Accelerometer-Measured Diurnal Patterns of Sedentary Behavior among Japanese Workers: A Descriptive Epidemiological Study
Abstract
1. Introduction
2. Materials and Methods
2.1. Participants
2.2. Measures
2.2.1. Sedentary Behavior and Physical Activity
2.2.2. Sociodemographic Factors
2.3. Statistical Analyses
3. Results
3.1. Characteristics of Participants
3.2. Prevalence of Sedentary Behavior for the Whole Day and Three Time Periods
3.3. Relationships Between Sociodemographic Factors and Sedentary Behavior during Whole Day and the Three Time Periods
3.3.1. Workdays by Whole Day
3.3.2. Workdays by Time Period
3.3.3. Nonworkdays by Whole Day
3.3.4. Nonworkdays by Time Period
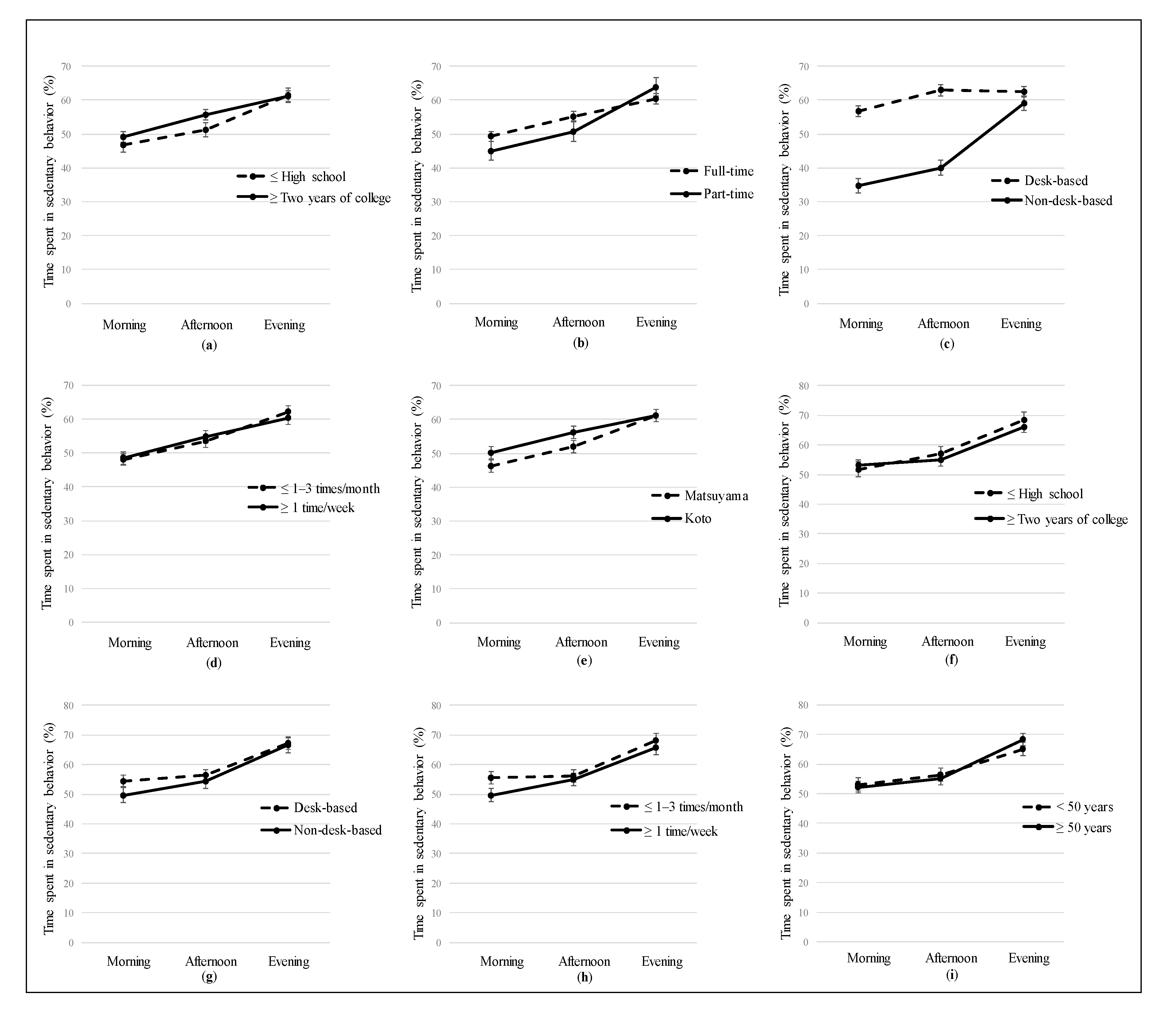
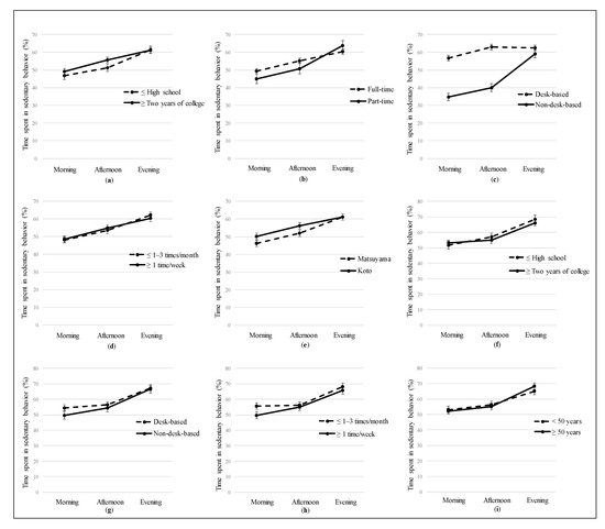
3.4. Interaction Effects
4. Discussion
5. Conclusions
Supplementary Materials
Author Contributions
Funding
Acknowledgments
Conflicts of Interest
References
- Biswas, A.; Oh, P.I.; Faulkner, G.E.; Bajaj, R.R.; Silver, M.A.; Mitchell, M.S.; Alter, D.A. Sedentary time and its association with risk for disease incidence, mortality, and hospitalization in adults: A systematic review and meta-analysis. Ann. Intern. Med. 2015, 162, 123–132. [Google Scholar] [CrossRef]
- Ng, S.W.; Popkin, B.M. Time use and physical activity: A shift away from movement across the globe. Obes. Rev. 2012, 13, 659–680. [Google Scholar] [CrossRef] [PubMed]
- Ministry of Health, Labour and Welfare. Monthly Labour Survey. Available online: https://www.mhlw.go.jp/toukei/youran/indexyr_d.html (accessed on 26 February 2020).
- Prince, S.A.; Saunders, T.J.; Gresty, K.; Reid, R.D. A comparison of the effectiveness of physical activity and sedentary behaviour interventions in reducing sedentary time in adults: A systematic review and meta-analysis of controlled trials. Obes. Rev. 2014, 15, 905–919. [Google Scholar] [CrossRef] [PubMed]
- Clemes, S.A.; O’Connell, S.E.; Edwardson, C.L. Office workers’ objectively measured sedentary behavior and physical activity during and outside working hours. J. Occup. Environ. Med. 2014, 56, 298–303. [Google Scholar] [CrossRef] [PubMed]
- Hallman, D.M.; Mathiassen, S.E.; Gupta, N.; Korshoj, M.; Holtermann, A. Differences between work and leisure in temporal patterns of objectively measured physical activity among blue-collar workers. BMC Public Health 2015, 15, 976. [Google Scholar] [CrossRef] [PubMed]
- Parry, S.; Straker, L. The contribution of office work to sedentary behaviour associated risk. BMC Public Health 2013, 13, 10. [Google Scholar] [CrossRef] [PubMed]
- Toomingas, A.; Forsman, M.; Mathiassen, S.E.; Heiden, M.; Nilsson, T. Variation between seated and standing/walking postures among male and female call centre operators. BMC Public Health 2012, 12, 14. [Google Scholar] [CrossRef] [PubMed]
- Van Dommelen, P.; Coffeng, J.K.; van der Ploeg, H.P.; van der Beek, A.J.; Boot, C.R.L.; Hendriksen, I.J.M. Objectively measured total and occupational sedentary time in three work settings. PLoS ONE 2016, 11, 13. [Google Scholar] [CrossRef]
- Kurita, S.; Shibata, A.; Ishii, K.; Koohsari, M.J.; Owen, N.; Oka, K. Patterns of objectively assessed sedentary time and physical activity among Japanese workers: A cross-sectional observational study. BMJ Open 2019, 9, e021690. [Google Scholar] [CrossRef]
- Muller-Riemenschneider, F.; Ng, S.H.; Koh, D.; Chu, A.H. Objectively measured patterns of activities of different intensity categories and steps taken among working adults in a multi-ethnic Asian population. J. Occup. Environ. Med. 2016, 58, e206–e211. [Google Scholar] [CrossRef]
- Smith, L.; Hamer, M.; Ucci, M.; Marmot, A.; Gardner, B.; Sawyer, A.; Wardle, J.; Fisher, A. Weekday and weekend patterns of objectively measured sitting, standing, and stepping in a sample of office-based workers: The active buildings study. BMC Public Health 2015, 15, 9. [Google Scholar] [CrossRef] [PubMed]
- Thorp, A.A.; Healy, G.N.; Winkler, E.; Clark, B.K.; Gardiner, P.A.; Owen, N.; Dunstan, D.W. Prolonged sedentary time and physical activity in workplace and non-work contexts: A cross-sectional study of office, customer service and call centre employees. Int. J. Behav. Nutr. Phys. Act. 2012, 9, 128. [Google Scholar] [CrossRef] [PubMed]
- Ohkawara, K.; Oshima, Y.; Hikihara, Y.; Ishikawa-Takata, K.; Tabata, I.; Tanaka, S. Real-time estimation of daily physical activity intensity by a triaxial accelerometer and a gravity-removal classification algorithm. Br. J. Nutr. 2011, 105, 1681–1691. [Google Scholar] [CrossRef] [PubMed]
- Oshima, Y.; Kawaguchi, K.; Tanaka, S.; Ohkawara, K.; Hikihara, Y.; Ishikawa-Takata, K.; Tabata, I. Classifying household and locomotive activities using a triaxial accelerometer. Gait Posture 2010, 31, 370–374. [Google Scholar] [CrossRef]
- Healy, G.N.; Clark, B.K.; Winkler, E.A.; Gardiner, P.A.; Brown, W.J.; Matthews, C.E. Measurement of adults’ sedentary time in population-based studies. Am. J. Prev. Med. 2011, 41, 216–227. [Google Scholar] [CrossRef]
- Van Weering, M.G.H.; Vollenbroek-Hutten, M.M.R.; Tönis, T.M.; Hermens, H.J. Daily physical activities in chronic lower back pain patients assessed with accelerometry. Eur. J. Pain 2009, 13, 649–654. [Google Scholar] [CrossRef]
- Owen, N.; Healy, G.N.; Matthews, C.E.; Dunstan, D.W. Too much sitting: The population health science of sedentary behavior. Exerc. Sport Sci. Rev. 2010, 38, 105–113. [Google Scholar] [CrossRef]
- Tremblay, M.S.; Aubert, S.; Barnes, J.D.; Saunders, T.J.; Carson, V.; Latimer-Cheung, A.E.; Chastin, S.F.M.; Altenburg, T.M.; Chinapaw, M.J.M.; Participants, S.T.C.P. Sedentary Behavior Research Network (SBRN) - Terminology Consensus Project process and outcome. Int. J. Behav. Nutr. Phys. Act. 2017, 14, 75. [Google Scholar] [CrossRef]
- Bass, J.; Takahashi, J.S. Circadian integration of metabolism and energetics. Science 2010, 330, 1349–1354. [Google Scholar] [CrossRef]
- Grandin, L.D.; Alloy, L.B.; Abramson, L.Y. The social zeitgeber theory, circadian rhythms, and mood disorders: Review and evaluation. Clin. Psychol. Rev. 2006, 26, 679–694. [Google Scholar] [CrossRef]
- Alkhajah, T.A.; Reeves, M.M.; Eakin, E.G.; Winkler, E.A.; Owen, N.; Healy, G.N. Sit-stand workstations: A pilot intervention to reduce office sitting time. Am. J. Prev. Med. 2012, 43, 298–303. [Google Scholar] [CrossRef] [PubMed]
- Healy, G.N.; Eakin, E.G.; Lamontagne, A.D.; Owen, N.; Winkler, E.A.; Wiesner, G.; Gunning, L.; Neuhaus, M.; Lawler, S.; Fjeldsoe, B.S.; et al. Reducing sitting time in office workers: Short-term efficacy of a multicomponent intervention. Prev. Med. 2013, 57, 43–48. [Google Scholar] [CrossRef] [PubMed]
- Neuhaus, M.; Healy, G.N.; Dunstan, D.W.; Owen, N.; Eakin, E.G. Workplace sitting and height-adjustable workstations: A randomized controlled trial. Am. J. Prev. Med. 2014, 46, 30–40. [Google Scholar] [CrossRef] [PubMed]
- Pronk, N.P.; Katz, A.S.; Lowry, M.; Payfer, J.R. Reducing occupational sitting time and improving worker health: The Take-a-Stand Project, 2011. Prev. Chronic Dis. 2012, 9, 9. [Google Scholar] [CrossRef] [PubMed]
- Basner, M.; Fomberstein, K.M.; Razavi, F.M.; Banks, S.; William, J.H.; Rosa, R.R.; Dinges, D.F. American time use survey: Sleep time and its relationship to waking activities. Sleep 2007, 30, 1085–1095. [Google Scholar] [CrossRef] [PubMed]
- Lakerveld, J.; Mackenbach, J.D.; Horvath, E.; Rutters, F.; Compernolle, S.; Bardos, H.; De Bourdeaudhuij, I.; Charreire, H.; Rutter, H.; Oppert, J.M.; et al. The relation between sleep duration and sedentary behaviours in European adults. Obes. Rev. 2016, 17 (Suppl. 1), 62–67. [Google Scholar] [CrossRef]
- Carrier, J.; Monk, T.H.; Buysse, D.J.; Kupfer, D.J. Sleep and morningness-eveningness in the ‘middle’ years of life (20-59 y). J. Sleep Res. 1997, 6, 230–237. [Google Scholar] [CrossRef]
- NHK Broadcasting Culture Research Institute. National Time Use Survey 2015 Report. Available online: https://www.nhk.or.jp/bunken/research/yoron/pdf/20160217_1.pdf (accessed on 26 February 2020).
- Clemes, S.A.; Houdmont, J.; Munir, F.; Wilson, K.; Kerr, R.; Addley, K. Descriptive epidemiology of domain-specific sitting in working adults: The Stormont Study. J. Public Health 2016, 38, 53–60. [Google Scholar] [CrossRef]
- Hadgraft, N.T.; Lynch, B.M.; Clark, B.K.; Healy, G.N.; Owen, N.; Dunstan, D.W. Excessive sitting at work and at home: Correlates of occupational sitting and TV viewing time in working adults. BMC Public Health 2015, 15, 899. [Google Scholar] [CrossRef]
- Takahashi, T.; Nonaka, K.; Matsunaga, H.; Hasebe, M.; Murayama, H.; Koike, T.; Murayama, Y.; Kobayashi, E.; Fujiwara, Y. Factors relating to social isolation in urban Japanese older people: A 2-year prospective cohort study. Arch. Gerontol. Geriatr. 2020, 86, 103936. [Google Scholar] [CrossRef]
- Vancampfort, D.; Stubbs, B.; Smith, L.; Gardner, B.; Herring, M.P.; Firth, J.; Koyanagi, A. Correlates of sedentary behavior among community-dwelling adults with anxiety in six low- and middle-income countries. Psychiatry Res. 2019, 273, 501–508. [Google Scholar] [CrossRef] [PubMed]
- Wanigatunga, A.A.; Simonsick, E.M.; Zipunnikov, V.; Spira, A.P.; Studenski, S.; Ferrucci, L.; Schrack, J.A. Perceived fatigability and objective physical activity in mid- to late-life. J. Gerontol. Ser. A: Boil. Sci. Med Sci. 2018, 73, 630–635. [Google Scholar] [CrossRef] [PubMed]
- Smith, L.; McCourt, O.; Sawyer, A.; Ucci, M.; Marmot, A.; Wardle, J.; Fisher, A. A review of occupational physical activity and sedentary behaviour correlates. Occup. Med. 2016, 66, 185–192. [Google Scholar] [CrossRef] [PubMed]
- Mullane, S.L.; Toledo, M.J.L.; Rydell, S.A.; Feltes, L.H.; Vuong, B.; Crespo, N.C.; Pereira, M.A.; Buman, M.P. Social ecological correlates of workplace sedentary behavior. Int. J. Behav. Nutr. Phys. Act. 2017, 14, 117. [Google Scholar] [CrossRef] [PubMed]
- Statistics Bureau, Ministry of Internal Affairs and Communications. The 2018 Yearly Average Results. Available online: https://www.stat.go.jp/data/roudou/report/2018/index.html (accessed on 26 February 2020).


| n | % | |
|---|---|---|
| Age, years (mean, SD) | 51.5 | 7.0 |
| < 50 years | 171 | 42.2 |
| ≥ 50 years | 234 | 57.8 |
| Sex: women | 229 | 56.5 |
| Marital status: married | 321 | 79.3 |
| Household income | ||
| < 5 million yen | 166 | 41.0 |
| ≥ 5 million yen | 239 | 59.0 |
| Educational attainment | ||
| ≤ High school | 143 | 35.3 |
| ≥ Two years of college | 262 | 64.7 |
| Employment status | ||
| Full-time | 307 | 75.8 |
| Part-time | 98 | 24.2 |
| Workstyle | ||
| Desk-based | 249 | 61.5 |
| Non-desk-based | 156 | 38.5 |
| Body Mass Index, kg/m2 (mean, SD) | 22.4 | 3.1 |
| < 25 | 399 | 83.7 |
| ≥ 25 | 66 | 16.3 |
| Smoking status: smokers | 56 | 13.8 |
| Alcohol consumption | ||
| ≤ 1–3 times/month | 203 | 50.1 |
| ≥ 1 time/week | 202 | 49.9 |
| Residential area | ||
| Matsuyama | 199 | 49.1 |
| Koto | 206 | 50.9 |
| Accelerometer data (mean, SD) | ||
| Wear time (minutes) | ||
| Workdays | 937.0 | 69.4 |
| Nonworkdays | 880.6 | 90.2 |
| SB (minutes) | ||
| Workdays | 507.3 | 140.2 |
| Nonworkdays | 510.7 | 127.5 |
| LPA (minutes) | ||
| Workdays | 352.4 | 126.7 |
| Nonworkdays | 313.2 | 109.5 |
| MVPA (minutes) | ||
| Workdays | 77.4 | 47.7 |
| Nonworkdays | 56.7 | 36.0 |
| Workdays | Nonworkdays | |||||||||||||||||||||||
|---|---|---|---|---|---|---|---|---|---|---|---|---|---|---|---|---|---|---|---|---|---|---|---|---|
| All | Morning | Afternoon | Evening | All | Morning | Afternoon | Evening | |||||||||||||||||
| Mean | SD | Mean | SD | Mean | SD | Mean | SD | Mean | SD | Mean | SD | Mean | SD | Mean | SD | |||||||||
| SB (%) | ||||||||||||||||||||||||
| All participants | 54.2 | 14.9 | 48.3 | 18.7 | 54.1 | 19.7 | 61.2 | 12.7 | 58.0 | 13.5 | 52.6 | 17.6 | 55.6 | 16.8 | 66.9 | 14.1 | ||||||||
| Subgroups | ||||||||||||||||||||||||
| Sex | ||||||||||||||||||||||||
| Men | 59.8 | 15.2 | *** | 55.8 | 18.1 | *** | 61.0 | 19.8 | * | 63.0 | 14.2 | ** | 61.7 | 14.2 | *** | 57.4 | 18.1 | *** | 59.0 | 17.9 | ** | 70.2 | 14.3 | *** |
| Women | 49.9 | 13.1 | 42.5 | 17.1 | 48.9 | 17.9 | 59.8 | 11.3 | 55.2 | 12.2 | 49.0 | 16.2 | 52.9 | 15.4 | 64.4 | 13.5 | ||||||||
| Age | ||||||||||||||||||||||||
| < 50 years | 55.0 | 15.2 | 49.5 | 18.8 | 55.3 | 20.0 | 60.7 | 12.5 | 58.2 | 14.1 | 53.4 | 18.6 | 56.4 | 16.7 | 65.1 | 14.6 | * | |||||||
| ≥ 50 years | 53.7 | 14.7 | 47.3 | 18.6 | 53.3 | 19.4 | 61.6 | 12.8 | 57.9 | 13.0 | 52.0 | 16.8 | 55.0 | 16.8 | 68.3 | 13.6 | ||||||||
| Marital status | ||||||||||||||||||||||||
| Single | 56.5 | 14.7 | * | 51.8 | 17.5 | ** | 56.0 | 20.2 | 62.1 | 12.1 | 61.1 | 13.9 | ** | 55.6 | 18.3 | * | 58.3 | 16.6 | 70.0 | 14.8 | ** | |||
| Married | 53.7 | 14.9 | 47.3 | 19.0 | 53.6 | 19.5 | 61.0 | 12.9 | 57.2 | 13.2 | 51.8 | 17.3 | 54.9 | 16.8 | 66.1 | 13.9 | ||||||||
| Household income | ||||||||||||||||||||||||
| < 5 million yen | 50.5 | 14.1 | 43.4 | 17.8 | 49.2 | 19.1 | 60.7 | 13.7 | 58.3 | 13.1 | 52.6 | 17.4 | 56.4 | 16.2 | 67.1 | 13.9 | ||||||||
| ≥ 5 million yen | 56.9 | 14.9 | 51.6 | 18.7 | 57.5 | 19.4 | 61.5 | 11.9 | 57.8 | 13.7 | 52.7 | 17.7 | 55.0 | 17.2 | 66.8 | 14.3 | ||||||||
| Educational attainment | ||||||||||||||||||||||||
| ≤ High school | 49.1 | 15.6 | * | 42.1 | 19.5 | 46.4 | 20.0 | ** | 60.9 | 14.0 | 58.5 | 14.5 | 51.4 | 18.3 | 56.6 | 17.4 | 68.7 | 14.6 | ||||||
| ≥ Two years of college | 57.1 | 13.7 | 51.6 | 17.5 | 58.3 | 18.2 | 61.4 | 11.9 | 57.8 | 12.9 | 53.3 | 17.2 | 55.0 | 16.4 | 65.9 | 13.8 | ||||||||
| Employment status | ||||||||||||||||||||||||
| Full-time | 57.1 | 14.8 | 52.1 | 18.1 | 58.2 | 19.2 | ** | 61.4 | 12.8 | 59.2 | 13.7 | 54.0 | 18.0 | 56.7 | 17.3 | 67.8 | 14.2 | |||||||
| Part-time | 45.3 | 11.3 | 36.2 | 15.5 | 41.4 | 15.4 | 60.7 | 12.5 | 54.4 | 11.9 | 48.2 | 15.5 | 52.2 | 14.5 | 64.1 | 13.6 | ||||||||
| Workstyle | ||||||||||||||||||||||||
| Desk-based | 62.3 | 10.6 | *** | 58.5 | 12.8 | *** | 64.9 | 13.6 | *** | 62.7 | 11.7 | * | 59.5 | 14.0 | 55.2 | 17.5 | * | 56.9 | 17.3 | 67.5 | 15.0 | |||
| Non-desk-based | 41.4 | 11.2 | 31.9 | 14.6 | 36.9 | 14.9 | 58.8 | 13.8 | 55.7 | 12.2 | 48.5 | 17.0 | 53.6 | 15.7 | 66.0 | 12.7 | ||||||||
| Body Mass Index | ||||||||||||||||||||||||
| < 25 | 53.0 | 14.4 | 46.7 | 18.2 | 52.5 | 19.4 | 60.9 | 12.6 | 57.4 | 13.1 | 51.6 | 16.9 | 54.8 | 16.6 | 66.7 | 13.8 | ||||||||
| ≥ 25 | 60.5 | 15.7 | 56.1 | 19.8 | 62.4 | 19.2 | 63.0 | 13.1 | 61.3 | 14.8 | 57.9 | 20.1 | 59.5 | 17.4 | 68.2 | 15.7 | ||||||||
| Smoking status | ||||||||||||||||||||||||
| Smokers | 55.0 | 14.7 | 49.8 | 18.6 | 54.7 | 20.0 | 61.7 | 12.9 | 61.1 | 14.6 | 56.4 | 18.0 | 57.9 | 18.9 | 69.5 | 15.5 | ||||||||
| Non-smokers | 54.1 | 14.9 | 48.0 | 18.8 | 54.0 | 19.6 | 61.1 | 12.7 | 57.5 | 13.2 | 52.0 | 17.4 | 55.2 | 16.4 | 66.5 | 13.9 | ||||||||
| Alcohol consumption | ||||||||||||||||||||||||
| ≤ 1–3 times/month | 52.5 | 14.9 | 45.9 | 18.9 | 51.0 | 19.5 | 61.7 | 12.5 | 58.8 | 14.1 | * | 54.4 | 18.0 | *** | 55.4 | 17.4 | 67.4 | 14.9 | ||||||
| ≥ 1 time/week | 56.0 | 14.7 | 50.7 | 18.3 | 57.2 | 19.4 | 60.8 | 12.9 | 57.3 | 12.8 | 50.8 | 17.0 | 55.8 | 16.2 | 66.5 | 13.4 | ||||||||
| Residential area | ||||||||||||||||||||||||
| Matsuyama | 50.2 | 14.5 | ** | 43.2 | 18.9 | ** | 48.6 | 18.3 | ** | 60.8 | 13.4 | 58.4 | 13.5 | 52.5 | 17.8 | 56.0 | 16.9 | 67.6 | 14.1 | |||||
| Koto | 58.1 | 14.3 | 53.2 | 17.3 | 59.4 | 19.5 | 61.6 | 12.0 | 57.7 | 13.5 | 52.8 | 17.4 | 55.1 | 16.7 | 66.3 | 14.2 | ||||||||
| Breaks per sedentary hour | ||||||||||||||||||||||||
| All participants | 9.9 | 3.2 | 12.8 | 6.2 | 11.0 | 5.2 | 8.1 | 3.1 | 8.6 | 3.4 | 10.4 | 5.5 | 9.6 | 5.1 | 7.3 | 3.7 | ||||||||
| Subgroups | ||||||||||||||||||||||||
| Sex | ||||||||||||||||||||||||
| Men | 8.9 | 3.3 | *** | 10.5 | 5.5 | *** | 9.3 | 4.8 | *** | 8.3 | 3.7 | 8.0 | 3.3 | *** | 9.3 | 4.8 | *** | 9.0 | 5.2 | * | 7.0 | 3.8 | ||
| Women | 10.7 | 2.9 | 14.6 | 6.1 | 12.3 | 5.1 | 8.0 | 2.6 | 9.1 | 3.4 | 11.4 | 5.8 | 10.1 | 5.0 | 7.5 | 3.6 | ||||||||
| Age | ||||||||||||||||||||||||
| < 50 years | 10.0 | 3.4 | 12.6 | 6.3 | 10.9 | 5.4 | 8.4 | 3.2 | 8.9 | 3.6 | 10.9 | 6.2 | 9.5 | 4.7 | 7.9 | 3.9 | ** | |||||||
| ≥ 50 years | 9.9 | 3.1 | 13.0 | 6.1 | 11.1 | 5.0 | 7.9 | 3.1 | 8.4 | 3.2 | 10.1 | 4.8 | 9.7 | 5.4 | 6.8 | 3.5 | ||||||||
| Marital status | ||||||||||||||||||||||||
| Single | 9.3 | 3.0 | ** | 11.6 | 4.9 | ** | 10.7 | 5.6 | 7.6 | 3.0 | 7.8 | 3.5 | ** | 9.6 | 5.7 | * | 8.8 | 5.0 | 6.4 | 3.2 | ** | |||
| Married | 10.1 | 3.2 | 13.2 | 6.4 | 11.1 | 5.1 | 8.3 | 3.2 | 8.8 | 3.3 | 10.7 | 5.4 | 9.9 | 5.1 | 7.5 | 3.8 | ||||||||
| Household income | ||||||||||||||||||||||||
| < 5 million yen | 10.3 | 2.9 | 13.8 | 6.0 | 11.9 | 5.2 | 7.9 | 3.1 | 8.5 | 3.3 | 10.6 | 5.9 | 9.4 | 4.8 | 7.0 | 3.6 | ||||||||
| ≥ 5 million yen | 9.7 | 3.4 | 12.2 | 6.3 | 10.4 | 5.1 | 8.3 | 3.1 | 8.7 | 3.5 | 10.4 | 5.2 | 9.8 | 5.3 | 7.5 | 3.8 | ||||||||
| Educational attainment | ||||||||||||||||||||||||
| ≤ High school | 10.5 | 3.1 | 14.3 | 6.8 | 12.4 | 5.2 | 7.9 | 3.2 | 8.3 | 3.7 | 10.4 | 5.8 | 9.2 | 5.5 | 6.8 | 3.6 | ||||||||
| ≥ Two years of college | 9.6 | 3.2 | 12.0 | 5.7 | 10.3 | 5.0 | 8.2 | 3.1 | 8.8 | 3.2 | 10.5 | 5.3 | 9.9 | 4.9 | 7.6 | 3.8 | ||||||||
| Employment status | ||||||||||||||||||||||||
| Full-time | 9.6 | 3.3 | 12.0 | 6.0 | 10.3 | 5.0 | 8.2 | 3.3 | 8.4 | 3.5 | 10.2 | 5.6 | 9.5 | 5.3 | 7.2 | 3.8 | ||||||||
| Part-time | 11.0 | 2.6 | 15.5 | 5.9 | 13.2 | 5.0 | 7.8 | 2.6 | 9.1 | 3.1 | 11.2 | 4.9 | 10.0 | 4.4 | 7.7 | 3.5 | ||||||||
| Workstyle | ||||||||||||||||||||||||
| Desk-based | 8.8 | 3.0 | *** | 10.2 | 4.3 | *** | 9.0 | 4.1 | *** | 8.1 | 3.1 | 8.4 | 3.6 | 9.9 | 5.2 | 9.5 | 5.3 | 7.3 | 4.0 | |||||
| Non-desk-based | 11.7 | 2.7 | 17.0 | 6.4 | 14.2 | 5.1 | 8.2 | 3.2 | 8.9 | 3.0 | 11.4 | 5.8 | 9.9 | 4.8 | 7.3 | 3.3 | ||||||||
| Body Mass Index | ||||||||||||||||||||||||
| < 25 | 10.2 | 3.1 | * | 13.2 | 6.0 | 11.5 | 5.1 | * | 8.2 | 3.1 | 8.7 | 3.3 | 10.6 | 5.2 | 9.8 | 5.2 | 7.3 | 3.5 | ||||||
| ≥ 25 | 8.6 | 3.2 | 10.7 | 6.5 | 8.9 | 4.8 | 7.9 | 3.4 | 8.1 | 3.9 | 9.9 | 6.8 | 8.9 | 4.9 | 7.1 | 4.6 | ||||||||
| Smoking status | ||||||||||||||||||||||||
| Smokers | 10.0 | 3.3 | 12.5 | 6.3 | 10.5 | 4.5 | 9.0 | 3.7 | * | 8.2 | 3.3 | 9.8 | 5.5 | 9.3 | 5.1 | 6.9 | 3.5 | |||||||
| Non-smokers | 9.9 | 3.2 | 12.9 | 6.2 | 11.1 | 5.3 | 8.0 | 3.0 | 8.7 | 3.4 | 10.6 | 5.5 | 9.7 | 5.1 | 7.4 | 3.8 | ||||||||
| Alcohol consumption | ||||||||||||||||||||||||
| ≤ 1–3 times/month | 10.2 | 3.0 | 13.7 | 6.6 | 11.7 | 5.2 | 7.9 | 2.8 | 8.6 | 3.6 | 10.3 | 5.8 | 9.9 | 5.5 | 7.3 | 3.9 | ||||||||
| ≥ 1 time/week | 9.7 | 3.3 | 12.0 | 5.6 | 10.4 | 5.1 | 8.4 | 3.4 | 8.6 | 3.1 | 10.6 | 5.0 | 9.4 | 4.8 | 7.3 | 3.6 | ||||||||
| Residential area | ||||||||||||||||||||||||
| Matsuyama | 10.8 | 3.1 | *** | 14.6 | 6.6 | *** | 12.4 | 5.1 | *** | 8.3 | 3.4 | 8.6 | 3.4 | 10.8 | 5.8 | 9.6 | 5.2 | 7.1 | 3.5 | |||||
| Koto | 9.1 | 3.1 | 11.1 | 5.1 | 9.7 | 4.9 | 8.0 | 2.9 | 8.6 | 3.4 | 10.2 | 5.1 | 9.6 | 5.1 | 7.5 | 3.9 | ||||||||
© 2020 by the authors. Licensee MDPI, Basel, Switzerland. This article is an open access article distributed under the terms and conditions of the Creative Commons Attribution (CC BY) license (http://creativecommons.org/licenses/by/4.0/).
Share and Cite
Kurosawa, S.; Shibata, A.; Ishii, K.; Javad Koohsari, M.; Oka, K. Accelerometer-Measured Diurnal Patterns of Sedentary Behavior among Japanese Workers: A Descriptive Epidemiological Study. Int. J. Environ. Res. Public Health 2020, 17, 3814. https://doi.org/10.3390/ijerph17113814
Kurosawa S, Shibata A, Ishii K, Javad Koohsari M, Oka K. Accelerometer-Measured Diurnal Patterns of Sedentary Behavior among Japanese Workers: A Descriptive Epidemiological Study. International Journal of Environmental Research and Public Health. 2020; 17(11):3814. https://doi.org/10.3390/ijerph17113814
Chicago/Turabian StyleKurosawa, Sayaka, Ai Shibata, Kaori Ishii, Mohammad Javad Koohsari, and Koichiro Oka. 2020. "Accelerometer-Measured Diurnal Patterns of Sedentary Behavior among Japanese Workers: A Descriptive Epidemiological Study" International Journal of Environmental Research and Public Health 17, no. 11: 3814. https://doi.org/10.3390/ijerph17113814
APA StyleKurosawa, S., Shibata, A., Ishii, K., Javad Koohsari, M., & Oka, K. (2020). Accelerometer-Measured Diurnal Patterns of Sedentary Behavior among Japanese Workers: A Descriptive Epidemiological Study. International Journal of Environmental Research and Public Health, 17(11), 3814. https://doi.org/10.3390/ijerph17113814

