Does Being Ill Improve Acceptance of Medical Technology?—A Patient Survey with the Technology Usage Inventory
Abstract
:1. Introduction
2. Material and Methods
2.1. Recruitment
2.2. Data Collection
2.3. Statistical Analysis
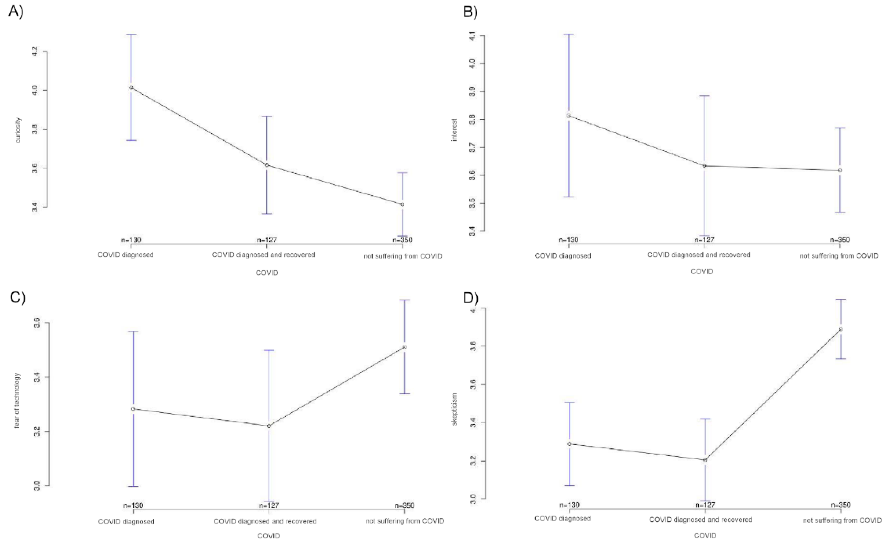
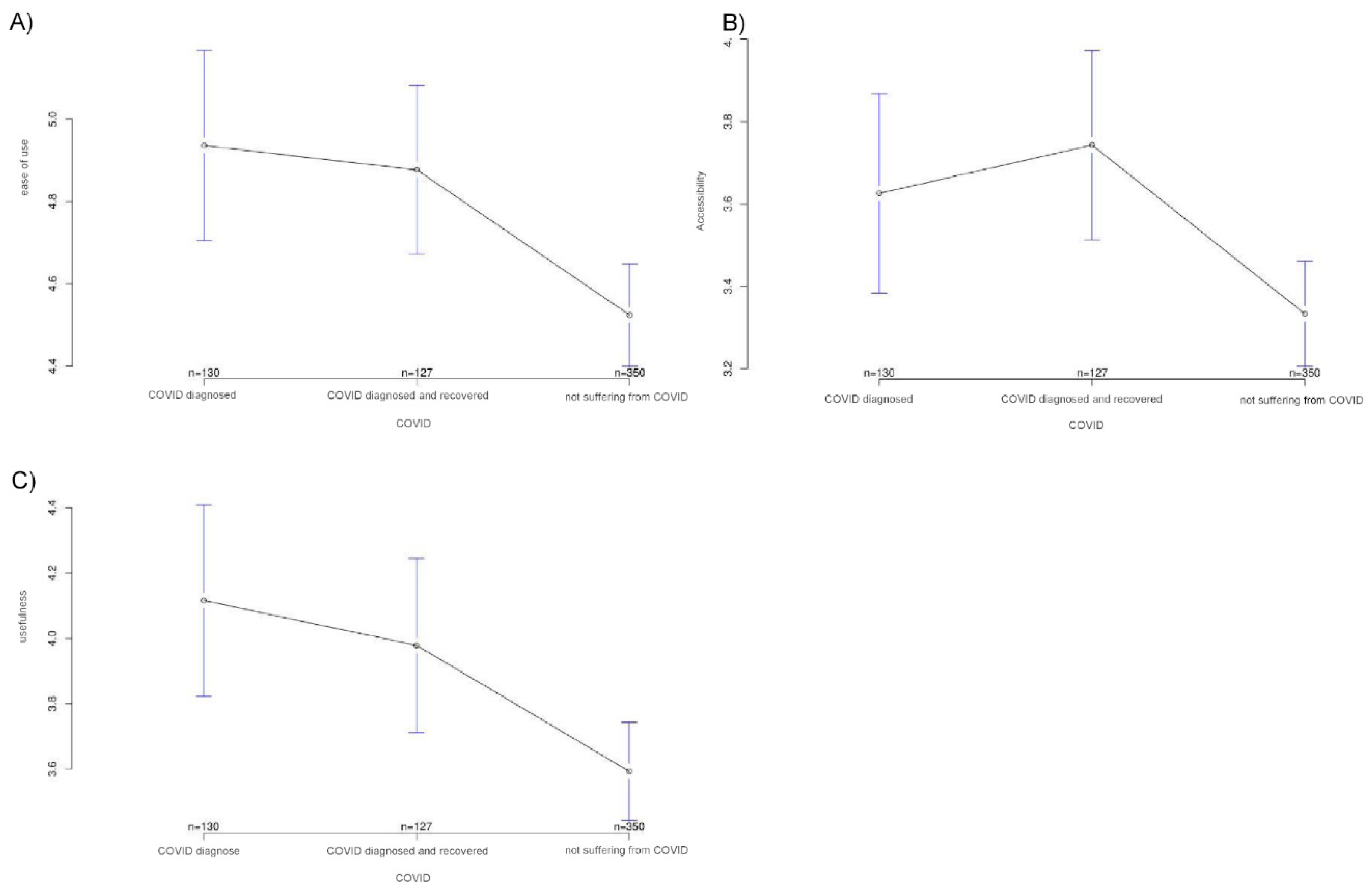
3. Results
3.1. Basic Demographic Parameters
3.2. Technology Acceptance
3.3. COVID-Specific Questions
3.4. Confounding Parameters
4. Discussion
Limitations
5. Conclusions
Author Contributions
Funding
Institutional Review Board Statement
Informed Consent Statement
Data Availability Statement
Conflicts of Interest
Appendix A
| Interactions | ||||||||
|---|---|---|---|---|---|---|---|---|
| Group 1–3 Group Gender | Group 1–3 Group Age Group | Group 1–3 Group Marital Status | Group 1–3 Group Has Minor Children | Group 1–3 Group Smoking Status | Group 1–3 Educational Level | Group 1–3 Group Place of Residence | Group 1–3 Group Place of Living | |
| Curiosity | 0.545 | 0.965 | 0.023 | 0.214 | 0.216 | 0.171 | 0.021 | 0.320 |
| Fear of technology | 0.043 | 0.330 | 0.121 | 0.975 | 0.113 | 0.774 | 0.453 | 0.860 |
| Interest | 0.418 | 0.274 | 0.242 | 0.011 | 0.210 | 0.297 | 0.021 | 0.028 |
| Usefulness | 0.443 | 0.828 | 0.100 | 0.365 | 0.422 | 0.193 | 0.175 | 0.326 |
| Skepticism | 0.601 | 0.286 | 0.039 | 0.928 | 0.608 | 0.858 | 0.510 | 0.973 |
| Usability | 0.083 | 0.765 | 0.353 | 0.371 | 0.451 | 0.531 | 0.161 | 0.913 |
| Accessibility | 0.139 | 0.824 | 0.696 | 0.175 | 0.008 | 0.364 | 0.338 | 0.012 |
| COVID-specific statement 1 | 0.319 | 0.872 | 0.998 | 0.321 | 0.476 | 0.112 | 0.005 | 0.302 |
| COVID-specific statement 2 | 0.028 | 0.856 | 0.147 | 0.957 | 0.125 | 0.360 | 0.035 | 0.364 |
| COVID-specific statement 3 | 0.451 | 0.745 | 0.540 | 0.583 | 0.603 | 0.514 | 0.351 | 0.439 |
| COVID-specific statement 4 | 0.657 | 0.993 | 0.169 | 0.622 | 0.335 | 0.519 | 0.110 | 0.067 |
| COVID-specific statement 5 | 0.512 | 0.669 | 0.523 | 0.519 | 0.693 | 0.674 | 0.149 | 0.093 |
| COVID-specific statement 6 | 0.422 | 0.924 | 0.115 | 0.784 | 0.033 | 0.273 | 0.503 | 0.370 |
| COVID-specific statement 7 | 0.127 | 0.614 | 0.325 | 0.586 | 0.491 | 0.028 | 0.153 | 0.513 |
| COVID-specific statement 8 | 0.728 | 0.397 | 0.077 | 0.164 | 0.717 | 0.376 | 0.328 | 0.800 |
| COVID-specific statement 9 | 0.396 | 0.076 | 0.851 | 0.631 | 0.007 | 0.205 | 0.762 | 0.512 |
| COVID-specific statement 10 | 0.004 | 0.835 | 0.041 | 0.030 | 0.579 | 0.622 | 0.010 | 0.170 |
References
- Venkatesh, V.; Thong, J.Y.; Xu, X. Unified theory of acceptance and use of technology: A synthesis and the road ahead. J. Assoc. Inf. Syst. 2016, 17, 328–376. [Google Scholar] [CrossRef]
- Venkatesh, V.; Zhang, X. Unified theory of acceptance and use of technology: U.S. vs. China. J. Glob. Inf. Technol. Manag. 2010, 13, 5–27. [Google Scholar] [CrossRef]
- Williamson, B.; Aplin, T.; de Jonge, D.; Goyne, M. Tracking down a solution: Exploring the acceptability and value of wearable GPS devices for older persons, individuals with a disability and their support persons. Disabil. Rehabil. Assist. Technol. 2017, 12, 822–831. [Google Scholar] [CrossRef] [PubMed]
- Farina, N.; Sherlock, G.; Thomas, S.; Lowry, R.G.; Banerjee, S. Acceptability and feasibility of wearing activity monitors in community-dwelling older adults with dementia. Int. J. Geriatr. Psychiatry 2019, 34, 617–624. [Google Scholar] [CrossRef] [PubMed]
- Thorpe, J.R.; Forchhammer, B.H.; Maier, A.M. Development of a sensor-based behavioral monitoring solution to support dementia care. JMIR mHealth uHealth 2019, 7, e12013. [Google Scholar] [CrossRef] [PubMed]
- Todaka, K.; Kishimoto, J.; Ikeda, M.; Ikeda, K.; Yamamoto, H. Impact of risk-benefit perception and trust on medical technology acceptance in relation to drug and device lag: A tripartite cross-sectional survey. Ther. Innov. Regul. Sci. 2018, 52, 629–640. [Google Scholar] [CrossRef] [PubMed]
- Holmes, D.R.; Wood, D.L. Medical devices and pharmaceuticals: Differences in public acceptance. Am. Heart Hosp. J. 2006, 4, 269–272. [Google Scholar] [CrossRef] [PubMed]
- Tolomeo, D.E.; Clarke, L.A. Medical devices: The obvious, the readily-accepted, and the surprising. J. Health Life Sci. Law 2008, 1, 119–144. [Google Scholar]
- Liberman, A.; Buckingham, B.; Phillip, M. Diabetes technology and the human factor. Int. J. Clin. Pract. Suppl. 2011, 170, 83–90. [Google Scholar] [CrossRef] [PubMed] [Green Version]
- Hoppe, C.; Feldmann, M.; Blachut, B.; Surges, R.; Elger, C.E.; Helmstaedter, C. Novel techniques for automated seizure registration: Patients’ wants and needs. Epilepsy Behav. 2015, 52, 1–7. [Google Scholar] [CrossRef] [PubMed]
- Thilo, F.J.; Hahn, S.; Halfens, R.J.; Schols, J.M. Usability of a wearable fall detection prototype from the perspective of older people—A real field testing approach. J. Clin. Nurs. 2019, 28, 310–320. [Google Scholar] [CrossRef] [PubMed]
- Hines, S.E.; Brown, C.; Oliver, M.; Gucer, P.; Frisch, M.; Hogan, R.; Roth, T.; Chang, J.; McDiarmid, M. User acceptance of reusable respirators in health care. Am. J. Infect. Control. 2019, 47, 648–655. [Google Scholar] [CrossRef] [PubMed] [Green Version]
- OECD. The Face Mask Global Value Chain in the COVID-19 Outbreak: Evidence and Policy Lessons. 4 May 2020. Available online: http://www.oecd.org/coronavirus/policy-responses/the-face-mask-global-value-chain-in-the-COVID-19-outbreak-evidence-and-policy-lessons-a4df866d/ (accessed on 20 July 2021).
- Law, D.; Cheung, M.C.; Yip, J.; Yick, K.L.; Wong, C. Scoliosis brace design: Influence of visual aesthetics on user acceptance and compliance. Ergonomics 2017, 60, 876–886. [Google Scholar] [CrossRef] [PubMed]
- Monden, K.R.; Philippus, A.; MacIntyre, B.; Welch, A.; Sevigny, M.; Draganich, C.; Agtarap, S.; Morse, L.R. The impact of stigma on psychosocial outcomes following spinal cord injury: A cross-sectional analysis of stigma-mediated relationships. Rehabil. Psychol. 2020, 66, 202–212. [Google Scholar] [CrossRef] [PubMed]












| Parameter | Total (n = 607) | Group 1 COVID (n = 130) | Group 2 Recovered (n = 127) | Group 3 Healthy (n = 350) | p-Value |
|---|---|---|---|---|---|
| Gender n (%) | <0.001 | ||||
| Female | 448 (73.8) | 59 (45.4) | 67 (52.8) | 322 (92.0) | |
| Male | 155 (25.5) | 70 (53.7) | 59 (46.5) | 26 (7.4) | |
| Divers | 4 (0.7) | 1 (0.8) | 1 (0.8) | 2 (0.6) | |
| Age group | <0.001 | ||||
| 18–24 years | 166 (27.4) | 15 (11.5) | 18 (14.2) | 133 (38.0) | |
| 25–34 years | 251 (41.4) | 33 (24.4) | 46 (36.2) | 172 (49.1) | |
| 35–44 years | 73 (12.0) | 25 (19.2) | 21 (16.5) | 27 (7.7) | |
| 45–54 years | 56 (9.2) | 20 (15.4) | 21 (16.5) | 15 (4.3) | |
| 55–64 years | 26 (4.3) | 10 (7.7) | 13 (10.2) | 3 (0.9) | |
| 65–74 years | 27 (4.4) | 19 (14.6) | 8 (6.3) | 0 (0.0) | |
| 75–84 years | 7 (1.2) | 7 (5.4) | 0 (0.0) | 0 (0.0) | |
| 85 years or older | 1 (0.2) | 1 (0.8) | 0 (0.0) | 0 (0.0) | |
| Marital status n (%) | <0.001 | ||||
| Single | 218 (35.9) | 34 (26.2) | 34 (26.8) | 150 (42.9) | |
| married | 258 (42.5) | 49 (37.7) | 56 (44.1) | 153 (43.7) | |
| cohabiting | 74 (12.2) | 22 (16.9) | 23 (18.1) | 29 (8.3) | |
| divorced/separated | 44 (7.2) | 18 (13.9) | 12 (9.4) | 14 (4.0) | |
| widowed | 9 (1.5) | 7 (5.4) | 2 (1.6) | 0 (0.0) | |
| other | 4 (0.7) | 0 (0.0) | 0 (0.0) | 4 (1.1) | |
| Has minor children n (%) | 174 (28.7) | 34 (25.0) | 32 (24.6) | 108 (29.8) | 0.380 |
| Smoking status Yes n (%) | 131 (21.6) | 46 (33.8) | 35 (26.9) | 50 (13.8) | <0.001 |
| Educational level n (%) | <0.001 | ||||
| University degree | 205 (33.8) | 56 (43.1) | 51 (40.2) | 98 (28.0) | |
| Fachabitur (vocational baccalaureate)/Abitur (university entrance qualification) | 221 (36.4) | 32 (24.6) | 32 (25.2) | 157 (44.9) | |
| Realschulabschluss (general certificate of secondary education) | 130 (21.4) | 29 (22.3) | 33 (26.0) | 68 (19.4) | |
| Hauptschule (secondary school)/Volksschule (adult education college) | 30 (4.9) | 10 (7.7) | 8 (6.3) | 12 (3.4) | |
| no graduation | 9 (1.5) | 3 (2.3) | 3 (2.4) | 3 (0.9) | |
| other | 12 (2.0) | 0 (0.0) | 0 (0.0) | 12 (3.4) | |
| Place of residence n (%) | <0.001 | ||||
| Big city | 305 (50.2) | 55 (42.3) | 58 (45.7) | 192 (54.9) | |
| Medium-sized town | 170 (28.0) | 58 (44.6) | 29 (22.8) | 83 (23.7) | |
| Small town | 100 (16.5) | 10 (7.7) | 35 (27.6) | 55 (15.7) | |
| Rural community | 32 (5.3) | 7 (5.5) | 5 (3.9) | 20 (5.7) | |
| Place of living n (%) | <0.001 | ||||
| Baden-Württemberg | |||||
| Bavaria | 53 (8.7) | 11 (8.5) | 7 (5.5) | 35 (10.0) | |
| Berlin | 48 (7.9) | 15 (11.5) | 7 (5.5) | 26 (7.4) | |
| Brandenburg | 26 (4.3) | 3 (2.3) | 8 (6.3) | 15 (4.3) | |
| Bremen | 6 (1.0) | 3 (2.3) | 2 (1.6) | 1 (0.3) | |
| Hamburg | 3 (0.5) | 0 (0.0) | 2 (1.6) | 1 (0.3) | |
| Hesse | 86 (14.2) | 14 (10.8) | 11 (8.7) | 61 (17.4) | |
| Mecklenburg-West. P. | 58 (9.6) | 7 (5.4) | 6 (4.7) | 45 (12.9) | |
| Lower Saxony | 16 (2.6) | 4 (3.1) | 9 (7.1) | 3 (0.9) | |
| North Rhine-Westphalia | 80 (13.2) | 34 (26.2) | 15 (11.8) | 31 (8.9) | |
| Rhineland-Palatinate | 145 (23.9) | 23 (17.7) | 43 (33.9) | 79 (22.6) | |
| Saarland | 11 (1.8) | 2 (1.5) | 2 (1.6) | 7 (2.0) | |
| Saxony | 1 (0.2) | 0 (0.0) | 0 (0.0) | 1 (0.3) | |
| Saxony-Anhalt | 3 (0.5) | 1 (0.8) | 1 (0.8) | 1 (0.3) | |
| Schleswig-Holstein | 41 (6.8) | 11 (8.5) | 10 (7.9) | 20 (5.7) | |
| Thuringia | 4 (0.7) | 1 (0.8) | 1 (0.8) | 2 (0.6) | |
| Austria | 4 (0.7) | 1 (0.8) | 1 (0.8) | 2 (0.6) | |
| Switzerland | 5 (0.8) | 0 (0.0) | 0 (0.0) | 5 (1.4) | |
| other place of living | 17 (2.8) | 0 (0.0) | 2 (1.6) | 15 (4.3) |
Publisher’s Note: MDPI stays neutral with regard to jurisdictional claims in published maps and institutional affiliations. |
© 2021 by the authors. Licensee MDPI, Basel, Switzerland. This article is an open access article distributed under the terms and conditions of the Creative Commons Attribution (CC BY) license (https://creativecommons.org/licenses/by/4.0/).
Share and Cite
Safi, S.; Danzer, G.; Raha, S.; Nassar, E.; Hufert, F.T.; Schmailzl, K.J.G. Does Being Ill Improve Acceptance of Medical Technology?—A Patient Survey with the Technology Usage Inventory. Int. J. Environ. Res. Public Health 2021, 18, 9367. https://doi.org/10.3390/ijerph18179367
Safi S, Danzer G, Raha S, Nassar E, Hufert FT, Schmailzl KJG. Does Being Ill Improve Acceptance of Medical Technology?—A Patient Survey with the Technology Usage Inventory. International Journal of Environmental Research and Public Health. 2021; 18(17):9367. https://doi.org/10.3390/ijerph18179367
Chicago/Turabian StyleSafi, Sabur, Gerhard Danzer, Solaiman Raha, Eyyad Nassar, Frank T. Hufert, and Kurt J. G. Schmailzl. 2021. "Does Being Ill Improve Acceptance of Medical Technology?—A Patient Survey with the Technology Usage Inventory" International Journal of Environmental Research and Public Health 18, no. 17: 9367. https://doi.org/10.3390/ijerph18179367
APA StyleSafi, S., Danzer, G., Raha, S., Nassar, E., Hufert, F. T., & Schmailzl, K. J. G. (2021). Does Being Ill Improve Acceptance of Medical Technology?—A Patient Survey with the Technology Usage Inventory. International Journal of Environmental Research and Public Health, 18(17), 9367. https://doi.org/10.3390/ijerph18179367

