Next Article in Journal
Eruption Pattern of Permanent Canines and Premolars in Polish Children
Previous Article in Journal
How Job Demands and Resources Relate to Experiences of Bullying and Negative Acts among University Employees
 
 
Font Type:
Arial Georgia Verdana
Font Size:
Aa Aa Aa
Line Spacing:
Column Width:
Background:
Article

Occupational Exposure among Electronic Repair Workers in Ghana

by
Stine Eriksen Hammer
1,*,
Stephen L. Dorn
2,
Emmanuel Dartey
3,
Balázs Berlinger
1,†,
Yngvar Thomassen
1 and
Dag G. Ellingsen
1
1
National Institute of Occupational Health, Gydas vei 8, 0363 Oslo, Norway
2
Team Analytics and Environment, Münster Electrochemical Energy Technology, University of Münster, Schlossplatz 3, D-48159 Münster, Germany
3
Department of Chemistry Education, Akenten Appiah-Menka University of Skills Training and Entrepreneurial Development, Mampong P.O. Box 40, Ghana
*
Author to whom correspondence should be addressed.
Current address: Department of Animal Hygiene, Herd Health and Mobile Clinic, University of Veterinary Medicine Budapest, István u. 2., H-1078 Budapest, Hungary.
Int. J. Environ. Res. Public Health 2022, 19(14), 8477; https://doi.org/10.3390/ijerph19148477
Submission received: 13 June 2022 / Revised: 8 July 2022 / Accepted: 9 July 2022 / Published: 11 July 2022
(This article belongs to the Section Occupational Safety and Health)

Abstract

:
Electronic repair workers may be exposed to lead, mercury, cadmium and other elements including rare earth elements used in electronic equipment. In this study, repair work took place in small repair shops where, e.g., televisions, radios, video players, compact discs and computers were repaired. Personal full-shift air samples of particulate matter were collected among 64 electronic repair workers in Kumasi (Ghana) and analysed for 29 elements by inductively coupled plasma mass spectrometry. Results showed that air concentrations of all elements were low. The highest air concentration was measured for iron with a geometric mean concentration and geometric standard deviation of 6.3 ± 0.001 µg/m3. The corresponding concentration of Pb and Hg were 157 ± 3 ng/m3 and 0.2 ± 2.7 ng/m3, respectively. The cerium concentration of 5 ± 2 ng/m3 was the highest among the rare earth elements. Source apportionment with ranked principal component analysis indicated that 63% of the variance could be explained by the repair and soldering of electronic components such as batteries, magnets, displays and printed circuit boards. An association between concentrations of lead in the workroom air and lead in whole blood was found (Pearson’s correlation coefficient r = 0.42, p < 0.001). There was, however, no statistically significant difference between whole blood lead concentrations in the workers and references indicating that lead did not exclusively originate from occupational exposure.

1. Introduction

Electronic equipment may contain a number of elements such as cadmium (Cd), lead (Pb) and mercury (Hg), as well as some rare earth elements (REEs) [1]. Presently, there is much regulatory focus on recycling, remanufacturing and disposal of electronic waste [2]. In Ghana, about 215,000 tons of electronics were imported in 2009, of which 70% was second-hand and 14% went directly to be repaired [3]. Repair work is regarded as a remanufacturing process, where broken parts are manually disassembled and replaced with functional components. Remanufacturing electronic equipment is important in order to reduce the environmental burden from the disposal of hazardous materials [4], but also to reduce the need for elements that are not easily available, such as REEs [5].
In remanufacturing work, occupational exposure may take place during, e.g., sorting, shredding, desoldering and dismantling, as well as reassembling and soldering. In informal recycling, materials are also melted or burnt [6]. Exposure during electronic remanufacturing may occur by inhalation, dermal contact, and ingestion. Studies of occupational exposure to elements during general repair work of electronic equipment are scarce [7,8,9]. There has, however, been more focus on formal and informal recycling [10]. A study of workers from the large electronic waste dumping site at Agbogbloshie (Ghana) revealed that workers who self-reported sorting electronic waste had around twice as high Pb whole-blood concentrations (B-Pb) compared to workers who did not [11]. Burning electronic waste has been associated with the highest B-Pb concentrations in informal recycling studies [11,12]. Higher concentrations of Hg in urine, indium (In) in plasma and urine and B-Pb have been reported in formal recycling workers compared to office workers [13]. In an exposure study on workers in sheltered workshops in Germany, no difference was found in the exposure to aluminium (Al), antimony (Sb), arsenic (As), beryllium (Be), Cd, chromium (Cr), cobalt (Co), nickel (Ni) and Hg compared to a reference group of office workers [14]. The exposure among the Swedish recycling workers [13] was 5–300 times higher than the German sheltered workshop workers.
Rare earth elements have been widely used in electronics since yttrium and europium (Eu) were applied commercially in colour televisions in the 1960s to obtain the red colour (Y2O2S:Eu3+) [15]. In electronic devices, REEs can be found in e.g., batteries, magnets, printed circuit boards (PCBs), lamps, cathode-ray tubes and liquid-crystal displays [16]. The use of REEs, especially neodymium (Nd), praseodymium (Pr) and dysprosium (Dy), is expected to increase due to the demand for green energy products such as magnets for hybrid and electric cars, as well as wind turbines in addition to general electronic equipment [5]. The presence of REEs in different electronics provides the opportunity to use these elements as source indicators, e.g., lanthanum (La) and Nd were found in mobile displays from different manufacturers while Pr and Dy were used in old Nokia phones [1]. Scandium (Sc) and cerium (Ce) were detected in most PCBs [17]. Europium, terbium (Tb) and yttrium (Y) are often present in lamps used in electronic equipment [18,19].
Occupational exposure to metals such as Pb and Hg has been much studied in contrast to REEs [20]. In general, toxicological studies of REEs have shown low toxicity [21]. However, few cases of pulmonary fibrosis and pneumoconiosis have been reported among workers in different occupations [22,23,24,25].
Occupational exposure among Pb battery and electronic repair workers in Kumasi (Ghana) was assessed with biomonitoring by Dartey et al. The electronic repair workers restored electronic equipment such as TVs, radios, video players and computers. Their work included dismantling, soldering, welding and reassembling the equipment. The electronic repair workers had higher concentrations of, e.g., Cd in blood (B-Cd) and Sn in urine (U-Sn) than the reference group. Dartey et al. [8] suggested that this was related to soldering during repair work. The aim of this study is to investigate the concentration of relevant elements including some REEs in full-shift air filters collected among the same electronic repair workers and to compare this to biomonitored metals in the same population. Source apportionment was performed to identify possible sources of airborne particulate matter (PM). The study adds to the knowledge on the concentrations of several elements one may be exposed to, as well as the possible sources of exposure during electronic repair work.

2. Materials and Methods

2.1. Site

The study was carried out in Bantama located right in the central hub of Kumasi, which is the second most populated city in Ghana, with more than 2 million inhabitants. Kumasi covers an area of 254 km2 [26]. The electronic repair workshops were about 12 m2 and employed an average of 3–5 workers. The buildings had only natural ventilation, either semi-open buildings or closed buildings with only window ventilation. The main job tasks of the electronic repair workers were dismantling, soldering and welding electronic equipment such as television sets, radio sets, video cassette recorders, computers and compact disks. Most workers were found to eat and drink at the workplace. No proper hand washing facility nor clothes changing facility were observed in the workshops. Personal protective equipment at the workplace was not used.

2.2. Design

Inclusion criteria for participating in the study were age between 18 and 50 years old, and at least one year of employment as an electronic repair worker. In total, 85 male electronic repair workers in 21 different electronic workshops were invited and 64 of them volunteered to participate.

2.3. Sample Collection

Air and biological sampling were performed on consecutive days in 2011 among 64 electronic repair workers. Aerosol sampling cassettes (Millipore, Bedford, MA, USA) equipped with 25 mm polyvinyl chloride membrane filters (5 µm pore size) were used to collect PM in work room air by personal sampling during a 6 h full-shift period with the use of Sidekick air pumps (SKC Ltd., Dorset, UK). The pumps were calibrated to an air flow rate of 2 L/min using a rotameter (Vögtlin instruments, Basel, Switzerland). Field blank filter samples were also included. Whole blood was collected by trained health staff from the cubital vein the same day as the participants brought a first voided morning urine sample to the examination. All 64 participants volunteered to give a blood sample, but only 59 participants gave a urine sample. The biological samples were collected, prepared (blood samples were conserved with ultrapure nitric acid and urine was heated) and analysed by inductively coupled plasma sector-field mass spectrometry as described in Dartey et al. [8].

2.4. Air Filter Dissolution and Measurement of Elements

Air filters were transferred to 15 mL polypropylene tubes (Sarstedt, Nümbrecht, Germany) and 1 mL of aqua regia was added containing a 3:1 mixture (vol.) of puriss p.a. ≥ 37% HCl and ≥65% HNO3 (Sigma-Aldrich, St. Louis, MO, USA). An internal standard solution containing 4 µg/mL of rhenium (Re), tellurium (Te) (Spectrapure Standards AS, Oslo, Norway) and 74Se (99.9% of 74Se) (STB Isotope Germany GmbH, Hamburg, Germany) was added to all samples prior to heating. After heating to 90 °C for 60 min in a laboratory oven, the samples were diluted to 10 mL with deionized water (Milli Q System, 18 MΩ cm, Millipore Corp., Billerica, MA, USA).
The air filter solutions were analysed with an Agilent 8800 triple quadrupole inductively coupled plasma mass spectrometer (ICP-MS, Agilent Technologies, Santa Clara, CA, USA) operating in the oxygen reaction mode. Acid matrix-matched multielement calibration standards were prepared by dilution of certified primary standards (Spectrapure Standards AS, Oslo, Norway). The following isotopes were measured (oxygen reaction mass shift is marked with r, on-mass was measured otherwise): 75rAs, 209bismuth (Bi), 114Cd, 140rCe, 59Co, 63copper (Cu), 52Cr, 153rEu, 158rGd, 69gallium (Ga), 202Hg, 56iron (Fe), 139rLa, 55rmanganese (Mn), 144rNd, 60Ni, 206+207+208Pb, 195platinum (Pt), 141rPr, 121Sb, 45rSc, 107silver (Ag), 120Sn, 159rTb, 203thallium (Tl), 51rvanadium (V), 182tungsten(W), 89rY and 66zinc (Zn). The element concentrations of Pb were calculated using the sum of the isotopic net signals (marked with +). A correction factor was applied for 114Cd (−0.0269cps 118Sn) to eliminate the 114Sn isobaric overlap. 74Se was the selected internal standard for elements measured in oxygen mass-shift mode including 60Ni. 187Re was selected for oxygen mass-shift mode for elements heavier than 60Ni. 130Te was selected as an internal standard for elements measured on-mass. Quality assurance of the measurements was carried out using surface water quality control material at two different concentration ranges (SPS-SW1 and SPS-SW2, Batch 124 and Batch 137, Spectrapure Standards AS, Oslo, Norway). In the quality control samples, most elements were within 5% of the target value. However, Co and Cu were within 10% and Fe was within 20% for SPS-SW1 and As, Mn and V were within 25% of the target values of the surface water quality control materials. The limit of detection (LOD) in ng/m3 was calculated as three times the standard deviation of eight field blank filters using an average air volume of 0.72 m3.

2.5. Statistics

Shapiro–Wilk’s normality test showed that all variables were significantly different from the normal distribution. Thus, geometric means (GM) and standard deviations (GSD) are presented. The median, GM, GSD, minimum and maximum concentrations are presented for all elements with less than 66% censored data. Elements with more than 66% censored data (Cr, Eu, Gd, Pr, Pt, Tb and W) were removed from the statistical analysis. Values below LOD were substituted with ½ LOD for Bi (13%), Cd (36%), Co (3%), Cu (9%), Hg (30%), La (3%), Nd (11%), Ni (55%), Sc (41%), Tl (17%) and Y (25%).
Rank principal component analysis (PCA) was conducted on 22 elements with varimax rotation in the CRAN package ‘psych’ [27]. An initial analysis was run to obtain eigenvalues for each component in the data, and Kaiser’s criterion was applied to select the number of components. Ranked data were used for PCA to avoid the problems of substitution, or exclusion of variables with a high fraction > 30% up to 66% of censored data [28].
Associations (Figure 1, Figure 2 and Figure 3) were assessed with least square regression analysis. Pearson’s correlation coefficient was calculated as the measure of the association. A p-value < 0.05 was considered statistically significant.
All statistical calculations were performed in R studio [29] version 3.5.3. The figures were made with the additional CRAN packages in R studio: ‘ggplot2’ [30], ‘GGally’ [31] and ‘ggpubr’ [32].

3. Results

The full-shift air concentrations of elements are shown in Table 1. The concentrations of the measured elements in the workroom air are low, but concentration ranges are substantial. Iron, followed in decreasing order by Zn, Pb, Sn, Mn and Cu, dominated the elemental composition of the PM. The most abundant of the REEs is Ce, followed by La, Nd, Y and Sc.
Four RCs exceeded eigenvalues of 1 according to the Kaiser’s criterion which in combination explained 79% of the variance. The RCs from rank PCA and the first four RCs with possible sources of the included elements are presented in Table 2. The cut point for an element within the component was set to 0.7. The elements in the first RC may be related to repair of batteries and magnets as well as work on steel. The elements in the second RC are hypothesised sources from repair work on PCBs such as soldering.
The correlation matrices for RC1 and RC2 show the Pearson’s correlation of the different coefficients calculated between air concentrations of elements (Figure 1). Most elements within RC1 correlate significantly with each other except for Y. Yttrium is together with Eu and Tb widely used in lamps. However, Eu and Tb had more than 66% censored data and could therefore not be included in the statistical analysis.
Figure 1. Pearson’s correlation coefficients calculated between air concentrations of all metals grouped in rotated component (RC)1 (a) and RC2 (b).
Figure 1. Pearson’s correlation coefficients calculated between air concentrations of all metals grouped in rotated component (RC)1 (a) and RC2 (b).
Ijerph 19 08477 g001
The associations between the REEs element in RC1, which had a Pearson’s r > 0.5, are shown in Figure 2. The correlations between La, Ce and Nd fit the regression lines well. However, Sc had more values below LOD. Still, positive significant correlations were observed between Sc, La, Ce and Nd, respectively, when removing the values below LOD.
Figure 2. The associations between the concentrations of the rare earth elements Sc, La, Ce and Nd in rotated component 1 (ng/m3).
Figure 2. The associations between the concentrations of the rare earth elements Sc, La, Ce and Nd in rotated component 1 (ng/m3).
Ijerph 19 08477 g002
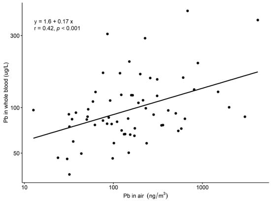
The associations between the air concentrations of Pb and Cd and the respective concentrations in whole blood, as well as the air concentrations of Sn and Pb and the respective concentrations in urine, were investigated. A slight positive association (Pearson’s r = 0.41, p < 0.001) between the concentrations of B-Pb and Air-Pb was observed (Figure 3). No significant association was found between Sn and Cd and the respective concentrations in urine or whole blood.
Figure 3. The association between the concentrations of Air-Pb and B-Pb (n = 64). The regression equation and Pearson’s correlation coefficient are shown in the figure.
Figure 3. The association between the concentrations of Air-Pb and B-Pb (n = 64). The regression equation and Pearson’s correlation coefficient are shown in the figure.
Ijerph 19 08477 g003

4. Discussion

4.1. Workroom Air Concentrations

The full-shift air concentrations of all elements were low, and well below occupational regulatory limits (OSHA) and recommended exposure limits (NIOSH) [33]. This shows that electronic repair work such as soldering, welding or grinding in the studied workshops contaminated the workroom air only with trace amounts of PM-containing elements during a workday. More than 50% relative abundance of the elemental concentrations measured was Fe. Typically, Fe is the main constituent of many components used in electronic equipment, e.g., steel and magnets. Cadmium, Cu, Hg and Pb air concentrations are between a factor of 100–12,500 times higher in formal recycling than among the electronic repair workers in this study [13]. It should be noted, however, that air concentrations of Hg may have been underestimated since volatile Hg species were not collected with the sampling method used. Iron, Zn and Pb were present with the highest relative abundance in the electronic recycling dust [13] similar to our results. The air concentrations of As, Cd, Co, Ni and Sb were 10–50 times higher in sheltered workshops in Germany [14] compared to this study. The GM and GSD of the Air-Pb concentrations (0.157 ± 0.003 µg/m3) are similar to the Air-Pb concentrations measured in a laboratory chamber study during intensive soldering on microelectronics (0.18 ± 0.08 µg/m3) [34]. Based on statistical modelling, they concluded that this air concentration would not result in increased B-Pb concentrations.
PM in ambient air may contribute to the workroom air concentrations. To our knowledge, there is no scientific literature addressing element concentrations in ambient air in Kumasi. Therefore, concentrations measured in the electronic workshops were compared to ambient air concentrations in other parts of the world. The measured workroom air concentrations of Cd, Co, Cu, Fe, Mn, Pb and Zn were a factor of about 5–10 times higher than levels measured in studies of ambient air in North Carolina (US), Turin (Italy), Daejeon (Korea) and Krakow (Poland) [35,36,37,38]. Compared to PM2.5 at two sites (campus area and downtown) in Beijing (China), air concentrations of Fe and Cu were higher by a factor of 2 and 6 in the electronic repair shops, but Mn and Ni were similar [39]. However, the Air-Pb concentrations were around 50% of the air concentrations measured at those. Concentrations of REEs among the electronic repair workers were between a factor of 5–10 times higher compared to the amounts in PM in a heavily urbanised and industrialised area in The Netherlands [40]. Thus, the concentrations of several elements measured in this study indicate occupational activities as the main source of exposure.

4.2. Ranked Principal Component Analysis

Rank PCA resulted in four RCs explaining 79% of the variance. The first RC explained 38% of the variance and included Nd, Ce, Mn, La, V, Sc, Ga, Fe, Co and Y. Elements typical of steel such as Fe, Mn, Co and V were found in this RC which could indicate the origin of electronic equipment. All these elements typically present in steel correlated significantly with each other (Figure 1). This RC also included battery components such as Mn, Ce, La, Nd and Co, but did not include Ni which is the main component in Ni metal batteries (NiMH) [41]. The negligible amount of Ni in the samples may explain why this element was not included in RC1. Lanthanum and Nd are often used to produce colours in smartphone displays [1], but the main elements in such aluminosilicate glass, silicon and aluminium, were not analysed in the present study. Iron and Nd are magnet components used in Nd-Fe-Boron magnets. Magnet components are used in, e.g., hard discs, optical drives, smartphones and loudspeakers [42]. Lanthanum and Ce were associated with NiMH alloys, metallurgical sources, automobile catalysts, polishing powders, and glass additives in a study of the end use of REEs worldwide [43]. In summary, this RC may include elements related to welding on steel and alloys, replacement of batteries and/or dismantling and repair of, e.g., displays and magnet components in computers and phones.
The second RC contained elements typically used in soldering such as Cu, Sn and Pb [44], as well as elements used in PCBs such as Sb and Zn [1,45,46,47]. Antimony is present in organic epoxy resins used on PCBs in computers. Soldering in electronic repair work is performed, e.g., to change components on PCBs, connect PCBs together and/or to repair wires. A similar principal component, including Cd, chlorine, Co, Cu, In, Pb, Rh, rubidium, Sb, Sn, sulphur and Zn, was found in soil samples collected inside and in the vicinity of the large electronic waste dumping site at Agbogbloshie [48]. The authors concluded that soil from the burn site at Agbogbloshie was enriched with chemical elements from Sn-Pb solder and Pb-free solder.
The two last RC included only one element each, Cd in RC3 and Ni in RC4. Additionally, they both include a high load of censored data, 36% (Cd) and 55% (Ni), respectively. Source apportionment from one element with a relatively high load of censored data is speculative. Both elements are found in batteries; Cd is often used in soldering material and coatings.

4.3. Associations between Workroom Air and Biological Concentrations

Occupational exposure routes to metals such as Pb, Sn and Cd may include inhalation, transfer from hand to mouth with subsequent gastrointestinal exposure and skin absorption [49,50,51,52]. Hand hygiene among workers handling electronic equipment may be a source of the enhanced B-Pb, B-Cd and U-Sn, as 81% of the electronic repair workers and 78% of the control group reported that they did not wash their hands with soap before eating [8]. The association between Air-Cd and -Sn with B-Cd and U-Sn was not statistically significant. However, we found an association between the Air-Pb and B-Pb (Figure 2). A similar association was observed among female electronic solderers by Mohammadyan et al. [53]. However, they were exposed to considerably higher mean Air-Pb (0.09 ± 0.01 mg/m3) concentration than the electronic repair workers. Exposure to soldering fumes is dependent on several factors such as the composition of the solder, temperature and ventilation. Another study measured very low concentrations of Air-Pb even during intensive soldering [34]. In a further study of soldering, the exposure to Air-Pb was significantly higher for solderers than the control group, mean of 0.57 µg/m3 and 0.0067 µg/m3, respectively [54]. However, in that study, Air-Pb did not correlate with B-Pb which could have been influenced by individual exhaust fans used to remove the fumes, or that the production rate was lower than normal on the day of air sampling, as suggested by the authors. Electronic workers, who were soldering, had slightly higher concentrations of B-Pb than unexposed referents (6.1 µg/dL versus 4.6 µg/dL of Pb) [55]. These studies imply that exposure to Pb during soft soldering is marginal due to the low temperatures applied. However, another main hazard exists by the decomposition of the soldering flux which is commonly rosin-based. Such fume is a potent respiratory sensitiser and has been shown to cause occupation asthma, but exposures are seldom measured [56,57].
Dartey et al. [8] did not observe a significant difference in the B-Pb concentrations between electronic repair workers and the reference group. That reference group comprised workers from two different areas of Kumasi. However, when the electronic repair workers are only compared to the referents recruited from the same area of the electronic repair workshops, then the electronic repair workers have slightly higher B-Pb concentrations (GM B-Pb 97 µg/L, range 36–473 µg/L, and GM 85 µg/L, range 34–276 µg/L, p-value = 0.20).
Generally, the B-Pb concentrations in the studied populations were relatively high with similar levels measured in Western countries when alkylated Pb compounds were used as antiknocking agents in gasoline [58,59,60]. However, the use of leaded gasoline was banned in Ghana years before this study was conducted and phased out between 2002 and 2004 [61]. Hackman et al. [62] have discussed the possibility of illegal use of leaded fuel, based on measurements of exhaust from cars in the Accra region in Ghana. Biomonitoring of Pb in gas-station workers in the Accra region revealed a non-significantly (p = 0.061) higher mean B-Pb concentration (3.4 µg/dL) than the control group (3.1 µg/dL) [63]. Still, these concentrations are substantially lower than the GM B-Pb of 102 µg/L concentrations in the electronic repair workers and referents [8]. Elevated concentrations of Pb in groundwater were observed in the Oti community area, Kumasi, Ghana [64]. This was suggested as a consequence of dumping lead batteries, pipes and paints at the Oti landfill site. Additionally, Pb concentrations have been measured above the threshold limit value of surface soil at an industrial site in Kumasi, Ghana [65]. However, the Pb concentration was below the threshold limit value around the residential sites. More research is needed to reveal the causes of the high B-Pb levels in the studied population.

5. Conclusions

This study shows that air concentrations of the measured elements were low. Still, rank PCA analysis resulted in components which may indicate work operations or product groups that can be related to various types of repair work. The first RC included elements related to repair work on steel, batteries, and magnets. The second RC included elements which may indicate soldering or work on PCBs. The third and fourth RC included only one element with a relatively high load of censored data which makes these components more difficult to interpret. Biological monitoring showed that the Air-Pb concentrations correlated with B-Pb concentrations. Still, the elevated amounts of B-Pb cannot be explained solely by occupational exposure as the reference group had only slightly lower B-Pb concentrations [8].

Author Contributions

S.E.H. assisted with ICP-MS analysis, performed data analysis and wrote the paper; S.L.D. prepared and analysed the samples by ICP-MS, manuscript review and editing; E.D. initiation, collection of aerosol and biological samples and manuscript review and editing; B.B. took part in the design of the analytical measurements, discussion of the results as well as manuscript review and editing; Y.T. and D.G.E. initiated and designed the study, took part in data analysis, manuscript review and editing. All authors have read and agreed to the published version of the manuscript.

Funding

This research project was financially supported by the Norwegian Ministry of Foreign Affairs through The Climate and Human, Environment and Health Research Strategy Centre, University of Tromsø (Norway) and the Arctic Monitoring and Assessment Programme (AMAP) secretariat in Oslo (Norway).

Institutional Review Board Statement

The study was conducted in accordance with the Declaration of Helsinki, and approved by the School of Medical Sciences at Kwame Nkrumah University of Science and technology (KNUST), the Committee on Human Research Publication Ethics at Komfo Anokye Teaching Hospital (KATH), as well as the Regional Committee for Medical Research Ethics of Northern Norway (code 2011/729).

Informed Consent Statement

Informed consent was obtained from all subjects involved in the study.

Data Availability Statement

The dataset is available upon request to Stine Eriksen Hammer (stine.hammer@stami.no).

Conflicts of Interest

The authors declare to have no conflict of interest.

References

  1. Sahan, M.; Kucuker, M.A.; Demirel, B.; Kuchta, K.; Hursthouse, A. Determination of Metal Content of Waste Mobile Phones and Estimation of Their Recovery Potential in Turkey. Int. J. Environ. Res. Public Health 2019, 16, 887. [Google Scholar] [CrossRef] [PubMed] [Green Version]
  2. Awasthi, A.K.; Li, J.; Koh, L.; Ogunseitan, O.A. Circular economy and electronic waste. Nat. Electron. 2019, 2, 86–89. [Google Scholar] [CrossRef] [Green Version]
  3. Amoyaw-Osei, Y.; Agyekum, O.O.; Pwamang, J.; Thiébaud, E.; Fasko, R.; Schluep, M. Ghana e-waste country assessment. SBC E-Waste Afr. Proj. 2011. Available online: https://www.basel.int/Portals/4/Basel%20Convention/docs/eWaste/E-wasteAssessmentGhana.pdf (accessed on 24 November 2021).
  4. Zlamparet, G.L.; Ijomah, W.; Miao, Y.; Awasthi, A.K.; Zeng, X.; Li, J. Remanufacturing strategies: A solution for WEEE problem. J. Clean. Prod. 2017, 149, 126–136. [Google Scholar] [CrossRef] [Green Version]
  5. Goodenough, K.M.; Wall, F.; Merriman, D. The Rare Earth Elements: Demand, Global Resources, and Challenges for Resourcing Future Generations. Nat. Resour. Res. 2018, 27, 201–216. [Google Scholar] [CrossRef] [Green Version]
  6. Okeme, J.O.; Arrandale, V.H. Electronic Waste Recycling: Occupational Exposures and Work-Related Health Effects. Curr. Environ. Health Rep. 2019, 6, 256–268. [Google Scholar] [CrossRef]
  7. Lawal, M.; Uzairu, A.; Sallau, M.; Salihu, A.; Tukur, M. Accumulation of Trace Metals in Artisans in Nigeria; a pilot case study of Electronic Repair Technicians, Auto Mechanics and Painters. Int. J. Sci. Glob. Sustain. 2017, 4, 7. [Google Scholar]
  8. Dartey, E.; Berlinger, B.; Weinbruch, S.; Thomassen, Y.; Odland, J.; Brox, J.; Nartey, V.K.; Yeboah, F.A.; Ellingsen, D.G. Essential and non-essential trace elements among working populations in Ghana. J. Trace Elem. Med. Biol. 2017, 44, 279–287. [Google Scholar] [CrossRef]
  9. Thongsringklee, M.; Robson, M.G.; Siriwong, W. Health effects of low level exposure to lead among communication radio repair workers at Samutsakhon province, Thailand. Hum. Ecol. Risk Assess. Int. J. 2021, 27, 344–351. [Google Scholar] [CrossRef]
  10. Arain, A.L.; Neitzel, R.L. A Review of Biomarkers Used for Assessing Human Exposure to Metals from E-Waste. Int. J. Environ. Res. Public Health. 2019, 16, 1802. [Google Scholar] [CrossRef] [Green Version]
  11. Srigboh, R.K.; Basu, N.; Stephens, J.; Asampong, E.; Perkins, M.; Neitzel, R.L.; Fobil, J. Multiple elemental exposures amongst workers at the Agbogbloshie electronic waste (e-waste) site in Ghana. Chemosphere 2016, 164, 68–74. [Google Scholar] [CrossRef] [PubMed] [Green Version]
  12. Amankwaa, E.F.; Adovor Tsikudo, K.A.; Bowman, J.A. ‘Away’ is a place: The impact of electronic waste recycling on blood lead levels in Ghana. Sci. Total Environ. 2017, 601, 1566–1574. [Google Scholar] [CrossRef]
  13. Julander, A.; Lundgren, L.; Skare, L.; Grandér, M.; Palm, B.; Vahter, M.; Lidén, C. Formal recycling of e-waste leads to increased exposure to toxic metals: An occupational exposure study from Sweden. Environ. Int. 2014, 73, 243–251. [Google Scholar] [CrossRef] [PubMed] [Green Version]
  14. Gerding, J.; Peters, C.; Wegscheider, W.; Stranzinger, J.; Lessmann, F.; Pitzke, K.; Harth, V.; Eickmann, U.; Nienhaus, A. Metal exposure of workers during recycling of electronic waste: A cross-sectional study in sheltered workshops in Germany. Int. Arch. Occup. Environ. 2021, 94, 935–944. [Google Scholar] [CrossRef] [PubMed]
  15. Greinacher, E. History of Rare Earth Applications, Rare Earth Market Today. In Industrial Applications of Rare Earth Elements; ACS Symposium Series: Washington, DC, USA, 1981; Volume 164, pp. 3–17. [Google Scholar]
  16. Sethurajan, M.; van Hullebusch, E.D.; Fontana, D.; Akcil, A.; Deveci, H.; Batinic, B.; Leal, J.P.; Gasche, T.A.; Ali Kucuker, M.; Kuchta, K.; et al. Recent advances on hydrometallurgical recovery of critical and precious elements from end of life electronic wastes—A review. Crit. Rev. Env. Sci. Technol. 2019, 49, 212–275. [Google Scholar] [CrossRef] [Green Version]
  17. Anshu, P.; Hait, S. Comprehensive characterization of printed circuit boards of various end-of-life electrical and electronic equipment for beneficiation investigation. Waste Manag. 2018, 75, 103–123. [Google Scholar] [CrossRef]
  18. Zhang, H.X.; Buddhudu, S.; Kam, C.H.; Zhou, Y.; Lam, Y.L.; Wong, K.S.; Ooi, B.S.; Ng, S.L.; Que, W.X. Luminescence of Eu3+ and Tb3+ doped Zn2SiO4 nanometer powder phosphors. Mater. Chem. Phys. 2001, 68, 31–35. [Google Scholar] [CrossRef]
  19. Innocenzi, V.; De Michelis, I.; Vegliò, F. Design and construction of an industrial mobile plant for WEEE treatment: Investigation on the treatment of fluorescent powders and economic evaluation compared to other e-wastes. J. Taiwan Inst. Chem. Eng. 2017, 80, 769–778. [Google Scholar] [CrossRef]
  20. Pagano, G.; Aliberti, F.; Guida, M.; Oral, R.; Siciliano, A.; Trifuoggi, M.; Tommasi, F. Rare earth elements in human and animal health: State of art and research priorities. Environ. Res. 2015, 142, 215–220. [Google Scholar] [CrossRef]
  21. Shin, S.-H.; Kim, H.-O.; Rim, K.-T. Worker Safety in the Rare Earth Elements Recycling Process From the Review of Toxicity and Issues. Saf. Health Work 2019, 10, 409–419. [Google Scholar] [CrossRef]
  22. Sabbioni, E.; Pietra, R.; Gaglione, P.; Vocaturo, G.; Colombo, F.; Zanoni, M.; Rodi, F. Long-term occupational risk of rare-earth pneumoconiosis A case report as investigated by neutron activation analysis. Sci. Total Environ. 1982, 26, 19–32. [Google Scholar] [CrossRef]
  23. Waring, P.M.; Watling, R.J. Rare earth deposits in a deceased movie projectionist: A new case of rare earth pneumoconiosis? Med. J. Aust. 1990, 153, 726–730. [Google Scholar] [CrossRef] [PubMed]
  24. McDonald, J.W.; Ghio, A.J.; Sheehan, C.E.; Bernhardt, P.F.; Roggli, V.L. Rare earth (cerium oxide) pneumoconiosis: Analytical scanning electron microscopy and literature review. Mod. Pathol. 1995, 8, 859–865. [Google Scholar] [PubMed]
  25. Pairon, J.-C.; Roos, F.; Sébastien, P.; Chamak, B.; Abd-Alsamad, I.; Bernaudin, J.-F.; Bignon, J.; Brochard, P. Biopersistence of cerium in the human respiratory tract and ultrastructural findings. Am. J. Ind. Med. 1995, 27, 349–358. [Google Scholar] [CrossRef]
  26. Ghana Districts. A Repository of All Districts in the Republic of Ghana. Available online: https://www.ghanadistricts.com/ (accessed on 6 December 2021).
  27. Revelle, W. Psych: Procedures for Psychological, Psychometric, and Personality Research, version 1.9.12; CRAN; 2019. Available online: https://rdrr.io/cran/psych/ (accessed on 12 June 2022).
  28. Helsel, D.R. Statistics for Censored Environmental Data Using Minitab and R, 2nd ed.; John Wiley & Sons: Hoboken, NJ, USA, 2011. [Google Scholar]
  29. RStudio. RStudio: Integrated Development for R. RStudio, Inc.: Boston, MA, USA, 2015. [Google Scholar]
  30. Wickham, H. ggplot2: Elegant Graphics for Data Analysis, version 3.3.2.; CRAN; Springer: New York, NY, USA, 2016. [Google Scholar]
  31. Schloerke, B.; Cook, D.; Larmarange, J.; Briatte, F.; Marbach, M.; Thoen, E.; Elberg, A.; Crowley, J. GGally: Extension to ‘ggplot2’; CRAN. 2021. Available online: https://ggobi.github.io/ggally/ (accessed on 12 June 2022).
  32. Kassambara, A. ‘ggplot2’ Based Publication Ready Plots, version 0.4.0.999; CRAN; 2020. Available online: https://rpkgs.datanovia.com/ggpubr/ (accessed on 12 June 2022).
  33. United Stated Department of Labor. OSHA Annotated Table Z-1. 2021. Available online: https://www.osha.gov/annotated-pels/table-z-1 (accessed on 5 July 2022).
  34. Kerger, B.D.; Loccisano, A.E.; Gerads, R.; Glassman, M.J. Small chamber study of lead exposures from manual soldering of microelectronics. Hum. Ecol. Risk Assess. 2020, 27, 451–464. [Google Scholar] [CrossRef]
  35. Kulkarni, P.; Chellam, S.; Flanagan, J.B.; Jayanty, R.K.M. Microwave digestion—ICP-MS for elemental analysis in ambient airborne fine particulate matter: Rare earth elements and validation using a filter borne fine particle certified reference material. Anal. Chim. Acta 2007, 599, 170–176. [Google Scholar] [CrossRef]
  36. Lee, J.-H.; Jeong, J.-H.; Lim, J.-M. Toxic Trace and Earth Crustal Elements of Ambient PM2.5 Using CCT-ICP-MS in an Urban Area of Korea. Environ. Eng. Res. 2013, 18, 3–8. [Google Scholar] [CrossRef]
  37. Malandrino, M.; Di Martino, M.; Giacomino, A.; Geobaldo, F.; Berto, S.; Grosa, M.M.; Abollino, O. Temporal trends of elements in Turin (Italy) atmospheric particulate matter from 1976 to 2001. Chemosphere 2013, 90, 2578–2588. [Google Scholar] [CrossRef]
  38. Samek, L.; Stegowski, Z.; Furman, L.; Fiedor, J. Chemical content and estimated sources of fine fraction of particulate matter collected in Krakow. Air. Qual. Atmos. Health 2017, 10, 47–52. [Google Scholar] [CrossRef] [Green Version]
  39. He, K.; Yang, F.; Ma, Y.; Zhang, Q.; Yao, X.; Chan, C.K.; Cadle, S.; Chan, T.; Mulawa, P. The characteristics of PM2.5 in Beijing, China. Atmos. Environ. 2001, 35, 4959–4970. [Google Scholar] [CrossRef]
  40. Wang, C.; Zhu, W.; Wang, Z.; Guicherit, R. Rare Earth Elements and Other Metals in Atmospheric Particulate Matter in the Western Part of The Netherlands. Water Air Soil Pollut. 2000, 121, 109–118. [Google Scholar] [CrossRef]
  41. Meshram, P.; Somani, H.; Pandey, B.D.; Mankhand, T.R.; Deveci, H.; Abhilash. Two stage leaching process for selective metal extraction from spent nickel metal hydride batteries. J. Clean. Prod. 2017, 157, 322–332. [Google Scholar] [CrossRef]
  42. Lixandru, A.; Venkatesan, P.; Jönsson, C.; Poenaru, I.; Hall, B.; Yang, Y.; Walton, A.; Güth, K.; Gauß, R.; Gutfleisch, O. Identification and recovery of rare-earth permanent magnets from waste electrical and electronic equipment. Waste Manag. 2017, 68, 482–489. [Google Scholar] [CrossRef] [PubMed]
  43. Du, X.; Graedel, T.E. Uncovering the end uses of the rare earth elements. Sci. Total Environ. 2013, 461, 781–784. [Google Scholar] [CrossRef]
  44. Szałatkiewicz, J. Metals content in printed circuit board waste. Pol. J. Environ. Stud. 2014, 23, 2365–2369. [Google Scholar]
  45. Park, Y.J.; Fray, D.J. Recovery of high purity precious metals from printed circuit boards. J. Hazard. Mater. 2009, 164, 1152–1158. [Google Scholar] [CrossRef]
  46. Jadhav, U.; Hocheng, H. Hydrometallurgical Recovery of Metals from Large Printed Circuit Board Pieces. Sci. Rep. 2015, 5, 14574. [Google Scholar] [CrossRef] [Green Version]
  47. Ajiboye, A.E.; Olasehinde, F.E.; Adebayo, O.A.; Ajayi, O.J.; Ghosh, M.K.; Basu, S. Extraction of Copper and Zinc from Waste Printed Circuit Boards. Recycling 2019, 4, 36. [Google Scholar] [CrossRef] [Green Version]
  48. Mudge, S.M.; Pfaffhuber, K.A.; Fobil, J.N.; Bouman, E.A.; Uggerud, H.T.; Thorne, R.J. Using elemental analyses and multivariate statistics to identify the off-site dispersion from informal e-waste processing. Environ. Sci. Process. Impacts 2019, 21, 2042–2057. [Google Scholar] [CrossRef]
  49. Skerfving, S.; Bergdahl, I.A. Lead. In Handbook on the Toxicology of Metals; Gunnar, F., Nordberg Bruce, A., Fowler Nordberg, M., Eds.; Elsevier: Burlington, MA, USA, 2007. [Google Scholar]
  50. Ostrakhovitch, E.A. Chapter 56—Tin. In Handbook on the Toxicology of Metals, 4th ed.; Nordberg, G.F., Fowler, B.A., Nordberg, M., Eds.; Academic Press: San Diego, CA, USA, 2015; pp. 1241–1285. [Google Scholar]
  51. Nordberg, G.F.; Nogawa, K.; Nordberg, M. Chapter 32—Cadmium. In Handbook on the Toxicology of Metals, 4th ed.; Nordberg, G.F., Fowler, B.A., Nordberg, M., Eds.; Academic Press: San Diego, CA, USA, 2015; pp. 667–716. [Google Scholar]
  52. Niemeier, R.T.; Maier, A.; Reichard, J.F. Rapid Review of Dermal Penetration and Absorption of Inorganic Lead Compounds for Occupational Risk Assessment. Ann. Work Expo. Health 2021, 66, 291–311. [Google Scholar] [CrossRef]
  53. Mohammadyan, M.; Moosazadeh, M.; Borji, A.; Khanjani, N.; Rahimi Moghadam, S. Investigation of occupational exposure to lead and its relation with blood lead levels in electrical solderers. Environ. Monit. Assess. 2019, 191, 126. [Google Scholar] [CrossRef] [PubMed]
  54. Arasaratnam, M.; Hashim, Z.; Shamsudin, S.B. Occupational lead exposure of soldering workers in an electronic factory. J. Occup. Saf. Health 2004, 95, 49. [Google Scholar]
  55. Shamsul, B.; Zailina, H.; Jamal, H.; Ruzita, M.; Arumugam, L.; Daud, A.; Anthony, L.; Rozlan, I.; Asmah, Z.; Roslinah, A. Occupational lead exposure on electronic soldering workers in Malaysia. In Proceedings of the 1st Asia-PAcific Conference on Public Health, Kuala Lumpur, Malaysia, 30 September–3 October 2004. [Google Scholar]
  56. Pengelly, I.; Groves, J.; Simpson, A.; Northage, C. Workplace Exposure to Rosin-based Solder Flux Fume During Hand Soldering. Ann. Occup. Hyg. 1998, 42, 295–302. [Google Scholar] [CrossRef]
  57. Smith, P.A.; Son, P.S.; Callaghan, P.M.; Jederberg, W.W.; Kuhlmann, K.; Still, K.R. Sampling and analysis of airborne resin acids and solvent-soluble material derived from heated colophony (rosin) flux: A method to quantify exposure to sensitizing compounds liberated during electronics soldering. Toxicology 1996, 111, 225–238. [Google Scholar] [CrossRef]
  58. Bierkens, J.; Smolders, R.; Van Holderbeke, M.; Cornelis, C. Predicting blood lead levels from current and past environmental data in Europe. Sci. Total Environ. 2011, 409, 5101–5110. [Google Scholar] [CrossRef]
  59. Petit, D.; Véron, A.; Flament, P.; Deboudt, K.; Poirier, A. Review of pollutant lead decline in urban air and human blood: A case study from northwestern Europe. C R Geosci. 2015, 347, 247–256. [Google Scholar] [CrossRef]
  60. Oh, S.-E.; Kim, G.B.; Hwang, S.H.; Ha, M.; Lee, K.-M. Longitudinal trends of blood lead levels before and after leaded gasoline regulation in Korea. Environ Health Toxicol. 2017, 32, e2017019. [Google Scholar] [CrossRef] [Green Version]
  61. Todd, D.; Todd, H. Outcome and Influence Evaluation of the UNEP Based Partnership for Clean Fuels and Vehicles (PCFV). 2017. Available online: https://www.unep.org/resources/other-evaluation-reportsdocuments/outcome-and-influence-evaluation-unep-based-partnership (accessed on 10 January 2022).
  62. Hackman, H.K.; Gati, L.; Gordon, A.; Arhin, R.E.; Ofori-Yeboah, B.; Crabbe, G. Possible Health Risk due to the Environmental Exposure of High Levels of Lead in Exhaust Soot of Automobiles in Parts of Accra, Ghana. J. Nat. Sci. Res. 2017, 7, 62–66. [Google Scholar]
  63. Antwi-Baffour, S.; Darko, E.; Adjei, D.; Kyeremeh, R. Effects of Blood Lead Levels on Haematological Indices of Fuel Station Attendants. ABIO 2015, 17, 230. [Google Scholar]
  64. Boateng, T.K.; Opoku, F.; Akoto, O. Heavy metal contamination assessment of groundwater quality: A case study of Oti landfill site, Kumasi. Appl. Water Sci. 2019, 9, 33. [Google Scholar] [CrossRef] [Green Version]
  65. Kodom, K.; Preko, K.; Boamah, D. X-ray Fluorescence (XRF) Analysis of Soil Heavy Metal Pollution from an Industrial Area in Kumasi, Ghana. Soil Sediment. Contam. 2012, 21, 1006–1021. [Google Scholar] [CrossRef]
Table 1. Full-shift geometric mean (GM) air concentrations [ng/m3] and geometric standard deviation (GSD) of elements collected among electronic repair workers, (n = 64).
Table 1. Full-shift geometric mean (GM) air concentrations [ng/m3] and geometric standard deviation (GSD) of elements collected among electronic repair workers, (n = 64).
ElementMedianGM ± GSDMinimumMaximumLOD a% < LOD
Ag1.01 ± 30.2760.040
As1.92 ± 20.3140.20
Bi0.40.3 ± 4<LOD290.0513
Cd0.30.4 ± 3<LOD13.40.0236
Ce5.45 ± 21.4280.070
Co1.41 ± 2<LOD4.80.23
Cu7881 ± 2<LOD583319
Fe b6.56.3 ± 0.0011.9410.30
Ga3.13 ± 20.88.20.080
Hg c0.20.2 ± 3<LOD1.40.130
La1.81 ± 3<LOD6.80.053
Mn9490 ± 2232693.70
Nd1.11 ± 5<LOD5.50.0411
Ni<LOD27 ± 2<LOD2722755
Pb147157 ± 3134.2 × 1030.90
Sb8.09 ± 31.07640.10
Sc0.40.4 ± 2<LOD4.20.341
Sn107116 ± 42.44.3 × 1031.30
Tl0.060.05 ± 2<LOD0.40.0317
V1313 ± 23920.30
Y0.90.5 ± 7<LOD230.0525
Zn271340 ± 2674.3 × 103230
a Limit of detection, b µg/m3, c non-volatile.
Table 2. Rank principal component analysis with varimax rotation.
Table 2. Rank principal component analysis with varimax rotation.
Rotated ComponentProportion VarianceElementsPossible Work Sources
RC10.38Nd, Ce, Mn, La, Sc, V, Ga, Fe, Y, CoBatteries, magnets, and steel
RC20.25Sb, Pb, Sn, Bi, Cu, ZnSoldering, printed circuit boards
RC30.06Cd
RC40.10Ni
Publisher’s Note: MDPI stays neutral with regard to jurisdictional claims in published maps and institutional affiliations.

Share and Cite

MDPI and ACS Style

Eriksen Hammer, S.; Dorn, S.L.; Dartey, E.; Berlinger, B.; Thomassen, Y.; Ellingsen, D.G. Occupational Exposure among Electronic Repair Workers in Ghana. Int. J. Environ. Res. Public Health 2022, 19, 8477. https://doi.org/10.3390/ijerph19148477

AMA Style

Eriksen Hammer S, Dorn SL, Dartey E, Berlinger B, Thomassen Y, Ellingsen DG. Occupational Exposure among Electronic Repair Workers in Ghana. International Journal of Environmental Research and Public Health. 2022; 19(14):8477. https://doi.org/10.3390/ijerph19148477

Chicago/Turabian Style

Eriksen Hammer, Stine, Stephen L. Dorn, Emmanuel Dartey, Balázs Berlinger, Yngvar Thomassen, and Dag G. Ellingsen. 2022. "Occupational Exposure among Electronic Repair Workers in Ghana" International Journal of Environmental Research and Public Health 19, no. 14: 8477. https://doi.org/10.3390/ijerph19148477

APA Style

Eriksen Hammer, S., Dorn, S. L., Dartey, E., Berlinger, B., Thomassen, Y., & Ellingsen, D. G. (2022). Occupational Exposure among Electronic Repair Workers in Ghana. International Journal of Environmental Research and Public Health, 19(14), 8477. https://doi.org/10.3390/ijerph19148477

Note that from the first issue of 2016, this journal uses article numbers instead of page numbers. See further details here.

Article Metrics

Back to TopTop