Evaluation of the Lower Trapezius Muscle Using Ultrasound Panoramic View (a Novel Approach): An Intra- and Inter-Rater Reliability Study
Abstract
1. Introduction
2. Materials and Methods
2.1. Study Design and Ethical Approval Statement
2.2. Examiners
2.3. Procedure Assessment
2.4. Statistical Analysis
3. Results
Reliability of Length Measurements of Inferior Fibres of Trapezius Muscle
4. Discussion
5. Conclusions
Supplementary Materials
Author Contributions
Funding
Acknowledgments
Conflicts of Interest
References
- Ikai, M.; Fukunaga, T. Calculation of muscle strength per unit cross-sectional area of human muscle by means of ultrasonic measurement. Graefe’s Arch. Clin. Exp. Ophthalmol. 1968, 26, 26–32. [Google Scholar] [CrossRef]
- Men, Y.; Young, A.; Stokes, M.; Crowe, M. The size and strength of the quadriceps muscles of old. Clin. Physiol. 1985, 5, 145–154. [Google Scholar] [CrossRef] [PubMed]
- Young, A.; Stokes, M.; Round, J.M.; Edwards, R.H.T. The effect of high-resistance training on the strength and cross-sectional area of the human quadriceps. Eur. J. Clin. Investig. 1983, 13, 411–417. [Google Scholar] [CrossRef] [PubMed]
- Hides, J.A.; Richardson, C.A.; Jull, G. Multifidus muscle recovery is not automatic after resolution of acute, first-episode low back pain. Spine 1996, 21, 2763–2769. [Google Scholar] [CrossRef]
- Stachowicz, N.; Stachowicz, S.; Smolen, A.; Morawska, D.; Kotarski, J. Sonographic evaluation of the levator ani muscle in women with stress urinary incontinence. Ginekol. Polska 2012, 83, 669–673. [Google Scholar]
- Morelli, L.; Guadagni, S.; Borrelli, V.; Pisano, R.; Di Franco, G.; Palmeri, M.; Furbetta, N.; Gambaccini, D.; Marchi, S.; Boraschi, P.; et al. Role of abdominal ultrasound for the surveillance follow-up of pancreatic cystic neoplasms: A cost-effective safe alternative to the routine use of magnetic resonance imaging. World J. Gastroenterol. 2019, 25, 2217–2228. [Google Scholar] [CrossRef]
- Scott, J.M.; Martin, D.S.; Ploutz-Snyder, R.; Caine, T.; Matz, T.; Arzeno, N.M.; Buxton, R.; Ploutz-Snyder, L. Reliability and validity of panoramic ultrasound for muscle quantification. Ultrasound Med. Boil. 2012, 38, 1656–1661. [Google Scholar] [CrossRef]
- Ahtiainen, J.P.; Hoffren, M.; Hulmi, J.; Pietikäinen, M.; Mero, A.A.; Avela, J.; Häkkinen, K. Panoramic ultrasonography is a valid method to measure changes in skeletal muscle cross-sectional area. Graefe’s Arch. Clin. Exp. Ophthalmol. 2009, 108, 273–279. [Google Scholar] [CrossRef]
- Palmer, T.B.; Akehi, K.; Thiele, R.M.; Smith, U.B.; Thompson, B.J. Reliability of panoramic ultrasound imaging in simultaneously examining muscle size and quality of the hamstring muscles in young, healthy males and females. Ultrasound Med. Boil. 2015, 41, 675–684. [Google Scholar] [CrossRef]
- Barfod, K.W.; Riecke, A.F.; Boesen, A.; Hansen, P.; Maier, J.F.; Døssing, S.; Troelsen, A. Validation of a novel ultrasound measurement of achilles tendon length. Knee Surg. Sports Traumatol. Arthrosc. 2014, 23, 3398–3406. [Google Scholar] [CrossRef]
- Ryan, E.D.; Rosenberg, J.G.; Scharville, M.J.; Sobolewski, E.J.; Thompson, B.J.; King, G.E. Test-retest reliability and the minimal detectable change for achilles tendon length: A panoramic ultrasound assessment. Ultrasound Med. Boil. 2013, 39, 2488–2491. [Google Scholar] [CrossRef] [PubMed]
- Balius, R.; Pedret, C.; Blasi, M.; Miguel, M.; Vallejo, B.; Margalet, E.; Bong, D.A.; Martinoli, C. Sonographic evaluation of the distal iliopsoas tendon using a new approach. J. Ultrasound Med. 2014, 33, 2021–2030. [Google Scholar] [CrossRef] [PubMed]
- Gerevini, S.; Scarlato, M.; Maggi, L.; Cava, M.; Caliendo, G.; Pasanisi, B.; Falini, A.; Previtali, S.C.; Morandi, L. Muscle MRI findings in facioscapulohumeral muscular dystrophy. Eur. Radiol. 2015, 26, 693–705. [Google Scholar] [CrossRef] [PubMed]
- Sokk, J.; Gapeyeva, H.; Ereline, J.; Merilä, M.; Pääsuke, M. Shoulder muscle function in frozen shoulder syndrome patients following manipulation under anesthesia: A 6-month follow-up study. Orthop. Traumatol. Surg. Res. 2013, 99, 699–705. [Google Scholar] [CrossRef] [PubMed]
- Fernandez-Carnero, S. Sistema de Guiado para Visión Panorámica Ecográfica (SIG_VIP)—Universidad de Alcalá. Patent Petition Number P201700686, 31 July 2017. [Google Scholar]
- Kottner, J.; Audigé, L.; Brorson, S.; Donner, A.; Gajewski, B.J.; Hróbjartsson, A.; Roberts, C.; Shoukri, M.; Streiner, D.L. Guidelines for Reporting Reliability and Agreement Studies (GRRAS) were proposed. J. Clin. Epidemiol. 2011, 64, 96–106. [Google Scholar] [CrossRef] [PubMed]
- Gwet, K.L. Handbook of Inter-Rater Reliability: The Definitive Guide to Measuring the Exent of Agreement among Raters, 4th ed.; Advanced Analytics, LLC: Gaithersburg, MD, USA, 2010; ISBN 0970806272. [Google Scholar]
- Schneider, C.A.; Rasband, W.S.; Eliceiri, K.W. NIH Image to ImageJ: 25 years of image analysis. Nat. Methods 2012, 9, 671–675. [Google Scholar] [CrossRef] [PubMed]
- Weir, J.P. Quantifying test-retest reliability using the intraclass correlation coefficient and the SEM. J. Strength Cond. Res. 2005, 19, 231. [Google Scholar] [CrossRef]
- Bland, J.M.; Altman, U.G. Measuring agreement in method comparison studies. Stat. Methods Med Res. 1999, 8, 135–160. [Google Scholar] [CrossRef]
- Koppenhaver, S.; Parent, E.C.; Teyhen, D.S.; Hebert, J.J.; Fritz, J.M. The Effect of averaging multiple trials on measurement error during ultrasound imaging of transversus abdominis and lumbar multifidus muscles in individuals with low back pain. J. Orthop. Sports Phys. Ther. 2009, 39, 604–611. [Google Scholar] [CrossRef]
- Bernardes, B.T.; Resende, A.P.M.; Stüpp, L.; Oliveira, E.; Castro, R.A.; Jármy di Bella, Z.I.K.; Girão, M.J.B.C.; Sartori, M.G.F. Efficacy of pelvic floor muscle training and hypopressive exercises for treating pelvic organ prolapse in women: Randomized controlled trial. Sao Paulo Med. J. 2012, 130, 5–9. [Google Scholar] [CrossRef]
- Kiesel, K.B.; Uhl, T.; Underwood, F.B.; Nitz, A.J. Rehabilitative ultrasound measurement of select trunk muscle activation during induced pain. Man. Ther. 2008, 13, 132–138. [Google Scholar] [CrossRef] [PubMed]
- Hides, J.A.; Lambrecht, G.; Stanton, W.R.; Damann, V. Changes in multifidus and abdominal muscle size in response to microgravity: Possible implications for low back pain research. Eur. Spine J. 2015, 25, 175–182. [Google Scholar] [CrossRef] [PubMed]
- Koppenhaver, S.; Harris, D.; Harris, A.; O’Connor, E.; Dummar, M.; Croy, T.; Walker, M.; Flynn, T. The reliability of rehabilitative ultrasound imaging in the measurement of infraspinatus muscle function in the symptomatic and asymptomatic shoulders of patients with unilateral shoulder impingement syndrome. Int. J. Sports Phys. Ther. 2015, 10, 128–135. [Google Scholar] [PubMed]
- Sasaki, T.; Yoshimura, N.; Hashizume, H.; Yamada, H.; Oka, H.; Matsudaira, K.; Iwahashi, H.; Shinto, K.; Ishimoto, Y.; Nagata, K.; et al. MRI-defined paraspinal muscle morphology in Japanese population: The Wakayama spine study. PLoS ONE 2017, 12, e0187765. [Google Scholar] [CrossRef]
- Urrutia, J.; Besa, P.; Lobos, D.; Andia, M.E.; Arrieta, C.; Uribe, S. Is a single-level measurement of paraspinal muscle fat infiltration and cross-sectional area representative of the entire lumbar spine? Skelet. Radiol. 2018, 47, 939–945. [Google Scholar] [CrossRef]
- Ranger, T.A.; Cicuttini, F.M.; Jensen, T.S.; Peiris, W.L.; Hussain, S.M.; Fairley, J.; Urquhart, D.M. Are the size and composition of the paraspinal muscles associated with low back pain? A systematic review. Spine J. 2017, 17, 1729–1748. [Google Scholar] [CrossRef]
- Barfod, K.W.; Riecke, A.F.; Anders, B.; Hansen, P.; Maier, J.F.; Døssing, S.; Troelsen, A. 11 Validity and reliability of an ultrasound measurement of the free length of the achilles tendon. Abstracts 2018, 52, A4–A5. [Google Scholar] [CrossRef]
- Scott, J.M.; Martin, D.S.; Ploutz-Snyder, R.; Matz, T.; Caine, T.; Downs, M.; Hackney, K.J.; Buxton, R.; Ryder, J.W.; Ploutz-Snyder, L. Panoramic ultrasound: A novel and valid tool for monitoring change in muscle mass. J. Cachexia Sarcopenia Muscle 2017, 8, 475–481. [Google Scholar] [CrossRef]
- Tate, A.; McClure, P.W.; Young, I.A.; Salvatori, R.; Michener, L.A. Comprehensive impairment-based exercise and manual therapy intervention for patients with subacromial impingement syndrome: A case series. J. Orthop. Sports Phys. Ther. 2010, 40, 474–493. [Google Scholar] [CrossRef]
- Tsang, S.M.H.; So, B.C.L.; Lau, R.W.L.; Dai, J.; Szeto, G.P.Y. Effects of combining ergonomic interventions and motor control exercises on muscle activity and kinematics in people with work-related neck-shoulder pain. Graefe’s Arch. Clin. Exp. Ophthalmol. 2018, 118, 751–765. [Google Scholar] [CrossRef]
- Ludewig, P.M.; Hoff, M.S.; Osowski, E.E.; Meschke, S.A.; Rundquist, P.J. Relative balance of serratus anterior and upper trapezius muscle activity during push-up exercises. Am. J. Sports Med. 2004, 32, 484–493. [Google Scholar] [CrossRef] [PubMed]
- Zou, G.Y. Sample size formulas for estimating intraclass correlation coefficients with precision and assurance. Stat. Med. 2012, 31, 3972–3981. [Google Scholar] [CrossRef] [PubMed]


| Variable | Mean (SD) | Range | 
|---|---|---|
| Age, years | 37.25 (12.90) | 20–56 | 
| Weight, kg | 68.74 (15.41) | 46–100 | 
| Height, cm | 170.55 (11.35) | 150–186 | 
| BMI, kg/m2 | 23.42 (3.62) | 18.96–30.86 | 
| Sex, n (%) | ||
| Male | 9 (45) | - | 
| Female | 11 (55) | - | 
| Dominant side, n (%) | ||
| Right | 20 (100) | - | 
| Left | 0 (0) | - | 
| Smoker, n (%) | 5 (25) | - | 
| Worker, n (%) | 15 (75) | - | 
| Sports Practice, n (%) | 13 (65) | - | 
| Variable | First Measurement Mean (SD) | Second Measurement Mean (SD) | Mean Measurement * Mean (SD) | Difference ** Mean (SD) | 
|---|---|---|---|---|
| Right Length, cm | ||||
| Rater 1 | 20.86 (2.54) | 20.65 (2.42) | 20.76 (2.44) | 0.21 (0.84) | 
| Rater 2 | 20.14 (2.89) | 20.31 (3.20) | 20.23 (3.01) | −0.17 (0.87) | 
| Left Length, cm | ||||
| Rater 1 | 21.00 (3.23) | 20.99 (3.05) | 21.00 (3.09) | 0.01 (1.15) | 
| Rater 2 | 20.55 (3.11) | 20.53 (2.60) | 20.54 (2.81) | 0.02 (1.20) | 
| Rater | ICC (95% CI) | ANOVA p-Value | SEM, cm | %SEM | MDC, cm | %MDC | 
|---|---|---|---|---|---|---|
| Right Length | ||||||
| Rater 1 (ICC3,1) | 0.94 (0.86, 0.98) | 0.27 | 0.59 | 2.86 | 1.64 | 7.92 | 
| Rater 2 (ICC3,1) | 0.96 (0.90, 0.98) | 0.39 | 0.62 | 3.06 | 1.71 | 8.48 | 
| Inter-rater (ICC3,2) | 0.89 (0.72, 0.96) | 0.19 | 1.22 | 5.97 | 3.39 | 16.55 | 
| Left Length | ||||||
| Rater 1 (ICC3,1) | 0.94 (0.85, 0.97) | 0.98 | 0.82 | 3.88 | 2.26 | 10.76 | 
| Rater 2 (ICC3,1) | 0.92 (0.80, 0.97) | 0.94 | 0.85 | 4.13 | 2.35 | 11.46 | 
| Inter-rater (ICC3,2) | 0.84 (0.61, 0.94) | 0.36 | 1.53 | 7.39 | 4.25 | 20.48 | 
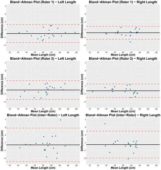
| Rater | X (cm) | LoA (cm) | r | p-Value | 
|---|---|---|---|---|
| Right Length | ||||
| Rater 1 | 0.21 | −1.46 to 1.89 | 0.15 | 0.53 | 
| Rater 2 | −0.17 | −1.92 to 1.58 | −0.36 | 0.12 | 
| Inter-rater | 0.52 | −2.94 to 3.99 | −0.35 | 0.14 | 
| Left Length | ||||
| Rater 1 | 0.01 | −2.30 to 2.31 | 0.16 | 0.50 | 
| Rater 2 | 0.02 | −2.38 to 2.42 | 0.43 | 0.06 | 
| Inter-rater | 0.46 | −3.88 to 4.80 | 0.14 | 0.56 | 
© 2020 by the authors. Licensee MDPI, Basel, Switzerland. This article is an open access article distributed under the terms and conditions of the Creative Commons Attribution (CC BY) license (http://creativecommons.org/licenses/by/4.0/).
Share and Cite
Fernández-Carnero, S.; Garrido-Marín, A.; Achalandabaso-Ochoa, A.; Ferragut-Garcías, A.; Fernández-Matías, R.; Pecos-Martín, D.; Gallego-Izquierdo, T. Evaluation of the Lower Trapezius Muscle Using Ultrasound Panoramic View (a Novel Approach): An Intra- and Inter-Rater Reliability Study. Int. J. Environ. Res. Public Health 2020, 17, 7123. https://doi.org/10.3390/ijerph17197123
Fernández-Carnero S, Garrido-Marín A, Achalandabaso-Ochoa A, Ferragut-Garcías A, Fernández-Matías R, Pecos-Martín D, Gallego-Izquierdo T. Evaluation of the Lower Trapezius Muscle Using Ultrasound Panoramic View (a Novel Approach): An Intra- and Inter-Rater Reliability Study. International Journal of Environmental Research and Public Health. 2020; 17(19):7123. https://doi.org/10.3390/ijerph17197123
Chicago/Turabian StyleFernández-Carnero, Samuel, Alejandro Garrido-Marín, Alexander Achalandabaso-Ochoa, Alejandro Ferragut-Garcías, Rubén Fernández-Matías, Daniel Pecos-Martín, and Tomás Gallego-Izquierdo. 2020. "Evaluation of the Lower Trapezius Muscle Using Ultrasound Panoramic View (a Novel Approach): An Intra- and Inter-Rater Reliability Study" International Journal of Environmental Research and Public Health 17, no. 19: 7123. https://doi.org/10.3390/ijerph17197123
APA StyleFernández-Carnero, S., Garrido-Marín, A., Achalandabaso-Ochoa, A., Ferragut-Garcías, A., Fernández-Matías, R., Pecos-Martín, D., & Gallego-Izquierdo, T. (2020). Evaluation of the Lower Trapezius Muscle Using Ultrasound Panoramic View (a Novel Approach): An Intra- and Inter-Rater Reliability Study. International Journal of Environmental Research and Public Health, 17(19), 7123. https://doi.org/10.3390/ijerph17197123
 
        



 
       