Decision Analysis of Manufacturer-Led Closed-Loop Supply Chain Considering Corporate Social Responsibility
Abstract
1. Introduction
2. Related Work
3. Decision Analysis and Coordination of Supply Chain with CSR
3.1. Some Basic Models
3.2. Decision Analysis of Manufacturer-Led Closed-Loop Supply Chain without CSR
3.2.1. Optimal Decisions without CSR under Decentralized Decision Making
3.2.2. Optimal Decisions without CSR under Centralized Decision Making
3.3. Decision Analysis of Manufacturer-Led Closed-Loop Supply Chain Decision Model with CSR
3.3.1. Optimal Decisions with CSR under Decentralized Decision Making
3.3.2. Optimal Decisions with CSR under Centralized Decision Making
3.3.3. Comparative Analysis under the Different Decision Situations
3.4. A Two-Part Tariff Coordination Mechanism Considering CSR
4. Numerical Experiment
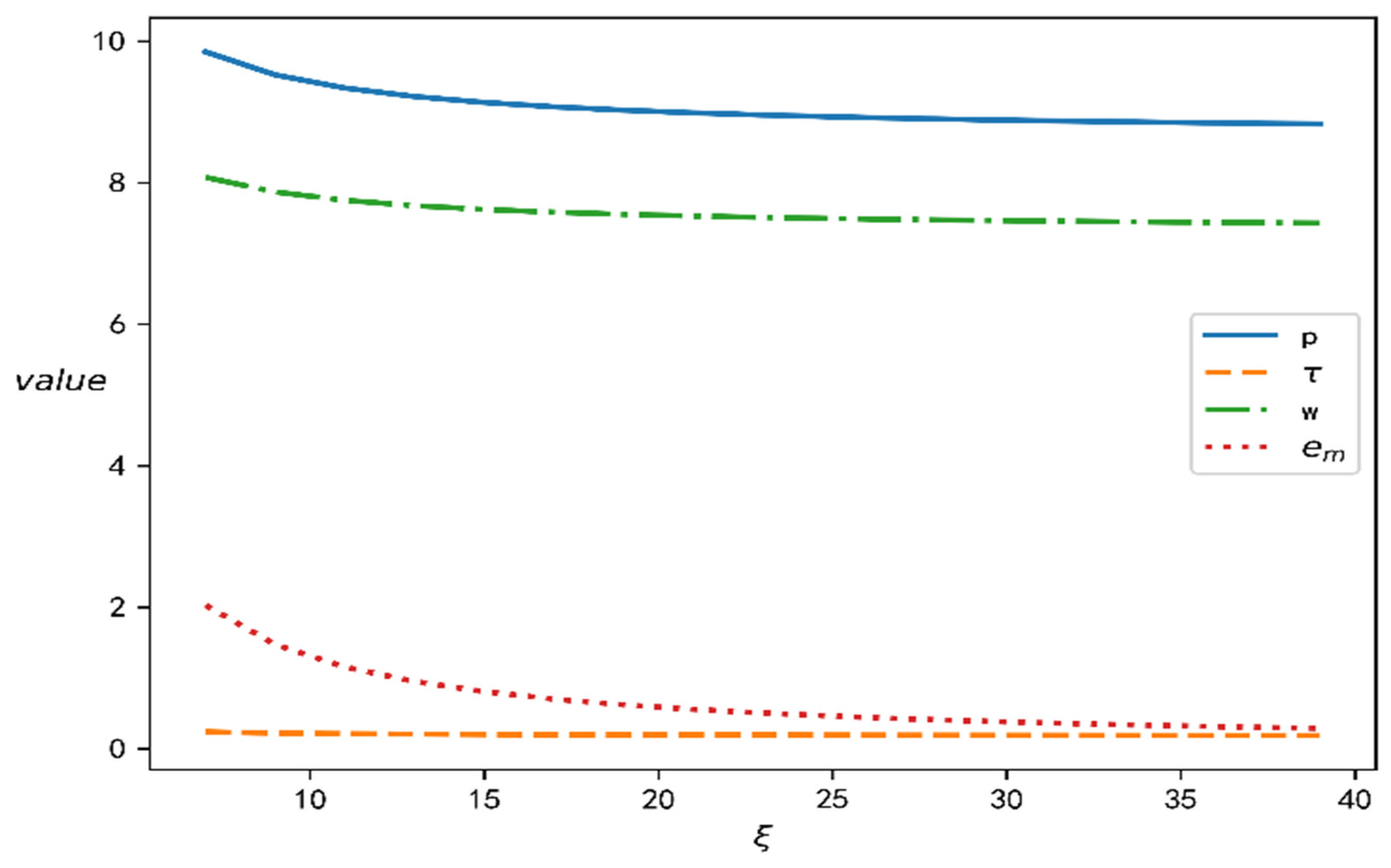
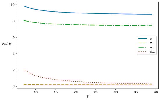
4.1. The Influence of the Recovery Scale Parameter on Decision Variables under Different Decision Situations
4.2. The Influence of CSR Cost Coefficient on Decision Variables
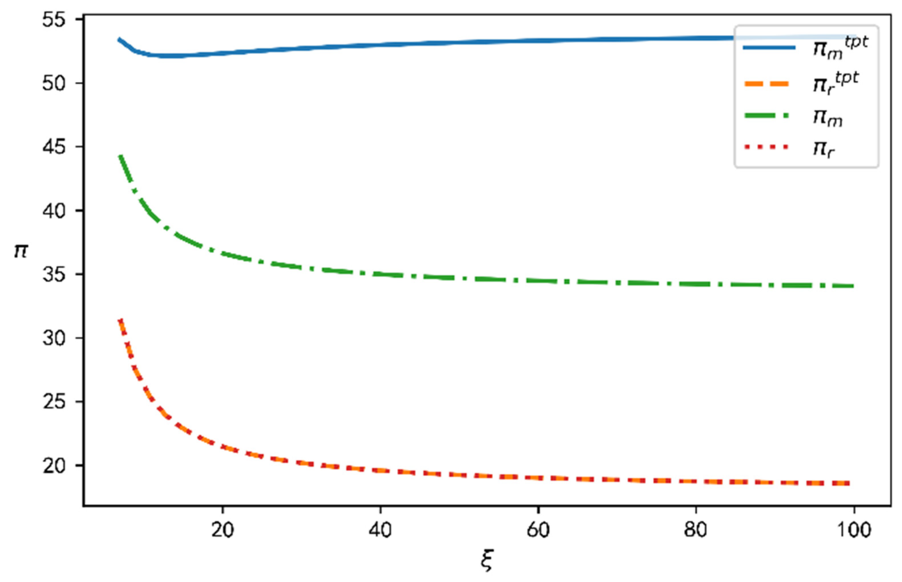
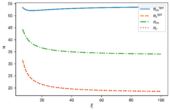
4.3. Two-Part Tariff Coordination Result Analysis
5. Management Implications
- (1)
- From the perspective of the manufacturer, this analysis shows that the continuous increase in CSR cost will lead to a decrease in enterprise revenue and an increase in product price, which must be maintained within the appropriate range to achieve the maximum effect. On this basis, enterprises can amplify the positive impact of CSR through reasonable publicity and marketing means, and give full play to the effect of CSR.
- (2)
- From the perspective of the retailer, the analysis shows that the manufacturer’s CSR level directly affects the retailer’s decision. If the manufacturer has negative CSR problems, the retailer’s profit and reputation will deteriorate greatly. Therefore, retailers should incorporate CSR into their assessment indicators when selecting partners. In addition, in the closed-loop supply chain, when the manufacturer invests in CSR, the retailer’s selling price and sales volume will increase. However, this could turn off price-oriented consumers, at the cost of a portion of sales volume for the retailer. Therefore, the retailer should set an appropriate selling price in order to increase their final profit.
- (3)
- For the whole supply chain, CSR input intensifies the supply chain conflict. The manufacturer’s input into CSR increases the sales volume of the retailer, which, to some extent, affects the enthusiasm of the manufacturer. Although the manufacturer increases their product recycling rate due to the influence of CSR, the effect is not ideal. Therefore, a coordination mechanism is still needed to promote the enthusiasm of all parties to promote the healthy development of the supply chain.
6. Conclusions
- (1)
- When upstream and downstream enterprises cooperate for common profits, the optimal decisions of the supply chain members under centralized decision making are better than those under decentralized decision making, and are best able to meet the objective of maximizing their own profits.
- (2)
- When introducing CSR into the closed-loop supply chain, the level of recovery rate, product pricing, market demand, the overall profits of the closed-loop supply chain and the wholesale price of the products are all better than those without the introduction of CSR, and CSR has a positive effect. The increase in the input cost of CSR will reduce the level of CSR, as well as the wholesale price, product recovery rate, and retail price of the products.
- (3)
- The two-part tariff contract can effectively alleviate the conflicts resulting from different decisions between upstream and downstream enterprises and supply chain profits loss, thus improving the profits of the manufacturer, the retailer, and the whole supply chain, meaning that decision-making processes reach or approach their best level under centralized decision making.
Author Contributions
Funding
Data Availability Statement
Conflicts of Interest
Appendix A
References
- Barman, A.; Das, R.; De, P.K.; Sana, S.S. Optimal Pricing and Greening Strategy in a Competitive Green Supply Chain: Impact of Government Subsidy and Tax Policy. Sustainability 2021, 13, 9178. [Google Scholar] [CrossRef]
- Barman, A.; De, P.K.; Chakraborty, A.K.; Peng Lim, C.; Das, R. Optimal pricing policy in a three-layer dual-channel supply chain under government subsidy in green manufacturing. Math. Comput. Simul. 2022, 204, 401–429. [Google Scholar] [CrossRef]
- Guo, C.X.; Li, X.S.; Guo, Y.H. Research on the Cooperation and Profit-Sharing Strategy of Supply Chain under the Social Responsibility Environment. J. Ind. Eng. Eng. Manag. 2011, 25, 103–108. [Google Scholar]
- Ni, D.B.; Li, X.; Tang, X.W. Corporate social responsibility operation in the supply chain: Mutual incentives, corporate social responsibility allocation and cooperation. Chin. J. Manag. Sci. 2015, 23, 97–105. [Google Scholar]
- Duan, H.W.; Yan, Y.S.; Zhang, Y.D. Pricing and coordination of Logistics Service supply chain considering corporate social responsibility. J. Control. Decis. 2016, 31, 2287–2292. [Google Scholar]
- Song, J.Z.; Huang, Y.F.; Gu, J.W. Research on supply chain equilibrium decision of single manufacturer and two retailers with sense of social responsibility. J. Manag. 2016, 13, 1571–1578. [Google Scholar]
- Li, J.H. Game Analysis on the influence of corporate social responsibility differentiation on supply chain competition. Chin. J. Syst. Sci. 2017, 25, 62–66. [Google Scholar]
- Li, Y.H.; Ni, D.B.; Tang, X.W. Game of enterprise quality signal transmission in supply chain based on corporate social responsibility. Chin. J. Manag. Sci. 2017, 25, 38–47. [Google Scholar]
- Andrews, K.R. The Concept of Corporate Strategy; Dow Jones-Irwin: Homewood, IL, USA, 1971; p. 111. [Google Scholar]
- Bowman, E.H.; Haire, M. A strategic posture toward corporate social responsibility. Calif. Manag. Rev. 1975, 18, 49–58. [Google Scholar] [CrossRef]
- Huse, E.F. The Modern Manager; West Publishing, Co.: St. Paul, MN, USA, 1979. [Google Scholar]
- Goering, G.E. Corporate social responsibility and marketing channel coordination. Res. Econ. 2012, 66, 142–148. [Google Scholar] [CrossRef]
- Hosseini-Motlag, S.M.; Ebrahimi, S.; Zirakpourdehkordi, R. Coordination of dual-function acquisition price and corporate social responsibility in a sustainable closed-loop supply chain. J. Clean. Prod. 2020, 251, 119629. [Google Scholar] [CrossRef]
- Lin, Z.B.; Chen, M.F.; Duan, M.Y. Green supply chain decision considering demand disturbance and corporate social responsibility behavior. Comput. Integr. Mak. Syst. 2021, 27, 1–17. [Google Scholar]
- Fleischmann, M.; Krikke, H.R.; Flapper, S.D.P. A characterization of logistics networks for product recovery. Omega 2000, 28, 653–666. [Google Scholar] [CrossRef]
- Ma, W.M.; Zhao, Z.; Ke, H. Dual-channel closed-loop supply chain with government consumption-subsidy. Eur. J. Oper. Res. 2013, 226, 221–227. [Google Scholar] [CrossRef]
- Bulmus, S.C.; Zhu, S.X.; Teunter, R. Competition for cores in re-manufacturing. Eur. J. Oper. Res. 2014, 233, 105–113. [Google Scholar] [CrossRef]
- Pasternack, B.A. Optimal Pricing and Return Policies for Perishable Commodities. Mark. Sci. 1985, 4, 131–132. [Google Scholar] [CrossRef]
- Zhang, P.; Xiong, Z.K. Retailer Incentive Contract Design under Asymmetric Information of Manufacturer’s Recovery Cost. J. Ind. Eng. Eng. Manag. 2019, 33, 144–150. [Google Scholar]
- Li, X.; Li, Y.; Cai, X. Re-manufacturing and pricing decisions with random yield and random demand. Comput. Oper. Res. 2015, 54, 195–203. [Google Scholar] [CrossRef]
- Liao, B.F.; Li, B.Y. RS-CLSC Multivariate Dimensional Newsboy Model under Uncertain Demand. Stat. Decis. 2018, 34, 25–29. [Google Scholar]
- Takamichi, H.; Stephen, M.D. A unified theory of the dynamics of closed-loop supply chains. Eur. J. Oper. Res. 2018, 269, 313–326. [Google Scholar]
- Barman, A.; Das, R.; De, P.K. An analysis of optimal pricing strategy and inventory scheduling policy for a non-instantaneous deteriorating item in a two-layer supply chain. Appl. Intell. 2022, 52, 4626–4650. [Google Scholar] [CrossRef]
- Hsueh, C.F.; Chang, M.S. Equilibrium analysis and corporate social responsibility for supply chain integration. Eur. J. Oper. Res. 2008, 190, 116–129. [Google Scholar] [CrossRef]
- Modak, N.M.; Panda, S.; Sana, S.S.; Basu, M. Corporate social responsibility, coordination and profit distribution in a dual-channel supply chain. Pac. Sci. Rev. 2014, 16, 235–249. [Google Scholar] [CrossRef]
- Ni, D.B.; Li, K.W. A game-theoretic analysis of social responsibility conduct in two-echelon supply chains. Int. J. Prod. Econ. 2012, 138, 303–313. [Google Scholar] [CrossRef]
- Panda, S. Coordination of a socially responsible supply chain using profit sharing contract. Transp. Res. Part E 2014, 67, 92–104. [Google Scholar] [CrossRef]
- Panda, S.; Modak, N.M. Exploring the effects of social responsibility on coordination and profit division in a supply chain. J. Clean. Prod. 2016, 139, 25–40. [Google Scholar] [CrossRef]
- Hsueh, C.F. Improving corporate social responsibility in a supply chain through a new profit sharing contract. Int. J. Prod. Econ. 2014, 151, 214–222. [Google Scholar] [CrossRef]
- Modak, N.M.; Panda, S.; Mishra, R.; Sana, S.S. A three-layer supply chain coordination in socially responsible distribution system. Tékhne 2016, 14, 75–87. [Google Scholar] [CrossRef]
- Modak, N.M.; Panda, S.; Sana, S.S. Pricing policy and coordination for a two-layer supply chain of duopolistic retailers and socially responsible manufacturer. Int. J. Logist. Res. Appl. 2016, 19, 487–508. [Google Scholar] [CrossRef]
- Wu, Y.; Li, H.Y.; Gou, Q.L.; Gu, J. Supply chain models with corporate social responsibility. Int. J. Prod. Res. 2017, 55, 6732–6759. [Google Scholar] [CrossRef]
- Pietro, D.G. A joint maximization incentive in closed-loop supply chains with competing retailers: The case of spent-battery recycling. Eur. J. Oper. Res. 2018, 268, 128–147. [Google Scholar]
- Wu, W.; Zhang, Q.; Liang, Z. Environmentally responsible closed-loop supply chain models for joint environmental responsibility investment, recycling and pricing decisions. J. Clean. Prod. 2020, 259, 120776. [Google Scholar] [CrossRef]
- Modak, N.M.; Kazemi, N.; Cárdenas-Barrón, L.E. Investigating structure of a two-echelon closed-loop supply chain using social work donation as a Corporate Social Responsibility practice. Int. J. Prod. Econ. 2018, 207, 19–33. [Google Scholar] [CrossRef]
- Wang, Y.; Su, M.; Shen, L.; Tang, R. Decision of closed-loop supply chain under corporate social responsibility and fairness concerns. J. Clean. Prod. 2021, 284, 125373. [Google Scholar] [CrossRef]
- Savaskan, R.C.; Bhattacharya, S.; Wassenhove, L.N.V. Closed-Loop Supply Chain Models with Product Re-manufacturing. Manag. Sci. 2004, 50, 239–252. [Google Scholar] [CrossRef]
- Zhao, H.X.; Ai, X.Z.; Tang, X.W. Two pricing contracts for manufacturers with diseconomies of scale and chain competition. J. Manag. Sci. Eng. 2013, 16, 60–70. [Google Scholar]
- Ai, X.Z.; Fan, L.L.; He, X.F. Research on Two Pricing Contracts of Principal and Subordinate Competitive Supply Chain under Diseconomies of Scale. J. Control Decis. 2012, 27, 1477–1481. [Google Scholar]
- Ma, P.; Shang, J.; Wang, H. Enhancing corporate social responsibility: Contract design under information asymmetry. Omega 2017, 67, 19–30. [Google Scholar] [CrossRef]
- Song, H.; Gao, X. Green supply chain game model and analysis under profit-sharing contract. J. Clean. Prod. 2018, 170, 183–192. [Google Scholar] [CrossRef]







| Parameter | Description |
|---|---|
| The wholesale price of the manufacturer | |
| The retail price of the product | |
| The market demand function | |
| Market size | |
| Price sensitivity coefficient | |
| Recovery Scale parameter | |
| CSR cost coefficient | |
| Sensitivity coefficient | |
| The unit cost of the new product | |
| The unit cost of the re-manufactured product | |
| Recovery rate of waste products | |
| Average production cost of manufacturers | |
| Recovery cost | |
| Level of corporate social responsibility | |
| The profits of the manufacturer | |
| The profits of the retailer | |
| The profits of the supply chain | |
| Without thinking about CSR | |
| Optimal decision under decentralized decision making | |
| Optimal decision under centralized decision making | |
| In the case of decentralized decision making | |
| In the case of centralized decision making | |
| The retailer’s optimal price difference when CSR is introduced or not introduced | |
| The overall profits of the supply chain difference when CSR is introduced or not introduced | |
| The sales volume difference when CSR is introduced or not introduced |
| 6 | 0.250 | 0.050 | 10.125 | 8.250 | 46.875 | 35.156 | 0.303 | 1.509 | 8.933 | 6.657 | 54.376 | 35.156 |
| 10 | 0.216 | 0.026 | 9.418 | 7.802 | 40.409 | 26.127 | 0.313 | 0.545 | 8.085 | 5.735 | 52.274 | 26.127 |
| 20 | 0.195 | 0.026 | 9.003 | 7.539 | 36.621 | 21.458 | 0.338 | 0.144 | 7.579 | 5.042 | 52.316 | 21.458 |
| 30 | 0.189 | 0.008 | 8.883 | 7.462 | 35.511 | 20.177 | 0.351 | 0.066 | 7.422 | 4.792 | 52.697 | 20.177 |
| 40 | 0.187 | 0.006 | 8.825 | 7.425 | 34.981 | 19.579 | 0.358 | 0.038 | 7.345 | 4.660 | 52.970 | 19.579 |
| 50 | 0.185 | 0.004 | 8.791 | 7.404 | 34.671 | 19.233 | 0.363 | 0.024 | 7.299 | 4.579 | 53.163 | 19.233 |
| 60 | 0.184 | 0.004 | 8.768 | 7.390 | 34.467 | 19.007 | 0.366 | 0.017 | 7.269 | 4.524 | 53.304 | 19.007 |
Publisher’s Note: MDPI stays neutral with regard to jurisdictional claims in published maps and institutional affiliations. |
© 2022 by the authors. Licensee MDPI, Basel, Switzerland. This article is an open access article distributed under the terms and conditions of the Creative Commons Attribution (CC BY) license (https://creativecommons.org/licenses/by/4.0/).
Share and Cite
Zhang, Q.; Liu, Y.; Liu, Z. Decision Analysis of Manufacturer-Led Closed-Loop Supply Chain Considering Corporate Social Responsibility. Int. J. Environ. Res. Public Health 2022, 19, 15189. https://doi.org/10.3390/ijerph192215189
Zhang Q, Liu Y, Liu Z. Decision Analysis of Manufacturer-Led Closed-Loop Supply Chain Considering Corporate Social Responsibility. International Journal of Environmental Research and Public Health. 2022; 19(22):15189. https://doi.org/10.3390/ijerph192215189
Chicago/Turabian StyleZhang, Qi, Yong Liu, and Zhiyang Liu. 2022. "Decision Analysis of Manufacturer-Led Closed-Loop Supply Chain Considering Corporate Social Responsibility" International Journal of Environmental Research and Public Health 19, no. 22: 15189. https://doi.org/10.3390/ijerph192215189
APA StyleZhang, Q., Liu, Y., & Liu, Z. (2022). Decision Analysis of Manufacturer-Led Closed-Loop Supply Chain Considering Corporate Social Responsibility. International Journal of Environmental Research and Public Health, 19(22), 15189. https://doi.org/10.3390/ijerph192215189

