Abstract
Background: The sequelae and disabilities that follow an acquired brain injury (ABI) may negatively affect quality of life (QoL). The main objective of the study is to describe the QoL after an ABI and identify the predictors of a better QoL. Methods: Prospective cohort study with follow-up measurement after one-year. The sample comprised 203 adults with ABIs (64% male) aged 18–86 years (M = 53.01, SD = 14.44). Stroke was the main etiology of the injury (55.7%), followed by a TBI (32.8%), and the average time since injury was 8 years (M = 8.25, SD = 7.83, range = 0.5–47.5). Patients assessed their QoL through the scale Calidad de Vida en Daño Cerebral (CAVIDACE self-reported version; “quality of life in brain injury” in English), an ABI-specific tool based on the eight-domain QoL model. Other variables measured were: depression, self-awareness, community integration, resilience, and social support at baseline and one-year follow-up. Results: The studied factors showed few significant changes over time. The analyses showed statistically significant differences in QoL scores in several sociodemographic (age, civil status, education, legal capacity, and dependency), injury-related (time, location, and comorbidity), rehabilitation, and personal-social variables (self-awareness, depression, social support, resilience, and community integration). The levels of dependency, depression, and satisfaction with social support were independent predictors of the total QoL score one-year follow-up. Conclusions: QoL after ABI depends on multiple elements that must be considered. There are factors such as satisfaction with social support, depression, community integration, and resilience that must be monitored throughout the rehabilitation process.
1. Introduction
Acquired brain injuries (ABIs) are caused by a sudden injury in the brain that occurs after birth and includes different diagnoses such as traumatic brain injury (TBI), stroke, brain tumor, anoxia, and infection. In Spain, there is currently a prevalence of 420,064 people living with ABI, and there are approximately 104,701 new cases per year [1], imposing considerable costs on society due to the years of life lost to disability or death [2]. An ABI is often accompanied by long-lasting or permanent physical (i.e., spasticity, mobility problems, and chronic pain), cognitive (i.e., executive functioning, attention, memory and learning, communication, and anosognosia), emotional (i.e., anxiety and depression), and social impairments (i.e., social isolation and inability to return to work) [3,4,5,6,7,8] that negatively affect quality of life (QoL) [8,9,10,11,12].
QoL has been recognized as an important outcome of the rehabilitation process after a brain injury. QoL after an ABI has been discussed and conceptualized using the health-related QoL approach (HRQoL). This model focuses mainly on the impact of this medical condition and the rehabilitation process on physical, emotional, and social aspects, ignoring other aspects that are very important for personal well-being, such as self-determination, interpersonal relationships, and personal development. Therefore, we propose a comprehensive approach for QoL assessment based on Schalock and Verdugo’s QoL model [13,14], characterized by a broad range of personal outcomes. According to these authors, QoL is a multidimensional phenomenon that reflects the well-being desired by the person in relation to eight basic domains: emotional well-being, interpersonal relationships, material well-being, personal development, physical well-being, self-determination, social inclusion, and rights. These areas are assessed through culturally sensitive indicators and influenced by personal characteristics, environmental factors, and their interaction. The core domains are the same for all people, although they may vary individually in their relative value and importance [15,16]. In addition, from this model, it is possible to gather information from both self-reported and proxy perspectives. On one hand, the presence of communication and memory alterations [7,17,18] and a lack of self-awareness (i.e., anosognosia) [19,20] are very frequent among the population with ABIs and can affect the validity of self-reported scores. On the other hand, data from proxy reports should also be taken with caution since there is no sufficient correlation between proxy and self-reports [20].
Several studies have shown that the QoL after ABIs is worse than that in the general population [9,10,17,21,22,23,24,25]. However, QoL can change over time since the recovery process after an injury is long and complex. Improvement in QoL is generally experienced up to one [6,8,22,23,24,26] or two [12,25] years after an injury, and, afterward, the levels remain more or less stable [4,7,10]. Although this depends on the QoL area evaluated, findings show higher rates of change in the physical domain than in the emotional and social domains [12,24,25,26].
The course of evolution of the QoL after an ABI may vary due to different factors, such as sociodemographic, injury-related, personal, and social factors. Chief among the sociodemographic characteristics are gender, age, and employment status. Regarding gender or age, although some studies indicate that females [21,22,25,26] and elderly individuals [21,22,25,26] have a worse QoL, the results are not always clear [3,9,11,27,28]. Regarding employment, both employment before an ABI [3,10,29] and, even more so, an active employment situation after it [6,9,11,26,28,30,31,32] have been equally–and quite unequivocally related to a better QoL.
Regarding the published research on injury-related factors, it reveals conflicting results concerning the relationship between injury severity [3,21,22,24,30] or an ABI’s etiology [29,33] and QoL. However, there is an agreement that a great number of impairments after an ABI (i.e., comorbidity) are related to a worse QoL [3,17,22,31,34,35]. Most of the studies have focused their attention on the personal and social variables that could affect QoL, and that could be modified. Thus, we know that the absence of depressive symptoms [4,5,9,10,24,27,33,34,36], good social support [8,27,28,30,31], adequate community integration [4,10,23], and a resilient personality [37,38] have strong relationships with a better QoL. Other factors such as self-awareness have also been found to affect QoL, but the direction of this influence remains unclear [20,39].
This manuscript is based on extensive research about QoL after an ABI [40,41]. In another manuscript by the present authors [42], in which it was examined the changes in QoL between baseline and one-year follow-up considering both the assessments made by persons with ABI (i.e., self-reported) and that of their relatives and professionals (i.e., proxy-report), significant positive changes were found in the total QoL score and for nearly all the QoL domains (emotional well-being, material well-being, personal development, physical well-being, and rights). As for this study, the present authors’ focus is put on examining predictive factors of QoL over a one-year follow-up since the baseline, using a multidimensional model of QoL and self-report assessments. Specifically, we aimed at (1) describing changes in QoL after an ABI between baseline and one-year follow-up evaluation, (2) describing and analyzing the changes in important variables (i.e., depression, self-awareness, community integration, resilience, and social support) at one-year follow-up, and (3) examining the impact of sociodemographic, injury-related, personal, and social variables on QoL and identify the predictors of a better QoL.
2. Materials and Methods
2.1. Study Participants
A prospective one-year follow-up was conducted with a cohort of adults with ABIs from 26 rehabilitation centers that provide health and social services in Spain. The ABI participants had to meet the following inclusion criteria: (a) to have an ABI, (b) to be at least 16 years, (c) to attend an ABI-specific center, and (d) to have signed an informed consent form. The exclusion criteria were the following: (a) to be in a state of coma or having minimum consciousness, (b) to suffer from global aphasia, and (c) not to be able to understand or answer most questions. The individuals with ABIs responded to a QoL measure and a series of complementary questionnaires. Of the 402 participants in the baseline, 199 (49.5%) dropped out at the one-year follow-up due to the end of their rehabilitation, death, or refusal to continue in the study.
2.2. Measures
2.2.1. CAVIDACE Scale
The scale Calidad de Vida en Daño Cerebral (CAVIDACE; “quality of life in brain injury” in English) has been specifically designed to measure the QoL of adults with ABIs using proxy responses [43]. We used the self-reported version: an adaptation of the original scale completed by individuals with ABIs. This version consisted of 40 items, which assessed the eight domains that are subsumed by Schalock and Verdugo’s model: emotional well-being, interpersonal relationships, material well-being, personal development, physical well-being, self-determination, social inclusion, and rights. The responses were recorded on a four-point rating scale: 0 = never, 1 = sometimes, 2 = frequently, and 3 = always. The instrument includes negatively worded items, which were reversed prior to adding the scores of the items per each domain. These direct scores are transformed into standard scores for each domain (M = 10, SD = 3) and percentiles. Moreover, the scale provides an over-all raw QoL score (i.e., the sum of the direct scores obtained in each of the domains) that may vary from 0 to 120, where higher scores indicate higher QoL. This overall score can be converted into an easily interpretable QoL Global Index (M = 100; SD = 15). Its psychometric properties were good and comparable to those of the original scale: QoL is composed of eight first-order intercorrelated domains (CFI = 0.891, RMSEA = 0.050, TLI = 0.881), and the internal consistency was adequate in seven of the eight domains (ω = 0.66–0.87) [40].
2.2.2. Patient Health Questionnaire-9 (PHQ9)
The PHQ9 [44], which consists of 9 items, assessed depression in accordance with the DSM-IV criteria. Total scores can range from 0 to 27, and higher scores are indicative of severe depression.
2.2.3. Patient Competency Rating Scale (PCRS)
The PCRS consists of 30 items that assessed the competency to perform different daily living tasks [45]. To complete the instrument, individuals with ABI were required to indicate the extent to which it was difficult for them to perform the task that was described in each item. Participant responses can be compared with those of a family member or professional to determine the self-awareness level. In this study, we compared the responses of individuals with ABI and professionals. The wider the discrepancies found between individuals with ABI and professionals, the poorer the self-awareness.
2.2.4. Community Integration Questionnaire (CIQ)
The CIQ is a 15-item specific measure of community integration [46]. Total scores can range from 0 to 29. We used the version of Sander et al. [47] in which ambiguous items were eliminated (i.e., 4 and 10).
2.2.5. Connor–Davidson Resilience Scale (CD-RISC)
The CD-RISC is a 25-item measure of resilience [48] that has been used in samples with a wide range of conditions, including ABIs (scores range from 0 to 100).
2.2.6. Social Support Questionnaire-6 (SSQ6)
The SSQ6 is an abbreviated version of the social support questionnaire [49]. Individuals were required to respond to the 6 items by (a) indicating the number of individuals available to support them and (b) rating their level of satisfaction with social support. Scores can range from 0 (no social support) to 6 (very high social support) for the number of available supports, and from 1 (very unsatisfied) to 6 (very satisfied) for the satisfaction domain in each item or area. From these scores in the 6 areas, an average score was calculated for the number of available supports and for satisfaction.
2.3. Procedure
Participating organizations that provide attention to the ABI population were recruited through emails and telephone calls. First, we contacted the centers that had participated in the study in which the CAVIDACE scale was developed and validated. On numerous occasions, these professionals facilitated liaisons with other centers, thereby resulting in snowball sampling. Second, to recruit a larger sample, information about the study was disseminated through conferences and posted on the university’s website. Of the 32 centers with which the research team made initial contact, 26 finally agreed to participate in the study.
Participants attended ABI-specific care centers (i.e., rehabilitation centers and day centers) spread throughout Spain. These are socio-sanitary centers focused mainly on a chronic phase of ABI (although when the rehabilitation phase within hospitals is brief due to time or resources constrain, people with ABI in the subacute phase can also be sent to these centers). The main difference between rehabilitation centers and daycare centers is the purpose of the services they provide: daycare centers provide daily care whose aim is to improve or maintain personal autonomy to an adequate level and to provide families with support to alleviate the burden caused by the ongoing support they commonly give (i.e., family respite service). The rehabilitation centers, for their part, pursue a therapeutic objective aimed at re-educating and compensating for the consequences of the injury, preventing future complications, and improving the preserved abilities
Once a center expressed interest in participating, a research team member visited it and provided all necessary information about the study. In each center, a research assistant was trained to oversee the administration of the instruments. To participate in the study, participants had to meet the established inclusion criteria, and when the number of participants exceeded the possibilities of participation of the center, it was the research assistant who randomly selected participants. In addition, the research assistant (in consensus with a professional from the center, when necessary) was in charge of determining the ability of the person with ABI to answer the instruments. The research team provided printed copies, although respondents were able to complete the scales online as well.
A follow-up was carried out after one year, and the follow-up used the same instruments. Demographic and clinical information was only provided at the baseline. Finally, the scales were collected, and the data were analyzed.
All the procedures described in this paper followed the ethical standards required by research that involves human participants. This study was approved by the bioethics committee of the University of Salamanca (No: 20189990014185/ Record: 2018/REGSAL-1931). Written informed consent was obtained from the ABI participants. Personal and clinical data were collected, stored, and protected in accordance with the Organic Law 3/2018 of 5 December on Data Protection and the Guarantee of Digital Rights, so alphanumeric codes were assigned to all the participants to guarantee their anonymity. All procedures comply with the principles of the 1964 Declaration of Helsinki and its amendments.
2.4. Statistical Analysis
Data were analyzed using SPSS 24, and statistical significance was set at p = 0.05. Descriptive data are displayed as the mean, SD, and range or absolute and relative frequencies. When comparing characteristics between the patients included and those who were lost for the follow-up, the categorical variables were analyzed with a chi-squared test and the continuous variables with an independent t-test.
To verify the effect that the time elapsed since ABI could have on the changes experienced in the QoL, the sample was divided between those who had recently had the ABI (i.e., 3 years ago or less) and those who were in a chronic phase (i.e., those who had the ABI more than 3 years ago) and carried out repeated measured t-test between QoL at baseline and one-year follow-up for QoL’s domains and total QoL index.
Paired t-tests were used to compare PHQ9, PCRS, CIQ, CD-RISC, and SSQ6 from the baseline to the one-year follow-up. Confidence interval plots were used to represent the results.
Analysis to determine the predictors of the QoL scores was conducted. Before carrying out the analyses, we implemented a transformation of the quantitative scales (i.e., PHQ9, PCRS, CIQ, CD-RISC, and SSQ6) in categories (i.e., low, intermediate, and high) from the calculation of the percentiles. First, comparisons between groups were performed using independent-sample t-tests and ANOVA with Tukey post-hoc tests. The effect size was analyzed using eta-squared (η2). Second, to identify the prediction of the dependent variables (i.e., the QoL total score and domains at the one-year follow-up), hierarchical multiple linear regression models were conducted with the following six groups of independent variables: Step 1 (QoL scores at the baseline), Step 2 (sociodemographic variables), Step 3 (injury-related variables), Step 4 (the type of rehabilitation center), Step 5 (personal and social variables at the baseline), and Step 6 (personal and social variables at the one-year follow-up). First, the variables of each group that were significant in the previous analysis were included by step as an initial model (the enter method). Factors with p < 0.10 were retained. Once the potential predictors were identified, the model was built via the forward method. All the variables fulfilled the assumptions of normality and no multicollinearity (rs < 0.70). The results are presented as adjusted R2s, F changes, and standardized betas. R2 was interpreted according to Cohen’s [50] guidelines (i.e., 0.02 = small, 0.13 = medium, and 0.26 = large).
3. Results
3.1. Patient Sample
More than half of the participants were male (64%) aged from 18 to 86 years (M = 53.01, SD = 14.44). There was a low percentage of subjects who returned to work or their studies after their injury (2%) and a low frequency of people living independently (9.8%). Stroke was the main etiology of the injury (55.7%), followed by a TBI (32.8%), and the average time since injury was 8 years (M = 8.25, SD = 7.83, range = 0.5–47.5). See Table 1 for more information. When comparing the differences between patients with and without follow-ups, significant differences were found in time since injury (t371 = −10.95, p < 0.01), etiology (χ² = 24.30, p < 0.001), and type of center (χ² = 23.36, p < 0.001). People for whom one-year follow-up evaluations were not conducted had their ABI more recently, went more to rehabilitation centers than to daycare centers, and had a higher prevalence of stroke and a lower prevalence of a TBI.
Table 1.
Sociodemographic and clinical characteristics of the acquired brain injuries (ABIs) sample.
At the one-year follow-up, the average score in the Total QoL Index was 105.11 (SD = 15.51). By domains, we found the highest value in material well-being and rights and the lowest values in social inclusion and personal development. These descriptive results are listed in Table 2.
Table 2.
Description statistics of quality of life (QoL) scores one-year follow-up.
3.2. Changes in QoL from Baseline to One-Year Follow-Up
Improvements in QoL levels have been reported between baseline and one-year follow-up (see Table 3 for more information). However, these changes have only been significant in emotional well-being for the group with the most recent ABI (i.e., ABI 3 years ago or less) and in personal development for the chronic group (i.e., ABI more than 3 years ago).
Table 3.
Results by groups of time since the injury of repeated measured t-test between baseline and one-year follow-up in QoL’s domains and total score.
3.3. Changes in Other Variables from the Baseline to One-Year Follow-Up
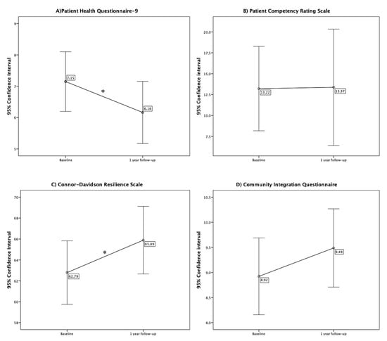
Statistically significant differences between baseline and one-year follow-up were found only for PHQ9 (t140 = 2.10, p = 0.038) and CD-RISC (t129 = −2.02, p =0.045), showing a decrease in depression over time (Mbaseline = 7.15, SDbaseline = 5.72; Mfollow-up = 6.16, SDfollow-up = 5.96) and an improvement in resilience (Mbaseline = 62.79, SDbaseline = 17.52; Mfollow-up = 65.89, SDfollow-up = 18.61). These results are represented in Figure 1.

Figure 1.
Confidence interval plots for the scores in (A) Patient Health Questionnaire-9 (PHQ9), (B) Patient Competency Rating Scale (PCRS), (C) Connor–Davidson Resilience Scale (CD-RISC), (D) Community Integration Questionnaire (CIQ), and (E) Social Support Questionnaire-6 (SSQ6) in baseline and 1 year follow-up (Note: * p < 0.05 in paired t-test analysis).
3.4. Factors Related to QoL: Independent t-Tests and ANOVAs
Statistically significant differences were found in the total QoL index scored by loss of legal capacity, comorbidity, depression, resilience, and satisfaction with social support. No significant differences were detected in any of the QoL scores (p > 0.05) according to gender, prior employment, level of support, time since injury, etiology, self-awareness (baseline and one-year), and social support (one-year). Table 4 shows the results of the analysis. Higher levels of QoL were related to people who were younger, were married or with a partner, had higher education, were legally capable, had a lower degree of dependency, had a unilateral ABI, had fewer associated health conditions (i.e., comorbidity), were receiving care in a rehabilitation center, had lower levels of depression, and had higher levels of social support, resilience, and community integration.
Table 4.
Parametric test results for QoL’s domains and total score one-year follow-up.
3.5. Predictors of QoL at One-Year: Regressions
Nine hierarchical multiple regressions were conducted to examine the potential predictors of ABI participants through the analysis of the variance in QoL. According to Cohen’s guidelines, we found large predictive values in all cases except for material well-being. However, if we neglect the effect of levels of QoL in the baseline, we found that the best models were in the emotional well-being, personal development, and rights variables.
If we focus on that model, we found that personal and social variables were present in all the explanatory models. Specifically, depressionbaseline was an explanatory factor of emotional well-being (B = −0.33, p = 0.002), resilience12 months of emotional well-being and personal development (B = 0.34, p = 0.002; B = 0.45, p < 0.001, respectively), satisfaction with social supportbaseline predicted rights (B = 0.47, p = 0.001), and community integrationbaseline predicted personal development and rights (B = 0.25, p = 0.004; B = 0.28, p = 0.041, respectively). Furthermore, marital status (i.e., a sociodemographic variable) was present in the explanatory model of emotional well-being (B = 0.24, p = 0.020) and the loss of legal capacity (i.e., injury-related variable) in personal development (B = −0.16, p = 0.043). See Table 5 for more information.
Table 5.
Results from the hierarchical regressions models of QoL domains and total score.
4. Discussion
This study presents the QoL outcomes, as measured by the CAVIDACE scale, at the one-year follow-up in a sample of ABI adults who had experienced ABI some years ago. Likewise, it also explores the changes at the one-year follow-up of some personal and social variables and the association between QoL and these factors and a set of sociodemographic and injury-related factors that were expected to predict the patient’s QoL. There are many studies that analyze how some of these factors affect QoL; however, they usually focus only on a few variables, use cross-sectional designs, or follow an HRQoL model. In this sense, the study contributes by bettering the knowledge and understanding of the QoL construct in the ABI population.
At the one-year follow-up, the domains with the highest results were rights and material well-being, whereas personal development obtained the lowest scores. These results are consistent with those obtained in other studies of those with ABIs [29,41] and studies assessing the recipients of social services [51], suggesting the importance of promoting community integration and cognitive skills in the population with ABIs. The findings of this study show that improvements in QoL were generally experienced between the baseline evaluation and the one-year follow-up, but they were only significant for the emotional well-being and personal development domains. In other studies [42] that analyzed different change patterns as a function of the time elapsed since the ABI, more significant changes were obtained when ABI was recent; however, this finding has not been replicated in the present study. The determining factor for such difference may be that in this case, self-report assessments were analyzed and not proxy assessment, which was used in other studies.
Social support, depression, self-awareness, community integration, and resilience are important aspects that have been widely studied in the population with ABIs [5,10,28,36,39]. At the one-year follow-up, an improvement was found in SSQ6, CIQ, and CD-RIS outcomes, although only the last one was significant. Meanwhile, PHQ9 scores decreased significantly, and the PCRS scores remained stable. According to the literature, there are studies that have reported changes in satisfaction with social support, which are not necessarily positive; and no changes in the number of supports [30]. Studies about community integration indicate the most important changes are one-year after an ABI and small improvements later [52], which agrees with the results of this study. This suggests the need to further improve support and social interaction, particularly at the community level, including patient organizations and support groups [53,54] and the promotion of self-determined and active work life. The few available studies about resilience found a stabilization period of one year after an ABI and a subsequent worsening [55]. Finally, there is no consensus about depression’s evolutionary patterns. While some studies report a higher prevalence with more time elapsed since an ABI [10], others report improvements [7,56]. For all the variables, we must consider that longer time periods may be needed to appreciate any changes and the importance of analyzing the moderating variables of these results.
Past findings have yielded contradictions about the effects of sociodemographic variables on QoL. In this study, no significant effects were found for gender, as happened in others [10,57], or for employment before an ABI. Those people with ABIs who were working or studying before the injury showed significantly better QoL in previous research [29,58], as in our baseline evaluation [41], which may indicate that the positive effect of a previous active lifestyle disappears over time. In addition, people who were married or cohabitating reported better emotional well-being, reflecting the importance of close interpersonal relationships as a preventive factor for depression and anxiety [59,60], although there is no unanimity in this regard [58]. Those with higher levels of education presented better levels of self-determination, possibly related to greater possibilities of acquiring the work and lifestyle desired [5,58].
Regarding the injury-related variables, it was found that people with a deprived legal capacity showed a lower QoL, probably due to the importance of being able to make preference-based elections/decisions/choices. In addition, the higher the level of recognized dependency (i.e., the need for support or supervision to perform daily life activities), the poorer the levels of QoL [28,29,61]. Decision-making abilities, the capacity to act independently, and participation in inclusive settings tended to be poorer among individuals who had a high dependency. Finally, a better QoL was also found in people who had unilateral injuries compared to those with bilateral injuries, probably due to a lower number of associated sequelae [41]. In this sense, lower comorbidity levels at the baseline were significantly related to a better QoL at the one-year follow-up [22,35,62]. Neither the etiology [58] nor the time elapsed since the injury [28,34] had a significant impact on QoL.
Depression, satisfaction with social support, community integration, and resilience were predictors of self-reported QoL at the baseline and one-year follow-up. Depression was a predictor of emotional well-being and the total QoL index. Depressive problems a year ago (i.e., baseline evaluation) continued to affect the ABI person’s emotional well-being and had a negative effect on other aspects of QoL at the time, which had already been documented by other studies [9,33,56]. The effect of community integration on QoL has been widely reported, but the effect was not found for resilience. However, both have been shown to be the two most important predictors. Community integration seems to exert its fundamental effect based on the levels found in the initial evaluation, contrary to what happens with resilience, and its broad and lasting effects make it difficult to produce improvements over time [52]. The exceptions are the effect of community integration at the present time on material well-being and interpersonal relationships, which could be closely related to productivity levels, salary, and the availability of current contexts suitable for establishing interpersonal relationships. In the case of resilience, the immediate effects it has on QoL are consistent with the importance of deploying coping skills focused on the present moment and not on evaluations of what the future will be like.
Finally, satisfaction with social support [28] had an immediate effect on interpersonal relationships and physical well-being and a long-term effect on rights and the total QoL index. It is possible that the existence of quality social relationships ensures better support for one’s physical needs associated at the time and that the existence of these supports allows the introduction of progressive changes that ensure respect for the rights of the ABI person. It should be noted that the number of social supports and self-awareness variables did not have significant effects on self-reported QoL. However, it was demonstrated that the sample had a lack of self-awareness, and its effect was possibly reflected in the evaluations carried out by others [41].
Some study limitations need to be addressed. The sample of the respondents was recruited using a non-probabilistic convenience sampling process, which limits the generalizability of the findings. Second, no objective test was used to determine the ability of people with ABI to participate in the study. This could introduce some subjectivity, even though the research team strictly controlled it and the professionals acted on their clinical judgment based on their knowledge of the individuals with ABIs and their clinical history. Finally, there was a high percentage of experimental death, even though it was a relatively short follow-up. However, it was shown that there are no substantial differences between those who dropped out of the study and those who continued.
5. Conclusions
We have shown that satisfaction with social support, depression, community integration, and resilience are the main predictors of self-reported QoL levels in patients with ABIs. However, hardly any changes were found in these variables over the course of a year. This implies the need to implement a greater number of programs and early actions on these aspects for clinical practice, being especially important the prevention and detection programs. Furthermore, these results highlight the importance of psychological, neuropsychological, and occupational therapy interventions as a part of the care of ABI, which was limited in many cases to physical aspects. Future lines of work should include broader longitudinal follow-ups, as well as analysis of the specific effects that some of the interventions carried out in this population have on QoL.
Author Contributions
Conceptualization, A.A., M.Á.V., M.B.O., A.M.A. and M.F.; methodology, A.A. and M.B.O.; software, M.B.O.; formal analysis, M.B.O.; investigation, A.A., M.Á.V., A.M.A. and M.F.; resources, M.Á.V.; data curation, A.A. and M.B.O.; writing—original draft preparation, A.A. and M.B.O.; writing—review and editing, M.Á.V., A.M.A. and M.F; visualization, A.A.; supervision, M.Á.V.; project administration, A.A. and M.Á.V.; funding acquisition, M.Á.V. All authors have read and agreed to the published version of the manuscript.
Funding
We gratefully acknowledge the funding and support of the Spanish Ministry of Economy and Competitiveness (Grant PID2019-110127GB-I00 [MINECO/FEDER, UE]) and the fellowship provided to Alba Aza Hernández (BES-2016-078252) of the Spanish Ministry of Economy and Competitiveness.
Institutional Review Board Statement
The study was conducted according to the guidelines of the Declaration of Helsinki, and approved by the bioethics committee of the University of Salamanca (No: 20189990014185/Record: 2018/REGSAL-1931).
Informed Consent Statement
Informed consent was obtained from all subjects involved in the study.
Data Availability Statement
The data presented in this study are available on request from the corresponding author. The data are not publicly available due to the ethical demands.
Acknowledgments
We would also like to thank the people with brain injury, their families, the professionals, and the organizations for completing the questionnaires and for their support on this project.
Conflicts of Interest
The authors declare no conflict of interest.
References
- Quezada, M.Y.; Huete, A.; Bascones, L.M. Las Personas Con Daño Cerebral Adquirido En España; FEDACE y Ministerio de Salud, Seguridad Social e Igualdad: Madrid, Spain, 2015. [Google Scholar]
- Nichol, A.D.; Higgins, A.M.; Gabbe, B.J.; Murray, L.J.; Cooper, D.J.; Cameron, P.A. Measuring Functional and Quality of Life Outcomes Following Major Head Injury: Common Scales and Checklists. Injury 2011, 42, 281–287. [Google Scholar] [CrossRef]
- Soberg, H.L.; Røe, C.; Anke, A.; Arango-Lasprilla, J.C.; Skandsen, T.; Sveen, U.; Von Steinbüchel, N.; Andelic, N. Health-Related Quality of Life 12 Months after Severe Traumatic Brain Injury: A Prospective Nationwide Cohort Study. J. Rehabil. Med. 2013, 45, 785–791. [Google Scholar] [CrossRef]
- Andelic, N.; Howe, E.I.; Hellstrøm, T.; Fernández, M.; Lu, J.; Løvstad, M.; Røe, C. Disability and Quality of Life 20 Years after Traumatic Brain Injury. Brain Behav. 2018, 8, 1–10. [Google Scholar] [CrossRef]
- Azouvi, P.; Ghout, I.; Bayen, E.; Darnoux, E.; Azerad, S.; Ruet, A.; Vallat-Azouvi, C.; Pradat-Diehl, P.; Aegerter, P.; Charanton, J.; et al. Disability and Health-Related Quality-of-Life 4 Years after a Severe Traumatic Brain Injury: A Structural Equation Modelling Analysis. Brain Inj. 2016, 30, 1665–1671. [Google Scholar] [CrossRef]
- Chiang, C.C.; Guo, S.E.; Huang, K.C.; Lee, B.O.; Fan, J.Y. Trajectories and Associated Factors of Quality of Life, Global Outcome, and Post-Concussion Symptoms in the First Year Following Mild Traumatic Brain Injury. Qual. Life Res. 2016, 25, 2009–2019. [Google Scholar] [CrossRef]
- Grauwmeijer, E.; Heijenbrok-Kal, M.H.; Peppel, L.D.; Hartjes, C.J.; Haitsma, I.K.; De Koning, I.; Ribbers, G.M. Cognition, Health-Related Quality of Life, and Depression Ten Years after Moderate to Severe Traumatic Brain Injury: A Prospective Cohort Study. J. Neurotrauma 2018, 35, 1543–1551. [Google Scholar] [CrossRef]
- Lin, M.R.; Chiu, W.T.; Chen, Y.J.; Yu, W.Y.; Huang, S.J.; Tsai, M.D. Longitudinal Changes in the Health-Related Quality of Life during the First Year after Traumatic Brain Injury. Arch. Phys. Med. Rehabil. 2010, 91, 474–480. [Google Scholar] [CrossRef]
- Andelic, N.; Hammergren, N.; Bautz-Holter, E.; Sveen, U.; Brunborg, C.; Røe, C. Functional Outcome and Health-Related Quality of Life 10 Years after Moderate-to-Severe Traumatic Brain Injury. Acta Neurol. Scand. 2009, 120, 16–23. [Google Scholar] [CrossRef]
- Forslund, M.V.; Roe, C.; Sigurdardottir, S.; Andelic, N. Predicting Health-Related Quality of Life 2 Years after Moderate-to-Severe Traumatic Brain Injury. Acta Neurol. Scand. 2013, 128, 220–227. [Google Scholar] [CrossRef]
- Jacobsson, L.J.; Westerberg, M.; Lexell, J. Health-Related Quality-of-Life and Life Satisfaction 615 Years after Traumatic Brain Injuries in Northern Sweden. Brain Inj. 2010, 24, 1075–1086. [Google Scholar] [CrossRef]
- Zhang, X.; Sun, Q.; Wu, M.; Xia, G. Health-Related Quality of Life after Stroke: A 2-Year Prospective Cohort Study in Wuhan, China. Int. J. Neurosci. 2013, 123, 138–141. [Google Scholar] [CrossRef] [PubMed]
- Schalock, R.L.; Verdugo, M.A. A Conceptual and Measurement Framework to Guide Policy Development and Systems Change. J. Policy Pract. Intellect. Disabil. 2012, 9, 63–72. [Google Scholar] [CrossRef]
- Schalock, R.L. Six Ideas That Are Changing the IDD Field Internationally. Siglo Cero 2018, 49, 21–33. [Google Scholar] [CrossRef]
- Schalock, R.L.; Verdugo, M.A.; Gomez, L.E.; Reinders, H.S. Moving Us toward a Theory of Individual Quality of Life. Am. J. Intellect. Dev. Disabil. 2016, 121, 1–12. [Google Scholar] [CrossRef]
- Schalock, R.L.; Baker, A.; Claes, C.; Gonzalez, J.; Malatest, R.; van Loon, J.; Verdugo, M.A.; Wesley, G. The Use of Quality of Life Scores for Monitoring and Reporting, Quality Improvement, and Research. J. Policy Pract. Intellect. Disabil. 2018, 15, 176–182. [Google Scholar] [CrossRef]
- Emanuelson, I.; Andersson Holmkvist, E.; Björklund, R.; Stålhammar, D. Quality of Life and Post-Concussion Symptoms in Adults after Mild Traumatic Brain Injury: A Population-Based Study in Western Sweden. Acta Neurol. Scand. 2003, 108, 332–338. [Google Scholar] [CrossRef]
- Kozlowski, A.J.; Singh, R.; Victorson, D.; Miskovic, A.; Lai, J.S.; Harvey, R.L.; Cella, D.; Heinemann, A.W. Agreement between Responses from Community-Dwelling Persons with Stroke and Their Proxies on the NIH Neurological Quality of Life (Neuro-QoL) Short Forms. Arch. Phys. Med. Rehabil. 2015, 96, 1986–1992. [Google Scholar] [CrossRef]
- Bivona, U.; Costa, A.; Contrada, M.; Silvestro, D.; Azicnuda, E.; Aloisi, M.; Catania, G.; Ciurli, P.; Guariglia, C.; Caltagirone, C.; et al. Depression, Apathy and Impaired Self-Awareness Following Severe Traumatic Brain Injury: A Preliminary Investigation. Brain Inj. 2019, 33, 1245–1256. [Google Scholar] [CrossRef]
- Formisano, R.; Longo, E.; Azicnuda, E.; Silvestro, D.; D’Ippolito, M.; Truelle, J.L.; von Steinbüchel, N.; von Wild, K.; Wilson, L.; Rigon, J.; et al. Quality of Life in Persons after Traumatic Brain Injury as Self-Perceived and as Perceived by the Caregivers. Neurol. Sci. 2017, 38, 279–286. [Google Scholar] [CrossRef]
- Nestvold, K.; Stavem, K. Determinants of Health-Related Quality of Life 22 Years after Hospitalization for Traumatic Brain Injury. Brain Inj. 2009, 23, 15–21. [Google Scholar] [CrossRef]
- Scholten, A.C.; Haagsma, J.A.; Andriessen, T.M.J.C.; Vos, P.E.; Steyerberg, E.W.; Van Beeck, E.F.; Polinder, S. Health-Related Quality of Life after Mild, Moderate and Severe Traumatic Brain Injury: Patterns and Predictors of Suboptimal Functioning during the First Year after Injury. Injury 2015, 46, 616–624. [Google Scholar] [CrossRef] [PubMed]
- Brands, I.; Köhler, S.; Stapert, S.; Wade, D.; Van Heugten, C. Influence of Self-Efficacy and Coping on Quality of Life and Social Participation after Acquired Brain Injury: A 1-Year Follow-up Study. Arch. Phys. Med. Rehabil. 2014, 95, 2327–2334. [Google Scholar] [CrossRef] [PubMed]
- Grauwmeijer, E.; Heijenbrok-Kal, M.H.; Ribbers, G.M. Health-Related Quality of Life 3 Years after Moderate to Severe Traumatic Brain Injury: A Prospective Cohort Study. Arch. Phys. Med. Rehabil. 2014, 95, 1268–1276. [Google Scholar] [CrossRef] [PubMed]
- Hu, X.B.; Feng, Z.; Fan, Y.C.; Xiong, Z.Y.; Huang, Q.W. Health-Related Quality-of-Life after Traumatic Brain Injury: A 2-Year Follow-up Study in Wuhan, China. Brain Inj. 2012, 26, 183–187. [Google Scholar] [CrossRef]
- Pucciarelli, G.; Lee, C.S.; Lyons, K.S.; Simeone, S.; Alvaro, R.; Vellone, E. Quality of Life Trajectories Among Stroke Survivors and the Related Changes in Caregiver Outcomes: A Growth Mixture Study. Arch. Phys. Med. Rehabil. 2019, 100, 433–440. [Google Scholar] [CrossRef]
- Schindel, D.; Schneider, A.; Grittner, U.; Jöbges, M.; Schenk, L. Quality of Life after Stroke Rehabilitation Discharge: A 12-Month Longitudinal Study. Disabil. Rehabil. 2019, 17, 1–10. [Google Scholar] [CrossRef]
- Butsing, N.; Tipayamongkholgul, M.; Ratanakorn, D.; Suwannapong, N.; Bundhamcharoen, K. Social Support, Functional Outcome and Quality of Life among Stroke Survivors in an Urban Area. J. Pacific Rim Psychol. 2019, 13. [Google Scholar] [CrossRef]
- Verdugo, M.Á.; Fernández, M.; Gómez, L.E.; Amor, A.M.; Aza, A. Predictive Factors of Quality of Life in Acquired Brain Injury. Int. J. Clin. Health Psychol. 2019, 19, 189–197. [Google Scholar] [CrossRef]
- Tomberg, T.; Toomela, A.; Ennok, M.; Tikk, A. Changes in Coping Strategies, Social Support, Optimism and Health-Related Quality of Life Following Traumatic Brain Injury: A Longitudinal Study. Brain Inj. 2007, 21, 479–488. [Google Scholar] [CrossRef]
- Webb, C.R.; Wrigley, M.; Yoels, W.; Fine, P.R. Explaining Quality of Life for Persons with Traumatic Brain Injuries 2 Years after Injury. Arch. Phys. Med. Rehabil. 1995, 76, 1113–1119. [Google Scholar] [CrossRef]
- Ghoshchi, S.G.; De Angelis, S.; Morone, G.; Panigazzi, M.; Persechino, B.; Tramontano, M.; Capodaglio, E.; Zoccolotti, P.; Paolucci, S.; Iosa, M. Return to Work and Quality of Life after Stroke in Italy: A Study on the Efficacy of Technologically Assisted Neurorehabilitation. Int. J. Environ. Res. Public Health 2020, 17, 5233. [Google Scholar] [CrossRef] [PubMed]
- Chen, C.M.; Tsai, C.C.; Chung, C.Y.; Chen, C.L.; Wu, K.P.H.; Chen, H.C. Potential Predictors for Health-Related Quality of Life in Stroke Patients Undergoing Inpatient Rehabilitation. Health Qual. Life Outcomes 2015, 13, 1–10. [Google Scholar] [CrossRef] [PubMed]
- Von Steinbüchel, N.; Wilson, L.; Gibbons, H.; Hawthorne, G.; Höfer, S.; Schmidt, S.; Bullinger, M.; Maas, A.; Neugebauer, E.; Powell, J.; et al. Quality of Life after Brain Injury (QOLIBRI): Scale Validity and Correlates of Quality of Life. J. Neurotrauma 2010, 27, 1157–1165. [Google Scholar] [CrossRef] [PubMed]
- Vu, H.M.; Nguyen, L.H.; Tran, T.H.; Pham, K.T.H.; Phan, H.T.; Nguyen, H.N.; Tran, B.X.; Latkin, C.A.; Ho, C.S.H.; Ho, R.C.M. Effects of Chronic Comorbidities on the Health-Related Quality of Life among Older Patients after Falls in Vietnamese Hospitals. Int. J. Environ. Res. Public Health 2019, 16, 3623. [Google Scholar] [CrossRef] [PubMed]
- Shi, Y.Z.; Xiang, Y.T.; Yang, Y.; Zhang, N.; Wang, S.; Ungvari, G.S.; Chiu, H.F.K.; Tang, W.K.; Wang, Y.L.; Zhao, X.Q.; et al. Depression after Minor Stroke: The Association with Disability and Quality of Life—A 1-Year Follow-up Study. Int. J. Geriatr. Psychiatry 2016, 31, 425–431. [Google Scholar] [CrossRef]
- Liu, Z.; Zhou, X.; Zhang, W.; Zhou, L. Factors Associated with Quality of Life Early after Ischemic Stroke: The Role of Resilience. Top. Stroke Rehabil. 2019, 26, 335–341. [Google Scholar] [CrossRef]
- Rapport, L.J.; Wong, C.G.; Hanks, R.A. Resilience and Well-Being after Traumatic Brain Injury. Disabil. Rehabil. 2019, 1–7. [Google Scholar] [CrossRef]
- Goverover, Y.; Chiaravalloti, N. The Impact of Self-Awareness and Depression on Subjective Reports of Memory, Quality-of-Life and Satisfaction with Life Following TBI. Brain Inj. 2014, 28, 174–180. [Google Scholar] [CrossRef]
- Aza, A.; Verdugo, M.Á.; Orgaz, M.B.; Fernández, M.; Amor, A.M. Adaptation and Validation of the Self-Report Version of the Scale for Measuring Quality of Life in People with Acquired Brain Injury (CAVIDACE). Qual. Life Res. 2020, 29, 1107–1121. [Google Scholar] [CrossRef]
- Aza, A.; Verdugo, M.Á.; Orgaz, M.B.; Andelic, N.; Fernández, M.; Forslund, M.V. The Predictors of Proxy- and Self-Reported Quality of Life among Individuals with Acquired Brain Injury. Disabil. Rehabil. 2020. [Google Scholar] [CrossRef]
- Verdugo, M.A.; Aza, A.; Orgaz, M.B.; Fernández, M.; Amor, A.M. Longitudinal Study of Quality of Life in Acquired Brain Injury: A Self- and Proxy-Report Evaluation. Int. J. Clin. Health Psychol. in press.
- Fernández, M.; Gómez, L.E.; Arias, V.B.; Aguayo, V.; Amor, A.M.; Andelic, N.; Verdugo, M.A. A New Scale for Measuring Quality of Life in Acquired Brain Injury. Qual. Life Res. 2019, 28, 801–814. [Google Scholar] [CrossRef] [PubMed]
- Diez-Quevedo, C.; Rangil, T.; Sanchez-Planell, L.; Kroenke, K.; Spitzer, R.L. Validation and Utility of the Patient Health Questionnaire in Diagnosing Mental Disorders in 1003 General Hospital Spanish Inpatients. Psychosom. Med. 2001, 63, 679–686. [Google Scholar] [CrossRef] [PubMed]
- Prigatano, G.P.; Bruna, O.; Mataro, M.; Muñoz, J.M.; Fernández, S.; Junque, C. Initial Disturbances of Consciousness Resultant Impaired Awareness in Spanish Patient with Traumatic Brain Injury. J. Head Trauma Rehabil. 1998, 13, 29–38. [Google Scholar] [CrossRef]
- Rintala, D.H.; Novy, D.M.; Garza, H.M.; Young, M.E.; High, W.M.; Chiou-Tan, F.Y. Psychometric Properties of a Spanish-Language Version of the Community Integration Questionnaire (CIQ). Rehabil. Psychol. 2002, 47, 144–164. [Google Scholar] [CrossRef]
- Sander, A.M.; Fuchs, K.L.; High, W.M.; Hall, K.M.; Kreutzer, J.S.; Rosenthal, M. The Community Integration Questionnaire Revisited: Assessment of Factor Structure and Validity. Arch. Phys. Med. Rehabil. 1999, 80, 1303–1308. [Google Scholar] [CrossRef]
- Connor, K.M.; Davidson, J.R.T. Development of a New Resilience Scale: The Connor-Davidson Resilience Scale (CD-RISC). Depress. Anxiety 2003, 18, 76–82. [Google Scholar] [CrossRef]
- Sarason, I.G.; Sarason, B.R.; Shearin, E.N.; Pierce, G.R. A Brief Measure of Social Support: Practical and Theoretical Implications. J. Soc. Pers. Relatsh. 1987, 4, 497–510. [Google Scholar] [CrossRef]
- Cohen, J. Statistical Power Analysis for the Behavioral Sciences, 2nd ed.; Laurence Earlbaum Associates: Hillsdale, NJ, USA, 1988. [Google Scholar] [CrossRef]
- Gómez, L.E.; Verdugo, M.Á.; Arias, B.; Navas, P.; Schalock, R.L. The Development and Use of Provider Profiles at the Organizational and Systems Level. Eval. Program Plan. 2013, 40, 17–26. [Google Scholar] [CrossRef]
- Willemse-van Son, A.H.P.; Ribbers, G.M.; Hop, W.C.J.; Stam, H.J. Community Integration Following Moderate to Severe Traumatic Brain Injury: A Longitudinal Investigation. J. Rehabil. Med. 2009, 41, 521–527. [Google Scholar] [CrossRef]
- Verdugo, M.Á. Conceptos Clave Que Explican Los Cambios En Las Discapacidades Intelectuales y Del Desarrollo En España. Siglo Cero 2018, 49, 35. [Google Scholar] [CrossRef]
- Casas, D.G.; Cisneros, L.V.D.; Román, C.G. The Influence of Community Social Support in the Quality of Life of People with Disabilities. Siglo Cero 2020, 51, 83–103. [Google Scholar] [CrossRef]
- Marwitz, J.H.; Sima, A.P.; Kreutzer, J.S.; Dreer, L.E.; Bergquist, T.F.; Zafonte, R.; Johnson-Greene, D.; Felix, E.R. Longitudinal Examination of Resilience after Traumatic Brain Injury: A Traumatic Brain Injury Model Systems Study. Arch. Phys. Med. Rehabil. 2018, 99, 264–271. [Google Scholar] [CrossRef] [PubMed]
- Lam, K.H.; Blom, E.; Kwa, V.I.H. Predictors of Quality of Life 1 Year after Minor Stroke or TIA: A Prospective Single-Centre Cohort Study. BMJ Open 2019, 9, 1–6. [Google Scholar] [CrossRef]
- Tsyben, A.; Guilfoyle, M.; Timofeev, I.; Anwar, F.; Allanson, J.; Outtrim, J.; Menon, D.; Hutchinson, P.; Helmy, A. Spectrum of Outcomes Following Traumatic Brain Injury—Relationship between Functional Impairment and Health-Related Quality of Life. Acta Neurochir. 2018, 160, 107–115. [Google Scholar] [CrossRef] [PubMed]
- Matérne, M.; Strandberg, T.; Lundqvist, L.O. Change in Quality of Life in Relation to Returning to Work after Acquired Brain Injury: A Population-Based Register Study. Brain Inj. 2018, 32, 1731–1739. [Google Scholar] [CrossRef]
- Chuluunbaatar, E.; Chou, Y.J.; Pu, C. Quality of Life of Stroke Survivors and Their Informal Caregivers: A Prospective Study. Disabil. Health J. 2016, 9, 306–312. [Google Scholar] [CrossRef]
- Cariello, A.N.; Perrin, P.B.; Rodríguez-Agudelo, Y.; Plaza, S.L.O.; Quijano-Martinez, M.C.; Arango-Lasprilla, J.C. A Multi-Site Study of Traumatic Brain Injury in Mexico and Colombia: Longitudinal Mediational and Cross-Lagged Models of Family Dynamics, Coping, and Health-Related Quality of Life. Int. J. Environ. Res. Public Health 2020, 17, 6045. [Google Scholar] [CrossRef]
- González, E.; Gómez, L.E.; Alcedo, M.Á. Enfermedades Raras y Discapacidad Intelectual: Evaluación de La Calidad de Vida de Niños y Jóvenes. Siglo Cero 2016, 47, 7. [Google Scholar] [CrossRef]
- Zhu, W.; Jiang, Y. Determinants of Quality of Life in Patients with Hemorrhagic Stroke: A Path Analysis. Medicine 2019, 98, e13928. [Google Scholar] [CrossRef]
Publisher’s Note: MDPI stays neutral with regard to jurisdictional claims in published maps and institutional affiliations. |
© 2021 by the authors. Licensee MDPI, Basel, Switzerland. This article is an open access article distributed under the terms and conditions of the Creative Commons Attribution (CC BY) license (http://creativecommons.org/licenses/by/4.0/).