Pure-Tone Hearing Thresholds and Otoacoustic Emissions in Students of Music Academies
Abstract
1. Introduction
- compare music students as regards hearing with their peers who were not occupationally exposed to noise and did not play music instruments, and answer whether or not playing instruments is associated with a higher risk of NIHL,
- examine if intensity of music exposure or the type of instrument being played had an impact on hearing status evaluated using conventional pure-tone audiometry as well as transient-evoked otoacoustic emissions and distortion-product otoacoustic emissions.
2. Materials and Methods
2.1. Hearing Tests
2.2. Questionnaire Surveys
2.3. Evaluation of Exposure to Sounds
2.4. Statistical Analysis
3. Results
3.1. Study Groups Characteristics
3.2. Evaluation of Exposure to Music
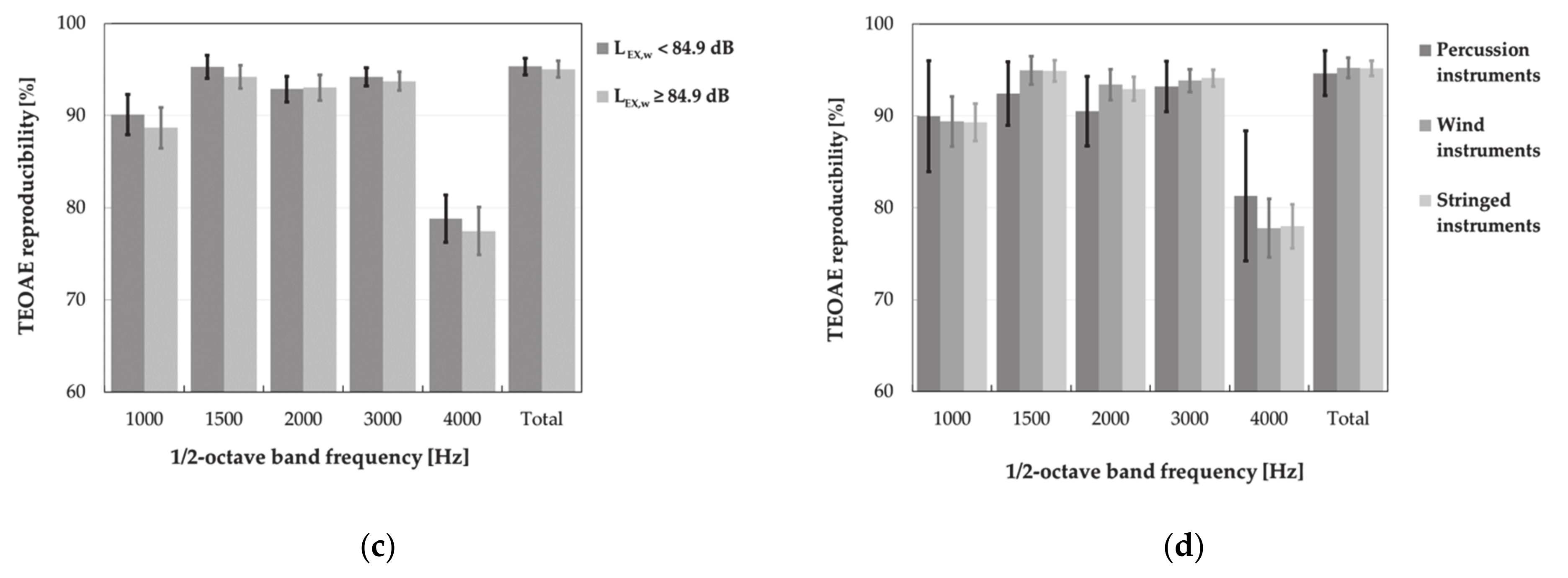
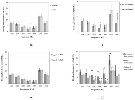
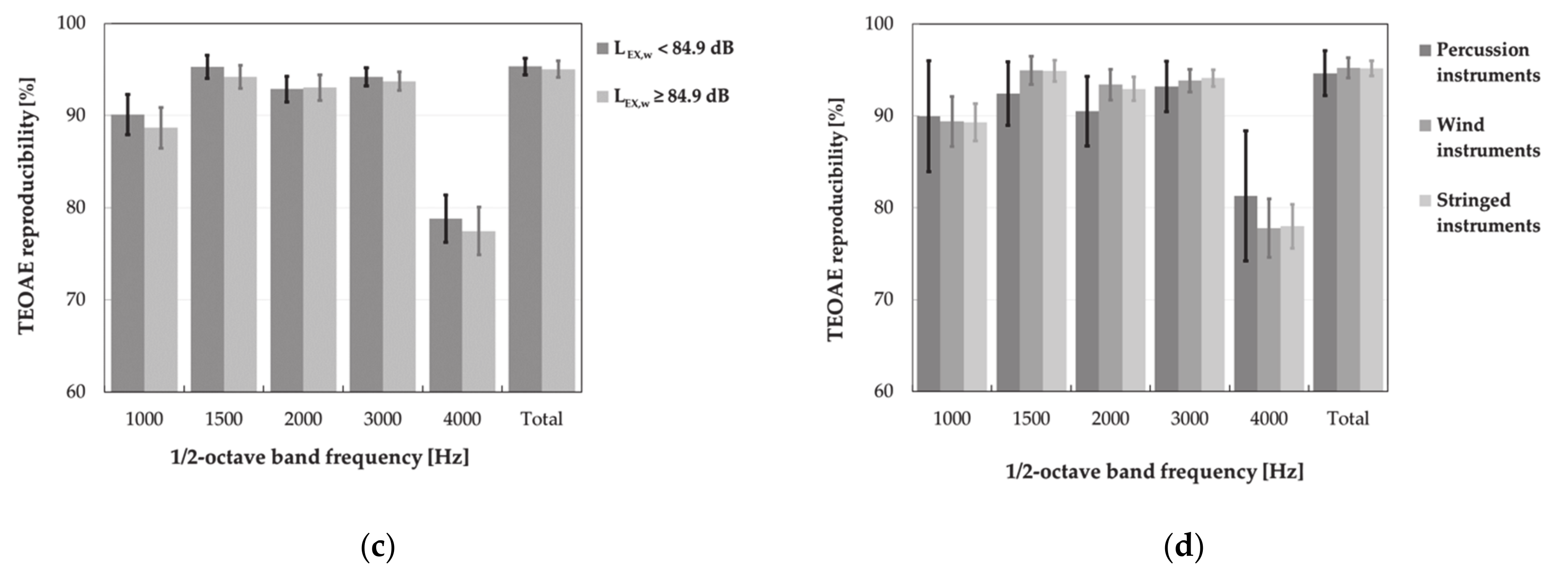
3.3. Results of Hearing Examinations
3.3.1. Pure-Tone Audiometry
3.3.2. Otoacoustic Emissions
4. Discussion
5. Conclusions
Author Contributions
Funding
Institutional Review Board Statement
Informed Consent Statement
Data Availability Statement
Conflicts of Interest
References
- Axelsson, A.; Lindgren, F. Hearing in classical musicians. Acta Otolaryngol. Suppl. 1981, 377, 3–74. [Google Scholar] [CrossRef] [PubMed]
- Karlsson, K.; Lundquist, P.G.; Olaussen, T. The hearing of symphony orchestra musicians. Scand. Audiol. 1983, 12, 257–264. [Google Scholar] [CrossRef] [PubMed]
- Ostri, B.; Eller, N.; Dahlin, E.; Skylv, G. Hearing Impairment in Orchestral Musicians. Scand. Audiol. 1989, 18, 243–249. [Google Scholar] [CrossRef] [PubMed]
- Royster, J.D.; Royster, L.H.; Killion, M.C. Sound exposures and hearing thresholds of symphony orchestra musicians. J. Acoust. Soc. Am. 1991, 89, 2793–2803. [Google Scholar] [CrossRef]
- Obeling, L.; Poulsen, T. Hearing ability in Danish symphony orchestra musicians. Noise Health 1999, 1, 43–49. [Google Scholar]
- Kähäri, K.R.; Axelsson, A.; Hellström, P.A.; Zachau, G. Hearing development in classical orchestral musicians. A follow-up study. Scand. Audiol. 2001, 30, 141–149. [Google Scholar] [CrossRef]
- Kähäri, K.; Zachau, G.; Eklöf, M.; Sandsjö, L.; Möller, C. Assessment of hearing and hearing disorders in rock/jazz musicians. Int. J. Audiol. 2003, 42, 279–288. [Google Scholar] [CrossRef]
- Emmerich, E.; Rudel, L.; Richter, F. Is the audiologic status of professional musicians a reflection of the noise exposure in classical orchestral music? Eur. Arch. Otorhinolaryngol. 2008, 265, 753–758. [Google Scholar] [CrossRef]
- Jansen, E.J.; Helleman, H.W.; Dreschler, W.A.; de Laat, J.A. Noise induced hearing loss and other hearing complaints among musicians of symphony orchestras. Int. Arch. Occup. Environ. Health 2009, 82, 153–164. [Google Scholar] [CrossRef]
- Zhao, F.; Manchaiah, V.K.; French, D.; Price, S.M. Music exposure and hearing disorders: An overview. Int. J. Audiol. 2010, 49, 54–64. [Google Scholar] [CrossRef]
- Toppila, E.; Koskinen, H.; Pyykkö, I. Hearing loss among classical-orchestra musicians. Noise Health 2011, 13, 45–50. [Google Scholar] [CrossRef] [PubMed]
- Pawlaczyk-Łuszczyńska, M.; Zamojska, M.; Dudarewicz, A.; Zaborowski, K. Noise-induced hearing loss in professional orchestral musicians. Arch. Acoust. 2013, 32, 223–234. [Google Scholar] [CrossRef][Green Version]
- Di Stadio, A.; Dipietro, L.; Ricci, G.; Della Volpe, A.; Minni, A.; Greco, A.; de Vincentiis, M.; Ralli, M. Hearing Loss, Tinnitus, Hyperacusis, and Diplacusis in Professional Musicians: A Systematic Review. Int. J. Environ. Res. Public Health 2018, 15, 2120. [Google Scholar] [CrossRef] [PubMed]
- International Organization for Standardization. ISO 1999:2013 Acoustics—Estimation of Noise-Induced Hearing Loss; International Organization for Standardization: Geneva, Switzerland, 2013. [Google Scholar]
- Laitinen, H.M.; Toppila, E.M.; Olkinuora, P.S.; Kuisma, K. Sound exposure among the Finnish National Opera personnel. Appl. Occup. Environ. Hyg. 2003, 18, 177–182. [Google Scholar] [CrossRef]
- O’Brien, I.; Wilson, W.; Bradley, A. Nature of orchestral noise. J. Acoust. Soc. Am. 2008, 124, 926–939. [Google Scholar] [CrossRef] [PubMed]
- Schmidt, J.H.; Pedersen, E.R.; Juhl, P.M.; Christensen-Dalsgaard, J.; Andersen, T.D.; Poulsen, T.; Bælum, J. Sound exposure of symphony orchestra musicians. Ann Occup Hyg. 2011, 55, 893–905. [Google Scholar] [CrossRef]
- Pawlaczyk-Łuszczyńska, M.; Dudarewicz, A.; Zamojska, M.; Śliwinska-Kowalska, M. Evaluation of sound exposure and risk of hearing impairment in orchestral musicians. Int. J. Occup. Saf. Ergon. 2011, 17, 255–269. [Google Scholar] [CrossRef]
- Phillips, S.L.; Mace, S. Sound level measurements in music practice rooms. Music Perform. Res. 2008, 2, 36–47. [Google Scholar]
- Gopal, K.V.; Chesky, K.; Beschoner, E.A.; Nelson, P.D.; Stewart, B.J. Auditory risk assessment of college music students in jazz band-based instructional activity. Noise Health 2013, 15, 246–252. [Google Scholar] [CrossRef]
- Washnik, N.J.; Phillips, S.L.; Teglas, S. Student’s Music Exposure: Full-day Personal Dose Measurements. Noise Health 2016, 18, 98–103. [Google Scholar] [CrossRef]
- Kotyło, P.; Śliwińska-Kowalska, M. Otoacoustic emissions in noise-induced hearing loss monitoring. Otorhinolaryngology 2014, 13, 67–76. (In Polish) [Google Scholar]
- Lapsley Miller, J.A.; Marshall, L.; Heller, L.M.; Hughes, L.M. Low-level Otoacoustic Emissions May Predict Susceptibility to Noise-Induced Hearing Loss. J. Acoust. Soc. Am. 2006, 120, 280–296. [Google Scholar] [CrossRef] [PubMed]
- Hamdan, A.L.; Abouchacra, K.S.; Zeki Al Hazzouri, A.G.; Zaytoun, G. Transient-evoked Otoacoustic Emissions in a Group of Professional Singers Who Have Normal Pure-Tone Hearing Thresholds. Ear Hear 2008, 29, 360–377. [Google Scholar] [CrossRef] [PubMed]
- Lüders, D.; Gonçalves, C.G.; Lacerda, A.B.; Ribas, Â.; de Conto, J. Music students: Conventional hearing thresholds and at high frequencies. Braz. J. Otorhinolaryngol. 2014, 80, 296–304. [Google Scholar] [CrossRef]
- Phillips, S.L.; Henrich, V.C.; Mace, S.T. Prevalence of noise-induced hearing loss in student musicians. Int. J. Audiol. 2010, 49, 309–316. [Google Scholar] [CrossRef]
- Barlow, C. Evidence of noise-induced hearing loss in young people studying popular music. Med. Probl. Perform. Art. 2011, 26, 96–101. [Google Scholar] [CrossRef]
- Henning, R.L.; Bobholz, K. Distortion product otoacoustic emissions in college music majors and nonmusic majors. Noise Health 2016, 18, 10–20. [Google Scholar] [CrossRef]
- Meijer, A.G.; Wit, H.P.; Tenvergert, E.M.; Albers, F.W.; Muller Kobold, J.E. Reliability and validity of the (modified) Amsterdam Inventory for Auditory Disability and Handicap. Int. J. Audiol. 2003, 42, 220–226. [Google Scholar] [CrossRef]
- Pawlaczyk-Łuszczyńska, M.; Zamojska-Daniszewska, M.; Dudarewicz, A.; Zaborowski, K. Exposure to Excessive Sounds and Hearing Status in Academic Classical Music Students. Int. J. Occup. Med. Environ. Health 2017, 30, 55–75. [Google Scholar] [CrossRef]
- PN-N-01307:1994 Noise. Permissible Values of Noise in the Workplace. Requirements Relating to Measurements; Polish Committee for Standardization: Warszawa, Poland, 1994. (In Polish)
- PN-EN ISO 9612:2011 Acoustics—Determination of Occupational Noise Exposure—Engineering Method; Polish Committee for Standardization: Warszawa, Poland, 2011. (In Polish)
- The Decree Issued by the Minister of Family, Labor and Social Policy of June 12, 2018 on Maximum Admissible Concentration and Maximum Admissible Intensity Values for Agents Harmful to Human Health in the Work Environment. Available online: http://isap.sejm.gov.pl/isap.nsf/DocDetails.xsp?id=WDU20180001286&SessionID=587937A8484AEB24EF2939C507B3606A0B0DD70C (accessed on 28 January 2021).
- Directive 2003/10/EC of European Parliament and of the Council of 6 February 2003 on the Minimum Health and Safety Requirements Regarding the Exposure of Workers to the Risks Arising from Physical Agents (Noise) (17th Individual Directive within the Meaning of Article 16(1) of Directive 89/391/EEC). Available online: https://eur-lex.europa.eu/LexUriServ/LexUriServ.do?uri=OJ:L:2003:042:0038:0044:EN:PDF (accessed on 28 January 2021).
- NIOSH. NIOSH Criteria for Recommended Standard Occupational Noise Exposure, Revised Criteria. 1998. Available online: https://www.cdc.gov/niosh/docs/98-126/ (accessed on 30 May 2020).
- Śliwińska-Kowalska, M.; Dudarewicz, A.; Kotyło, P.; Zamysłowska-Szmytke, E.; Pawlaczyk-Łuszczyńska, M.; Gajda-Szadkowska, A. Individual susceptibility to noise-induced hearing loss: Choosing an optimal method of retrospective classification of workers into noise-susceptible and noise-resistant groups. Int. J. Occup. Med. Environ. Health 2006, 19, 235–245. [Google Scholar] [CrossRef]
- Poissant, S.F.; Freyman, R.L.; MacDonald, A.J.; Nunes, H.A. Characteristics of noise exposure during solitary trumpet playing: Immediate impact on distortion-product otoacoustic emissions and long-term implications for hearing. Ear Hear 2012, 33, 543–553. [Google Scholar] [CrossRef] [PubMed]
- Samelli, A.G.; Matas, C.G.; Carvallo, R.M.M.; Gomes, R.F.; de Beija, C.S.; Magliaro, F.C.L.; Rabelo, C.M. Audiological and Electrophysiological Assessment of Professional Pop/Rock Musicians. Noise Health 2012, 14, 6–12. [Google Scholar] [CrossRef] [PubMed]
- Maia, J.R.F.; Russo, I.C.P. Study of the Hearing of Rock and Roll Musicians. Pro Fono 2008, 20, 49–54. [Google Scholar] [CrossRef] [PubMed][Green Version]
- Santoni, C.B.; Fiorini, A.C. Pop-rock Musicians: Assessment of Their Satisfaction Provided by Hearing Protectors. Braz. J. Otorhinolaryngol. 2010, 76, 454–461, (In English and Portuguese). [Google Scholar] [CrossRef] [PubMed]
- Høydal, E.H.; Størmer, C.C.L.; Laukli, E.; Stenklev, N.C. Transient evoked otoacoustic emissions in rock musicians. Int. J. Audiol. 2017, 56, 685–691. [Google Scholar] [CrossRef]
- Mc Fadden, D.; Martin, G.K.; Stagner, B.B.; Maloney, M.M. Sex differences in distortion-product and transient-evoked otoacoustic emissions compared. J. Acoust. Soc. Am. 2009, 125, 239–246. [Google Scholar] [CrossRef]












| Instrument | A-Weighted Equivalent Continuous SPL [dB] | A-Weighted Maximum SPL [dB] | C-Weighted Peak SPL [dB] |
|---|---|---|---|
| M ± SD [L]/Me | M ± SD/Me | ||
| Percussion (n = 18) | 98.7 ± 7.8 [107.0]/95.9 | 106.4 ± 14.7/109.0 | 133.7 ± 7.2/133.1 |
| Saxophone (n = 9) | 96.8 ± 1.7 [97.1]/97.1 | 114.7 ± 10.4/110.3 | 122.9 ± 5.1/122.5 |
| Flute (n = 6) | 94.7 ± 4.1 [96.4]/93.9 | 107.1 ± 2.2/106.9 | 122.1 ± 3.0/121.6 |
| Trumpet (n = 11) | 94.2 ± 2.8 [95.0]/93.9 | 109.0 ± 7.2/107.5 | 123.7 ± 10.2/123.9 |
| Bassoon (n = 5) | 93.9 ± 0.9 [93.9]/93.7 | 100.9 ± 1.4/101.6 | 114.6 ± 0.7/114.5 |
| Horn (n = 5) | 93.4 ± 3.2 [94.1]/94.8 | 107.9 ± 1.2/107.5 | 122.0 ± 1.5/122.0 |
| Tuba (n = 2) | 93.0 ± 0.1 [93.0]/93.0 | 103.7 ± 3.7/103.7 | 129.3 ± 0.6/129.3 |
| Trombone (n = 7) | 92.9 ± 5.1 [95.3]/91.8 | 105.5 ± 4.9/107.5 | 123.6 ± 4.5/123.0 |
| Clarinet (n = 7) | 90.9 ± 3.5 [92.4]/89.6 | 103.7 ± 4.2/105.2 | 121.2 ± 6.3/123.5 |
| Viola (n = 4) | 88.1 ± 2.5 [88.5]/88.7 | 99.8 ± 4.0/100.4 | 125.7 ± 8.2/121.8 |
| Oboe (n = 3) | 87.1 ± 0.7 [87.1]/86.9 | 98.5 ± 0.4/98.3 | 121.4 ± 10.1/122.9 |
| Accordion (n = 6) | 86.7 ± 4.4 [88.5]/85.9 | 108.0 ± 11.8/105.1 | 125.7 ± 13.3/120.1 |
| Violin (n = 20) | 85.8 ± 4.2 [87.4]/86.0 | 97.7 ± 3.7/97.7 | 116.3 ± 18.1/118.4 |
| Harp (n = 4) | 85.5 ± 0.6 [85.5]/85.5 | 99.8 ± 3.0/100.8 | 123.7 ± 4.7/122.3 |
| Organ (n = 1) | 83.5 ± 0.0 [83.5]/83.5 | 94.5 ± 0.0/94.5 | 106.7 ± 0.0/106.7 |
| Cello (n = 6) | 83.3 ± 4.7 [85.2]/83.4 | 97.1 ± 6.9/97.8 | 123.0 ± 12.1/123.7 |
| Double bass (n = 8) | 82.7 ± 5.2 [86.1]/82.1 | 93.6 ± 4.1/92.6 | 120.2 ± 8.6/121.0 |
| Piano (n = 12) | 82.0 ± 2.8 [82.7]/82.4 | 94.4 ± 5.4/93.9 | 123.8 ± 8.6/123.0 |
| Guitar (n = 2) | 73.0 ± 4.2 [73.9]/73.0 | 89.3 ± 1.2/89.3 | 119.4 ± 4.2/119.4 |
| Total (n = 136) | 89.9 ± 7.4 [99.1]/90.3 | 102.5 ± 9.5/102.2 | 123.0 ± 10.9/123.2 |
| Instrument | A-Weighted Equivalent Continuous SPL [dB] | A-Weighted Maximum SPL [dB] | C-Weighted Peak SPL [dB] |
|---|---|---|---|
| M ± SD [L]/Me | M ± SD/Me | ||
| Trumpet (n = 13) | 98.6 ± 2.0 [99.1]/98.6 | 115.2 ± 7.1/112.8 | 130.4 ± 7.8/127.2 |
| Saxophone (n = 10) | 98.1 ± 3.3 [99.2]/98.3 | 111.0 ± 7.7/109.3 | 129.6 ± 8.5/130.8 |
| Trombone (n = 11) | 96.8 ± 3.2 [98.0]/95.7 | 104.5 ± 31.9/110.4 | 132.4 ± 8.6/129.6 |
| Horn (n = 3) | 94.8 ± 2.0 [95.1]/95.9 | 115.1 ± 14.1/107.9 | 127.0 ± 3.0/127.1 |
| Tuba (n = 10) | 93.7 ± 2.3 [94.2]/93.7 | 110.3 ± 3.6/110.2 | 132.7 ± 9.1/130.0 |
| Percussion (n = 8) | 91.0 ± 4.4 [93.7]/90.0 | 112.6 ± 4.1/113.0 | 136.7 ± 3.4/135.0 |
| Clarinet (n = 8) | 90.2 ± 1.8 [90.5]/90.1 | 104.2 ± 3.3/103.8 | 123.8 ± 4.7/122.3 |
| Flute (n = 9) | 88.8 ± 5.1 [91.3]/89.8 | 102.6 ± 6.3/102.8 | 122.2 ± 9.0/122.4 |
| Bassoon (n = 3) | 87.8 ± 5.7 [90.4]/85.6 | 98.9 ± 5.5/96.5 | 118.7 ± 2.2/117.6 |
| Piano (n = 13) | 86.6 ± 5.2 [90.5]/85.2 | 100.6 ± 6.2/100.7 | 127.4 ± 9.2/126.3 |
| Oboe (n = 8) | 86.3 ± 2.1 [86.7]/85.8 | 100.8 ± 3.6/100.5 | 129.1 ± 9.0/130.1 |
| Violin (n = 17) | 84.6 ± 3.4 [85.8]/84.5 | 98.4 ± 3.2/99.3 | 124.8 ± 6.7/126.0 |
| Viola (n = 12) | 84.0 ± 2.3 [84.6]/83.9 | 97.9 ± 2.9/98.3 | 125.0 ± 8.4/127.4 |
| Accordion (n = 4) | 80.3 ± 5.8 [82.6]/81.0 | 98.9 ± 3.3/98.1 | 128.9 ± 4.6/127.9 |
| Cello (n = 13) | 79.5 ± 2.6 [80.2]/79.2 | 95.9 ± 3.7/95.2 | 126.4 ± 6.6/124.8 |
| Double bass (n = 7) | 78.9 ± 5.4 [82.3]/78.3 | 98.3 ± 6.6/96.3 | 127.1 ± 3.2/127.4 |
| Guitar (n = 7) | 78.8 ± 9.7 [90.3]/73.4 | 94.0 ± 7.7/93.1 | 123.2 ± 7.7/124.7 |
| Total (n = 157) | 88.4 ± 7.6 [93.8]/87.9 | 103.3 ± 11.5/102.8 | 127.7 ± 8.1/127.3 |
| Trumpet (n = 13) | 98.6 ± 2.0 [99.1]/98.6 | 115.2 ± 7.1/112.8 | 130.4 ± 7.8/127.2 |
| Saxophone (n = 10) | 98.1 ± 3.3 [99.2]/98.3 | 111.0 ± 7.7/109.3 | 129.6 ± 8.5/130.8 |
| Total (n = 136) | 89.9 ± 7.4 [99.1]/90.3 | 102.5 ± 9.5/102.2 | 123.0 ± 10.9/123.2 |
| Frequency [Hz] | Music Students | Control Group | Music Students | Control Group | Music Students | Control Group |
|---|---|---|---|---|---|---|
| Both Ears | Left Ear | Right Ear | ||||
| Hearing Threshold Level [dB HL] | ||||||
| 250 | 13.6 ± 6.0 a | 16.7 ± 6.3 a | 13.5 ± 5.8 a | 17.1 ± 7.0 a | 13.8 ± 6.3 a | 16.3 ± 5.5 a |
| 500 | 13.3 ± 5.5 a | 14.7 ± 5.2 a | 13.1 ± 5.5 a | 15.0 ± 4.9 a | 13.4 ± 5.5 | 14.3 ± 5.4 |
| 1000 | 7.3 ± 4.7 a | 8.7 ± 6.0 a | 6.8 ± 4.5 a b | 8.7 ± 6.2 a | 7.9 ± 4.9 b | 8.7 ± 5.7 |
| 1500 | 5.9 ± 5.3 a | 8.2 ± 6.3 a | 6.1 ± 5.6 a | 8.3 ± 6.8 a | 5.6 ± 5.0 a | 8.1 ± 5.8 a |
| 2000 | 3.6 ± 5.5 a | 5.6 ± 6.0 a | 3.7 ± 5.8 a | 6.1 ± 6.5 a | 3.5 ± 5.3 a | 5.0 ± 5.4 a |
| 3000 | 2.5 ± 5.9 a | 4.7 ± 7.4 a | 2.4 ± 5.9 a | 5.1 ± 8.5 a | 2.5 ± 6.0 a | 4.4 ± 6.1 a |
| 4000 | 2.3 ± 7.2 | 2.9 ± 7.1 | 3.2 ± 7.3 b | 4.2 ± 8.4 c | 1.5 ± 7.1 b | 1.6 ± 5.4 c |
| 6000 | 11.1 ± 9.0 | 11.0 ± 9.9 | 11.3 ± 8.9 | 12.2 ± 11.3 | 10.9 ± 9.1 | 9.9 ± 8.2 |
| 8000 | 7.4 ± 9.4 | 8.1 ± 9.8 | 6.9 ± 9.7 | 8.1 ± 10.4 | 7.9 ± 9.0 | 8.1 ± 9.2 |
| Pure Tone Audiometry | Music Students | Control Group |
|---|---|---|
| Proportion (95% CI) [%] | ||
| Speech-frequency hearing loss | ||
| right ear | 0.6 (0.0–3.7) | 1.5 (0.0–8.8) |
| left ear | 0.6 (0.0–3.7) a | 4.5 (1.1–13.0) a |
| bilateral | 0.0 (0.0–2.8) | 1.5 (0.0–8.8) |
| total | 0.6 (0.0–2.3) a | 3.0 (0.9–7.8) a |
| High-frequency hearing loss | ||
| right ear | 2.5 (0.8–6.4) | 1.5 (0.0–8.8) |
| left ear | 1.8 (0.4–5.6) | 6.0 (2.0–14.9) |
| bilateral | 0.6 (0.0–2.3) | 3.0 (0.9–7.8) |
| total | 2.1 (0.9–4.4) | 3.7 (1.4–8.7) |
| High- frequency notching | ||
| right ear at 4 or 6 kHz | 13.5 (9.1–19.7) | 6.0 (2.0–14.9) |
| left ear at 4 or 6 kHz | 13.5 (9.1–19.7) | 11.9(6.0–22.2) |
| bilateral at 4 or 6 kHz | 4.9 (2.4–9.5) | 1.5 (0.0–8.8) |
| total at 4 or 6 kHz | 13.5 (10.2–17.7) | 9.0 (5.1–15.2) |
| Criterion of Presence of OAEs | Control Group | Music Students | Control Group | Music Students |
|---|---|---|---|---|
| Proportion of Ears (95% CI) [%] | Proportion of Persons a (95% CI) [%] | |||
| TEOAE – total response SNR > 6 dB reproducibility > 60% | 91.0 (84.8–94.9) 100.0 (96.6–100.0) | 86.8 (82.7–90.1) 99.4 (97.6–100.0) | 88.1 (77.8–94.0) 100.0 (93.3–100.0) | 82.4 (75.8–87.5) 98.8 (95.3–99.9) |
| TEOAE – all bands SNR > 6 dB reproducibility > 60% | 56.0 (47.5–64.1) 85.1 (78.0–90.2) | 46.6 (41.3–52.0) 85.3 (81.0–88.7) | 46.3 (34.9–58.1) 76.1 (64.5–84.8) | 33.7 (26.9–41.3) 75.5 (68.3–81.4) |
| DPOAE – all frequencies SNR > 6 dB | 88.1 (81.3–92.6) | 84.4 (80.0–87.9) | 82.1 (71.0–89.5) | 76.1 (68.9–82.0) |
| Criterion of Absence of OAEs | Control Group | Music Students | Control Group | Music Students |
|---|---|---|---|---|
| Proportion of Ears (95% CI) [%] | Proportion of Persons a (95% CI) [%] | |||
| TEOAE–for at least one frequency band | ||||
| SNR ≤ 6 dB reproducibility ≤ 60% | 44.0 (35.9–52.5) 14.2 (9.2–21.2) | 53.4 (48.0–58.7) 14.7 (11.3–19.0) | 53.7 (41.9–65.1) 23.9 (15.2–35.5) | 66.1 (58.5–72.8) 24.5 (18.6–31.7) |
| DPOAE–for at least one frequency | ||||
| SNR ≤ 6 dB | 11.9 (7.4–18.7) | 17.3 (13.6–21.8) | 17.9 (10.5–29.0) | 25.5 (19.4–32.7) |
| Frequency [Hz] | Both Ears | Left Ear | Right Ear | |||
|---|---|---|---|---|---|---|
| Music Students | Control Group | Music Students | Control Group | Music Students | Control Group | |
| Amplitude [dB] | ||||||
| 1000 | −1.3 ± 5.1 | −0.3 ± 5.0 | −1.7 ± 5.2 b | −0.6 ± 5.1 | −0.9 ± 4.9 b | 0.0 ± 4.9 |
| 1500 | 3.8 ± 5.4 | 4.9 ± 5.2 | 3.5 ± 5.3 b | 4.7 ± 5.2 c | 4.2 ± 5.6 b | 5.0 ± 5.3 c |
| 2000 | 3.7 ± 5.3 | 4.1 ± 5.5 | 3.7 ± 5.2 | 3.7 ± 5.8 | 3.7 ± 5.4 | 4.6 ± 5.2 |
| 3000 | 2.2 ± 4.9 | 2.2 ± 5.0 | 2.2 ± 4.6 | 2.4 ± 5.2 | 2.2 ± 5.2 | 2.1 ± 4.9 |
| 4000 | −1.6 ± 5.6 | −1.7 ± 5.0 | −1.6 ± 5.6 | −1.8 ± 5.0 | −1.6 ± 5.7 | −1.6 ± 5.0 |
| Total response | 8.7 ± 4.7 | 9.2 ± 4.8 | 8.5 ± 4.5 | 9.1 ± 4.9 | 8.9 ± 4.9 | 9.4 ± 4.7 |
| Signal-to-noise ratio [dB] | ||||||
| 1000 | 8.4 ± 4.8 a | 9.4 ± 4.8 a | 8.1 ± 5.1 | 9.2 ± 4.9 | 8.7 ± 4.6 | 9.6 ± 4.6 |
| 1500 | 12.5 ± 5.2 | 13.4 ± 4.8 | 12.2 ± 5.1 | 13.3 ± 4.8 | 12.8 ± 5.3 | 13.4 ± 4.9 |
| 2000 | 11.1 ± 4.9 | 11.4 ± 5.1 | 11.1 ± 4.8 | 10.8 ± 5.3 | 11.1 ± 5.1 | 11.9 ± 4.8 |
| 3000 | 9.0 ± 4.7 | 8.9 ± 4.7 | 8.9 ± 4.4 | 8.9 ± 4.8 | 9.0 ± 5.0 | 8.8 ± 4.7 |
| 4000 | 9.6 ± 3.9 | 9.2 ± 3.8 | 9.5 ± 4.0 | 9.3 ± 3.9 | 9.8 ± 3.8 | 9.1 ± 3.7 |
| Total response | 11.4 ± 4.4 | 11.9 ± 4.4 | 11.3 ± 4.2 | 11.7 ± 4.4 | 11.6 ± 4.5 | 12.0 ± 4.3 |
| Reproducibility [%] | ||||||
| 1000 | 89.4 ± 14.0 | 92.2 ± 10.0 | 87.9 ± 16.3 b | 92.0 ± 10.5 | 90.8 ± 11.0 b | 92.4 ± 9.4 |
| 1500 | 94.7 ± 8.1 | 95.3 ± 6.8 | 94.4 ± 9.2 | 95.5 ± 7.9 | 95.1 ± 6.8 | 95.2 ± 5.6 |
| 2000 | 92.9 ± 8.8 | 93.1 ± 9.5 | 92.6 ± 9.2 | 91.9 ± 12.2 | 93.2 ± 8.3 | 94.2 ± 5.3 |
| 3000 | 94.0 ± 6.4 | 93.6 ± 5.3 | 93.5 ± 7.7 | 93.7 ± 5.5 | 94.4 ± 4.6 | 93.5 ± 5.1 |
| 4000 | 78.1 ± 16.5 | 76.8 ± 15.4 | 77.4 ± 16.5 | 77.3 ± 14.1 | 78.9 ± 16.5 | 76.2 ± 16.7 |
| Total response | 95.2 ± 5.7 | 95.3 ± 4.8 | 94.8 ± 6.7 | 95.4 ± 5.0 | 95.6 ± 4.3 | 95.3 ± 4.7 |
| Corrected amplitude d [dB] | ||||||
| 1000 | 1.6 ± 3.5 | 1.7 ± 3.8 | 1.5 ± 3.5 | 1.3 ± 3.9 | 1.7 ± 3.5 | 2.2 ± 3.8 |
| 1500 | 5.0 ± 4.4 | 5.3 ± 4.8 | 4.8 ± 4.1 b | 5.2 ± 4.6 | 5.3 ± 4.7 b | 5.4 ± 4.9 |
| 2000 | 5.4 ± 3.9 | 5.8 ± 4.2 | 5.3 ± 3.9 | 5.7 ± 4.5 | 5.5 ± 4.0 | 5.8 ± 4.0 |
| 3000 | 4.4 ± 3.6 | 4.2 ± 3.8 | 4.1 ± 3.5 | 4.4 ± 4.0 | 4.7 ± 3.7 | 4.0 ± 3.6 |
| 4000 | −0.4 ± 5.1 | −0.4 ± 4.2 | −0.4 ± 5.1 | −0.5 ± 4.3 | −0.4 ± 5.0 | −0.4 ± 4.2 |
| Total response | 9.9 ± 3.6 | 10.1 ± 4.1 | 9.7 ± 3.5 | 9.9 ± 4.3 | 10.1 ± 3.8 | 10.2 ± 3.9 |
| Frequency f2 [Hz] | Both Ears | Left Ear | Right Ear | |||
|---|---|---|---|---|---|---|
| Music Students | Control Group | Music Students | Control Group | Music Students | Control Group | |
| Amplitude [dB] | ||||||
| 750 | 4.2 ± 5.9 | 4.5 ± 6.0 | 4.4 ± 5.6 | 4.9 ± 5.8 | 3.9 ± 6.2 | 4.1 ± 6.1 |
| 984 | 7.5 ± 6.9 | 8.5 ± 7.1 | 7.5 ± 6.9 | 8.9 ± 7.3 | 7.5 ± 6.9 | 8.0 ± 6.9 |
| 1500 | 9.3 ± 6.7 | 10.2 ± 6.1 | 9.0 ± 7.0 | 10.1 ± 6.1 | 9.5 ± 6.4 | 10.3 ± 6.2 |
| 2016 | 6.3 ± 6.3 | 7.0 ± 5.5 | 6.5 ± 6.3 | 6.9 ± 5.8 | 6.1 ± 6.3 | 7.1 ± 5.3 |
| 3000 | 4.7 ± 5.4 | 4.9 ± 5.0 | 5.4 ± 4.9 b | 4.6 ± 5.3 | 4.0 ± 5.8 b | 5.2 ± 4.7 |
| 3984 | 7.2 ± 5.9 | 7.6 ± 4.6 | 7.4 ± 5.2 | 7.5 ± 4.8 | 7.0 ± 6.5 | 7.8 ± 4.4 |
| 6000 | 2.6 ± 7.5 a | 4.3 ± 6.1 a | 2.3 ± 7.6 | 3.9 ± 6.5 | 2.8 ± 7.5 | 4.7 ± 5.8 |
| 7969 | −2.2 ± 9.4 a | 1.6 ± 8.6 a | −2.8 ± 9.4 a b | 1.7 ± 9.1 a | −1.6 ± 9.5 a b | 1.5 ± 8.1 a |
| Signal to noise ratio [dB] | ||||||
| 750 | 12.2 ± 5.8 | 12.3 ± 5.5 | 12.2 ± 5.5 | 12.6 ± 5.7 | 12.1 ± 6.1 | 12.0 ± 5.2 |
| 984 | 17.5 ± 7.2 a | 19.2 ± 7.5 a | 17.8 ± 7.2 a | 19.9 ± 7.7 a | 17.1 ± 7.2 | 18.6 ± 7.3 |
| 1500 | 23.5 ± 7.5 | 24.9 ± 7.2 | 23.4 ± 7.6 | 25.2 ± 7.4 | 23.6 ± 7.4 | 24.6 ± 7.1 |
| 2016 | 24.7 ± 7.1 | 25.4 ± 6.3 | 24.9 ± 6.9 | 25.2 ± 6.2 | 24.5 ± 7.3 | 25.7 ± 6.4 |
| 3000 | 25.1 ± 6.0 | 25.2 ± 5.7 | 25.7 ± 5.6 | 25.1 ± 6.0 | 24.6 ± 6.4 | 25.3 ± 5.5 |
| 3984 | 29.0 ± 6.6 | 29.7 ± 5.4 | 29.3 ± 5.9 | 29.8 ± 5.9 | 28.6 ± 7.3 | 29.6 ± 4.7 |
| 6000 | 28.1 ± 7.6 a | 30.3 ± 7.0 a | 27.7 ± 7.9 a | 30.4 ± 7.1 a | 28.5 ± 7.3 | 30.2 ± 6.9 |
| 7969 | 22.6 ± 8.7 a | 25.9 ± 7.9 a | 22.2 ± 8.6 a | 26.0 ± 8.5 a | 23.0 ± 8.8 a | 25.9 ± 7.4 a |
| Corrected amplitude c [dB] | ||||||
| 750 | 5.3 ± 4.6 | 5.6 ± 5.0 | 5.3 ± 4.5 | 6.0 ± 4.8 | 5.2 ± 4.8 | 5.1 ± 5.2 |
| 984 | 8.2 ± 6.0 | 8.9 ± 6.6 | 8.2 ± 6.0 | 9.2 ± 6.9 | 8.2 ± 6.1 | 8.6 ± 6.3 |
| 1500 | 9.5 ± 6.2 | 10.2 ± 6.1 | 9.4 ± 6.2 | 10.1 ± 6.1 | 9.6 ± 6.3 | 10.3 ± 6.2 |
| 2016 | 6.5 ± 5.8 | 7.0 ± 5.5 | 6.8 ± 5.5 | 6.9 ± 5.8 | 6.2 ± 6.0 | 7.1 ± 5.3 |
| 3000 | 4.9 ± 4.9 | 5.1 ± 4.7 | 5.6 ± 4.6 b | 4.9 ± 4.7 | 4.3 ± 5.0 b | 5.2 ± 4.7 |
| 3984 | 7.5 ± 5.1 | 7.6 ± 4.6 | 7.4 ± 5.2 | 7.5 ± 4.8 | 7.6 ± 5.0 | 7.8 ± 4.4 |
| 6000 | 3.0 ± 6.6 a | 4.3 ± 6.1 a | 2.8 ± 6.5 | 3.9 ± 6.5 | 3.2 ± 6.7 | 4.7 ± 5.8 |
| 7969 | −1.1 ± 8.3 a | 2.2 ± 7.7 a | −1.9 ± 8.5 a b | 2.5 ± 7.8 a | −0.3 ± 8.1 b | 1.8 ± 7.6 |
Publisher’s Note: MDPI stays neutral with regard to jurisdictional claims in published maps and institutional affiliations. |
© 2021 by the authors. Licensee MDPI, Basel, Switzerland. This article is an open access article distributed under the terms and conditions of the Creative Commons Attribution (CC BY) license (http://creativecommons.org/licenses/by/4.0/).
Share and Cite
Pawlaczyk-Łuszczyńska, M.; Zamojska-Daniszewska, M.; Dudarewicz, A.; Zaborowski, K. Pure-Tone Hearing Thresholds and Otoacoustic Emissions in Students of Music Academies. Int. J. Environ. Res. Public Health 2021, 18, 1313. https://doi.org/10.3390/ijerph18031313
Pawlaczyk-Łuszczyńska M, Zamojska-Daniszewska M, Dudarewicz A, Zaborowski K. Pure-Tone Hearing Thresholds and Otoacoustic Emissions in Students of Music Academies. International Journal of Environmental Research and Public Health. 2021; 18(3):1313. https://doi.org/10.3390/ijerph18031313
Chicago/Turabian StylePawlaczyk-Łuszczyńska, Małgorzata, Małgorzata Zamojska-Daniszewska, Adam Dudarewicz, and Kamil Zaborowski. 2021. "Pure-Tone Hearing Thresholds and Otoacoustic Emissions in Students of Music Academies" International Journal of Environmental Research and Public Health 18, no. 3: 1313. https://doi.org/10.3390/ijerph18031313
APA StylePawlaczyk-Łuszczyńska, M., Zamojska-Daniszewska, M., Dudarewicz, A., & Zaborowski, K. (2021). Pure-Tone Hearing Thresholds and Otoacoustic Emissions in Students of Music Academies. International Journal of Environmental Research and Public Health, 18(3), 1313. https://doi.org/10.3390/ijerph18031313
