Journal of Environmental Research and Public Health. 2022; 19(4):1967. https://doi.org/10.3390/ijerph19041967
Chicago/Turabian StyleYu, Kai, Lirong Wu, and Lujie Zhou. 2022. "Research on the Mixed Education Mode for the Safety Engineering Major during the Coronavirus (COVID-19) Epidemic" International Journal of Environmental Research and Public Health 19, no. 4: 1967. https://doi.org/10.3390/ijerph19041967
APA StyleYu, K., Wu, L., & Zhou, L. (2022). Research on the Mixed Education Mode for the Safety Engineering Major during the Coronavirus (COVID-19) Epidemic. International Journal of Environmental Research and Public Health, 19(4), 1967. https://doi.org/10.3390/ijerph19041967
