Quality of Life Changes during the COVID-19 Pandemic for Caregivers of Children with ADHD and/or ASD
Abstract
1. Introduction
2. Materials and Methods
2.1. Participants
2.2. Procedure
2.3. Data Analysis
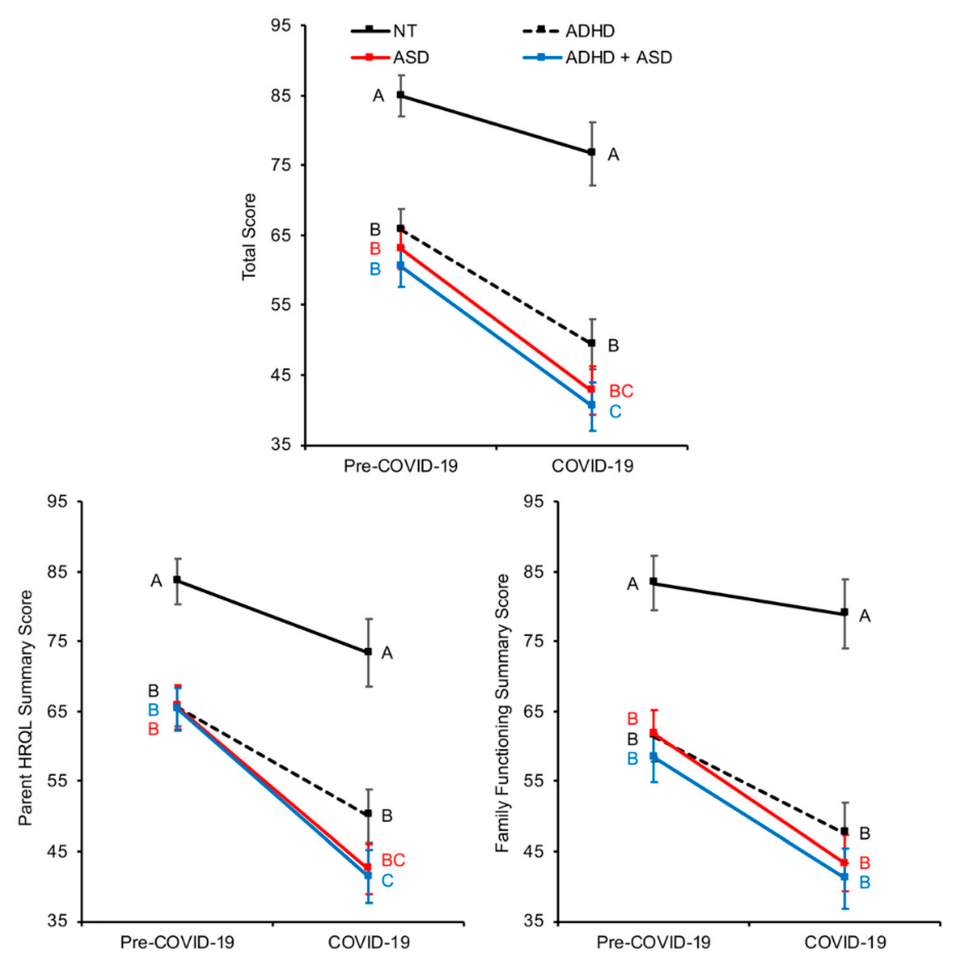
3. Results
4. Discussion
5. Conclusions
Author Contributions
Funding
Institutional Review Board Statement
Informed Consent Statement
Data Availability Statement
Acknowledgments
Conflicts of Interest
References
- Orengo-Aguayo, R.; Stewart, R.W.; de Arellano, M.A.; Suárez-Kindy, J.L.; Young, J. Disaster Exposure and Mental Health among Puerto Rican Youths after Hurricane Maria. JAMA Netw. Open 2019, 2, e192619. [Google Scholar] [CrossRef] [PubMed]
- Pfefferbaum, B.; North, C.S. Children and Families in the Context of Disasters: Implications for Preparedness and Response. Fam. Psychol. 2008, 24, 6–10. [Google Scholar] [CrossRef] [PubMed]
- Patrick, S.W.; Henkhaus, L.E.; Zickafoose, J.S.; Lovell, K.; Halvorson, A.; Loch, S.; Letterie, M.; Davis, M.M. Well-Being of Parents and Children during the COVID-19 Pandemic: A National Survey. Pediatrics 2020, 146, e2020016824. [Google Scholar] [CrossRef]
- Spinelli, M.; Lionetti, F.; Pastore, M.; Fasolo, M. Parents’ Stress and Children’s Psychological Problems in Families Facing the COVID-19 Outbreak in Italy. Front. Psychol. 2020, 11, 1713. [Google Scholar] [CrossRef] [PubMed]
- Wood, J.J.; Gadow, K.D. Exploring the Nature and Function of Anxiety in Youth with Autism Spectrum Disorders: Autism and Anxiety. Clin. Psychol. Sci. Pract. 2010, 17, 281–292. [Google Scholar] [CrossRef]
- Valenti, M.; Ciprietti, T.; Egidio, C.D.; Gabrielli, M.; Masedu, F.; Tomassini, A.R.; Sorge, G. Adaptive Response of Children and Adolescents with Autism to the 2009 Earthquake in L’aquila, Italy. J. Autism Dev. Disord. 2012, 42, 954–960. [Google Scholar] [CrossRef] [PubMed]
- Colizzi, M.; Sironi, E.; Antonini, F.; Ciceri, M.L.; Bovo, C.; Zoccante, L. Psychosocial and Behavioral Impact of COVID-19 in Autism Spectrum Disorder: An Online Parent Survey. Brain Sci. 2020, 10, 341. [Google Scholar] [CrossRef]
- McGowan, G.; Conrad, R.; Potts, H. 51. 2 Challenges with Managing Children and Adolescents with ADHD during the COVID-19 Pandemic: A Review of the Literature. J. Am. Acad. Child Adolesc. Psychiatry 2020, 59, S251. [Google Scholar] [CrossRef]
- Mutluer, T.; Doenyas, C.; Aslan Genc, H. Behavioral Implications of the COVID-19 Process for Autism Spectrum Disorder, and Individuals’ Comprehension of and Reactions to the Pandemic Conditions. Front. Psychiatry 2020, 11, 561882. [Google Scholar] [CrossRef]
- Nonweiler, J.; Rattray, F.; Baulcomb, J.; Happé, F.; Absoud, M. Prevalence and Associated Factors of Emotional and Behavioural Difficulties during COVID-19 Pandemic in Children with Neurodevelopmental Disorders. Children 2020, 7, 128. [Google Scholar] [CrossRef]
- Zhang, J.; Shuai, L.; Yu, H.; Wang, Z.; Qiu, M.; Lu, L.; Cao, X.; Xia, W.; Wang, Y.; Chen, R. Acute Stress, Behavioural Symptoms and Mood States among School-Age Children with Attention-Deficit/Hyperactive Disorder during the COVID-19 Outbreak. Asian J. Psychiatry 2020, 51, 102077. [Google Scholar] [CrossRef]
- Tokatly Latzer, I.; Leitner, Y.; Karnieli-Miller, O. Core Experiences of Parents of Children with Autism during the COVID-19 Pandemic Lockdown. Autism 2021, 136236132098431. [Google Scholar] [CrossRef]
- Courtenay, K.; Perera, B. COVID-19 and People with Intellectual Disability: Impacts of a Pandemic. Ir. J. Psychol. Med. 2020, 37, 231–236. [Google Scholar] [CrossRef]
- Gassman-Pines, A.; Ananat, E.O.; Fitz-Henley, J. COVID-19 and Parent-Child Psychological Well-Being. Pediatrics 2020, 146, e2020007294. [Google Scholar] [CrossRef] [PubMed]
- Brooks, S.K.; Webster, R.K.; Smith, L.E.; Woodland, L.; Wessely, S.; Greenberg, N.; Rubin, G.J. The Psychological Impact of Quarantine and How to Reduce It: Rapid Review of the Evidence. Lancet 2020, 395, 912–920. [Google Scholar] [CrossRef]
- Cluver, L.; Lachman, J.M.; Sherr, L.; Wessels, I.; Krug, E.; Rakotomalala, S.; Blight, S.; Hillis, S.; Bachman, G.; Green, O.; et al. Parenting in a Time of COVID-19. Lancet 2020, 395, e64. [Google Scholar] [CrossRef]
- Becker, S.P.; Breaux, R.; Cusick, C.N.; Dvorsky, M.R.; Marsh, N.P.; Sciberras, E.; Langberg, J.M. Remote Learning during COVID-19: Examining School Practices, Service Continuation, and Difficulties for Adolescents with and without Attention-Deficit/Hyperactivity Disorder. J. Adolesc. Health 2020, 67, 769–777. [Google Scholar] [CrossRef] [PubMed]
- Eshraghi, A.A.; Li, C.; Alessandri, M.; Messinger, D.S.; Eshraghi, R.S.; Mittal, R.; Armstrong, F.D. COVID-19: Overcoming the Challenges Faced by Individuals with Autism and Their Families. Lancet Psychiatry 2020, 7, 481–483. [Google Scholar] [CrossRef]
- Manning, J.; Billian, J.; Matson, J.; Allen, C.; Soares, N. Perceptions of Families of Individuals with Autism Spectrum Disorder during the COVID-19 Crisis. J. Autism Dev. Disord. 2020, 1–9. [Google Scholar] [CrossRef] [PubMed]
- Yahya, A.S.; Khawaja, S. Supporting Patients with Autism during COVID-19. Prim. Care Companion CNS Disord. 2020, 22. [Google Scholar] [CrossRef]
- White, L.C.; Law, J.K.; Daniels, A.M.; Toroney, J.; Vernoia, B.; Xiao, S.; Feliciano, P.; Chung, W.K.; The SPARK Consortium. Brief Report: Impact of COVID-19 on Individuals with ASD and Their Caregivers: A Perspective from the SPARK Cohort. J. Autism Dev. Disord. 2021, 1–8. [Google Scholar] [CrossRef]
- Stankovic, M.; Jelena, S.; Stankovic, M.; Shih, A.; Stojanovic, A.; Stankovic, S. The Serbian Experience of Challenges of Parenting Children with Autism Spectrum Disorders during the COVID-19 Pandemic and the State of Emergency with the Police Lockdown. SSRN J. 2020. [Google Scholar] [CrossRef]
- American Psychiatric Association. Diagnostic and Statistical Manual of Mental Disorders, 5th ed.; American Psychiatric Association: Arlington, VA, USA, 2013; ISBN 9780890425558. [Google Scholar]
- Anastopoulos, A.D.; Guevremont, D.C.; Shelton, T.L.; DuPaul, G.J. Parenting Stress among Families of Children with Attention Deficit Hyperactivity Disorder. J. Abnorm. Child Psychol. 1992, 20, 503–520. [Google Scholar] [CrossRef]
- Koegel, R.L.; Schreibman, L.; Loos, L.M.; Dirlich-Wilhelm, H.; Dunlap, G.; Robbins, F.R.; Plienis, A.J. Consistent Stress Profiles in Mothers of Children with Autism. J. Autism Dev. Disord. 1992, 22, 205–216. [Google Scholar] [CrossRef]
- Al-Farsi, O.A.; Al-Farsi, Y.M.; Al-Sharbati, M.M.; Al-Adawi, S. Stress, Anxiety, and Depression among Parents of Children with Autism Spectrum Disorder in Oman: A Case-Control Study. Neuropsychiatr. Dis. Treat. 2016, 12, 1943–1951. [Google Scholar] [CrossRef] [PubMed]
- Bonis, S.A.; Sawin, K.J. Risks and Protective Factors for Stress Self-Management in Parents of Children with Autism Spectrum Disorder: An Integrated Review of the Literature. J. Pediatric Nurs. 2016, 31, 567–579. [Google Scholar] [CrossRef]
- Kogan, M.D.; Strickland, B.B.; Blumberg, S.J.; Singh, G.K.; Perrin, J.M.; van Dyck, P.C. A National Profile of the Health Care Experiences and Family Impact of Autism Spectrum Disorder among Children in the United States, 2005-2006. Pediatrics 2008, 122, e1149–e1158. [Google Scholar] [CrossRef]
- Varni, J.W.; Sherman, S.A.; Burwinkle, T.M.; Dickinson, P.E.; Dixon, P. The PedsQLTM Family Impact Module: Preliminary reliability and validity. Health Qual. Life Outcomes 2004, 2, 55. [Google Scholar] [CrossRef] [PubMed]
- Danckaerts, M.; Sonuga-Barke, E.J.S.; Banaschewski, T.; Buitelaar, J.; Döpfner, M.; Hollis, C.; Santosh, P.; Rothenberger, A.; Sergeant, J.; Steinhausen, H.-C.; et al. The Quality of Life of Children with Attention Deficit/Hyperactivity Disorder: A Systematic Review. Eur. Child Adolesc. Psychiatry 2010, 19, 83–105. [Google Scholar] [CrossRef] [PubMed]
- Eapen, V.; Črnčec, R.; Walter, A.; Tay, K.P. Conceptualisation and Development of a Quality of Life Measure for Parents of Children with Autism Spectrum Disorder. Autism Res. Treat. 2014, 2014, 1–11. [Google Scholar] [CrossRef] [PubMed]
- Andrade, E.M.; Geha, L.M.; Duran, P.; Suwwan, R.; Machado, F.; do Rosário, M.C. Quality of Life in Caregivers of ADHD Children and Diabetes Patients. Front. Psychiatry 2016, 7, 127. [Google Scholar] [CrossRef]
- Vonneilich, N.; Lüdecke, D.; Kofahl, C. The Impact of Care on Family and Health-Related Quality of Life of Parents with Chronically Ill and Disabled Children. Disabil. Rehabil. 2016, 38, 761–767. [Google Scholar] [CrossRef]
- Pisula, E.; Porębowicz-Dörsmann, A. Family Functioning, Parenting Stress and Quality of Life in Mothers and Fathers of Polish Children with High Functioning Autism or Asperger Syndrome. PLoS ONE 2017, 12, e0186536. [Google Scholar] [CrossRef] [PubMed]
- Ueda, R.; Okada, T.; Kita, Y.; Ozawa, Y.; Inoue, H.; Shioda, M.; Kono, Y.; Kono, C.; Nakamura, Y.; Amemiya, K.; et al. The Quality of Life of Children with Neurodevelopmental Disorders and Their Parents during the Coronavirus Disease 19 Emergency in Japan. Sci. Rep. 2021, 11, 3042. [Google Scholar] [CrossRef]
- Lakens, D. Calculating and Reporting Effect Sizes to Facilitate Cumulative Science: A Practical Primer for t-Tests and ANOVAs. Front. Psychol. 2013, 4, 863. [Google Scholar] [CrossRef] [PubMed]
- Leppink, J.; O’Sullivan, P.; Winston, K. Effect Size—Large, Medium, and Small. Perspect. Med. Educ. 2016, 5, 347–349. [Google Scholar] [CrossRef]
- Bastiaansen, D.; Koot, H.M.; Ferdinand, R.F.; Verhulst, F.C. Quality of Life in Children with Psychiatric Disorders: Self-, Parent, and Clinician Report. J. Am. Acad. Child Adolesc. Psychiatry 2004, 43, 221–230. [Google Scholar] [CrossRef] [PubMed]
- Pongwilairat, K.; Louthrenoo, O.; Charnsil, C.; Witoonchart, C. Quality of Life of Children with Attention-Deficit/Hyperactivity Disorder. J. Med. Assoc. Thai. 2005, 88, 1062–1066. [Google Scholar] [PubMed]
- Limbers, C.A.; Heffer, R.W.; Varni, J.W. Health-Related Quality of Life and Cognitive Functioning from the Perspective of Parents of School-Aged Children with Asperger’s Syndrome Utilizing the PedsQLTM. J. Autism Dev. Disord. 2009, 39, 1529–1541. [Google Scholar] [CrossRef]
- Jafari, P.; Ghanizadeh, A.; Akhondzadeh, S.; Mohammadi, M.R. Health-Related Quality of Life of Iranian Children with Attention Deficit/Hyperactivity Disorder. Qual. Life Res. 2011, 20, 31–36. [Google Scholar] [CrossRef]
- Becker, A.; Roessner, V.; Breuer, D.; Döpfner, M.; Rothenberger, A. Relationship between Quality of Life and Psychopathological Profile: Data from an Observational Study in Children with ADHD. Eur. Child Adolesc. Psychiatry 2011, 20, 267–275. [Google Scholar] [CrossRef]
- Limbers, C.A.; Ripperger-Suhler, J.; Boutton, K.; Ransom, D.; Varni, J.W. A Comparative Analysis of Health-Related Quality of Life and Family Impact between Children with ADHD Treated in a General Pediatric Clinic and a Psychiatric Clinic Utilizing the PedsQL. J. Atten. Disord. 2011, 15, 392–402. [Google Scholar] [CrossRef]
- Marques, J.C.; Oliveira, J.A.; Goulardins, J.B.; Nascimento, R.O.; Lima, A.M.; Casella, E.B. Comparison of Child Self-Reports and Parent Proxy-Reports on Quality of Life of Children with Attention Deficit Hyperactivity Disorder. Health Qual. Life Outcomes 2013, 11, 186. [Google Scholar] [CrossRef]
- Ikeda, E.; Hinckson, E.; Krägeloh, C. Assessment of Quality of Life in Children and Youth with Autism Spectrum Disorder: A Critical Review. Qual. Life Res. 2014, 23, 1069–1085. [Google Scholar] [CrossRef]
- Thomas, S.; Sciberras, E.; Lycett, K.; Papadopoulos, N.; Rinehart, N. Physical Functioning, Emotional, and Behavioral Problems in Children with ADHD and Comorbid ASD: A Cross-Sectional Study. J. Atten. Disord. 2018, 22, 1002–1007. [Google Scholar] [CrossRef]
- Baloun, I.; Velemínský, M. Use of Validated PedsQLTM Questionnaires Regarding Children with ADHD and Autism. Kontakt 2019, 21, 87–92. [Google Scholar] [CrossRef]
- Katsiana, A.; Strimpakos, N.; Ioannis, V.; Sofologi, E.; Bonti, E.; Stiliani, K.; Stalikas, A. Health-Related Quality of Life in Children with Autism Spectrum Disorder and Children with Down Syndrome. Mater. Sociomed. 2020, 32, 93–98. [Google Scholar] [CrossRef]
- Stress in AmericaTM: Stress in the Time of COVID-19. Available online: https://www.apa.org/news/press/releases/stress/2020/stress-in-america-covid.pdf (accessed on 13 January 2021).
- Amorim, R.; Catarino, S.; Miragaia, P.; Ferreras, C.; Viana, V.; Guardiano, M. Impacto de la COVID-19 en niños con trastorno del espectro autista. Rev. Neurol. 2020, 71, 285–291. [Google Scholar] [CrossRef]
- Asbury, K.; Fox, L.; Deniz, E.; Code, A.; Toseeb, U. How Is COVID-19 Affecting the Mental Health of Children with Special Educational Needs and Disabilities and Their Families? J. Autism. Dev. Disord. 2020, 1–9. [Google Scholar] [CrossRef] [PubMed]
- Alhuzimi, T. Stress and Emotional Wellbeing of Parents Due to Change in Routine for Children with Autism Spectrum Disorder (ASD) at Home during COVID-19 Pandemic in Saudi Arabia. Res. Dev. Disabil. 2021, 108, 103822. [Google Scholar] [CrossRef]
- Althiabi, Y. Attitude, Anxiety and Perceived Mental Health Care Needs among Parents of Children with Autism Spectrum Disorder (ASD) in Saudi Arabia during COVID-19 Pandemic. Res. Dev. Disabil. 2021, 111, 103873. [Google Scholar] [CrossRef]
- Shah, R.; Raju, V.V.; Sharma, A.; Grover, S. Impact of COVID-19 and Lockdown on Children with ADHD and Their Families—an Online Survey and a Continuity Care Model. J. Neurosci. Rural. Pract. 2021, 12, 071–079. [Google Scholar] [CrossRef]
- Reicher, D. Debate: Remote Learning during COVID-19 for Children with High Functioning Autism Spectrum Disorder. Child Adolesc. Ment. Health 2020, 25, 263–264. [Google Scholar] [CrossRef]
- Pınar Senkalfa, B.; Sismanlar Eyuboglu, T.; Aslan, A.T.; Ramaslı Gursoy, T.; Soysal, A.S.; Yapar, D.; İlhan, M.N. Effect of the COVID-19 Pandemic on Anxiety among Children with Cystic Fibrosis and Their Mothers. Pediatr. Pulmonol. 2020, 55, 2128–2134. [Google Scholar] [CrossRef]
- Ingersoll, B.; Berger, N.I. Parent Engagement with a Telehealth-Based Parent-Mediated Intervention Program for Children with Autism Spectrum Disorders: Predictors of Program Use and Parent Outcomes. J. Med. Internet. Res. 2015, 17, e227. [Google Scholar] [CrossRef]
- Cameron, M.J.; Moore, T.; Bogran, C.; Leidt, A. Telehealth for Family Guidance: Acceptance and Commitment Therapy, Parent-Focused Preference Assessment, and Activity-Based Instruction for the Support of Children with Autism Spectrum Disorder and Their Families. Behav. Anal. Pr. 2020, 1–7. [Google Scholar] [CrossRef]
- Liu, G.; Wang, S.; Liao, J.; Ou, P.; Huang, L.; Xie, N.; He, Y.; Lin, J.; He, H.-G.; Hu, R. The Efficacy of Wechat-Based Parenting Training on the Psychological Well-Being of Mothers with Children with Autism during the COVID-19 Pandemic: Quasi-Experimental Study. JMIR Ment. Health 2021, 8, e23917. [Google Scholar] [CrossRef]
- Samadi, S.A.; Bakhshalizadeh-Moradi, S.; Khandani, F.; Foladgar, M.; Poursaid-Mohammad, M.; McConkey, R. Using Hybrid Telepractice for Supporting Parents of Children with ASD during the COVID-19 Lockdown: A Feasibility Study in Iran. Brain Sci. 2020, 10, 892. [Google Scholar] [CrossRef]
- McDevitt, S.E. While Quarantined: An Online Parent Education and Training Model for Families of Children with Autism in China. Res. Dev. Disabil. 2021, 109, 103851. [Google Scholar] [CrossRef]
- Pelham, W.E.; Fabiano, G.A. Evidence-Based Psychosocial Treatments for Attention-Deficit/Hyperactivity Disorder. J. Clin. Child Adolesc. Psychol. 2008, 37, 184–214. [Google Scholar] [CrossRef]
- Evans, S.W.; Owens, J.S.; Bunford, N. Evidence-Based Psychosocial Treatments for Children and Adolescents with Attention-Deficit/Hyperactivity Disorder. J. Clin. Child Adolesc. Psychol. 2014, 43, 527–551. [Google Scholar] [CrossRef] [PubMed]
- Froehlich, T.E.; Brinkman, W.B. Multimodal Treatment of the School-Aged Child with Attention-Deficit/Hyperactivity Disorder. JAMA Pediatr. 2018, 172, 109. [Google Scholar] [CrossRef] [PubMed]
- Cortese, S.; Asherson, P.; Sonuga-Barke, E.; Banaschewski, T.; Brandeis, D.; Buitelaar, J.; Coghill, D.; Daley, D.; Danckaerts, M.; Dittmann, R.W.; et al. ADHD Management during the COVID-19 Pandemic: Guidance from the European ADHD Guidelines Group. Lancet Child Adolesc. Health 2020, 4, 412–414. [Google Scholar] [CrossRef]
- Kavoor, A.R.; Mitra, S. Managing Attention Deficit Hyperactivity Disorder during COVID-19 Pandemic. J. Neurosci. Rural. Pract. 2021, 12, 001–002. [Google Scholar] [CrossRef]
- Fogler, J.M.; Normand, S.; O’Dea, N.; Mautone, J.A.; Featherston, M.; Power, T.J.; Nissley-Tsiopinis, J. Implementing Group Parent Training in Telepsychology: Lessons Learned during the COVID-19 Pandemic. J. Pediatr. Psychol. 2020, 45, 983–989. [Google Scholar] [CrossRef] [PubMed]
- Philip, S. Commentary on Impact of COVID-19 and Lockdown on Children with ADHD and Their Families—an Online Survey and a Continuity Care Model. J. Neurosci. Rural. Pract. 2021, 12, 222. [Google Scholar] [CrossRef]
- DuPaul, G.J.; Kern, L.; Belk, G.; Custer, B.; Daffner, M.; Hatfield, A.; Peek, D. Face-to-Face versus Online Behavioral Parent Training for Young Children at Risk for ADHD: Treatment Engagement and Outcomes. J. Clin. Child Adolesc. Psychol. 2018, 47, S369–S383. [Google Scholar] [CrossRef]
- Zhao, X.; Page, T.F.; Altszuler, A.R.; Pelham, W.E.; Kipp, H.; Gnagy, E.M.; Coxe, S.; Schatz, N.K.; Merrill, B.M.; Macphee, F.L.; et al. Family Burden of Raising a Child with ADHD. J. Abnorm. Child Psychol. 2019, 47, 1327–1338. [Google Scholar] [CrossRef]
- Tracking the COVID-19 Recession’s Effects on Food, Housing, and Employment Hardships. Available online: https://www.cbpp.org/research/poverty-and-inequality/tracking-the-covid-19-recessions-effects-on-food-housing-and (accessed on 1 March 2021).
- Unemployment Rates during the COVID-19 Pandemic: In Brief. Available online: https://fas.org/sgp/crs/misc/R46554.pdf (accessed on 25 February 2021).
- Public Policy Priorities during COVID-19. Available online: https://www.autismspeaks.org/advocacy-priorities-public-policy-priories-during-covid-19 (accessed on 1 March 2021).
- How You Can Help. Available online: https://chadd.org/donations/ (accessed on 26 September 2020).
- Coughlin, S.S. Recall Bias in Epidemiologic Studies. J. Clin. Epidemiol. 1990, 43, 87–91. [Google Scholar] [CrossRef]
- Richardson, L.D.; Norris, M. Access to Health and Health Care: How Race and Ethnicity Matter: Access to Health and Health Care. Mt. Sinai. J. Med. 2010, 77, 166–177. [Google Scholar] [CrossRef]
- Egede, L.E.; Walker, R.J. Structural Racism, Social Risk Factors, and COVID-19—a Dangerous Convergence for Black Americans. N. Engl. J. Med. 2020, 383, e77. [Google Scholar] [CrossRef] [PubMed]
- Price-Haywood, E.G.; Burton, J.; Fort, D.; Seoane, L. Hospitalization and Mortality among Black Patients and White Patients with COVID-19. N. Engl. J. Med. 2020, 382, 2534–2543. [Google Scholar] [CrossRef] [PubMed]
- Renelus, B.D.; Khoury, N.C.; Chandrasekaran, K.; Bekele, E.; Briggs, W.M.; Ivanov, A.; Mohanty, S.R.; Jamorabo, D.S. Racial Disparities in COVID-19 Hospitalization and in-Hospital Mortality at the Height of the New York City Pandemic. J. Racial Ethn. Health Disparities 2020. [Google Scholar] [CrossRef] [PubMed]
- Rodriguez, F.; Solomon, N.; de Lemos, J.A.; Das, S.R.; Morrow, D.A.; Bradley, S.M.; Elkind, M.S.V.; Williams, J.H., IV; Holmes, D.; Matsouaka, R.A.; et al. Racial and Ethnic Differences in Presentation and Outcomes for Patients Hospitalized with COVID-19: Findings from the American Heart Association’s COVID-19 Cardiovascular Disease Registry. Circulation 2020. [Google Scholar] [CrossRef]
- Goyal, M.K.; Simpson, J.N.; Boyle, M.D.; Badolato, G.M.; Delaney, M.; McCarter, R.; Cora-Bramble, D. Racial and/or Ethnic and Socioeconomic Disparities of Sars-Cov-2 Infection among Children. Pediatrics 2020, 146, e2020009951. [Google Scholar] [CrossRef]
- Marsack-Topolewski, C.N.; Church, H.L. Impact of Caregiver Burden on Quality of Life for Parents of Adult Children with Autism Spectrum Disorder. Am. J. Intellect. Dev. Disabil. 2019, 124, 145–156. [Google Scholar] [CrossRef]

| Diagnosis | ||||
|---|---|---|---|---|
| NT | ADHD | ASD | ADHD + ASD | |
| Sample Size | 91 | 152 | 170 | 167 |
| Age (years) | ||||
| N 1 | 90 | 150 | 170 | 165 |
| Mean | 39.6 | 43.3 | 50.3 | 45.3 |
| Range | 20–59 | 16–79 | 26–69 | 23–66 |
| Ethnicity (%) | ||||
| African-American | 5.5 | 7.9 | 10.0 | 4.2 |
| Asian | 45.1 | 4.6 | 13.5 | 9.6 |
| Caucasian | 40.7 | 68.4 | 54.1 | 62.9 |
| Hispanic | 4.4 | 12.5 | 15.3 | 16.2 |
| More than one choice or prefer not to say | 4.4 | 6.6 | 7.1 | 7.2 |
| Gender (%) | ||||
| Female | 87.9 | 92.1 | 91 | 92.2 |
| Male | 9.9 | 7.9 | 9 | 7.2 |
| Prefer not to say | 2.2 | 0 | 0 | 0.6 |
| Total Score | Parent HRQL Summary Score | Family Functioning Summary Score | |||||
|---|---|---|---|---|---|---|---|
| df | F | p | F | p | F | p | |
| Diagnosis | 3,576 | 59.8 | <0.001 | 39.84 | <0.001 | 43.9 | <0.001 |
| Time | 1,576 | 428.44 | <0.001 | 453.75 | <0.001 | 208.38 | <0.001 |
| Diagnosis × Time | 3,576 | 10.28 | <0.001 | 9.7 | <0.001 | 9.32 | <0.001 |
| Total Score | Parent HRQL Summary Score | Family Functioning Summary Score | ||||
|---|---|---|---|---|---|---|
| pre-COVID19 | F | p | F | p | F | p |
| 39.42 | <0.001 | 21.94 | <0.001 | 27.29 | <0.001 | |
| Effect Sizes | ||||||
| NT v ADHD | 1.12 | 1.06 | 1.02 | |||
| NT v ASD | 1.23 | 0.95 | 1.01 | |||
| NT v ADHD + ASD | 1.43 | 0.99 | 1.14 | |||
| ADHD v ASD | 0.14 | 0.00 | 0.01 | |||
| ADHD v ADHD + ASD | 0.29 | 0.01 | 0.13 | |||
| ASD v ADHD + ASD | 0.14 | 0.01 | 0.15 | |||
| COVID-19 | F | p | F | p | F | p |
| 56.81 | <0.001 | 39.42 | <0.001 | 44.09 | <0.001 | |
| Effect Sizes | ||||||
| NT v ADHD | 1.23 | 0.99 | 1.20 | |||
| NT v ASD | 1.49 | 1.32 | 1.37 | |||
| NT v ADHD + ASD | 1.61 | 1.30 | 1.38 | |||
| ADHD v ASD | 0.29 | 0.32 | 0.16 | |||
| ADHD v ADHD + ASD | 0.39 | 0.36 | 0.23 | |||
| ASD v ADHD + ASD | 0.10 | 0.04 | 0.08 | |||
| Total Score | Parent HRQL Summary Score | Family Functioning Summary Score | |||||
|---|---|---|---|---|---|---|---|
| df | t | p | t | p | t | p | |
| NT | 90 | 5.21 | <0.001 | 5.70 | <0.001 | 2.40 | 0.02 |
| ADHD | 151 | 11.76 | <0.001 | 11.94 | <0.001 | 8.03 | <0.001 |
| ASD | 169 | 13.89 | <0.001 | 13.93 | <0.001 | 10.54 | <0.001 |
| ADHD+ASD | 166 | 12.95 | <0.001 | 13.48 | <0.001 | 9.60 | <0.001 |
| Effect Sizes | |||||||
| NT | 0.45 | 0.51 | 0.20 | ||||
| ADHD | 0.79 | 0.75 | 0.55 | ||||
| ASD | 0.95 | 1.05 | 0.74 | ||||
| ADHD + ASD | 0.96 | 1.06 | 0.65 | ||||
Publisher’s Note: MDPI stays neutral with regard to jurisdictional claims in published maps and institutional affiliations. |
© 2021 by the authors. Licensee MDPI, Basel, Switzerland. This article is an open access article distributed under the terms and conditions of the Creative Commons Attribution (CC BY) license (https://creativecommons.org/licenses/by/4.0/).
Share and Cite
Pecor, K.W.; Barbayannis, G.; Yang, M.; Johnson, J.; Materasso, S.; Borda, M.; Garcia, D.; Garla, V.; Ming, X. Quality of Life Changes during the COVID-19 Pandemic for Caregivers of Children with ADHD and/or ASD. Int. J. Environ. Res. Public Health 2021, 18, 3667. https://doi.org/10.3390/ijerph18073667
Pecor KW, Barbayannis G, Yang M, Johnson J, Materasso S, Borda M, Garcia D, Garla V, Ming X. Quality of Life Changes during the COVID-19 Pandemic for Caregivers of Children with ADHD and/or ASD. International Journal of Environmental Research and Public Health. 2021; 18(7):3667. https://doi.org/10.3390/ijerph18073667
Chicago/Turabian StylePecor, Keith W., Georgia Barbayannis, Max Yang, Jacklyn Johnson, Sarah Materasso, Mauricio Borda, Disleidy Garcia, Varsha Garla, and Xue Ming. 2021. "Quality of Life Changes during the COVID-19 Pandemic for Caregivers of Children with ADHD and/or ASD" International Journal of Environmental Research and Public Health 18, no. 7: 3667. https://doi.org/10.3390/ijerph18073667
APA StylePecor, K. W., Barbayannis, G., Yang, M., Johnson, J., Materasso, S., Borda, M., Garcia, D., Garla, V., & Ming, X. (2021). Quality of Life Changes during the COVID-19 Pandemic for Caregivers of Children with ADHD and/or ASD. International Journal of Environmental Research and Public Health, 18(7), 3667. https://doi.org/10.3390/ijerph18073667

