A Review of Respiratory Anatomical Development, Air Flow Characterization and Particle Deposition
Abstract
1. Introduction
2. Anatomical Lung Model Development
2.1. Conventional Non-Realistic Lung Model
2.2. Realistic Lung Model
3. Air Flow Characterization
3.1. Extrathoracic Region
3.2. Tracheobronchial Region
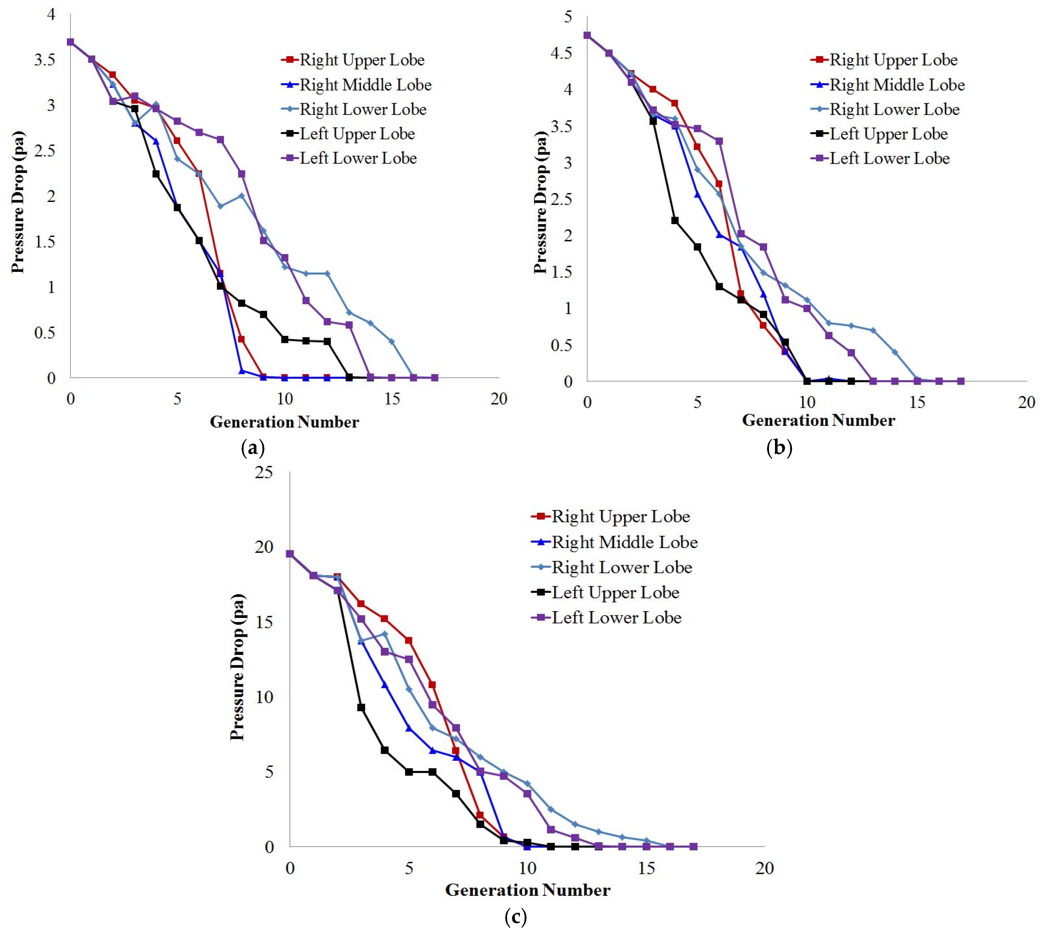
4. Particle Transport and Deposition
4.1. Micro-Particle Transport and Deposition
4.1.1. Extrathoracic Region
4.1.2. Tracheobronchial Region
4.1.3. Alveolar Region
4.2. Ultrafine Particle Transport and Deposition
4.2.1. Extra Thoracic and Tracheobronchial Region
4.2.2. Alveolar Region
4.3. Polydisperse Particle Transport and Deposition
5. Discussions and Perspectives
5.1. Lung Anatomical Model
5.2. Numerical Approach
5.3. Boundary Conditions
5.4. Particle–Particle Interaction
6. Conclusions
Author Contributions
Funding
Conflicts of Interest
References
- Chen, J.; Li, C.; Ristovski, Z.; Milic, A.; Gu, Y.; Islam, M.S.; Wang, S.; Hao, J.; Zhang, H.; He, C. A review of biomass burning: Emissions and impacts on air quality, health and climate in China. Sci. Total Environ. 2016, 579, 100–1034. [Google Scholar] [CrossRef] [PubMed]
- Laumbach, R.J.; Kipen, H.M. Respiratory health effects of air pollution: Update on biomass smoke and traffic pollution. J. Allergy Clin. Immunol. 2012, 129, 3–11. [Google Scholar] [CrossRef] [PubMed]
- Bustamante-Marin, X.M.; Ostrowski, L.E. Cilia and mucociliary clearance. Cold Spring Harb. Perspect. Biol. 2017, 9, a028241. [Google Scholar] [CrossRef] [PubMed]
- Hales, S. Vegetable Staticks: Analysis of the Air; Biodiversity Heritage Library: Washington, DC, USA, 1731; Volume 1. [Google Scholar]
- Aslett, E.; Hart, P.A.; McMichael, J. The lung volume and its subdivisions in normal males. Proc. R. Soc. Lond. Ser. B Biol. Sci. 1939, 126, 502–528. [Google Scholar]
- Briscoe, W.A.; Dubois, A.B. The relationship between airway resistance, airway conductance and lung volume in subjects of different age and body size. J. Clin. Investig. 1958, 37, 1279. [Google Scholar] [CrossRef]
- Weibel, E.R. Morphometry of the human lung. Sci. Direct 1963. [Google Scholar] [CrossRef]
- Horsfield, K.; Dart, G.; Olson, D.E.; Filley, G.F.; Cumming, G. Models of the human bronchial tree. J. Appl. Physiol. 1971, 31, 207–217. [Google Scholar] [CrossRef]
- Raabe, O.; Yeh, H.; Schum, G.; Phalen, R. Tracheobronchial Geometry: Human, Dog, Rat, Hamester; Lovelace Foundation for Medical Education and Research: Albuquerque, NM, USA, 1976. [Google Scholar]
- Yeh, H.; Schum, G.; Duggan, M. Anatomic models of the tracheobronchial and pulmonary regions of the rat. Anat. Rec. 1979, 195, 483–492. [Google Scholar] [CrossRef]
- Yeh, H.-C.; Schum, G.M. Models of human lung airways and their application to inhaled particle deposition. Bull. Math. Biol. 1980, 42, 461–480. [Google Scholar] [CrossRef]
- Koblinger, L.; Hofmann, W. Monte Carlo modeling of aerosol deposition in human lungs. Part I: Simulation of particle transport in a stochastic lung structure. J. Aerosol Sci. 1990, 21, 661–674. [Google Scholar] [CrossRef]
- Islam, M.S.; Saha, S.C.; Sauret, E.; Gu, Y. Numerical investigation of diesel exhaust particle transport and deposition in up to 17 generations of the lung airway. In Proceedings of the 20th Australasian Fluid Mechanics Conference (AFMC), Perth, Australia, 5–8 December 2016. [Google Scholar]
- Islam, M.S.; Saha, S.C.; Sauret, E.; Gu, Y.; Molla, M.M. Numerical investigation of diesel exhaust particle transport and deposition in the CT-scan based lung airway. AIP Conf. Proc. 2017, 1851, 020092. [Google Scholar]
- Rahimi-Gorji, M.; Gorji, T.B.; Gorji-Bandpy, M. Details of regional particle deposition and airflow structures in a realistic model of human tracheobronchial airways: Two-phase flow simulation. Comput. Biol. Med. 2016, 74, 1–17. [Google Scholar] [CrossRef]
- Sauret, V.; Goatman, K.; Fleming, J.; Bailey, A. Semi-automated tabulation of the 3D topology and morphology of branching networks using CT: Application to the airway tree. Phys. Med. Biol. 1999, 44, 1625. [Google Scholar] [CrossRef] [PubMed]
- Sauret, V.; Halson, P.; Brown, I.; Fleming, J.; Bailey, A. Study of the three-dimensional geometry of the central conducting airways in man using computed tomographic (CT) images. J. Anat. 2002, 200, 123–134. [Google Scholar] [CrossRef] [PubMed]
- Garrity, J.M.; Segars, W.P.; Knisley, S.B.; Tsui, B.M. Development of a dynamic model for the lung lobes and airway tree in the NCAT phantom. IEEE Trans. Nucl. Sci. 2003, 50, 378–383. [Google Scholar] [CrossRef]
- Walters, D.K.; Burgreen, G.W.; Hester, R.L.; Thompson, D.S.; Lavallee, D.M.; Pruett, W.A.; Wang, X. Cyclic Breathing Simulations in Large-Scale Models of the Lung Airway From the Oronasal Opening to the Terminal Bronchioles. J. Fluids Eng. 2014, 136, 101101. [Google Scholar] [CrossRef]
- Luo, H.; Liu, Y. Modeling the bifurcating flow in a CT-scanned human lung airway. J. Biomech. 2008, 41, 2681–2688. [Google Scholar] [CrossRef]
- Islam, M.S.; Saha, S.C.; Young, P.M. Aerosol Particle Transport and Deposition in a CT-Based Lung Airway for Helium-Oxygen Mixture. In Proceedings of the 21st Australasian Fluid Mechancis Conference Adelaide Australia, Adelaide, Australia, 10–13 December 2018. [Google Scholar]
- McRobbie, D.W.; Pritchard, S.; Quest, R.A. Studies of the human oropharyngeal airspaces using magnetic resonance imaging. I. Validation of a three-dimensional MRI method for producing ex vivo virtual and physical casts of the oropharyngeal airways during inspiration. J. Aerosol. Med. 2003, 16, 401–415. [Google Scholar] [CrossRef]
- Lin, C.-L.; Tawhai, M.H.; McLennan, G.; Hoffman, E.A. Characteristics of the turbulent laryngeal jet and its effect on airflow in the human intra-thoracic airways. Respir. Physiol. Neurobiol. 2007, 157, 295–309. [Google Scholar] [CrossRef]
- Greenblatt, E.E.E. The Impact of Pathological Ventilation on Aerosol Deposition: Imaging, Insight and Intervention. Ph.D. Thesis, Massachusetts Institute of Technology, Cambridge, MA, USA, 2014. [Google Scholar]
- Rahimi-Gorji, M.; Pourmehran, O.; Gorji-Bandpy, M.; Gorji, T. CFD simulation of airflow behavior and particle transport and deposition in different breathing conditions through the realistic model of human airways. J. Mol. Liq. 2015, 209, 121–133. [Google Scholar] [CrossRef]
- Islam, M.S.; Saha, S.C.; Sauret, E.; Gu, Y.; Ristovski, Z. Numerical investigation of aerosol particle transport and deposition in realistic lung airway. In Proceedings of the International Conference on Computational Methods, Auckland, New Zealand, 14–17 July 2015. [Google Scholar]
- Pourmehran, O.; Rahimi-Gorji, M.; Gorji-Bandpy, M.; Gorji, T. Simulation of magnetic drug targeting through tracheobronchial airways in the presence of an external non-uniform magnetic field using Lagrangian magnetic particle tracking. J. Magn. Magn. Mater. 2015, 393, 380–393. [Google Scholar] [CrossRef]
- Pourmehran, O.; Gorji, T.B.; Gorji-Bandpy, M. Magnetic drug targeting through a realistic model of human tracheobronchial airways using computational fluid and particle dynamics. Biomech. Model. Mechanobiol. 2016, 15, 1355–1374. [Google Scholar] [CrossRef]
- Miyawaki, S.; Hoffman, E.A.; Lin, C.-L. Effect of static vs. dynamic imaging on particle transport in CT-based numerical models of human central airways. J. Aerosol Sci. 2016, 100, 129–139. [Google Scholar] [CrossRef] [PubMed]
- Miyawaki, S.; Hoffman, E.A.; Lin, C.-L. Numerical simulations of aerosol delivery to the human lung with an idealized laryngeal model, image-based airway model, and automatic meshing algorithm. Comput. Fluids 2017, 148, 1–9. [Google Scholar] [CrossRef] [PubMed]
- Kannan, R.; Chen, Z.; Singh, N.; Przekwas, A.; Delvadia, R.; Tian, G.; Walenga, R. A quasi-3D wire approach to model pulmonary airflow in human airways. Int. J. Numer. Methods Biomed. Eng. 2017, 33. [Google Scholar] [CrossRef] [PubMed]
- Van de Moortele, T.; Wendt, C.H.; Coletti, F. Morphological and functional properties of the conducting human airways investigated by in vivo CT and in vitro MRI. J. Appl. Physiol. 2018, 124, 400–413. [Google Scholar] [CrossRef] [PubMed]
- Doorly, D.; Taylor, D.; Schroter, R. Mechanics of airflow in the human nasal airways. Respir. Physiol. Neurobiol. 2008, 163, 100–110. [Google Scholar] [CrossRef]
- Cole, P. Physiology of the nose and paranasal sinuses. In Diseases of the Sinuses; Springer: Berlin/Heidelberg, Germany, 1996; pp. 33–51. [Google Scholar]
- Thiagarajan, B. Nasal Resistance Its Importance and Measurement; ENT Scholar: Colorado Springs, CO, USA, 2012; Volume 1. [Google Scholar]
- Bahammam, A.S.; Tate, R.; Manfreda, J.; Kryger, M.H. Upper airway resistance syndrome: Effect of nasal dilation, sleep stage, and sleep position. Sleep 1999, 22, 592–598. [Google Scholar]
- Sandeau, J.; Katz, I.; Fodil, R.; Louis, B.; Apiou-Sbirlea, G.; Caillibotte, G.; Isabey, D. CFD simulation of particle deposition in a reconstructed human oral extrathoracic airway for air and helium–oxygen mixtures. J. Aerosol Sci. 2010, 41, 281–294. [Google Scholar] [CrossRef]
- Ball, C.; Uddin, M.; Pollard, A. High resolution turbulence modelling of airflow in an idealised human extra-thoracic airway. Comput. Fluids 2008, 37, 943–964. [Google Scholar] [CrossRef]
- Xu, X.; Ni, S.; Fu, M.; Zheng, X.; Luo, N.; Weng, W. Numerical investigation of airflow, heat transfer and particle deposition for oral breathing in a realistic human upper airway model. J. Therm. Biol. 2017, 70, 53–63. [Google Scholar] [CrossRef] [PubMed]
- Sarangapani, R. Modeling particle deposition in extrathoracic airways. Aerosol Sci. Technol. 2000, 32, 72–89. [Google Scholar] [CrossRef]
- Heenan, A.; Finlay, W.; Grgic, B.; Pollard, A.; Burnell, P. An investigation of the relationship between the flow field and regional deposition in realistic extra-thoracic airways. J. Aerosol Sci. 2004, 35, 1013–1023. [Google Scholar] [CrossRef]
- Johnstone, A.; Uddin, M.; Pollard, A.; Heenan, A.; Finlay, W. The flow inside an idealised form of the human extra-thoracic airway. Exp. Fluids 2004, 37, 673–689. [Google Scholar] [CrossRef]
- Bartlett, D.; Remmers, J.; Gautier, H. Laryngeal regulation of respiratory airflow. Respir. Physiol. 1973, 18, 194–204. [Google Scholar] [CrossRef]
- Gemci, T.; Corcoran, T.E.; Chigier, N. A numerical and experimental study of spray dynamics in a simple throat model. Aerosol Sci. Technol. 2002, 36, 18–38. [Google Scholar] [CrossRef]
- Stapleton, K.-W.; Guentsch, E.; Hoskinson, M.; Finlay, W. On the suitability of k–ε turbulence modeling for aerosol deposition in the mouth and throat: A comparison with experiment. J. Aerosol Sci. 2000, 31, 739–749. [Google Scholar] [CrossRef]
- Jayaraju, S.; Brouns, M.; Lacor, C.; Belkassem, B.; Verbanck, S. Large eddy and detached eddy simulations of fluid flow and particle deposition in a human mouth–throat. J. Aerosol Sci. 2008, 39, 862–875. [Google Scholar] [CrossRef]
- Allen, G.; Shortall, B.; Gemci, T.; Corcoran, T.; Chigier, N. Computational simulations of airflow in an in vitro model of the pediatric upper airways. J. Biomech. Eng. 2004, 126, 604–613. [Google Scholar] [CrossRef]
- Cheng, T.; Carpenter, D.; Cohen, S.; Witsell, D.; Frank-Ito, D.O. Investigating the effects of laryngotracheal stenosis on upper airway aerodynamics. Laryngoscope 2018, 128, E141–E149. [Google Scholar] [CrossRef]
- Naseri, A.; Shaghaghian, S.; Abouali, O.; Ahmadi, G. Numerical investigation of transient transport and deposition of microparticles under unsteady inspiratory flow in human upper airways. Respir. Physiol. Neurobiol. 2017, 244, 56–72. [Google Scholar] [CrossRef] [PubMed]
- Bates, A.J.; Schuh, A.; Amine-Eddine, G.; McConnell, K.; Loew, W.; Fleck, R.J.; Woods, J.C.; Dumoulin, C.L.; Amin, R.S. Assessing the relationship between movement and airflow in the upper airway using computational fluid dynamics with motion determined from magnetic resonance imaging. Clin. Biomech. 2017, 66, 88–96. [Google Scholar] [CrossRef]
- Tavakol, M.; Ghahramani, E.; Abouali, O.; Yaghoubi, M.; Ahmadi, G. Deposition fraction of ellipsoidal fibers in a model of human nasal cavity for laminar and turbulent flows. J. Aerosol Sci. 2017, 113, 52–70. [Google Scholar] [CrossRef]
- Martonen, T.; Yang, Y.; Xue, Z. Influences of cartilaginous rings on tracheobronchial fluid dynamics. Inhal. Toxicol. 1994, 6, 185–203. [Google Scholar] [CrossRef]
- Keyhani, K.; Scherer, P.; Mozell, M. Numerical simulation of airflow in the human nasal cavity. Trans.-Am. Soc. Mech. Eng. J. Biomech. Eng. 1995, 117, 429–441. [Google Scholar] [CrossRef] [PubMed]
- Jayaraju, S.; Brouns, M.; Verbanck, S.; Lacor, C. Fluid flow and particle deposition analysis in a realistic extrathoracic airway model using unstructured grids. J. Aerosol Sci. 2007, 38, 494–508. [Google Scholar] [CrossRef]
- Zhang, Z.; Kleinstreuer, C. Airflow structures and nano-particle deposition in a human upper airway model. J. Comput. Phys. 2004, 198, 178–210. [Google Scholar] [CrossRef]
- Chen, X.; Feng, Y.; Zhong, W.; Kleinstreuer, C. Numerical investigation of the interaction, transport and deposition of multicomponent droplets in a simple mouth-throat model. J. Aerosol Sci. 2017, 105, 108–127. [Google Scholar] [CrossRef]
- Marttin, E.; Schipper, N.G.; Verhoef, J.; Merkus, F.W. Nasal mucociliary clearance as a factor in nasal drug delivery. Adv. Drug Deliv. Rev. 1998, 29, 13–38. [Google Scholar] [CrossRef]
- Matida, E.; Finlay, W.; Lange, C.; Grgic, B. Improved numerical simulation of aerosol deposition in an idealized mouth–throat. J. Aerosol Sci. 2004, 35, 1–19. [Google Scholar] [CrossRef]
- Liu, Y.; Matida, E.A.; Gu, J.; Johnson, M.R. Numerical simulation of aerosol deposition in a 3-D human nasal cavity using RANS, RANS/EIM, and LES. J. Aerosol Sci. 2007, 38, 683–700. [Google Scholar] [CrossRef]
- Shih, T.-H.; Liou, W.W.; Shabbir, A.; Yang, Z.; Zhu, J. A new k-ϵ eddy viscosity model for high reynolds number turbulent flows. Comput. Fluids 1995, 24, 227–238. [Google Scholar] [CrossRef]
- Aasgrav, E.; Johnsen, S.G.; Simonsen, A.J.; Müller, B. CFD simulations of turbulent flow in the human upper airways. In Proceedings of the 12th International Conference on CFD in Oil & Gas, Metallurgical and Process Industries, Trondheim, Norway, 30 May–1 June 2017. [Google Scholar]
- Xi, J.; Longest, P.W. Transport and deposition of micro-aerosols in realistic and simplified models of the oral airway. Ann. Biomed. Eng. 2007, 35, 560–581. [Google Scholar] [CrossRef] [PubMed]
- Gemci, T.; Ponyavin, V.; Chen, Y.; Chen, H.; Collins, R. Computational model of airflow in upper 17 generations of human respiratory tract. J. Biomech. 2008, 41, 2047–2054. [Google Scholar] [CrossRef] [PubMed]
- Cui, X.; Gutheil, E. Three-dimensional unsteady large eddy simulation of the vortex structures and the mono-disperse particle dispersion in the idealized human upper respiratory system. J. Aerosol Sci. 2017, 114, 195–208. [Google Scholar] [CrossRef]
- Jin, H.; Fan, J.; Zeng, M.; Cen, K. Large eddy simulation of inhaled particle deposition within the human upper respiratory tract. J. Aerosol Sci. 2007, 38, 257–268. [Google Scholar] [CrossRef]
- Bernate, J.A.; Geisler, T.S.; Padhy, S.; Shaqfeh, E.S.; Iaccarino, G. Study of the flow unsteadiness in the human airway using large eddy simulation. Phys. Rev. Fluids 2017, 2, 083101. [Google Scholar] [CrossRef]
- Zhang, Z.; Kleinstreuer, C. Low-Reynolds-number turbulent flows in locally constricted conduits: A comparison study. AIAA J. 2003, 41, 831–840. [Google Scholar] [CrossRef]
- Mihaescu, M.; Murugappan, S.; Kalra, M.; Khosla, S.; Gutmark, E. Large Eddy Simulation and Reynolds-Averaged Navier–Stokes modeling of flow in a realistic pharyngeal airway model: An investigation of obstructive sleep apnea. J. Biomech. 2008, 41, 2279–2288. [Google Scholar] [CrossRef]
- Heenan, A.; Matida, E.; Pollard, A.; Finlay, W. Experimental measurements and computational modeling of the flow field in an idealized human oropharynx. Exp. Fluids 2003, 35, 70–84. [Google Scholar] [CrossRef]
- Riazuddin, V.N.; Zubair, M.; Abdullah, M.Z.; Ismail, R.; Shuaib, I.L.; Hamid, S.A.; Ahmad, K.A. Numerical study of inspiratory and expiratory flow in a human nasal cavity. J. Med Biol. Eng. 2011, 31, 201–206. [Google Scholar] [CrossRef]
- Carrier, D.R. Lung ventilation during walking and running. Exp. Biol. 1937, 47, 33–42. [Google Scholar]
- Nowak, N.; Kakade, P.P.; Annapragada, A.V. Computational fluid dynamics simulation of airflow and aerosol deposition in human lungs. Ann. Biomed. Eng. 2003, 31, 374–390. [Google Scholar] [CrossRef] [PubMed]
- Zhang, Z.; Kleinstreuer, C.; Kim, C.S. Airflow and nanoparticle deposition in a 16-generation tracheobronchial airway model. Ann. Biomed. Eng. 2008, 36, 2095–2110. [Google Scholar] [CrossRef] [PubMed]
- Soni, B.; Aliabadi, S. Large-scale CFD simulations of airflow and particle deposition in lung airway. Comput. Fluids 2013, 88, 804–812. [Google Scholar] [CrossRef]
- Kleinstreuer, C.; Zhang, Z.; Li, Z. Modeling airflow and particle transport/deposition in pulmonary airways. Respir. Physiol. Neurobiol. 2008, 163, 128–138. [Google Scholar] [CrossRef] [PubMed]
- Soni, B.; Lindley, C.; Thompson, D. The combined effects of non-planarity and asymmetry on primary and secondary flows in the small bronchial tubes. Int. J. Numer. Methods Fluids 2009, 59, 117–146. [Google Scholar] [CrossRef]
- Schroter, R.; Sudlow, M. Flow patterns in models of the human bronchial airways. Respir. Physiol. 1969, 7, 341–355. [Google Scholar] [CrossRef]
- Gatlin, B.; Cuicchi, C.; Hammersley, J.; Olson, D.; Reddy, R.; Burnside, G. Computation of converging and diverging flow through an asymmetric tubular bifurcation. In Proceedings of the 1997 ASME Fluids Engineering Division Summer Meeting, ASME FEDSM97, Vancouver, BC, Canada, 22–26 June 1997; pp. 1–7. [Google Scholar]
- Soni, B.; Thompson, D.; Machiraju, R. Visualizing particle/flow structure interactions in the small bronchial tubes. IEEE Trans. Vis. Comput. Graph. 2008, 14, 1412–1427. [Google Scholar] [CrossRef]
- Olson, D.E.; Sudlow, M.F.; Horsfield, K.; Filley, G.F. Convective patterns of flow during inspiration. Arch. Intern. Med. 1973, 131, 51–57. [Google Scholar] [CrossRef]
- Olson, D.E. Fluid Mechanics Relevant to Respiration: Flow within Curved or Elliptical Tubes and Bifurcating Systems; Imperial College London (University of London): London, UK, 1971. [Google Scholar]
- Stehbens, W. Turbulence of blood flow. Exp. Physiol. 1959, 44, 110–117. [Google Scholar] [CrossRef] [PubMed]
- Clarke, S.; Jones, J.; Oliver, D. Factors affecting airflow through branched tubes. Bull. Physio-Pathol. Respir. 1971, 8, 409–428. [Google Scholar]
- Tawhai, M.H.; Lin, C.L. Image-based modeling of lung structure and function. J. Magn. Reson. Imaging 2010, 32, 1421–1431. [Google Scholar] [CrossRef] [PubMed]
- Wang, X.; Walters, K.; Burgreen, G.W.; Thompson, D.S. Cyclic Breathing Simulations: Pressure Outlet Boundary Conditions Coupled with Resistance and Compliance. In Proceedings of the ASME/JSME/KSME 2015 Joint Fluids Engineering Conference, Seoul, Korea, 26–31 July 2015; p. V002T026A007. [Google Scholar]
- Liu, Y.; So, R.M.C.; Zhang, C.H. Modeling the bifurcating flow in an asymmetric human lung airway. J. Biomech. 2003, 36, 951–959. [Google Scholar] [CrossRef]
- Kim, J.; Heise, R.L.; Reynolds, A.M.; Pidaparti, R.M. Aging effects on airflow dynamics and lung function in human bronchioles. PLoS ONE 2017, 12, e0183654. [Google Scholar] [CrossRef]
- Kannan, R.R.; Przekwas, A.; Singh, N.; Delvadia, R.; Tian, G.; Walenga, R. Pharmaceutical aerosols deposition patterns from a Dry Powder Inhaler: Euler Lagrangian prediction and validation. Med. Eng. Phys. 2017, 42, 35–47. [Google Scholar] [CrossRef]
- Islam, M.S.; Saha, S.C.; Gemci, T.; Yang, I.A.; Sauret, E.; Ristovski, Z.; Gu, Y.T. Euler-Lagrange Prediction of Diesel-Exhaust Polydisperse Particle Transport and Deposition in Lung: Anatomy and Turbulence Effects. Sci. Rep. 2019, 9, 12423. [Google Scholar] [CrossRef]
- Islam, M.S.; Saha, S.C.; Sauret, E.; Ong, H.; Young, P.; Gu, Y.J.T.R. Application. Euler–Lagrange approach to investigate respiratory anatomical shape effects on aerosol particle transport and deposition. Toxicol. Res. Appl. 2019, 3. [Google Scholar] [CrossRef]
- Saha, S.; Islam, M.; Rahimi-Gorji, M.; Molla, M. Aerosol particle transport and deposition in a CT-scan based mouth-throat model. In AIP Conference Proceedings; AIP Publishing: Dhaka, Bangladesh, 2019; p. 040011. [Google Scholar]
- Islam, M.S.; Saha, S.C.; Sauret, E.; Gemci, T.; Gu, Y. Pulmonary aerosol transport and deposition analysis in upper 17 generations of the human respiratory tract. J. Aerosol Sci. 2017, 108, 29–43. [Google Scholar] [CrossRef]
- Sohrabi, S.; Wang, S.; Tan, J.; Xu, J.; Yang, J.; Liu, Y. Nanoparticle transport and delivery in a heterogeneous pulmonary vasculature. J. Biomech. 2017, 50, 240–247. [Google Scholar] [CrossRef]
- Ma, B.; Lutchen, K.R. An anatomically based hybrid computational model of the human lung and its application to low frequency oscillatory mechanics. Ann. Biomed. Eng. 2006, 34, 1691–1704. [Google Scholar] [CrossRef] [PubMed]
- Tian, G.; Longest, P.W.; Su, G.; Walenga, R.L.; Hindle, M. Development of a stochastic individual path (SIP) model for predicting the tracheobronchial deposition of pharmaceutical aerosols: Effects of transient inhalation and sampling the airways. J. Aerosol Sci. 2011, 42, 781–799. [Google Scholar] [CrossRef]
- Longest, P.W.; Tian, G.; Walenga, R.L.; Hindle, M. Comparing MDI and DPI aerosol deposition using in vitro experiments and a new stochastic individual path (SIP) model of the conducting airways. Pharm. Res. 2012, 29, 1670–1688. [Google Scholar] [CrossRef] [PubMed]
- Sun, H.; Li, A. Study of the Airflow Patterns in Human Upper Respiratory System Under Circular Breathing. Sci. Adv. Mater. 2017, 9, 1131–1140. [Google Scholar] [CrossRef]
- Walters, D.K.; Luke, W.H. A method for three-dimensional Navier–Stokes simulations of large-scale regions of the human lung airway. J. Fluids Eng. 2010, 132, 051101. [Google Scholar] [CrossRef]
- Islam, M.S.; Saha, S.C.; Sauret, E.; Gemci, T.; Yang, I.A.; Gu, Y. Ultrafine particle transport and deposition in a large scale 17-generation lung model. J. Biomech. 2017, 64, 16–25. [Google Scholar] [CrossRef] [PubMed][Green Version]
- Kolanjiyil, A.V.; Kleinstreuer, C.; Sadikot, R.T. Computationally efficient analysis of particle transport and deposition in a human whole-lung-airway model. Part II: Dry powder inhaler application. Comput. Biol. Med. 2017, 84, 247–253. [Google Scholar] [CrossRef]
- Nordlund, M.; Belka, M.; Kuczaj, A.K.; Lizal, F.; Jedelsky, J.; Elcner, J.; Jicha, M.; Sauser, Y.; Le Bouhellec, S.; Cosandey, S. Multicomponent aerosol particle deposition in a realistic cast of the human upper respiratory tract. Inhal. Toxicol. 2017, 29, 113–125. [Google Scholar] [CrossRef]
- Longest, P.W.; Tian, G.; Khajeh-Hosseini-Dalasm, N.; Hindle, M. Validating Whole-Airway CFD Predictions of DPI Aerosol Deposition at Multiple Flow Rates. J. Aerosol Med. Pulm. Drug Deliv. 2016, 29, 461–481. [Google Scholar] [CrossRef]
- Inthavong, K.; Choi, L.-T.; Tu, J.; Ding, S.; Thien, F. Micron particle deposition in a tracheobronchial airway model under different breathing conditions. Med. Eng. Phys. 2010, 32, 1198–1212. [Google Scholar] [CrossRef]
- Inthavong, K.; Tu, J.; Ye, Y.; Ding, S.; Subic, A.; Thien, F. Effects of airway obstruction induced by asthma attack on particle deposition. J. Aerosol Sci. 2010, 41, 587–601. [Google Scholar] [CrossRef]
- Farkas, Á.; Balásházy, I. Quantification of particle deposition in asymmetrical tracheobronchial model geometry. Comput. Biol. Med. 2008, 38, 508–518. [Google Scholar] [CrossRef] [PubMed]
- Cheng, Y.S. Aerosol deposition in the extrathoracic region. Aerosol Sci. Technol. 2003, 37, 659–671. [Google Scholar] [CrossRef] [PubMed]
- Grgic, B.; Finlay, W.; Heenan, A. Regional aerosol deposition and flow measurements in an idealized mouth and throat. J. Aerosol Sci. 2004, 35, 21–32. [Google Scholar] [CrossRef]
- Zhang, Y.; Finlay, W.; Matida, E. Particle deposition measurements and numerical simulation in a highly idealized mouth–throat. J. Aerosol Sci. 2004, 35, 789–803. [Google Scholar] [CrossRef]
- Calmet, H.; Kleinstreuer, C.; Houzeaux, G.; Kolanjiyil, A.; Lehmkuhl, O.; Olivares, E.; Vázquez, M. Subject-variability effects on micron particle deposition in human nasal cavities. J. Aerosol Sci. 2018, 115, 12–28. [Google Scholar] [CrossRef]
- Yousefi, M.; Pourmehran, O.; Gorji-Bandpy, M.; Inthavong, K.; Yeo, L.; Tu, J. CFD simulation of aerosol delivery to a human lung via surface acoustic wave nebulization. Biomech. Model. Mechanobiol. 2017, 16, 2035–2050. [Google Scholar] [CrossRef] [PubMed]
- Tian, L.; Shang, Y.; Chen, R.; Bai, R.; Chen, C.; Inthavong, K.; Tu, J. A combined experimental and numerical study on upper airway dosimetry of inhaled nanoparticles from an electrical discharge machine shop. Part. Fibre Toxicol. 2017, 14, 24. [Google Scholar] [CrossRef]
- Oldham, M.J. Computational fluid dynamic predictions and experimental results for particle deposition in an airway model. Aerosol Sci. Technol. 2000, 32, 61–71. [Google Scholar] [CrossRef]
- Martonen, T.B. Surrogate Experimental Models for Studying Particle Deposition in the Human Respiratory Tract; US Government Printing Office: Washington, DC, USA, 1985.
- Farhadi Ghalati, P.; Keshavarzian, E.; Abouali, O.; Faramarzi, A.; Tu, J.; Shakibafard, A. Numerical analysis of micro- and nano-particle deposition in a realistic human upper airway. Comput. Biol. Med. 2012, 42, 39–49. [Google Scholar] [CrossRef]
- Balásházy, I.; Hofmann, W.; Heistracher, T. Local particle deposition patterns may play a key role in the development of lung cancer. J. Appl. Physiol. 2003, 94, 1719–1725. [Google Scholar] [CrossRef]
- Farkas, A.; Balásházy, I. Simulation of the effect of local obstructions and blockage on airflow and aerosol deposition in central human airways. J. Aerosol Sci. 2007, 38, 865–884. [Google Scholar] [CrossRef]
- Longest, P.W.; Vinchurkar, S. Inertial deposition of aerosols in bifurcating models during steady expiratory flow. J. Aerosol Sci. 2009, 40, 370–378. [Google Scholar] [CrossRef]
- Tian, G.; Hindle, M.; Lee, S.; Longest, P.W. Validating CFD predictions of pharmaceutical aerosol deposition with in vivo data. Pharm. Res. 2015, 32, 3170–3187. [Google Scholar] [CrossRef]
- Longest, P.W.; Vinchurkar, S. Validating CFD predictions of respiratory aerosol deposition: Effects of upstream transition and turbulence. J. Biomech. 2007, 40, 305–316. [Google Scholar] [CrossRef]
- Zhang, Z.; Kleinstreuer, C. Effect of particle inlet distributions on deposition in a triple bifurcation lung airway model. J. Aerosol Med. 2001, 14, 13–29. [Google Scholar] [CrossRef]
- Liu, Y.; So, R.; Zhang, C. Modeling the bifurcating flow in a human lung airway. J. Biomech. 2002, 35, 465–473. [Google Scholar] [CrossRef]
- Huang, J.; Zhang, L.; Yu, S. Modeling micro-particle deposition in human upper respiratory tract under steady inhalation. Particuology 2011, 9, 39–43. [Google Scholar] [CrossRef]
- Hofmann, W.; Koblinger, L. Monte Carlo modeling of aerosol deposition in human lungs. Part III: Comparison with experimental data. J. Aerosol Sci. 1992, 23, 51–63. [Google Scholar] [CrossRef]
- Ito, K.; Mitsumune, K.; Kuga, K.; Phuong, N.L.; Tani, K.; Inthavong, K. Prediction of convective heat transfer coefficients for the upper respiratory tracts of rat, dog, monkey, and humans. Indoor Built Environ. 2017, 26, 828–840. [Google Scholar] [CrossRef]
- Inthavong, K.; Mouritz, A.P.; Dong, J.; Tu, J.Y. Inhalation and deposition of carbon and glass composite fibre in the respiratory airway. J. Aerosol Sci. 2013, 65, 58–68. [Google Scholar] [CrossRef]
- Frederix, E.; Kuczaj, A.K.; Nordlund, M.; Bělka, M.; Lizal, F.; Jedelský, J.; Elcner, J.; Jícha, M.; Geurts, B. Simulation of size-dependent aerosol deposition in a realistic model of the upper human airways. J. Aerosol Sci. 2018, 115, 29–45. [Google Scholar] [CrossRef]
- Zhang, Z.; Kleinstreuer, C.; Kim, C. Cyclic micron-size particle inhalation and deposition in a triple bifurcation lung airway model. J. Aerosol Sci. 2002, 33, 257–281. [Google Scholar] [CrossRef]
- Balásházy, U.; Hofmann, W. Particle deposition in airway bifurcations—I. Inspiratory flow. J. Aerosol Sci. 1993, 24, 745–772. [Google Scholar] [CrossRef]
- Zhang, Z.; Kleinstreuer, C.; Donohue, J.F.; Kim, C. Comparison of micro-and nano-size particle depositions in a human upper airway model. J. Aerosol Sci. 2005, 36, 211–233. [Google Scholar] [CrossRef]
- Kim, C.S.; Iglesias, A.J. Deposition of inhaled particles in bifurcating airway models: I. Inspiratory deposition. J. Aerosol Med. 1989, 2, 1–14. [Google Scholar] [CrossRef]
- Balásházy, I.; Hofmann, W. Deposition of aerosols in asymmetric airway bifurcations. J. Aerosol Sci. 1995, 26, 273–292. [Google Scholar] [CrossRef]
- ICRP. ICRP Publication 66: Human Respiratory Tract Model for Radiological Protection; Elsevier Health Sciences: Amsterdam, The Netherlands, 1994. [Google Scholar]
- Russo, J.; Robinson, R.; Oldham, M.J. Effects of cartilage rings on airflow and particle deposition in the trachea and main bronchi. Med. Eng. Phys. 2008, 30, 581–589. [Google Scholar] [CrossRef]
- Mead-Hunter, R.; King, A.J.; Larcombe, A.N.; Mullins, B.J. The influence of moving walls on respiratory aerosol deposition modelling. J. Aerosol Sci. 2013, 64, 48–59. [Google Scholar] [CrossRef]
- Bauer, K.; Chaves, H.; Brücker, C. Visualizing flow partitioning in a model of the upper human lung airways. J. Biomech. Eng. 2010, 132, 031005. [Google Scholar] [CrossRef]
- Tena, A.; Clarà, P. Deposition of inhaled particles in the lungs. Arch. Bronconeumol. 2012, 48, 240–246. [Google Scholar] [CrossRef]
- Soni, B.; Arra, N.; Aliabadi, S.; Luke, W.H.; Walters, D. Mesh Refinement Study of Flow and Particle Deposition in Human Lung Airway Model. In Proceedings of the 20th AIAA Computational Fluid Dynamics Conference, Honolulu, HI, USA, 27–30 June 2011; p. 3832. [Google Scholar] [CrossRef]
- Zhang, Z.; Kleinstreuer, C.; Kim, C.S. Comparison of analytical and CFD models with regard to micron particle deposition in a human 16-generation tracheobronchial airway model. J. Aerosol Sci. 2009, 40, 16–28. [Google Scholar] [CrossRef]
- Hughes, J.; Hoppin, F., Jr.; Mead, J. Effect of lung inflation on bronchial length and diameter in excised lungs. J. Appl. Physiol. 1972, 32, 25–35. [Google Scholar] [CrossRef] [PubMed]
- Dubsky, S.; Hooper, S.B.; Siu, K.K.; Fouras, A. Synchrotron-based dynamic computed tomography of tissue motion for regional lung function measurement. J. R. Soc. Interface 2012, 9, 2213–2224. [Google Scholar] [CrossRef] [PubMed]
- Noble, P.; Sharma, A.; McFawn, P.; Mitchell, H. Airway narrowing in porcine bronchi with and without lung parenchyma. Eur. Respir. J. 2005, 26, 804–811. [Google Scholar] [CrossRef]
- Noble, P.B.; Jones, R.L.; Needi, E.T.; Cairncross, A.; Mitchell, H.W.; James, A.L.; McFawn, P.K. Responsiveness of the human airway in vitro during deep inspiration and tidal oscillation. J. Appl. Physiol. 2011, 110, 1510–1518. [Google Scholar] [CrossRef]
- Soni, B.; Arra, N.; Aliabadi, S. Flow and particle deposition simulations with heat-transfer in the nine-generation lung airways. In Proceedings of the International Conference on Bioinformatics and Computational Biology, New Orleans, LA, USA, USA, 23–25 March 2011; pp. 18–22. [Google Scholar]
- Guha, A. Transport and deposition of particles in turbulent and laminar flow. Annu. Rev. Fluid Mech. 2008, 40, 311–341. [Google Scholar] [CrossRef]
- Tong, Z.; Yang, R.; Chu, K.; Yu, A.; Adi, S.; Chan, H.-K. Numerical study of the effects of particle size and polydispersity on the agglomerate dispersion in a cyclonic flow. Chem. Eng. J. 2010, 164, 432–441. [Google Scholar] [CrossRef]
- Cundall, P.A.; Strack, O.D. A discrete numerical model for granular assemblies. Geotechnique 1979, 29, 47–65. [Google Scholar] [CrossRef]
- Chen, X.; Zhong, W.; Zhou, X.; Jin, B.; Sun, B. CFD–DEM simulation of particle transport and deposition in pulmonary airway. Powder Technol. 2012, 228, 309–318. [Google Scholar] [CrossRef]
- Feng, Y.; Kleinstreuer, C. Micron-particle transport, interactions and deposition in triple lung-airway bifurcations using a novel modeling approach. J. Aerosol Sci. 2014, 71, 1–15. [Google Scholar] [CrossRef]
- Li, Z.; Kleinstreuer, C.; Zhang, Z. Simulation of airflow fields and microparticle deposition in realistic human lung airway models. Part I: Airflow patterns. Eur. J. Mech. B Fluids 2007, 26, 632–649. [Google Scholar] [CrossRef]
- Nazridoust, K.; Asgharian, B.; Asgharian, B. Unsteady-state airflow and particle deposition in a three-generation human lung geometry. Inhal. Toxicol. 2008, 20, 595–610. [Google Scholar] [CrossRef] [PubMed]
- Fahy, J.V.; Dickey, B.F. Airway mucus function and dysfunction. N. Engl. J. Med. 2010, 363, 2233–2247. [Google Scholar] [CrossRef] [PubMed]
- King, M.; Zahm, J.; Pierrot, D.; Vaquez-Girod, S.; Puchelle, E. The role of mucus gel viscosity, spinnability, and adhesive properties in clearance by simulated cough. Biorheology 1989, 26, 737–745. [Google Scholar] [CrossRef] [PubMed]
- Farkas, Á.; Balásházy, I.; Szőcs, K. Characterization of regional and local deposition of inhaled aerosol drugs in the respiratory system by computational fluid and particle dynamics methods. J. Aerosol Med. 2006, 19, 329–343. [Google Scholar] [CrossRef]
- De Backer, J.W.; Vos, W.G.; Vinchurkar, S.C.; Claes, R.; Drollmann, A.; Wulfrank, D.; Parizel, P.M.; Germonpré, P.; De Backer, W. Validation of computational fluid dynamics in CT-based airway models with SPECT/CT. Radiology 2010, 257, 854–862. [Google Scholar] [CrossRef]
- Parkash, O. Lung cancer. Respiration 1977, 34, 295–304. [Google Scholar] [CrossRef]
- Pityn, P.; Chamberlain, M.; King, M.; Morgan, W. Differences in particle deposition between the two lungs. Respir. Med. 1995, 89, 15–19. [Google Scholar] [CrossRef]
- Asgharian, B.; Hofmann, W.; Bergmann, R. Particle deposition in a multiple-path model of the human lung. Aerosol Sci. Technol. 2001, 34, 332–339. [Google Scholar] [CrossRef]
- Hansen, J.E.; Ampaya, E.P. Human air space shapes, sizes, areas, and volumes. J. Appl. Physiol. 1975, 38, 990–995. [Google Scholar] [CrossRef] [PubMed]
- Tsuda, A.; Filipovic, N.; Haberthur, D.; Dickie, R.; Matsui, Y.; Stampanoni, M.; Schittny, J.C. Finite element 3D reconstruction of the pulmonary acinus imaged by synchrotron X-ray tomography. J. Appl. Physiol. 2008, 105, 964–976. [Google Scholar] [CrossRef] [PubMed]
- Talaat, K.; Xi, J. Computational modeling of aerosol transport, dispersion, and deposition in rhythmically expanding and contracting terminal alveoli. J. Aerosol Sci. 2017, 112, 19–33. [Google Scholar] [CrossRef]
- Monjezi, M.; Saidi, M.; Ahmadi, G. Submicron particle deposition in pulmonary alveoli during cyclic breathing. Sci. Iran. Trans. B Mech. Eng. 2017, 24, 1975–1984. [Google Scholar] [CrossRef]
- Ciloglu, D.; Athari, H.; Bolukbasi, A.; Rosen, M.A. Importance of Physical and Physiological Parameters in Simulated Particle Transport in the Alveolar Zone of the Human Lung. Appl. Sci. 2017, 7, 113. [Google Scholar] [CrossRef]
- Jenkins, B.M.; Jones, A.D.; Turn, S.Q.; Williams, R.B. Particle concentrations, gas-particle partitioning, and species intercorrelations for polycyclic aromatic hydrocarbons (PAH) emitted during biomass burning. Atmos. Environ. 1996, 30, 3825–3835. [Google Scholar] [CrossRef]
- Xi, J.; Longest, P.W. Numerical predictions of submicrometer aerosol deposition in the nasal cavity using a novel drift flux approach. Int. J. Heat Mass Transf. 2008, 51, 5562–5577. [Google Scholar] [CrossRef]
- Inthavong, K.; Zhang, K.; Tu, J. Numerical modelling of nanoparticle deposition in the nasal cavity and the tracheobronchial airway. Comput. Methods Biomech. Biomed. Eng. 2011, 14, 633–643. [Google Scholar] [CrossRef]
- Hindle, M.; Longest, P.W. Evaluation of enhanced condensational growth (ECG) for controlled respiratory drug delivery in a mouth-throat and upper tracheobronchial model. Pharm. Res. 2010, 27, 1800–1811. [Google Scholar] [CrossRef]
- Cheng, Y.-S.; Zhou, Y.; Chen, B.T. Particle deposition in a cast of human oral airways. Aerosol Sci. Technol. 1999, 31, 286–300. [Google Scholar] [CrossRef]
- Cheng, K.-H.; Cheng, Y.-S.; Yeh, H.-C.; Guilmette, R.A.; Simpson, S.Q.; Yang, Y.-H.; Swift, D.L. In vivo measurements of nasal airway dimensions and ultrafine aerosol deposition in the human nasal and oral airways. J. Aerosol Sci. 1996, 27, 785–801. [Google Scholar] [CrossRef]
- Cheng, Y.-S.; Yamada, Y.; Yeh, H.-C.; Swift, D.L. Diffusional deposition of ultrafine aerosols in a human nasal cast. J. Aerosol Sci. 1988, 19, 741–751. [Google Scholar] [CrossRef]
- Cohen, B.S.; Sussman, R.G.; Lippmann, M. Ultrafine particle deposition in a human tracheobronchial cast. Aerosol Sci. Technol. 1990, 12, 1082–1091. [Google Scholar] [CrossRef]
- Zhang, Z.; Kleinstreuer, C. Computational analysis of airflow and nanoparticle deposition in a combined nasal–oral–tracheobronchial airway model. J. Aerosol Sci. 2011, 42, 174–194. [Google Scholar] [CrossRef]
- Shi, H.; Kleinstreuer, C.; Zhang, Z.; Kim, C. Nanoparticle transport and deposition in bifurcating tubes with different inlet conditions. Phys. Fluids 2004, 16, 2199–2213. [Google Scholar] [CrossRef]
- Shi, H.; Kleinstreuer, C.; Zhang, Z. Dilute suspension flow with nanoparticle deposition in a representative nasal airway model. Phys. Fluids 2008, 20, 013301. [Google Scholar] [CrossRef]
- Longest, P.W.; Xi, J. Effectiveness of direct Lagrangian tracking models for simulating nanoparticle deposition in the upper airways. Aerosol Sci. Technol. 2007, 41, 380–397. [Google Scholar] [CrossRef]
- Longest, P.W.; Kleinstreuer, C.; Buchanan, J.R. Efficient computation of micro-particle dynamics including wall effects. Comput. Fluids 2004, 33, 577–601. [Google Scholar] [CrossRef]
- De La Mora, J.F.; Rosner, D. Inertial deposition of particles revisited and extended: Eulerian approach to a traditionally Lagrangian problem. Physicochem. Hydrodyn. 1981, 2, 1–21. [Google Scholar]
- Semmler-Behnke, M.; Kreyling, W.G.; Schulz, H.; Takenaka, S.; Butler, J.P.; Henry, F.S.; Tsuda, A. Nanoparticle delivery in infant lungs. Proc. Natl. Acad. Sci. USA 2012, 109, 5092–5097. [Google Scholar] [CrossRef]
- Tsuda, A.; Laine-Pearson, F.E.; Hydon, P.E. Why chaotic mixing of particles is inevitable in the deep lung. J. Theor. Biol. 2011, 286, 57–66. [Google Scholar] [CrossRef] [PubMed]
- Kumar, H.; Tawhai, M.H.; Hoffman, E.A.; Lin, C.-L. The effects of geometry on airflow in the acinar region of the human lung. J. Biomech. 2009, 42, 1635–1642. [Google Scholar] [CrossRef] [PubMed]
- Sturm, R. A computer model for the simulation of nanoparticle deposition in the alveolar structures of the human lungs. Ann. Transl. Med. 2015, 3, 281. [Google Scholar]
- Rosati, J.A.; Leith, D.; Kim, C.S. Monodisperse and polydisperse aerosol deposition in a packed bed. Aerosol Sci. Technol. 2003, 37, 528–535. [Google Scholar] [CrossRef]
- Dockery, D.W.; Pope, C.A.; Xu, X.; Spengler, J.D.; Ware, J.H.; Fay, M.E.; Ferris, B.G., Jr.; Speizer, F.E. An association between air pollution and mortality in six US cities. N. Engl. J. Med. 1993, 329, 1753–1759. [Google Scholar] [CrossRef]
- Islam, M.S.; Saha, S.C.; Gemci, T.; Yang, I.A.; Sauret, E.; Gu, Y.T. Polydisperse Microparticle Transport and Deposition to the Terminal Bronchioles in a Heterogeneous Vasculature Tree. Sci. Rep. 2018, 8, 16387. [Google Scholar] [CrossRef]
- Yu, C.; Diu, C. A comparative study of aerosol deposition in different lung models. Am. Ind. Hyg. Assoc. J. 1982, 43, 54–65. [Google Scholar] [CrossRef]
- Spencer, R.M.; Schroeter, J.D.; Martonen, T.B. Computer simulations of lung airway structures using data-driven surface modeling techniques. Comput. Biol. Med. 2001, 31, 499–511. [Google Scholar] [CrossRef]
- Stuart, B.O. Deposition of inhaled aerosols. Arch. Intern. Med. 1973, 131, 60–73. [Google Scholar] [CrossRef]
- Swift, D.L.; Montassier, N.; Hopke, P.K.; Karpen-Hayes, K.; Cheng, Y.-S.; Su, Y.F.; Yeh, H.C.; Strong, J.C. Inspiratory deposition of ultrafine particles in human nasal replicate cast. J. Aerosol Sci. 1992, 23, 65–72. [Google Scholar] [CrossRef]
- Zhang, Z.; Kleinstreuer, C. Laminar-to-turbulent fluid–nanoparticle dynamics simulations: Model comparisons and nanoparticle-deposition applications. Int. J. Numer. Methods Biomed. Eng. 2011, 27, 1930–1950. [Google Scholar] [CrossRef]
- Lin, C.L.; Tawhai, M.H.; Hoffman, E.A. Multiscale image-based modeling and simulation of gas flow and particle transport in the human lungs. Wiley Interdiscip. Rev. Syst. Biol. Med. 2013, 5, 643–655. [Google Scholar] [CrossRef] [PubMed]
- Haber, S.; Yitzhak, D.; Tsuda, A. Gravitational deposition in a rhythmically expanding and contracting alveolus. J. Appl. Physiol. 2003, 95, 657–671. [Google Scholar] [CrossRef] [PubMed]










| Author | Model | Anatomy | Generation |
|---|---|---|---|
| Sauret, Halson, Brown, Fleming and Bailey [17] | - | CT | 6 and 9 |
| Garrity, Segars, Knisley and Tsui [18] | - | CT | 5 |
| McRobbie, Pritchard and Quest [22] | Ex Vivo | MRI | Oropharyngeal Airways |
| Lin, Tawhai, McLennan and Hoffman [23] | DNS, Subgrid-scale | Multidetector-row CT | Mouth throat to up to 6 |
| Luo and Liu [20] | LRN k-w | CT | 5 |
| Walters, Burgreen, Hester, Thompson, Lavallee, Pruett and Wang [19] | Laminar | CT | 15 |
| Greenblatt [24] | Theoretical and experimental | CT | 9 |
| Rahimi-Gorji, Pourmehran, Gorji-Bandpy and Gorji [25] | k-w SST (steady) | CT | 2 |
| Islam, Saha, Sauret, Gu and Ristovski [26] | Laminar, DPM | CT | 3 |
| Pourmehran, Rahimi-Gorji, Gorji-Bandpy and Gorji [27] | Turbulent, SST k-w | CT | 2 |
| Pourmehran, Gorji and Gorji-Bandpy [28] | k-w Low Reynolds number | CT | 6 |
| Miyawaki, Hoffman and Lin [29] | Transitional | CT | 5 |
| Miyawaki, Hoffman and Lin [30] | LES | CT | 5 |
| Kannan, Chen, Singh, Przekwas, Delvadia, Tian and Walenga [31] | Smagorinsky Model | CT | 5 |
| Van de Moortele, Wendt and Coletti [32] | In Vivo, In Vitro | Realistic CT | 7 |
| Islam, S. C. Saha and Young [21] | Heliox mixture model | Realistic CT | 16 |
| Total Flow Rate Distribution (%) | |||
|---|---|---|---|
| Region | Cohen et al. (1990) 7.5 (lpm) | Islam et al. (2017c) 7.5 (lpm) | Horsfield et al. (1971) |
| Left lower | 24.5 | 25.14 | 24.9 |
| Left upper | 14.9 | 15.34 | 20.5 |
| Right lower | 32.1 | 36.17 | 23.2 |
| Right middle | 8.3 | 11.01 | 9.6 |
| Right upper | 20.2 | 12.48 | 21.7 |
| Left lung | 39.4 | 40.48 | 45.4 |
| Right lung | 60.6 | 59.66 | 54.6 |
| Author | Anatomy | Calculate Particle Deposition? | Generation |
|---|---|---|---|
| [133] | • Non-realistic • Cartilage Ring | √ | G-1 |
| [75,134] | • Non-realistic • Weibel’s | √ | G0–G3 |
| [15] | • Realistic | √ | G0–G6 |
| [135] | • Non-Realistic | √ | G0–G6 |
| [136] | • Non-Realistic | √ | G0–G7 |
| [137] | • Non-Realistic | √ | G0–G9 |
| [74] | • Non-Realistic | √ | G0–G10 |
| [95] | • Non-Realistic | √ | G0–G15 |
| [138] | • Non-Realistic | √ | G0–G16 |
| [92] | • Non-Realistic • Asymmetric | √ | G0–17 |
| Author | Anatomy | Model | Airflow | Particle Transport and Deposition |
|---|---|---|---|---|
| Farkas et al. (2006); Zhang, Kleinstreuer, Donohue and Kim [109]; Longest and Vinchurkar, (2007); Zhang et al. (2005b) | • Non-realistic • Weibel’s Model | • Low Reynolds Number (LRN) k-ω turbulence model | √ | √ |
| Longest et al. (2016); Xi and Longest [62]; Tian et al. 2015 * | • Realistic Asymmetric | • LRN k-ω turbulence model | √ | √ |
| Tian et al. (2017); Farhadi Ghalati et al. (2012); Sohrabi et al. (2017) | • CT-Realistic | • Laminar | √ | √ |
| Farkas and Balásházy, (2007); Farkas and Balásházy, (2008); Balásházy et al. (2003); Liu et al. (2002); Longest and Vinchurkar, (2009); Balásházy and Hofmann, (1993); Zhang et al. (2002); Liu et al. (2003a); Nowak, Kakade and Annapragada [72] | • Non-realistic | • Laminar | √ | √ |
| Pourmehran, Rahimi-Gorji, Gorji-Bandpy and Gorji [27]; [27,70] **; Sandeau, Katz, Fodil, Louis, Apiou-Sbirlea, Caillibotte and Isabey [37] | • CT-Realistic | • SST k-ω model | √ | √ |
| Yousefi et al. [14]; Liu et al. (2007) | • CT-Realistic | • RANS k-ω turbulence method | √ | √ |
| Zhang et al. (2004); Matida et al. (2004); | • Idealized | • RANS k-ω turbulence model | √ | √ |
| [45,58,106] | • Idealized | • k–ε turbulence model | √ | √ |
| Aasgrav et al. (2017); Shih et al. (1995) ** | • Realistic | • k-ε turbulence model | √ | √ |
| Bernate, Geisler, Padhy, Shaqfeh and Iaccarino [66] **; Cui and Gutheil [64]; Jin, Fan, Zeng and Cen [65]; Gemci, Ponyavin, Chen, Chen and Collins [63] **; Islam, Saha, Sauret, Gemci and Gu [92] | • Realistic • Non-realistic | • LES Turbulence Model | √ | √ |
© 2020 by the authors. Licensee MDPI, Basel, Switzerland. This article is an open access article distributed under the terms and conditions of the Creative Commons Attribution (CC BY) license (http://creativecommons.org/licenses/by/4.0/).
Share and Cite
Islam, M.S.; Paul, G.; Ong, H.X.; Young, P.M.; Gu, Y.T.; Saha, S.C. A Review of Respiratory Anatomical Development, Air Flow Characterization and Particle Deposition. Int. J. Environ. Res. Public Health 2020, 17, 380. https://doi.org/10.3390/ijerph17020380
Islam MS, Paul G, Ong HX, Young PM, Gu YT, Saha SC. A Review of Respiratory Anatomical Development, Air Flow Characterization and Particle Deposition. International Journal of Environmental Research and Public Health. 2020; 17(2):380. https://doi.org/10.3390/ijerph17020380
Chicago/Turabian StyleIslam, Mohammad S., Gunther Paul, Hui X. Ong, Paul M. Young, Y. T. Gu, and Suvash C. Saha. 2020. "A Review of Respiratory Anatomical Development, Air Flow Characterization and Particle Deposition" International Journal of Environmental Research and Public Health 17, no. 2: 380. https://doi.org/10.3390/ijerph17020380
APA StyleIslam, M. S., Paul, G., Ong, H. X., Young, P. M., Gu, Y. T., & Saha, S. C. (2020). A Review of Respiratory Anatomical Development, Air Flow Characterization and Particle Deposition. International Journal of Environmental Research and Public Health, 17(2), 380. https://doi.org/10.3390/ijerph17020380

