The Cost-Effectiveness of the SMART Work & Life Intervention for Reducing Sitting Time
Abstract
1. Introduction
2. Materials and Methods
2.1. Overview
2.2. SMART Work & Life Trial
2.3. Resource Use and Costs
2.4. Outcomes
2.5. Analysis
2.5.1. Within-Trial Analysis
2.5.2. Decision Analytic Model and Long-Term Cost-Effectiveness
2.5.3. Statistical Methods
2.5.4. Economic Analysis
3. Results
3.1. Missing Data
3.2. Outcomes
3.3. Resource Use and Costs
3.4. Economic Analysis
3.4.1. Cost-Effectiveness
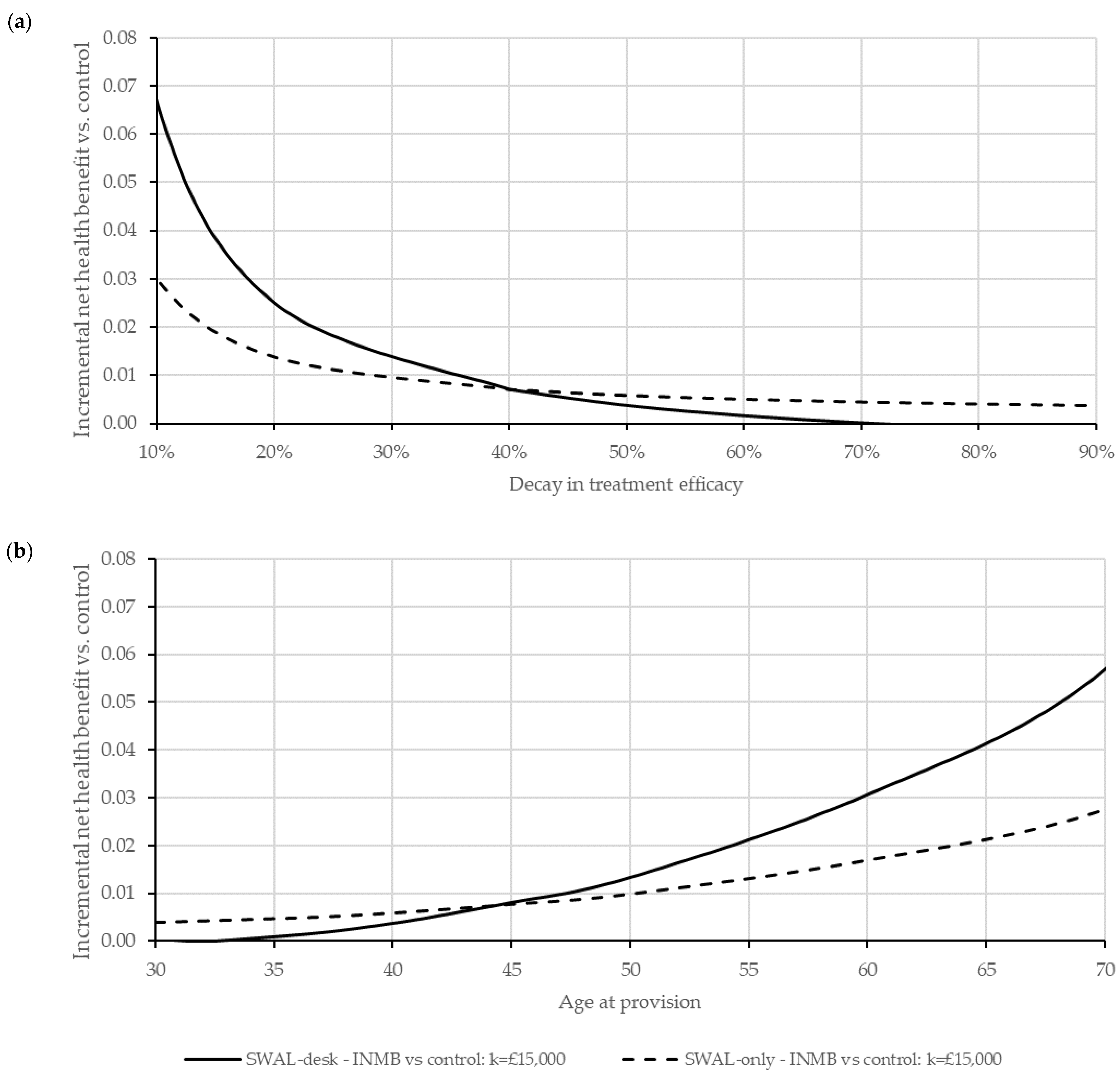
3.4.2. Scenario Analyses
3.4.3. Sensitivity and Threshold Analyses
4. Discussion
4.1. Key Findings
4.2. Previous Findings
4.3. Strengths and Limitations
4.4. Policy Implications
5. Conclusions
Supplementary Materials
Author Contributions
Funding
Institutional Review Board Statement
Informed Consent Statement
Data Availability Statement
Acknowledgments
Conflicts of Interest
References
- Dempsey, P.C.; Biddle, S.J.H.; Buman, M.P.; Chastin, S.; Ekelund, U.; Friedenreich, C.M.; Katzmarzyk, P.T.; Leitzmann, M.F.; Stamatakis, E.; Van Der Ploeg, H.P.; et al. New global guidelines on sedentary behaviour and health for adults: Broadening the behavioural targets. Int. J. Behav. Nutr. Phys. Act. 2020, 17, 1–12. [Google Scholar] [CrossRef] [PubMed]
- Heron, L.; O’Neill, C.; McAneney, H.; Kee, F.; Tully, M.A. Direct healthcare costs of sedentary behaviour in the UK. J. Epidemiol. Community Health 2019, 73, 625–629. [Google Scholar] [CrossRef] [PubMed]
- Stockwell, S.; Trott, M.; Tully, M.; Shin, J.; Barnett, Y.; Butler, L.; McDermott, D.; Schuch, F.; Smith, L. Changes in physical activity and sedentary behaviours from before to during the COVID-19 pandemic lockdown: A systematic review. BMJ Open Sport Exerc. Med. 2021, 7, e000960. [Google Scholar] [CrossRef] [PubMed]
- Sallis, R.; Young, D.R.; Tartof, S.Y.; Sallis, J.F.; Sall, J.; Li, Q.; Smith, G.N.; A Cohen, D. Physical inactivity is associated with a higher risk for severe COVID-19 outcomes: A study in 48,440 adult patients. Br. J. Sports Med. 2021, 55, 1099–1105. [Google Scholar] [CrossRef]
- Bull, F.C.; Al-Ansari, S.S.; Biddle, S.; Borodulin, K.; Buman, M.P.; Cardon, G.; Carty, C.; Chaput, J.-P.; Chastin, S.; Chou, R.; et al. World Health Organization 2020 guidelines on physical activity and sedentary behaviour. Br. J. Sports Med. 2020, 54, 1451–1462. [Google Scholar] [CrossRef]
- UK Chief Medical Officers’ Physical Activity Guidelines. Department of Health and Social Care. Report. 2019. Available online: https://www.gov.uk/government/publications/physical-activity-guidelines-uk-chief-medical-officers-report (accessed on 31 January 2022).
- Edwardson, C.L.; Yates, T.; Biddle, S.J.H.; Davies, M.J.; Dunstan, D.W.; Esliger, D.W.; Gray, L.J.; Jackson, B.; O’Connell, S.E.; Waheed, G.; et al. Effectiveness of the stand more at (SMArT) work intervention: Cluster randomised controlled trial. BMJ 2018, 363, 3870. [Google Scholar] [CrossRef] [PubMed]
- Healy, G.N.; Eakin, E.; LaMontagne, A.D.; Owen, N.; Winkler, E.A.; Wiesner, G.; Gunning, L.; Neuhaus, M.; Lawler, S.; Fjeldsoe, B.S.; et al. Reducing sitting time in office workers: Short-term efficacy of a multicomponent intervention. Prev. Med. 2013, 57, 43–48. [Google Scholar] [CrossRef]
- Thorp, A.A.; Kingwell, B.A.; Owen, N.; Dunstan, D.W. Breaking up workplace sitting time with intermittent standing bouts improves fatigue and musculoskeletal discomfort in overweight/obese office workers. Occup. Environ. Med. 2014, 71, 765–771. [Google Scholar] [CrossRef]
- Henson, J.; Davies, M.J.; Bodicoat, D.H.; Edwardson, C.L.; Gill, J.M.; Stensel, D.J.; Tolfrey, K.; Dunstan, D.W.; Khunti, K.; Yates, T. Breaking Up Prolonged Sitting With Standing or Walking Attenuates the Postprandial Metabolic Response in Postmenopausal Women: A Randomized Acute Study. Diabetes Care 2016, 39, 130–138. [Google Scholar] [CrossRef]
- Dunstan, D.W.; Kingwell, B.A.; Larsen, R.; Healy, G.N.; Cerin, E.; Hamilton, M.T.; Shaw, J.E.; Bertovic, D.A.; Zimmet, P.Z.; Salmon, J.; et al. Breaking up prolonged sitting reduces postprandial glucose and insulin responses. Diabetes Care 2012, 35, 976–983. [Google Scholar] [CrossRef]
- Thorp, A.A.; Kingwell, B.A.; Sethi, P.; Hammond, L.; Owen, N.; Dunstan, D.W. Alternating bouts of sitting and standing attenuate postprandial glucose responses. Med. Sci. Sports Exerc. 2014, 46, 2053–2061. [Google Scholar] [CrossRef] [PubMed]
- Larsen, R.N.; Kingwell, B.A.; Sethi, P.; Cerin, E.; Owen, N.; Dunstan, D.W. Breaking up prolonged sitting reduces resting blood pressure in overweight/obese adults. Nutr. Metab. Cardiovasc. Dis. 2014, 24, 976–982. [Google Scholar] [CrossRef] [PubMed]
- McCarthy, M.; Edwardson, C.L.; Davies, M.; Henson, J.; Bodicoat, D.H.; Khunti, K.; Dunstan, D.W.; King, J.A.; Yates, T. Fitness Moderates Glycemic Responses to Sitting and Light Activity Breaks. Med. Sci. Sports Exerc. 2017, 49, 2216–2222. [Google Scholar] [CrossRef]
- Crespo, N.C.; Mullane, S.L.; Zeigler, Z.S.; Buman, M.P.; Gaesser, G.A. Effects of Standing and Light-Intensity Walking and Cycling on 24-h Glucose. Med. Sci. Sports Exerc. 2016, 48, 2503–2511. [Google Scholar] [CrossRef] [PubMed]
- Wennberg, P.; Boraxbekk, C.-J.; Wheeler, M.; Howard, B.; Dempsey, P.; Lambert, G.; Eikelis, N.; Larsen, R.; Sethi, P.; Occleston, J.; et al. Acute effects of breaking up prolonged sitting on fatigue and cognition: A pilot study. BMJ Open 2016, 6, e009630. [Google Scholar] [CrossRef]
- Zhao, R.; Bu, W.; Chen, Y.; Chen, X. The Dose-Response Associations of Sedentary Time with Chronic Diseases and the Risk for All-Cause Mortality Affected by Different Health Status: A Systematic Review and Meta-Analysis. J. Nutr. Health Aging 2020, 24, 63–70. [Google Scholar] [CrossRef]
- Ekelund, U.; Tarp, J.; Steene-Johannessen, J.; Hansen, B.H.; Jefferis, B.; Fagerland, M.W.; Whincup, P.; Diaz, K.M.; Hooker, S.P.; Chernofsky, A.; et al. Dose-response associations between accelerometry measured physical activity and sedentary time and all cause mortality: Systematic review and harmonised meta-analysis. BMJ 2019, 366, l4570. [Google Scholar] [CrossRef]
- Patterson, R.; McNamara, E.; Tainio, M.; De Sá, T.H.; Smith, A.D.; Sharp, S.J.; Edwards, P.; Woodcock, J.; Brage, S.; Wijndaele, K. Sedentary behaviour and risk of all-cause, cardiovascular and cancer mortality, and incident type 2 diabetes: A systematic review and dose response meta-analysis. Eur. J. Epidemiol. 2018, 33, 811–829. [Google Scholar] [CrossRef]
- Health and Wellbeing at Work 2021. Chartered Institute of Personnel and Development. Survey Report. 2021. Available online: https://www.cipd.co.uk/Images/health-wellbeing-work-report-2021_tcm18-93541.pdf (accessed on 31 January 2022).
- Munir, F.; Miller, P.; Biddle, S.J.; Davies, M.J.; Dunstan, D.W.; Esliger, D.W.; Gray, L.J.; O’Connell, S.E.; Waheed, G.; Yates, T.; et al. A Cost and Cost-Benefit Analysis of the Stand More AT Work (SMArT Work) Intervention. Int. J. Environ. Res. Public Health 2020, 17, 1214. [Google Scholar] [CrossRef]
- Edwardson, C.L.; Gorely, T.; Davies, M.; Gray, L.; Khunti, K.; Wilmot, E.G.; Yates, T.; Biddle, S. Association of sedentary behaviour with metabolic syndrome: A meta-analysis. PLoS ONE 2012, 7, e34916. [Google Scholar] [CrossRef] [PubMed]
- Nguyen, P.; Ananthapavan, J.; Tan, E.J.; Crosland, P.; Bowe, S.J.; Gao, L.; Dunstan, D.W.; Moodie, M. Modelling the potential health and economic benefits of reducing population sitting time in Australia. Int. J. Behav. Nutr. Phys. Act. 2022, 19. Available online: https://pubmed.ncbi.nlm.nih.gov/35305678/ (accessed on 18 August 2022). [CrossRef] [PubMed]
- Drummond, M.; Sculpher, M.; Claxton, K.; Stoddart, G. Methods for the Economic Evaluation of Health Care Programmes; Oxford University Press: Oxford, UK, 2015. [Google Scholar]
- National Institute of Health and Care Excellence (NICE). Guide to the Methods of Technology Appraisal 2013; NICE: London, UK, 2013. [Google Scholar]
- Edwardson, C.L.; Biddle, S.J.H.; A Clemes, S.; Davies, M.J.; Dunstan, D.W.; Eborall, H.; Granat, M.H.; Gray, L.J.; Healy, G.N.; Jaicim, N.B.; et al. Effectiveness of an intervention for reducing sitting time and improving health in office workers: Three arm cluster randomised controlled trial. BMJ 2022, 378, e069288. [Google Scholar] [CrossRef] [PubMed]
- Carpenter, J.R.; Goldstein, H.; Kenward, M.G. REALCOM-IMPUTE Software for Multilevel Multiple Imputation with Mixed Response Types. Available online: http://www.jstatsoft.org/ (accessed on 2 March 2021).
- Grund, S.; Lüdtke, O.; Robitzsch, A. Multiple Imputation of Missing Data for Multilevel Models. Organ. Res. Methods 2018, 21, 111–149. [Google Scholar] [CrossRef]
- Edwardson, C.L.; Biddle, S.J.H.; Clarke-Cornwell, A.; Clemes, S.; Davies, M.J.; Dunstan, D.W.; Eborall, H.; Granat, M.H.; Gray, L.J.; Healy, G.N.; et al. A three arm cluster randomised controlled trial to test the effectiveness and cost-effectiveness of the SMART Work & Life intervention for reducing daily sitting time in office workers: Study protocol. BMC Public Health 2018, 18, 1120. [Google Scholar] [CrossRef]
- National Health Service (NHS) Improvement. Reference Costs 2018-19. 2018. Available online: https://improvement.nhs.uk/resources/reference-costs/ (accessed on 11 January 2021).
- Personal Social Services Research Unit (PSSRU). Unit Costs of Health and Social Care 2019. 2019. Available online: https://www.pssru.ac.uk/project-pages/unit-costs/ (accessed on 11 January 2021).
- Office for National Statistics. Employee Earnings in the UK: 2019. Available online: https://www.ons.gov.uk/employmentandlabourmarket/peopleinwork/earningsandworkinghours/bulletins/annualsurveyofhoursandearnings/2019 (accessed on 11 January 2021).
- EuroQol Group. EQ-5D Instruments—EQ-5D. 2020. Available online: https://euroqol.org/eq-5d-instruments/ (accessed on 24 January 2022).
- Van Hout, B.; Janssen, M.F.; Feng, Y.S.; Kohlmann, T.; Busschbach, J.; Golicki, D.; Lloyd, A.; Scalone, L.; Mphil, P.K.; Pickard, A.S. Interim scoring for the EQ-5D-5L: Mapping the EQ-5D-5L to EQ-5D-3L value sets. Value Health 2012, 15, 708–715. [Google Scholar] [CrossRef] [PubMed]
- Nelder, J.A.; Wedderburn, R.W.M. Generalized Linear Models. J. R. Stat. Soc. Ser. A 1972, 135, 370. [Google Scholar] [CrossRef]
- Manca, A.; Hawkins, N.; Sculpher, M.J. Estimating mean QALYs in trial-based cost-effectiveness analysis: The importance of controlling for baseline utility. Health Econ. 2005, 14, 487–496. [Google Scholar] [CrossRef]
- Barber, J.; Thompson, S. Multiple regression of cost data: Use of generalised linear models. J. Health Serv. Res. Policy 2004, 9, 197–204. [Google Scholar] [CrossRef]
- Gelman, A.; Hill, J. Data Analysis Using Regression and Multilevel/Hierarchical Models. 2006. Available online: https://books.google.com/books?hl=en&lr=&id=c9xLKzZWoZ4C&oi=fnd&pg=PR17&dq=Data+Analysis+Using+Regression+and+Multilevel/Hierarchical+Models&ots=bcQbO1Kktb&sig=iPDgNFzeJun8l1uqwNLdk5Z8Izo (accessed on 28 March 2022).
- National Institute for Health and Care Excellence. Methods for the Development of NICE Public Health Guidance (Third Edition). 2012. Available online: https://www.nice.org.uk/process/pmg4/resources/methods-for-the-development-of-nice-public-health-guidance-third-edition-pdf-2007967445701 (accessed on 5 October 2020).
- Janssen, M.F.; Szende, A.; Cabases, J.; Ramos-Goñi, J.M.; Vilagut, G.; König, H.H. Population norms for the EQ-5D-3L: A cross-country analysis of population surveys for 20 countries. Eur. J. Health Econ. 2019, 20, 205–216. [Google Scholar] [CrossRef]
- Asaria, M. Health Care Costs in the English NHS: Reference Tables for Average Annual NHS Spend by Age, Sex and Deprivation Group; Working Papers 147cherp; Centre for Health Economics, University of York: York, UK, 2017. [Google Scholar]
- National Life Tables: UK—Office for National Statistics. Available online: https://www.ons.gov.uk/peoplepopulationandcommunity/birthsdeathsandmarriages/lifeexpectancies/datasets/nationallifetablesunitedkingdomreferencetables (accessed on 3 March 2021).
- Cobiac, L.J.; Vos, T.; Barendregt, J.J. Cost-Effectiveness of Interventions to Promote Physical Activity: A Modelling Study. PLoS Med. 2009, 6, e1000110. [Google Scholar] [CrossRef] [PubMed]
- GC, V.S.; Suhrcke, M.; Hardeman, W.; Sutton, S.; Wilson, E.C.F. Cost-Effectiveness and Value of Information Analysis of Brief Interventions to Promote Physical Activity in Primary Care. Value Health 2018, 21, 18–26. [Google Scholar] [CrossRef] [PubMed]
- Jacobs-van der Bruggen, M.A.; Bos, G.; Bemelmans, W.J.; Hoogenveen, R.T.; Vijgen, S.M.; Baan, C.A. Lifestyle Interventions Are Cost-Effective in People With Different Levels of Diabetes Risk Results from a modeling study. Diabetes Care 2007, 30, 128–134. [Google Scholar] [CrossRef] [PubMed]
- Over, E.A.B.; Wendel-Vos, G.C.W.; van den Berg, M.; Reenen, H.H.H.; Tariq, L.; Hoogenveen, R.T.; van Baal, P.H. Cost-effectiveness of counseling and pedometer use to increase physical activity in the Netherlands: A modeling study. Cost Eff. Resour. Alloc. 2012, 10, 1–7. [Google Scholar] [CrossRef] [PubMed]
- Gao, L.; Flego, A.; Dunstan, D.W.; Winkler, E.A.; Healy, G.N.; Eakin, E.G.; Willenberg, L.; Owen, N.; Lamontagne, A.D.; Lal, A.; et al. Economic evaluation of a randomized controlled trial of an intervention to reduce office workers’ sitting time: The “Stand up Victoria” trial. Scand. J. Work Environ. Health 2018, 44, 503–511. [Google Scholar] [CrossRef]
- Rubin, D. Multiple Imputation for Nonresponse in Surveys; John Wiley & Sons: New York, NY, USA, 2004. [Google Scholar]
- Von Hippel, P.T. How Many Imputations Do You Need? A Two-stage Calculation Using a Quadratic Rule. Sociol. Methods Res. 2018, 49, 699–718. [Google Scholar] [CrossRef]
- Briggs, A.; Sculpher, M.; Claxton, K. Decision Modelling for Health Economic Evaluation; Oxford University Press: Oxford, UK, 2006. [Google Scholar]
- Claxton, K.; Martin, S.; Soares, M.; Rice, N.; Spackman, E.; Hinde, S.; Devlin, N.; Smith, P.C.; Sculpher, M. Methods for the estimation of the National Institute for Health and care excellence cost-effectiveness threshold. Health Technol. Assess. 2015, 19, 1–503. [Google Scholar] [CrossRef]
- Issues Surrounding the Estimation of the Opportunity Cost of Adopting a New Health Care Technology: Areas for Further Research|OHE. Available online: https://www.ohe.org/publications/issues-surrounding-estimation-opportunity-cost-adopting-new-health-care-technology (accessed on 22 June 2020).
- The Green Book (2020)—GOV.UK. 2020. Available online: https://www.gov.uk/government/publications/the-green-book-appraisal-and-evaluation-in-central-governent/the-green-book-2020 (accessed on 27 February 2022).
- Walker, S.; Griffin, S.; Asaria, M.; Tsuchiya, A.; Sculpher, M. Striving for a Societal Perspective: A Framework for Economic Evaluations When Costs and Effects Fall on Multiple Sectors and Decision Makers. Appl. Health Econ. Health Policy 2019, 17, 577–590. [Google Scholar] [CrossRef]
- Michaud, T.L.; You, W.; A Estabrooks, P.; Leonard, K.; A Rydell, S.; Mullane, S.L.; A Pereira, M.; Buman, M.P. Cost and cost-effectiveness of the “Stand and Move at Work” multicomponent intervention to reduce workplace sedentary time and cardiometabolic risk. Scand. J. Work Environ. Health 2022, 48, 399–409. [Google Scholar] [CrossRef]
- Gao, L.; Nguyen, P.; Dunstan, D.; Moodie, M. Are office-based workplace interventions designed to reduce sitting time cost-effective primary prevention measures for cardiovascular disease? A systematic review and modelled economic evaluation. Int. J. Environ. Res. Public Health 2019, 16, 834. [Google Scholar] [CrossRef]
- Ben, J.; Jelsma, J.G.; Renaud, L.R.; Huysmans, M.A.; van Nassau, F.; van der Beek, A.J.; van der Ploeg, H.P.; van Dongen, J.M.; Bosmans, J.E. Cost-Effectiveness and Return-on-Investment of the Dynamic Work Intervention Compared With Usual Practice to Reduce Sedentary Behavior. J. Occup. Environ. Med. 2020, 62, e449–e456. [Google Scholar] [CrossRef] [PubMed]
- Nguyen, P.; Le, L.K.D.; Ananthapavan, J.; Gao, L.; Dunstan, D.W.; Moodie, M. Economics of sedentary behaviour: A systematic review of cost of illness, cost-effectiveness, and return on investment studies. Prev. Med. 2022, 156, 106964. [Google Scholar] [CrossRef] [PubMed]

| Costs | QALYs | ICER | Incremental Net Health Benefit (95% CI) | |||
|---|---|---|---|---|---|---|
| (95% CI) | (95% CI) | k = £15,000 | k = £20,000 | k = £30,000 | ||
| [P (Most Costly)] | [P (Most Effective)] | [Probability of Being Cost-Effective] | ||||
| Trial horizon | ||||||
| Control | £642.06 | 0.84243 | - | - | - | |
| (505.47, 798.4) | (0.82221, 0.8642) | - | - | - | ||
| [0.085] | [0.272] | [0.398] | [0.373] | [0.337] | ||
| SWAL-only | £691.19 | 0.84649 | £12,090.73 | 0.001 | 0.002 | 0.002 |
| (563.3, 846.93) | (0.8265, 0.86585) | (−0.024, 0.025) | (−0.022, 0.025) | (−0.021, 0.025) | ||
| [0.216] | [0.442] | [0.423] | [0.432] | [0.435] | ||
| SWAL-desk | £747.60 | 0.84187 | Dominated | −0.008 | −0.007 | −0.007 |
| (641.42, 871.14) | (0.82246, 0.86006) | (−0.04, 0.023) | (−0.038, 0.024) | (−0.036, 0.024) | ||
| [0.699] | [0.286] | [0.179] | [0.195] | [0.228] | ||
| Life-time horizon | ||||||
| Control | £642.06 | 17.79359 | - | - | - | |
| (507.14, 798.4) | (17.77337, 17.81535) | - | - | - | ||
| [0.085] | [0.08] | [0.164] | [0.139] | [0.109] | ||
| SWAL-only | £691.19 | 17.80344 | £4984.86 | 0.007 | 0.007 | 0.008 |
| (563.3, 846.93) | (17.78297, 17.82346) | (−0.019, 0.032) | (−0.017, 0.032) | (−0.015, 0.032) | ||
| [0.216] | [0.336] | [0.388] | [0.376] | [0.364] | ||
| SWAL-desk | £747.60 | 17.80766 | £13,377.90 | 0.007 | 0.009 | 0.011 |
| (641.42, 868.39) | (17.78785, 17.82522) | (−0.024, 0.041) | (−0.023, 0.042) | (−0.021, 0.043) | ||
| [0.699] | [0.584] | [0.448] | [0.485] | [0.527] | ||
| Costs | QALYs | ICER | Costs | QALYs | ICER | ||
|---|---|---|---|---|---|---|---|
| Lifetime costs | EQ-5D-5L preference values—lifetime horizon | ||||||
| Control | £48,295.50 | 17.79359 | Control | £642.06 | 17.82590 | ||
| SWAL | £48,361.39 | 17.80341 | £6706 | SWAL | £691.19 | 17.83591 | £4908 |
| SWAL-desk | £48,444.07 | 17.80778 | £18,956 | SWAL-desk | £747.60 | 17.84282 | £8164 |
| Linear efficacy decay (20% per annum) | EQ-5D-5L preference values—trial time horizon | ||||||
| Control | £642.06 | 17.79359 | Control | £642.06 | 0.87474 | ||
| SWAL | £691.19 | 17.80737 | £3565 | SWAL | £691.19 | 0.87896 | £11,644 |
| SWAL-desk | £747.60 | 17.81472 | £7674 | SWAL-desk | £747.60 | 0.87703 | Dominated |
| 70% efficacy decay (per annum) | No differential within-trial cost or QALYs estimates | ||||||
| Control | £642.06 | 17.79359 | Control | £587.42 | 17.79532 | ||
| SWAL | £691.19 | 17.80171 | £6046 | SWAL | £668.01 | 17.80111 | £13,914 |
| SWAL-desk | £747.60 | 17.80298 | £44,597 | SWAL-desk | £815.40 | 17.80913 | £18,382 |
| 60% efficacy decay (per annum) | 1.5% discount rate | ||||||
| Control | £642.06 | 17.79359 | Control | £646.26 | 24.20423 | ||
| SWAL | £691.19 | 17.80254 | £5487 | SWAL | £692.71 | 24.21901 | £3143 |
| SWAL-desk | £747.60 | 17.80492 | £23,683 | SWAL-desk | £748.50 | 24.22765 | £6455 |
| 40% efficacy decay (per annum) | 30 years-old | ||||||
| Control | £642.06 | 17.79359 | Control | £744.01 | 21.18629 | ||
| SWAL | £691.19 | 17.80520 | £4231 | SWAL | £783.76 | 21.19302 | £5903 |
| SWAL-desk | £747.60 | 17.81197 | £8330 | SWAL-desk | £826.24 | 21.19101 | Dominated |
| 30% efficacy decay (per annum) | 40 years-old | ||||||
| Control | £642.06 | 17.79359 | Control | £667.96 | 18.87570 | ||
| SWAL | £691.19 | 17.80781 | £3455 | SWAL | £716.39 | 18.88404 | £5805 |
| SWAL-desk | £747.60 | 17.81906 | £5016 | SWAL-desk | £770.86 | 18.88595 | £28,602 |
| 20% efficacy decay (per annum) | 50 years-old | ||||||
| Control | £642.06 | 17.79359 | Control | £603.97 | 16.03678 | ||
| SWAL | £691.19 | 17.81400 | £2407 | SWAL | £655.99 | 16.05092 | £3680 |
| SWAL-desk | £747.60 | 17.83461 | £2737 | SWAL-desk | £718.06 | 16.05774 | £9099 |
| 10% efficacy decay (per annum) | 60 years-old | ||||||
| Control | £642.06 | 17.79359 | Control | £550.85 | 12.72221 | ||
| SWAL | £691.19 | 17.83321 | Ext dominated | SWAL | £602.53 | 12.74258 | £2537 |
| SWAL-desk | £747.60 | 17.88543 | £1080 | SWAL-desk | £671.68 | 12.76031 | £3899 |
| 0% efficacy decay (per annum) | 70 years-old | ||||||
| Control | £642.06 | 17.79359 | Control | £504.50 | 9.05734 | ||
| SWAL | £691.19 | 17.99396 | Ext dominated | SWAL | £560.21 | 9.08821 | £1805 |
| SWAL-desk | £747.60 | 18.26384 | £209 | SWAL-desk | £635.86 | 9.12269 | £2194 |
| Patterson et al. [19] associated all-cause mortality risks | Male | ||||||
| Control | £642.06 | 17.79359 | Control | £478.49 | 17.30132 | ||
| SWAL | £691.19 | 17.79834 | £10,342 | SWAL | £534.78 | 17.31386 | £4488 |
| SWAL-desk | £747.60 | 17.79494 | Dominated | SWAL-desk | £613.77 | 17.32035 | £12,186 |
| Absenteeism cost inclusive (weighted 25% to public costs) | Female | ||||||
| Control | £675.30 | 17.79359 | Control | £726.83 | 17.99817 | ||
| SWAL | £726.96 | 17.80344 | £5245 | SWAL | £765.16 | 18.00801 | £3892 |
| SWAL-desk | £791.74 | 17.80766 | £15,350 | SWAL-desk | £810.88 | 18.01039 | £19,280 |
| Absenteeism cost inclusive (weighted equal to public costs) | |||||||
| Control | £759.81 | 17.79359 | |||||
| SWAL | £833.77 | 17.80344 | £7509 | ||||
| SWAL-desk | £922.12 | 17.80766 | £20,936 | ||||
Publisher’s Note: MDPI stays neutral with regard to jurisdictional claims in published maps and institutional affiliations. |
© 2022 by the authors. Licensee MDPI, Basel, Switzerland. This article is an open access article distributed under the terms and conditions of the Creative Commons Attribution (CC BY) license (https://creativecommons.org/licenses/by/4.0/).
Share and Cite
Cox, E.; Walker, S.; Edwardson, C.L.; Biddle, S.J.H.; Clarke-Cornwell, A.M.; Clemes, S.A.; Davies, M.J.; Dunstan, D.W.; Eborall, H.; Granat, M.H.; et al. The Cost-Effectiveness of the SMART Work & Life Intervention for Reducing Sitting Time. Int. J. Environ. Res. Public Health 2022, 19, 14861. https://doi.org/10.3390/ijerph192214861
Cox E, Walker S, Edwardson CL, Biddle SJH, Clarke-Cornwell AM, Clemes SA, Davies MJ, Dunstan DW, Eborall H, Granat MH, et al. The Cost-Effectiveness of the SMART Work & Life Intervention for Reducing Sitting Time. International Journal of Environmental Research and Public Health. 2022; 19(22):14861. https://doi.org/10.3390/ijerph192214861
Chicago/Turabian StyleCox, Edward, Simon Walker, Charlotte L. Edwardson, Stuart J. H. Biddle, Alexandra M. Clarke-Cornwell, Stacy A. Clemes, Melanie J. Davies, David W. Dunstan, Helen Eborall, Malcolm H. Granat, and et al. 2022. "The Cost-Effectiveness of the SMART Work & Life Intervention for Reducing Sitting Time" International Journal of Environmental Research and Public Health 19, no. 22: 14861. https://doi.org/10.3390/ijerph192214861
APA StyleCox, E., Walker, S., Edwardson, C. L., Biddle, S. J. H., Clarke-Cornwell, A. M., Clemes, S. A., Davies, M. J., Dunstan, D. W., Eborall, H., Granat, M. H., Gray, L. J., Healy, G. N., Maylor, B. D., Munir, F., Yates, T., & Richardson, G. (2022). The Cost-Effectiveness of the SMART Work & Life Intervention for Reducing Sitting Time. International Journal of Environmental Research and Public Health, 19(22), 14861. https://doi.org/10.3390/ijerph192214861

