The Influence of Ionic and Nonionic Surfactants on the Colloidal Stability and Removal of CuO Nanoparticles from Water by Chemical Coagulation
Abstract
:1. Introduction
2. Materials and Methods
2.1. Chemicals
2.2. Stock Solution Preparation
2.3. Experimental Water Samples: Preparation and Characteristics
2.4. Different Batch Experiments
2.4.1. Batch Adsorption Study and Isotherm Modelling
2.4.2. Influence of Surfactants on the Aggregation and Sedimentation of CuO NPs
2.4.3. Effect of pH and Ionic Strength on the Aggregation of CuO NPs in the Presence of Surfactants
2.4.4. Chemical Coagulation Experiments
2.5. Other Analytical Techniques
3. Results and Discussion
3.1. Characterization of CuO NPs
3.2. Adsorption Study
3.3. Effects of the Surfactants on the ζ Potential and HDD of CuO NPs
3.4. Effects of Surfactants on the Aggregation Kinetics of CuO NPs
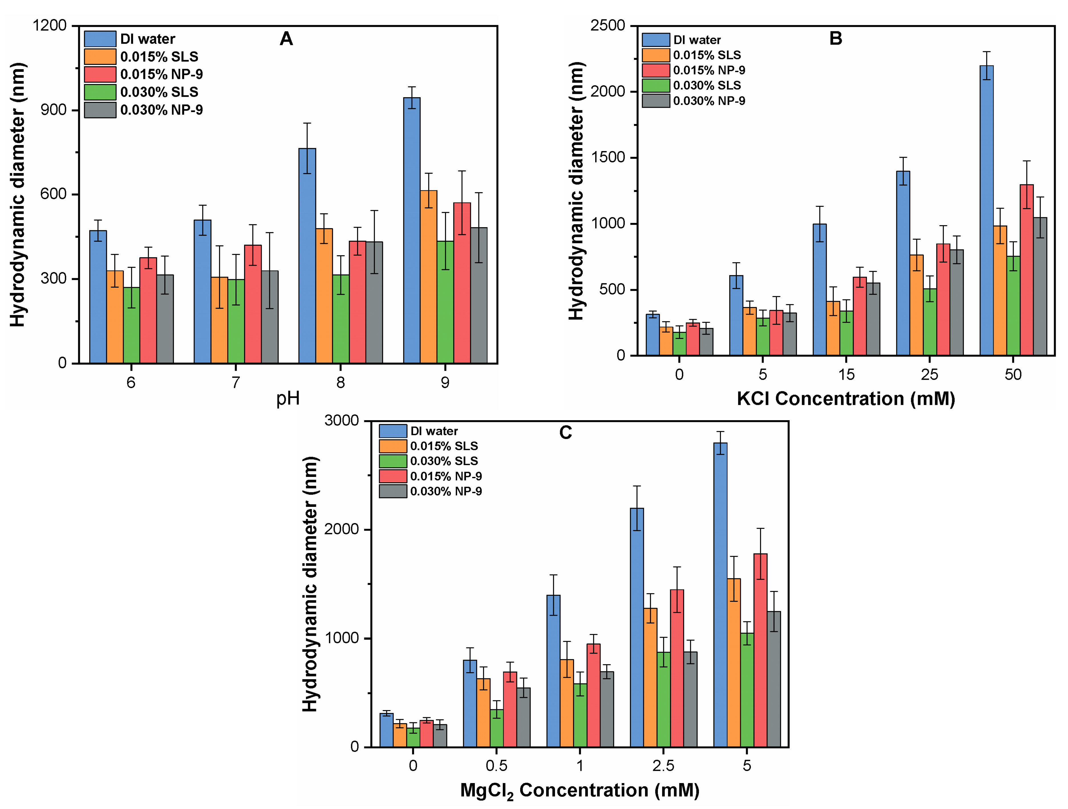
3.5. Effect of Surfactants on HDD of CuO with Various pH and Electrolyte Types
3.6. Effects of Surfactants on the Aggregation Behavior of CuO NPs in Environmental Waters
3.7. Removal of Contaminants from Environmental Waters
3.8. Removal of SLS and NP-9 from Environmental Waters
3.9. Study Significance
4. Conclusions
Supplementary Materials
Author Contributions
Funding
Conflicts of Interest
References
- Applerot, G.; Lellouche, J.; Lipovsky, A.; Nitzan, Y.; Lubart, R.; Gedanken, A.; Banin, E. Understanding the antibacterial mechanism of CuO nanoparticles: Revealing the route of induced oxidative stress. Small 2012, 8, 3326–3337. [Google Scholar] [CrossRef] [PubMed]
- Cioffi, N.; Ditaranto, N.; Torsi, L.; Picca, R.A.; Sabbatini, L.; Valentini, A.; Novello, L.; Tantillo, G.; Bleve-Zacheo, T.; Zambonin, P.G. Analytical characterization of bioactive fluoropolymer ultra-thin coatings modified by copper nanoparticles. Anal. Bioanal. Chem. 2005, 381, 607–616. [Google Scholar] [CrossRef] [PubMed]
- Keller, A.A.; McFerran, S.; Lazareva, A.; Suh, S. Global life cycle releases of engineered nanomaterials. J. Nanopart. Res. 2013, 15, 1692. [Google Scholar] [CrossRef]
- Handy, R.D.; Owen, R.; Valsami-Jones, E. The ecotoxicology of nanoparticles and nanomaterials: Current status, knowledge gaps, challenges, and future needs. Ecotoxicology 2008, 17, 315–325. [Google Scholar] [CrossRef] [PubMed]
- Nel, A. Toxic Potential of Materials at the Nanolevel. Science 2006, 311, 622–627. [Google Scholar] [CrossRef] [PubMed]
- Aruoja, V.; Dubourguier, H.-C.C.; Kasemets, K.; Kahru, A. Toxicity of nanoparticles of CuO, ZnO and TiO2 to microalgae Pseudokirchneriella subcapitata. Sci. Total Environ. 2009, 407, 1461–1468. [Google Scholar] [CrossRef]
- Dimkpa, C.O.; McLean, J.E.; Latta, D.E.; Manangón, E.; Britt, D.W.; Johnson, W.P.; Boyanov, M.I.; Anderson, A.J. CuO and ZnO nanoparticles: Phytotoxicity, metal speciation, and induction of oxidative stress in sand-grown wheat. J. Nanopart. Res. 2012, 14, 1125. [Google Scholar] [CrossRef]
- Dreher, K.L. Health and environmental impact of nanotechnology: Toxicological assessment of manufactured nanoparticles. Toxicol. Sci. 2004, 77, 3–5. [Google Scholar] [CrossRef] [PubMed]
- Peng, C.; Shen, C.; Zheng, S.; Yang, W.; Hu, H.; Liu, J.; Shi, J. Transformation of CuO Nanoparticles in the Aquatic Environment: Influence of pH, Electrolytes and Natural Organic Matter. Nanomaterials 2017, 7, 326. [Google Scholar] [CrossRef] [PubMed]
- Odzak, N.; Kistler, D.; Behra, R.; Sigg, L. Dissolution of metal and metal oxide nanoparticles in aqueous media. Environ. Pollut. 2014, 191, 132–138. [Google Scholar] [CrossRef]
- Miao, L.; Wang, C.; Hou, J.; Wang, P.; Ao, Y.; Li, Y.; Lv, B.; Yang, Y.; You, G.; Xu, Y. Effect of alginate on the aggregation kinetics of copper oxide nanoparticles (CuO NPs): Bridging interaction and hetero-aggregation induced by Ca2+. Environ. Sci. Pollut. Res. 2016, 23, 11611–11619. [Google Scholar] [CrossRef]
- Keller, A.A.; Wang, H.; Zhou, D.; Lenihan, H.S.; Cherr, G.; Cardinale, B.J.; Miller, R.; Zhaoxia, J.I. Stability and aggregation of metal oxide nanoparticles in natural aqueous matrices. Environ. Sci. Technol. 2010, 44, 1962–1967. [Google Scholar] [CrossRef]
- Degen, A.; Kosec, M. Effect of pH and impurities on the surface charge of zinc oxide in aqueous solution. J. Eur. Ceram. Soc. 2000, 20, 667–673. [Google Scholar] [CrossRef]
- Peng, Y.-H.; Tso, C.; Tsai, Y.; Zhuang, C.; Shih, Y. The effect of electrolytes on the aggregation kinetics of three different ZnO nanoparticles in water. Sci. Total Environ. 2015, 530, 183–190. [Google Scholar] [CrossRef] [PubMed]
- Narkis, N.; Ben-David, B. Adsorption of non-ionic surfactants on activated carbon and mineral clay. Water Res. 1985, 19, 815–824. [Google Scholar] [CrossRef]
- Wang, M.; Sun, P.; Lin, D.; Fang, J.; Han, J.; Zhang, K. Transport of TiO2 nanoparticles in soil in the presence of surfactants. Sci. Total Environ. 2015, 527–528, 420–428. [Google Scholar] [CrossRef]
- Bouchard, D.; Zhang, W.; Powell, T.; Rattanaudompol, U. Aggregation kinetics and transport of single-walled carbon nanotubes at low surfactant concentrations. Environ. Sci. Technol. 2012, 46, 4458–4465. [Google Scholar] [CrossRef]
- Godinez, I.G.; Darnault, C.J.G. Aggregation and transport of nano-TiO2 in saturated porous media: Effects of pH, surfactants and flow velocity. Water Res. 2011, 45, 839–851. [Google Scholar] [CrossRef]
- Liu, L.; Gao, B.; Wu, L.; Sun, Y.; Zhou, Z. Effects of surfactant type and concentration on graphene retention and transport in saturated porous media. Chem. Eng. J. 2015, 262, 1187–1191. [Google Scholar] [CrossRef]
- Khan, R.; Inam, M.; Iqbal, M.; Shoaib, M.; Park, D.; Lee, K.; Shin, S.; Khan, S.; Yeom, I. Removal of ZnO Nanoparticles from Natural Waters by Coagulation-Flocculation Process: Influence of Surfactant Type on Aggregation, Dissolution and Colloidal Stability. Sustainability 2019, 11, 17. [Google Scholar] [CrossRef]
- Yang, L.; Du, K.; Zhang, X.S.; Cheng, B. Preparation and stability of Al2O3 nano-particle suspension of ammonia–water solution. Appl. Therm. Eng. 2011, 31, 3643–3647. [Google Scholar] [CrossRef]
- Tkachenko, N.H.; Yaremko, Z.M.; Bellmann, C.; Soltys, M.M. The influence of ionic and nonionic surfactants on aggregative stability and electrical surface properties of aqueous suspensions of titanium dioxide. J. Colloid Interface Sci. 2006, 299, 686–695. [Google Scholar] [CrossRef]
- Khan, R.; Inam, M.A.; Park, D.R.; Khan, S.; Akram, M.; Yeom, I.T. The Removal of CuO Nanoparticles from Water by Conventional Treatment C/F/S: The Effect of pH and Natural Organic Matter. Molecules 2019, 24, 914. [Google Scholar] [CrossRef]
- Apha, A. WPCF, Standard Methods for the Examination of Water and Wastewater; American Public Health Association: Washington, DC, USA, 1995. [Google Scholar]
- Chibowski, E.; Holysz, L.; Terpilowski, K.; Wiacek, A.E. Influence of ionic surfactants and lecithin on stability of titanium dioxide in aqueous electrolyte solution. Croat. Chem. Acta 2007, 80, 395–403. [Google Scholar]
- Li, X.; Yoneda, M.; Shimada, Y.; Matsui, Y. Effect of surfactants on the aggregation and sedimentation of zinc oxide nanomaterial in natural water matrices. Sci. Total Environ. 2017, 581–582, 649–656. [Google Scholar] [CrossRef]
- Khan, R.; Inam, M.A.; Zam, S.Z.; Park, D.R.; Yeom, I.T. Assessment of key environmental factors influencing the sedimentation and aggregation behavior of zinc oxide nanoparticles in aquatic environment. Water 2018, 10, 660. [Google Scholar] [CrossRef]
- Hug, S.J. In situ fourier transform infrared measurements of sulfate adsorption on hematite in aqueous solutions. J. Colloid Interface Sci. 1997, 188, 415–422. [Google Scholar] [CrossRef]
- Somasundaran, P. Reagents in Mineral Technology; Routledge: Abingdon, UK, 2018. [Google Scholar]
- Bhagat, R.P. Kinetics of sodium dodecyl benzene sulfonate adsorption on hematite and its interaction with polyacrylamide. Colloid Polym. Sci. 2001, 279, 33–38. [Google Scholar] [CrossRef]
- Kinsinger, N.; Honda, R.; Keene, V.; Walker, S.L. Titanium Dioxide Nanoparticle Removal in Primary Prefiltration Stages of Water Treatment: Role of Coating, Natural Organic Matter, Source Water, and Solution Chemistry. Environ. Eng. Sci. 2015, 32, 292–300. [Google Scholar] [CrossRef]
- Zhang, L.; Mao, J.; Zhao, Q.; He, S.; Ma, J. Effect of AlCl3 concentration on nanoparticle removal by coagulation. J. Environ. Sci. 2015, 38, 103–109. [Google Scholar] [CrossRef]
- Duan, J.; Gregory, J. Coagulation by hydrolysing metal salts. Adv. Colloid Interface Sci. 2003, 100, 475–502. [Google Scholar] [CrossRef]
- Wang, Y.; Xue, N.; Chu, Y.; Sun, Y.; Yan, H.; Han, Q. CuO nanoparticle–humic acid (CuONP–HA) composite contaminant removal by coagulation/ultrafiltration process: The application of sodium alginate as coagulant aid. Desalination 2015, 367, 265–271. [Google Scholar] [CrossRef]
- Stackelberg, P.E.; Gibs, J.; Furlong, E.T.; Meyer, M.T.; Zaugg, S.D.; Lippincott, R.L. Efficiency of conventional drinking-water-treatment processes in removal of pharmaceuticals and other organic compounds. Sci. Total Environ. 2007, 377, 255–272. [Google Scholar] [CrossRef]
- Sousa, V.S.; Corniciuc, C.; Teixeira, M.R.; Sousa, V.S.; Corniciuc, C.; Ribau Teixeira, M.; Serrão Sousa, V.; Corniciuc, C.; Ribau Teixeira, M. The effect of TiO2 nanoparticles removal on drinking water quality produced by conventional treatment C/F/S. Water Res. 2017, 109, 1–12. [Google Scholar] [CrossRef]
- Czech, B. Surfactants removal from water and wastewater using Co modified TiO2/Al2O3 photocatalysts. Ann. UMCS Chem. 2011, 66, 81–93. [Google Scholar] [CrossRef]
- Sun, Q.; Li, Y.; Tang, T.; Yuan, Z.; Yu, C.-P. Removal of silver nanoparticles by coagulation processes. J. Hazard. Mater. 2013, 261, 414–420. [Google Scholar] [CrossRef]







| Surfactant | Conc.: (w:v) % | Water Code | pH | CuO NP (mg/L) | Released Cu2+ (mg/L) | HDD (nm) | ζ Potential (mV) |
|---|---|---|---|---|---|---|---|
| Control | 0 | Control | 7.02 ± 0.01 | 8.74 ± 0.41 | 0.989 ± 0.12 | 225 ± 38 | 12.5 ± 2.5 |
| SLS | 0.030 | Tap water | 6.91 ± 0.03 | 8.65 ± 0.11 | 0.995 ± 0.23 | 257 ± 60 | −15.5±1.1 |
| Freshwater | 6.83 ± 0.14 | 7.87 ± 0.43 | 1.103 ± 0.13 | 205 ± 84 | −19.1 ± 0.9 | ||
| Domestic Wastewater | 7.16 ± 0.25 | 6.19 ± 0.13 | 2.029 ± 0.07 | 235 ± 68 | −23.8 ± 0.5 | ||
| Industrial Wastewater | 7.67 ± 0.31 | 5.17 ± 0.06 | 3.184 ± 0.01 | 185 ± 48 | −32.3 ± 0.2 | ||
| NP-9 | 0.030 | Tap water | 6.95 ± 0.21 | 8.05 ± 0.14 | 0.784 ± 0.28 | 265 ± 55 | 11.9 ± 0.5 |
| Freshwater | 6.82 ± 0.01 | 8.26 ± 0.08 | 0.996 ± 0.30 | 314 ± 35 | −5.6 ± 0.1 | ||
| Domestic Wastewater | 7.36 ± 0.14 | 6.09 ± 0.08 | 2.719 ± 0.02 | 245 ± 67 | −13.8 ± 0.3 | ||
| Industrial Wastewater | 6.75 ± 0.11 | 7.16 ± 0.01 | 2.769 ± 0.03 | 205 ± 65 | −24.8 ± 0.2 |
| Langmuir Fitting | Freundlich Fitting | |||||
|---|---|---|---|---|---|---|
| Surfactant | KL (L/mg) | qmax (mg/g) | R2 | KF (mg/g)(L/mg)1/n | n | R2 |
| SLS | 0.017 ± 0.003 | 48.84 ± 4.42 | 0.993 | 1.367 ± 0.42 | 1.482 ± 0.17 | 0.973 |
| NP-9 | 0.041 ± 0.010 | 7.17 ± 0.53 | 0.984 | 0.747 ± 0.25 | 2.185 ± 0.40 | 0.934 |
© 2019 by the authors. Licensee MDPI, Basel, Switzerland. This article is an open access article distributed under the terms and conditions of the Creative Commons Attribution (CC BY) license (http://creativecommons.org/licenses/by/4.0/).
Share and Cite
Khan, R.; Inam, M.A.; Khan, S.; Jiménez, A.N.; Park, D.R.; Yeom, I.T. The Influence of Ionic and Nonionic Surfactants on the Colloidal Stability and Removal of CuO Nanoparticles from Water by Chemical Coagulation. Int. J. Environ. Res. Public Health 2019, 16, 1260. https://doi.org/10.3390/ijerph16071260
Khan R, Inam MA, Khan S, Jiménez AN, Park DR, Yeom IT. The Influence of Ionic and Nonionic Surfactants on the Colloidal Stability and Removal of CuO Nanoparticles from Water by Chemical Coagulation. International Journal of Environmental Research and Public Health. 2019; 16(7):1260. https://doi.org/10.3390/ijerph16071260
Chicago/Turabian StyleKhan, Rizwan, Muhammad Ali Inam, Sarfaraz Khan, Andrea Navarro Jiménez, Du Ri Park, and Ick Tae Yeom. 2019. "The Influence of Ionic and Nonionic Surfactants on the Colloidal Stability and Removal of CuO Nanoparticles from Water by Chemical Coagulation" International Journal of Environmental Research and Public Health 16, no. 7: 1260. https://doi.org/10.3390/ijerph16071260
APA StyleKhan, R., Inam, M. A., Khan, S., Jiménez, A. N., Park, D. R., & Yeom, I. T. (2019). The Influence of Ionic and Nonionic Surfactants on the Colloidal Stability and Removal of CuO Nanoparticles from Water by Chemical Coagulation. International Journal of Environmental Research and Public Health, 16(7), 1260. https://doi.org/10.3390/ijerph16071260

