Environmental Exposures in Singapore Schools: An Ecological Study
Abstract
1. Introduction
2. Objective
3. Materials and Methods
3.1. Data Collection
3.1.1. Environmental Exposure Data
3.1.2. School Data
3.1.3. School Rankings
3.2. Methods
3.2.1. Environmental Exposures and Distance Traveled
3.2.2. Environmental Exposures and Academic Performance
4. Results
4.1. Environmental Exposures and Distance Traveled
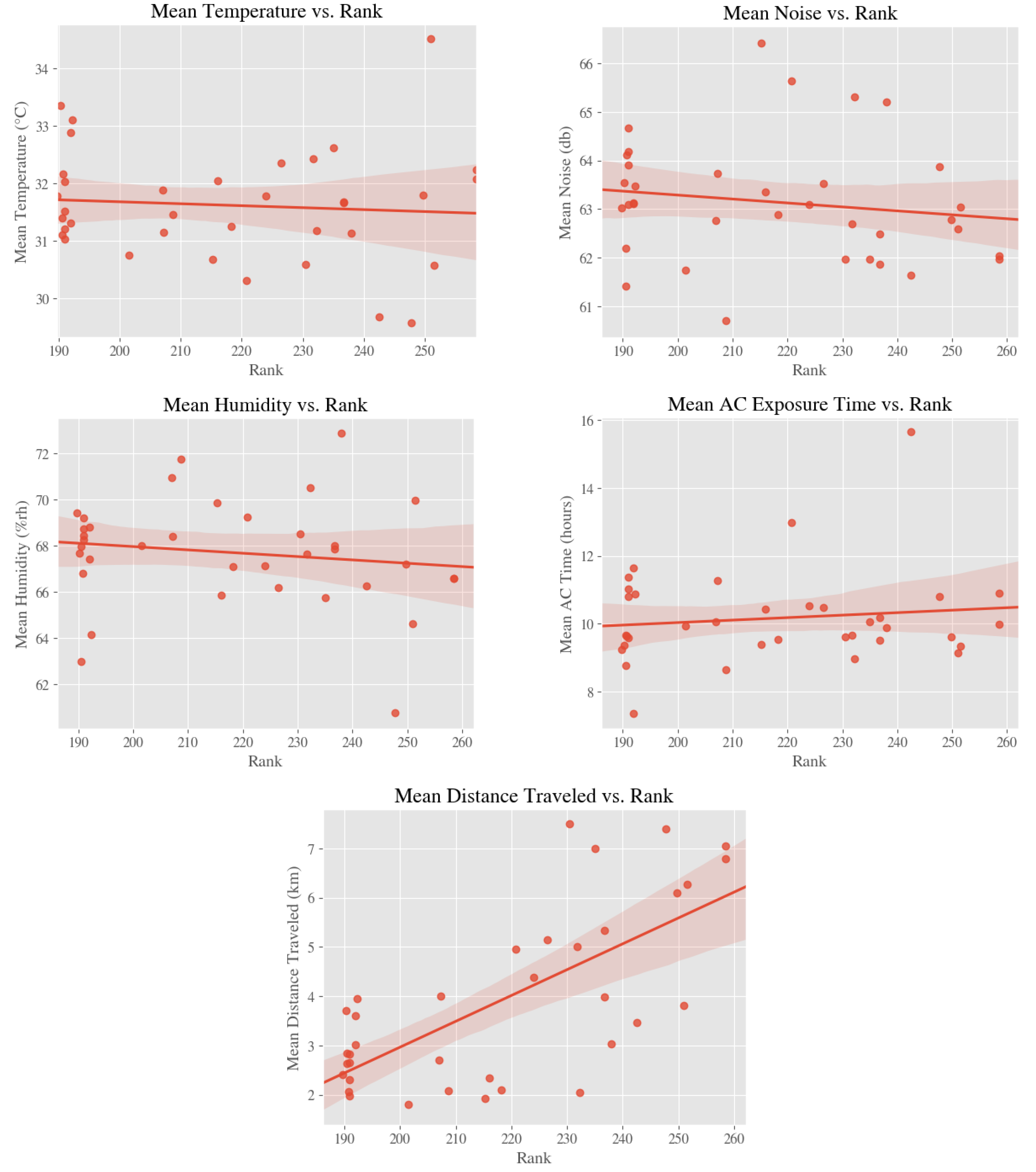
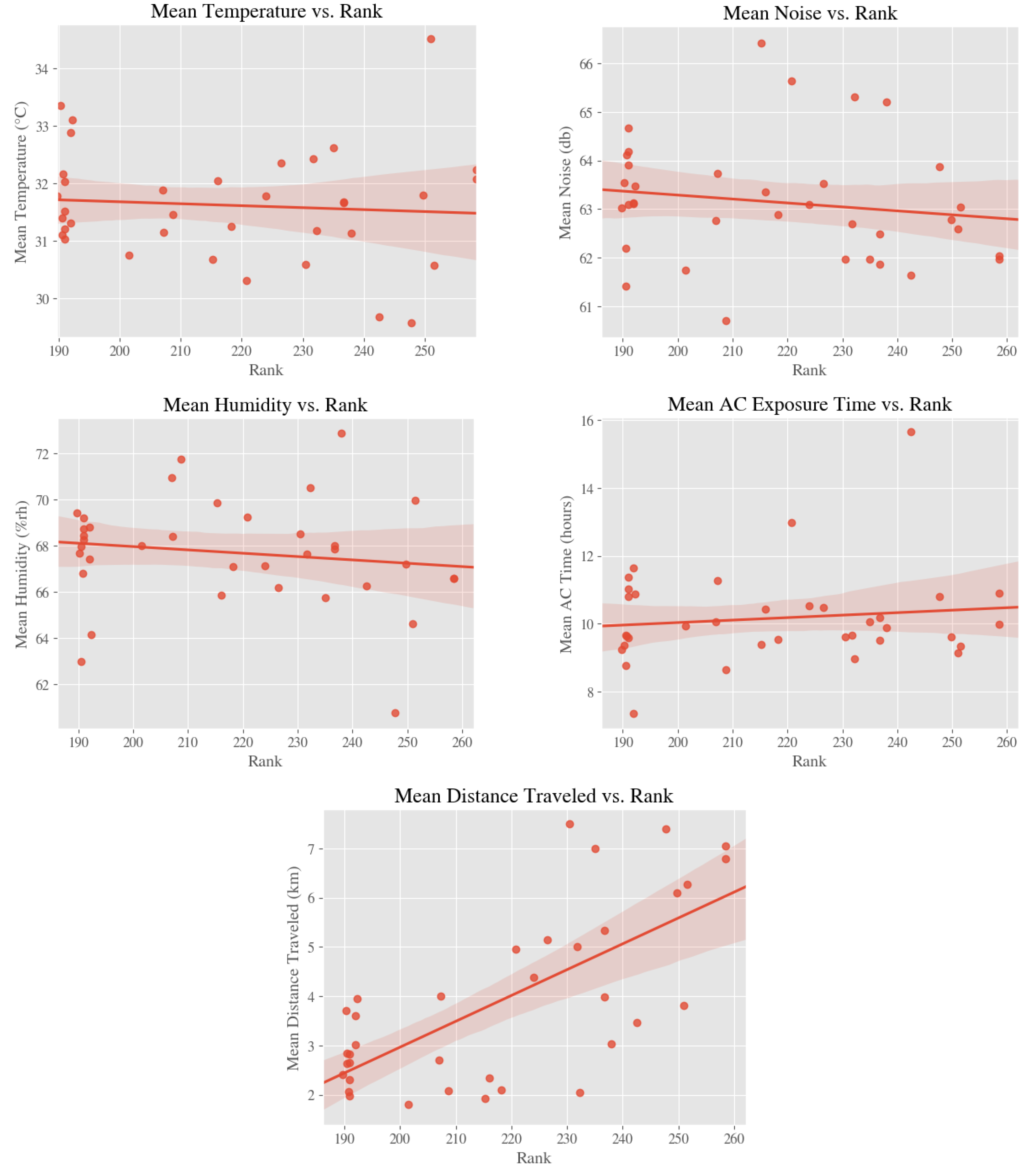
4.1.1. Aggregate School Data
4.1.2. Gender
4.1.3. Independent/Public
4.2. Environmental Exposures and Academic Performance
5. Discussion
6. Conclusions
Author Contributions
Funding
Institutional Review Board Statement
Informed Consent Statement
Data Availability Statement
Acknowledgments
Conflicts of Interest
References
- WHO. Climate Change and Health; World Health Organization: Geneva, Switzerland, 2018; p. 1. [Google Scholar]
- Council, N.I. Southeast Asia and Pacific Islands: The Impact of Climate Change to 2030. Available online: https://www.dni.gov/files/documents/climate2030\char‘_southeast\char‘_asia\char‘_pacific\char‘_islands.pdf (accessed on 1 October 2020).
- Gavel, D. When the Heat Is on, Student Learning Suffers; Harvard Kennedy School: Cambridge, MA, USA, 2018; p. 1. [Google Scholar]
- Nieuwenhuijsen, M. Urban and transport planning, environmental exposures and health-new concepts, methods and tools to improve health in cities. Environ. Health 2016, 15, 1. [Google Scholar] [CrossRef]
- Fsadni, P.; Bezzina, F.; Fsadni, C.; Montefort, S. Impact of School Air Quality on Children’s Respiratory Health. Indian J. Occup. Environ. Med. 2018, 22, 156–162. [Google Scholar] [PubMed]
- Miller, S.; Vela, M.A. The effects of air pollution on Educational Outcomes: Evidence from Chile. SSRN Electron. J. 2013, 1–42. [Google Scholar] [CrossRef]
- Establishing Environmental Public Health Systems for Children at Risk or with Environmental Exposures in Schools; American Public Health Association: Washington, DC, USA, 2017; p. 1.
- Grineski, S.; Collins, T. Geographic and social disparities in exposure to air neurotoxicants at U.S. public schools. Environ. Res. 2018, 161, 580–587. [Google Scholar] [CrossRef]
- Protecting Children’s Environmental Health: A Comprehensive Framework; American Public Health Association: Washington, DC, USA, 2017; p. 1.
- Heissel, J.; Persico, C.S.D. Does Pollution Drive Achievement? The Effect of Traffic Pollution on Academic Performance; National Bureau of Economic Research: Cambridge, MA, USA, 2019; pp. 32–34. [Google Scholar]
- Realyvásquez-Vargas, A.; Maldonado-Macía, A. The Impact of Environmental Factors on Academic Performance of University Students Taking Online Classes during the COVID-19 Pandemic in Mexico. Sustainability 2020, 12, 9194. [Google Scholar] [CrossRef]
- Determan, J. Impact of Biophilic Learning Spaces on Student Success|1 The Impact of Biophilic Learning Spaces on Student Success Architecture Planning Interiors; American Institute of Architecture: Washington, DC, USA, 2019; p. 1. [Google Scholar]
- Helbich, M.; van Emmichoven, M.J.Z.; Dijst, M.J.; Kwan, M.P.; Pierik, F.H.; de Vries, S.I. Natural and built environmental exposures on children’s active school travel: A Dutch global positioning system-based cross-sectional study. Health Place 2016, 39, 101–109. [Google Scholar] [CrossRef] [PubMed]
- Hinckson, E. Distance to School is Associated with Sedentary Time in Children: Findings from the URBAN Study. Front. Public Health 2014, 2, 151. [Google Scholar] [CrossRef] [PubMed][Green Version]
- Government of Singapore. Singapore National Science Experiment. In Singapore National Science Experiment|Singapore Family Online. Available online: https://www.family.sg/singapore-national-science-experiment.html (accessed on 1 October 2020).
- Happle, G. Determining air-conditioning usage patterns in Singapore from distributed, portable sensors. Energy Procedia 2017, 122, 313–318. [Google Scholar] [CrossRef]
- Periyakoil, D.; Das, H.P.; Spanos, C.J. Understanding Distributions of Environmental Parameters for Thermal Comfort Study in Singapore. In Proceedings of the e-Energy’20: Eleventh ACM International Conference on Future Energy Systems, Melbourne, Australia, 22–26 June 2020; Volume 11, pp. 461–465. [Google Scholar]
- Ministry of EducationRegistration Phases and Key Dates. Available online: https://www.moe.gov.sg/primary/p1-registration/registration-phases-key-dates (accessed on 1 October 2020).
- Ministry of EducationRegistration Phases and Key Dates. Available online: https://www.moe.gov.sg/primary/p1-registration/ (accessed on 1 October 2020).
- Bryan. Secondary School Ranking (Based on Cut-Off for 2015 Intake). Salary.sg—Your Salary in Singapore. Available online: https://www.salary.sg/2015/secondary-school-ranking-based-on-cut-off-for-2015-intake/ (accessed on 15 September 2020).
- Chuan, T. Singapore’s Top Secondary Schools in 2015-Ranked by Cut-Off Point. Available online: https://mustsharenews.com/secondary-school-ranking/ (accessed on 15 September 2020).
- Ace Tutors. Secondary School Ranking 2013 Based on PSLE Intake. Available online: https://acetutors.com.sg/Secondary-School-Ranking-2013-Based-On-PSLE-Intake (accessed on 15 September 2020).
- Ace Tutors. Secondary School Ranking 2012 Based on PSLE Intake. Available online: https://acetutors.com.sg/Secondary-School-Ranking-2012-Based-On-PSLE-Intake (accessed on 15 September 2020).
- Chan, K. Noise levels in an urban Asian school environment. Noise Health 2015, 17, 48–55. [Google Scholar] [CrossRef]
- Regional Educational Laboratories Program. Optimal Classroom Temperature to Support Student Learning; Institute of Education Sciences: Washington, DC, USA, 2018. [Google Scholar]
- Angelon-Gaetz, K.A.; Richardson, D.B.; Lipton, D.M.; Marshall, S.W.; Lamb, B.; Lofrese, T. The effects of building-related factors on classroom relative humidity among North Carolina schools participating in the ‘Free to Breathe, Free to Teach’ study. Indoor Air 2015, 25, 620–630. [Google Scholar] [CrossRef] [PubMed]
- Wolfe, M.K.; McDonald, N.C.; Arunachalam, S.; Baldauf, R.; Valencia, A. Impact of school location on children’s air pollution exposure. J. Urban Aff. 2020, 1–17. [Google Scholar] [CrossRef]
- How Much Does It Cost to Live Near the Top Primary Schools in Singapore? AsiaOne: Singapore, 2019; p. 1.




| (a) Mean Temp vs. Distance Traveled | ||
| r | p | |
| boys | −0.286 | 0.534 |
| girls | −0.771 | 0.025 |
| co-ed | −0.741 | <0.001 |
| (b) Mean Noise vs. Distance Traveled | ||
| r | p | |
| boys | −0.342 | 0.453 |
| girls | −0.369 | 0.369 |
| co-ed | −0.494 | <0.001 |
| (c) Mean Humidity vs. Distance Traveled | ||
| r | p | |
| boys | −0.197 | 0.672 |
| girls | 0.413 | 0.309 |
| co-ed | −0.493 | <0.001 |
| (d) Mean AC Exposure vs. Distance Traveled | ||
| r | p | |
| boys | −0.300 | 0.514 |
| girls | 0.567 | 0.142 |
| co-ed | 0.694 | <0.001 |
Publisher’s Note: MDPI stays neutral with regard to jurisdictional claims in published maps and institutional affiliations. |
© 2021 by the authors. Licensee MDPI, Basel, Switzerland. This article is an open access article distributed under the terms and conditions of the Creative Commons Attribution (CC BY) license (http://creativecommons.org/licenses/by/4.0/).
Share and Cite
Periyakoil, D.; Das, H.P.; Miller, C.; Spanos, C.J.; Prata, N. Environmental Exposures in Singapore Schools: An Ecological Study. Int. J. Environ. Res. Public Health 2021, 18, 1843. https://doi.org/10.3390/ijerph18041843
Periyakoil D, Das HP, Miller C, Spanos CJ, Prata N. Environmental Exposures in Singapore Schools: An Ecological Study. International Journal of Environmental Research and Public Health. 2021; 18(4):1843. https://doi.org/10.3390/ijerph18041843
Chicago/Turabian StylePeriyakoil, Divya, Hari Prasanna Das, Clayton Miller, Costas J. Spanos, and Ndola Prata. 2021. "Environmental Exposures in Singapore Schools: An Ecological Study" International Journal of Environmental Research and Public Health 18, no. 4: 1843. https://doi.org/10.3390/ijerph18041843
APA StylePeriyakoil, D., Das, H. P., Miller, C., Spanos, C. J., & Prata, N. (2021). Environmental Exposures in Singapore Schools: An Ecological Study. International Journal of Environmental Research and Public Health, 18(4), 1843. https://doi.org/10.3390/ijerph18041843

