Randomized Controlled Trial of Simple Salt Reduction Instructions by Physician for Patients with Type 2 Diabetes Consuming Excessive Salt
Abstract
1. Introduction
2. Materials and Methods
2.1. Study Design
2.2. Patients
- (1)
- Adults aged 20 to 90 years old who had been diagnosed with type 2 diabetes;
- (2)
- (1)
- Unstable dietary intake;
- (2)
- Secondary hypertension or malignant hypertension;
- (3)
- Pregnant, breastfeeding, or planning to become pregnant;
- (4)
- Hospitalization due to serious heart disease;
- (5)
- Severe cerebrovascular accident;
- (6)
- Advanced renal failure (serum creatinine ≥ 2.0 mg/dL or patient currently on dialysis);
- (7)
- Having a general condition exacerbated by malignant disease;
- (8)
- Severe psychiatric disorders or severe neuropathy, including epilepsy;
- (9)
- For other safety reasons, the principal investigator or the sub-investigator determined whether participation in this study would have been inappropriate.
2.3. Randomization
2.4. Procedure
2.5. Primary Outcome
2.6. Secondary Outcomes
2.7. Statistical Methods
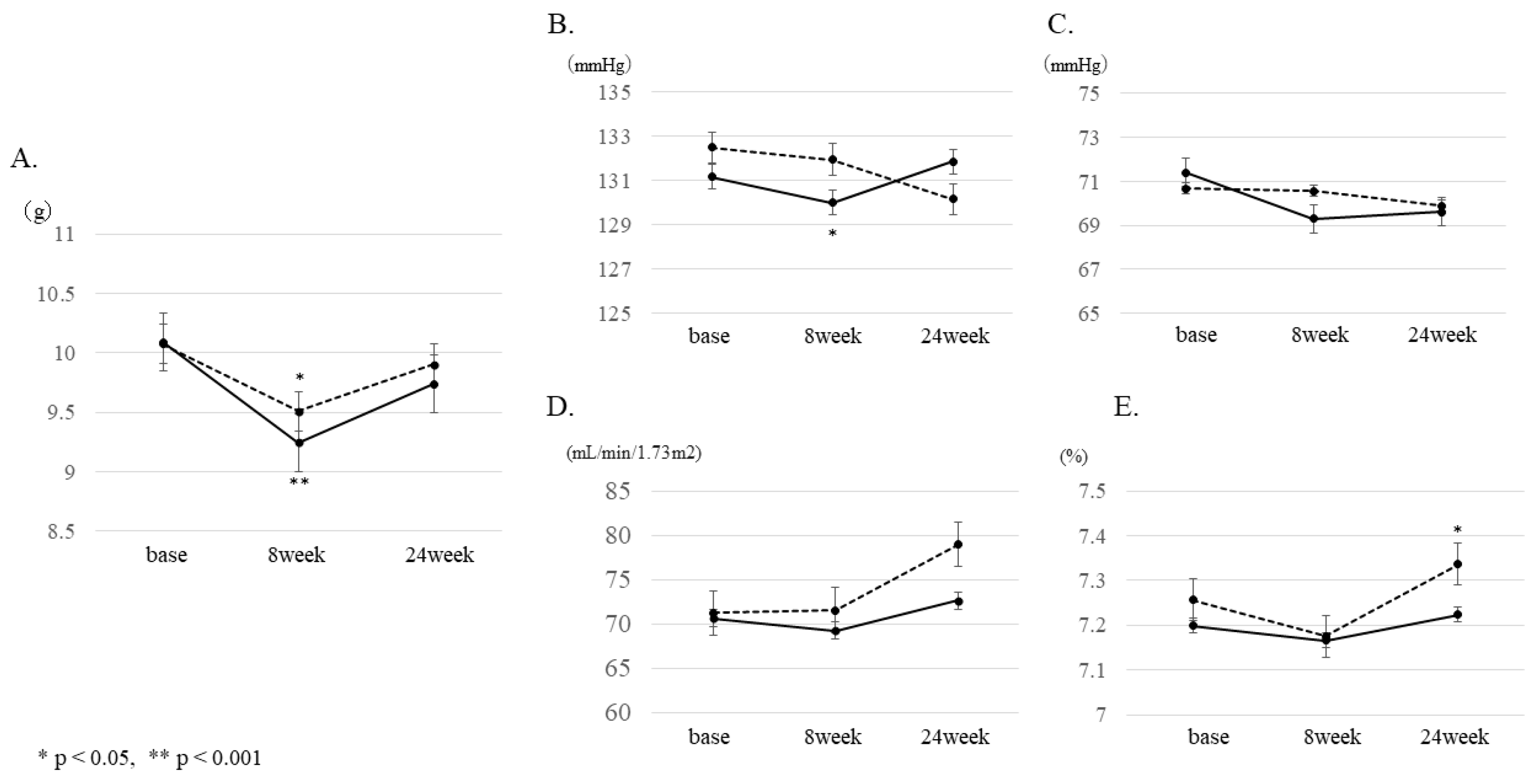
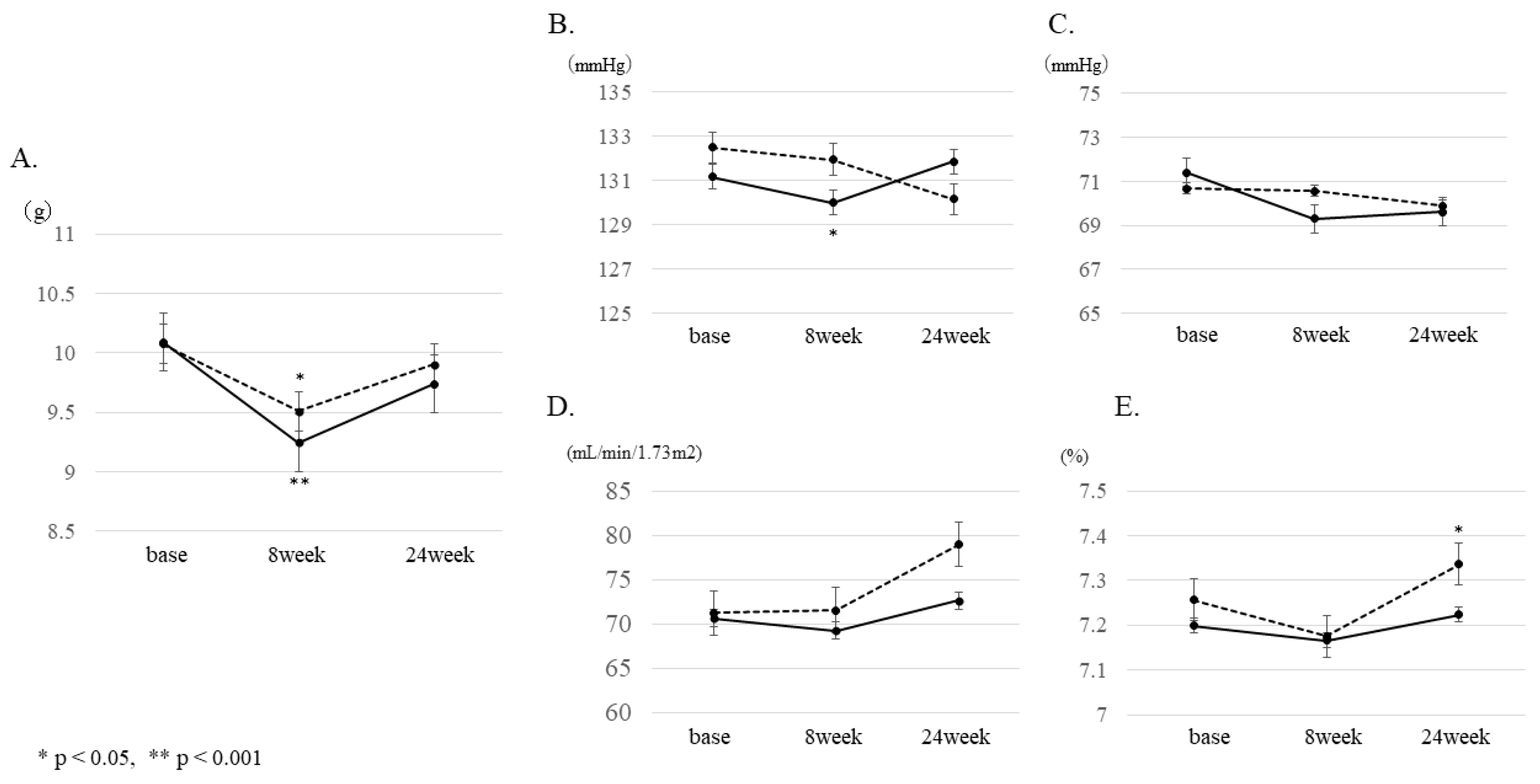
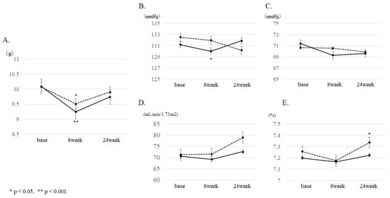
3. Results
4. Discussion
5. Conclusions
Author Contributions
Funding
Institutional Review Board Statement
Data Availability Statement
Acknowledgments
Conflicts of Interest
References
- He, F.J.; Li, J.; MacGregor, G.A. Effect of longer term modest salt reduction on blood pressure: Cochrane systematic review and meta-analysis of randomised trials. BMJ 2013. [Google Scholar] [CrossRef]
- Rose, G.; Stamler, J.; Stamler, R.; Elliott, P.; Marmot, M.; Pyorala, K. Intersalt: An international study of electrolyte excretion and blood pressure. Results for 24 hour urinary sodium and potassium excretion. BMJ 1988. [Google Scholar] [CrossRef]
- Horikawa, C.; Yoshimura, Y.; Kamada, C.; Tanaka, S.; Tanaka, S.; Hanyu, O.; Araki, A.; Ito, H.; Tanaka, A.; Ohashi, Y.; et al. Dietary sodium intake and incidence of diabetes complications in Japanese patients with type 2 diabetes: Analysis of the Japan diabetes complications study (JDCS). J. Clin. Endocrinol. Metab. 2014. [Google Scholar] [CrossRef]
- Stamler, J.; Vaccaro, O.; Neaton, J.D.; Wentworth, D. Diabetes, other risk factors, and 12-yr cardiovascular mortality for men screened in the multiple risk factor intervention trial. Diabetes Care 1993. [Google Scholar] [CrossRef] [PubMed]
- Hu, G.; Jousilahti, P.; Tuomilehto, J. Joint effects of history of hypertension at baseline and type 2 diabetes at baseline and during follow-up on the risk of coronary heart disease. Eur. Heart J. 2007. [Google Scholar] [CrossRef]
- Powles, J.; Fahimi, S.; Micha, R.; Khatibzadeh, S.; Shi, P.; Ezzati, M.; Engell, R.; Lim, S.; Danaei, G.; Mozaffarian, D.; et al. Global, regional and national sodium intakes in 1990 and 2010: A systematic analysis of 24 h urinary sodium excretion and dietary surveys worldwide. BMJ Open 2013. [Google Scholar] [CrossRef]
- Katsuya, T.; Ishikawa, K.; Sugimoto, K.; Rakugi, H.; Ogihara, T. Salt sensitivity of Japanese from the viewpoint of gene polymorphism. Hypertens. Res. 2003. [Google Scholar] [CrossRef] [PubMed]
- He, F.J.; Wu, Y.; Feng, X.X.; Ma, J.; Ma, Y.; Wang, H.; Zhang, J.; Yuan, J.; Lin, C.; Nowson, C.; et al. School based education programme to reduce salt intake in children and their families (School-EduSalt): Cluster randomised controlled trial. BMJ 2015. [Google Scholar] [CrossRef]
- Pinjuh, M.N.; Rumboldt, M.; Rumboldt, Z. Emphasized warning reduces salt intake: A randomized controlled trial. J. Am. Soc. Hypertens 2015. [Google Scholar] [CrossRef]
- Ushigome, E.; Oyabu, C.; Iwai, K.; Kitagawa, N.; Kitae, A.; Kimura, T.; Yokota, I.; Ushigome, H.; Hamaguchi, M.; Asano, M.; et al. Effects of dietary salt restriction on home blood pressure in diabetic patients with excessive salt intake: A pilot study. J. Clin. Biochem. Nutr. 2019. [Google Scholar] [CrossRef]
- Ushigome, E.; Oyabu, C.; Shiraishi, M.; Kitagwaa, N.; Kitae, A.; Iwai, K.; Ushigome, H.; Yokota, I.; Hamaguchi, M.; Yamazaki, M.; et al. Evaluation of the efficacy of simplified nutritional instructions from physicians on dietary salt restriction for patients with type 2 diabetes mellitus consuming excessive salt: Protocol for a randomized controlled trial. Trials 2019. [Google Scholar] [CrossRef]
- Shimamoto, K.; Ando, K.; Fujita, T.; Hasebe, N.; Higaki, J.; Horiuchi, M.; Imai, Y.; Imaizumi, T.; Ishimitsu, T.; Ito, M.; et al. The Japanese Society of Hypertension guidelines for the management of hypertension (JSH 2014). Hypertens. Res. 2014. [Google Scholar] [CrossRef]
- Overview of Dietary Reference Intakes for Japanese (2015). Available online: http://www.mhlw.go.jp/file/06-Seisakujouhou-10900000-Kenkoukyoku/Overview.pdf (accessed on 5 April 2019).
- Tanaka, T.; Okamura, T.; Miura, K.; Kadowaki, T.; Ueshima, H.; Nakagawa, H. A simple method to estimate populational 24-h urinary sodium and potassium excretion using a casual urine specimen. J. Hum. Hypertens. 2002. [Google Scholar] [CrossRef]
- Shin, S.K.; Pack, S.P.; Oh, J.G.; Kang, N.K.; Chang, M.H.; Chung, Y.H.; Kim, S.J.; Lee, J.W.; Heo, T.H. Anti-erythropoietin and anti-thrombopoietin antibodies induced after administration of recombinant human erythropoietin. Int. Immunopharmacol. 2011. [Google Scholar] [CrossRef]
- Kadota, A.; Okuda, N.; Ohkubo, T.; Okamura, T.; Nishi, N.; Ueshima, H.; Okayama, A.; Miura, K. The national integrated project for prospective observation of non-communicable disease and its trends in the aged 2010 (NIPPON DATA2010): Objectives, design, and population characteristics. J. Epidemiol. 2018. [Google Scholar] [CrossRef] [PubMed]
- Kodama, K.; Tojjar, D.; Yamada, S.; Toda, K.; Patel, C.J.; Butte, A.J. Ethnic differences in the relationship between insulin sensitivity and insulin response: A systematic review and meta-analysis. Diabetes Care 2013. [Google Scholar] [CrossRef]
- Tarui, I.; Okada, E.; Okada, C.; Saito, A.; Takimoto, H. Trends in BMI among elderly Japanese population: Findings from 1973 to 2016 Japan National Health and Nutrition Survey. Public Health Nutr. 2020. [Google Scholar] [CrossRef] [PubMed]
- Sowers, J.R.; Epstein, M.; Frohlich, E.D. Diabetes, hypertension, and cardiovascular disease an update. Hypertension 2001. [Google Scholar] [CrossRef]
- Rocchini, A.P.; Key, J.; Bondie, D.; Chico, R.; Moorehead, C.; Katch, V.; Martin, M. The Effect of Weight Loss on the Sensitivity of Blood Pressure to Sodium in Obese Adolescents. N. Engl. J. Med. 1989. [Google Scholar] [CrossRef] [PubMed]
- Kuroda, S.; Uzu, T.; Fujii, T.; Nishimura, M.; Nakamura, S.; Inenaga, T.; Kimura, G. Role of insulin resistance in the genesis of sodium sensitivity in essential hypertension. J. Hum. Hypertens. 1999. [Google Scholar] [CrossRef][Green Version]
- Suckling, R.J.; He, F.J.; Markandu, N.D.; Macgregor, G.A. Modest salt reduction lowers blood pressure and albumin excretion in impaired glucose tolerance and type 2 diabetes mellitus: A randomized double-blind trial. Hypertension 2016. [Google Scholar] [CrossRef] [PubMed]
- Pathare, G.; Tutakhel, O.A.; van der Wel, M.C.; Shelton, L.M.; Deinum, J.; Lenders, J.W.; Hoenderop, J.G.; Bindels, R.J. Hydrochlorothiazide treatment increases the abundance of the NaCl cotransporter in urinary extracellular vesicles of essential hypertensive patients. Am. J. Physiol. Renal Physiol. 2017. [Google Scholar] [CrossRef]
- Qi, H.; Liu, Z.; Cao, H.; Sun, W.P.; Peng, W.J.; Liu, B.; Dong, S.J.; Xiang, Y.T.; Zhang, L. Comparative Efficacy of Antihypertensive Agents in Salt-Sensitive Hypertensive Patients: A Network Meta-Analysis. Am. J. Hypertens. 2018. [Google Scholar] [CrossRef] [PubMed]
- Jefferson, K.; Ahmed, M.; Choleva, M.; Mak, S.; Allard, J.P.; Newton, G.E.; Arcand, J. Effect of a Sodium-Restricted Diet on Intake of Other Nutrients in Heart Failure: Implications for Research and Clinical Practice. J. Card. Fail. 2015. [Google Scholar] [CrossRef] [PubMed]


| Characteristic | Intervention n = 124 | Control n = 126 | p |
|---|---|---|---|
| Age (year) | 66.4 (11.0) | 67.3 (11.4) | 0.507 |
| Men (%) | 55.6 (69) | 56.3 (71) | 0.910 |
| Duration of diabetes (years) | 15.5 (10.5) | 16.7 (9.8) | 0.397 |
| Systolic blood pressure (mmHg) | 131.1 (16.4) | 132.6 (17.5) | 0.495 |
| Diastolic blood pressure (mmHg) | 71.5 (11.9) | 70.7 (11.8) | 0.627 |
| Body mass index (kg/m2) | 23.8 (4.6) | 24.4 (3.9) | 0.302 |
| HbA1c (%) | 7.2 (1.1) | 7.3 (0.9) | 0.559 |
| Total cholesterol (mg/dL) | 191.1 (37.6) | 181.8 (29.5) | 0.073 |
| Triglycerides (mg/dL) | 152.9 (92.7) | 139.2 (111.0) | 0.298 |
| Creatinine (mg/dL) | 0.8 (0.4) | 0.8 (0.3) | 0.694 |
| Estimated glomerular filtration rate (mL/min/1.73 m2) | 70.8 (22.1) | 71.5 (23.6) | 0.797 |
| Salt intake (g) | 10.1 (2.2) | 10.1 (2.1) | 0.992 |
| Smoking status (current/past) | 20.1/34.4 (24/41) | 16.9/44.0 (20/52) | 0.316 |
| Drinking status (current/past) | 20.1/27.7 (22/33) | 18.6/27.9 (22/33) | 0.998 |
| Usage of antihypertensive medications | 44.3% (55) | 40.4% (51) | 0.337 |
| Usage of RAS inhibitors | 29.0% (36) | 27.8% (35) | |
| Usage of CCBs | 22..5% (28) | 25.3% (32) | |
| Usage of Diuretics | 15.3% (19) | 6.3% (8) | |
| Nephropathy (stage1/stage2/stage3,4) | 56.0/42.2/1.6 (69/52/2) | 56.9/40.6/2.4 (70/50/3) | 0.884 |
| Retinopathy (NDR/SDR/PDR) | 69.3/14.5/16.1 (86/18/20) | 72.5/12.0/15.3 (90/15/19) | 0.823 |
| Neuropathy | 36.5 (45) | 37.3 (46) | 0.894 |
| Macrovascular complication | 20.3 (25) | 15.3 (19) | 0.369 |
| Characteristic | After 8 Weeks | After 8 and 24 Weeks | ||
|---|---|---|---|---|
| OR (95% CI) | p | OR (95% CI) | p | |
| Duration of DM (year) | 1.00 (0.981.04) | 0.614 | 0.98 (0.92–1.03) | 0.503 |
| BMI (kg/m2) | 0.97 (0.89–1.06) | 0.471 | 1.02 (0.91–1.12) | 0.758 |
| HbA1C (%) | 0.21 (0.85–1.73) | 0.282 | 0.77 (0.40–1.33) | 0.377 |
| eGFR (mL/min/1.73 m2) | 0.83 (0.71–0.97) | 0.010 | 1.00 (0.98–1.02) | 0.765 |
| SBP (mmHg) | 1.001 (0.99–1.03) | 0.494 | 1.01 (0.97–1.04) | 0.639 |
| DBP (mmHg) | 1.00 (0.97–1.03) | 0.951 | 0.98 (0.93–1.02) | 0.328 |
| Antihypertensive medication (+/−) | 0.67 (0.35–1.30) | 0.237 | 1.30 (0.49–3.63) | 0.605 |
| Instruction to reduce salt (+/−) | 1.08 (0.58–2.00) | 0.811 | 1.20 (0.49–3.03) | 0.687 |
| Salt intake at baseline (g) | 1.53 (1.27–1.87) | <0.0001 | 1.35 (1.09–1.69) | 0.005 |
| Smoking (never vs. current) | 0.48 (0.19–1.13) | 0.130 | 2.13 (0.59–10.34) | 0.558 |
| Smoking (never vs. past) | 0.80 (0.59–2.63) | 0.683 | 2.02 (0.68–6.61) | 0.579 |
Publisher’s Note: MDPI stays neutral with regard to jurisdictional claims in published maps and institutional affiliations. |
© 2021 by the authors. Licensee MDPI, Basel, Switzerland. This article is an open access article distributed under the terms and conditions of the Creative Commons Attribution (CC BY) license (https://creativecommons.org/licenses/by/4.0/).
Share and Cite
Oyabu, C.; Ushigome, E.; Ono, Y.; Kobayashi, A.; Hashimoto, Y.; Sakai, R.; Iwase, H.; Okada, H.; Yokota, I.; Tanaka, T.; et al. Randomized Controlled Trial of Simple Salt Reduction Instructions by Physician for Patients with Type 2 Diabetes Consuming Excessive Salt. Int. J. Environ. Res. Public Health 2021, 18, 6913. https://doi.org/10.3390/ijerph18136913
Oyabu C, Ushigome E, Ono Y, Kobayashi A, Hashimoto Y, Sakai R, Iwase H, Okada H, Yokota I, Tanaka T, et al. Randomized Controlled Trial of Simple Salt Reduction Instructions by Physician for Patients with Type 2 Diabetes Consuming Excessive Salt. International Journal of Environmental Research and Public Health. 2021; 18(13):6913. https://doi.org/10.3390/ijerph18136913
Chicago/Turabian StyleOyabu, Chikako, Emi Ushigome, Yuriko Ono, Ayaka Kobayashi, Yoshitaka Hashimoto, Ryosuke Sakai, Hiroya Iwase, Hiroshi Okada, Isao Yokota, Toru Tanaka, and et al. 2021. "Randomized Controlled Trial of Simple Salt Reduction Instructions by Physician for Patients with Type 2 Diabetes Consuming Excessive Salt" International Journal of Environmental Research and Public Health 18, no. 13: 6913. https://doi.org/10.3390/ijerph18136913
APA StyleOyabu, C., Ushigome, E., Ono, Y., Kobayashi, A., Hashimoto, Y., Sakai, R., Iwase, H., Okada, H., Yokota, I., Tanaka, T., & Fukui, M. (2021). Randomized Controlled Trial of Simple Salt Reduction Instructions by Physician for Patients with Type 2 Diabetes Consuming Excessive Salt. International Journal of Environmental Research and Public Health, 18(13), 6913. https://doi.org/10.3390/ijerph18136913

