The Relationship between Phytoplankton Evenness and Copepod Abundance in Lake Nansihu, China
Abstract
:1. Introduction
2. Materials and Methods
2.1. Study Area
2.2. Sampling and Measurements
2.3. Calculation of Evenness and Statistical Analysis
3. Results
3.1. Variations of the Environmental Factors
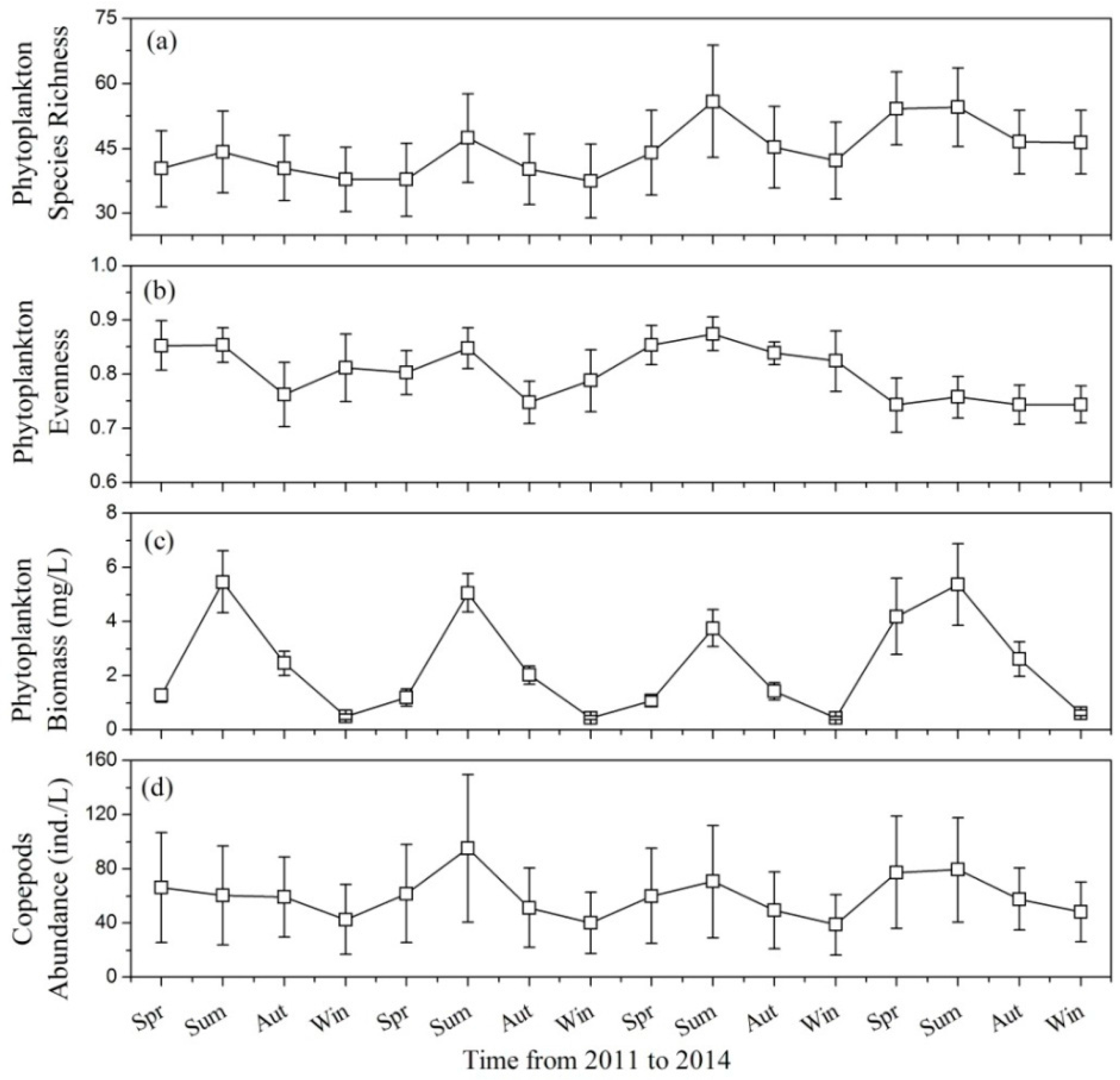
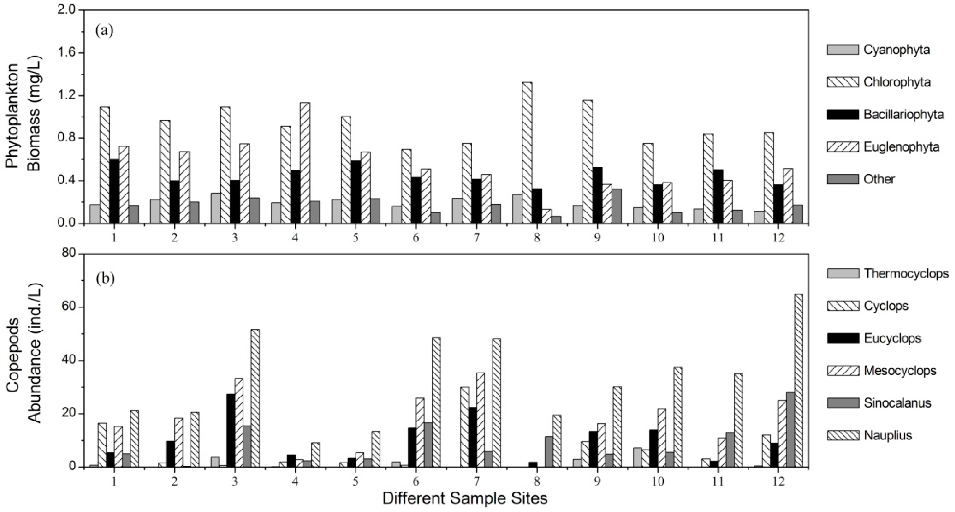
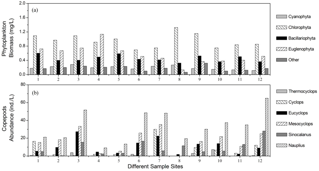
3.2. Seasonal and Spatial Variations of Phytoplankton Community
3.3. Seasonal and Spatial Variations in Copepods Abundance
3.4. Relationship between Phytoplankton Evenness and Copepods Abundance
3.5. Relationship between Phytoplankton Species Richness and Copepod Abundance
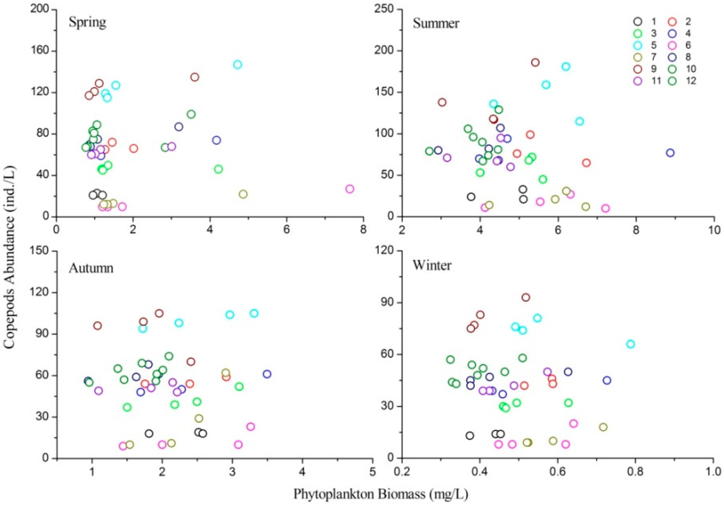
3.6. Relationship between Phytoplankton Biomass and Copepods Abundance
3.7. Influence of Environmental Factors and Phytoplankton on Copepods Abundance
4. Discussion
5. Conclusions
- (1)
- A total of 138 phytoplankton species belonging to 78 genera and eight phyla were identified, including 60 Chlorophyta species, 33 Bacillariophyta species, and 20 Cyanophyta species, phytoplankton biomass varied from 0.44 mg/L to 5.46 mg/L and Chlorophyta was the dominant community;
- (2)
- There were 12 copepod species in the lake and their mean abundance ranged between 38.6 ind./L and 95.1 ind./L in different seasons;
- (3)
- Copepod abundance was significantly decreased with increasing phytoplankton evenness throughout the year, and both phytoplankton species richness and biomass had no significant correlation with the abundance of copepods;
- (4)
- The influence of phytoplankton species richness and evenness was different and most copepods species were more sensitive to the variation of phytoplankton evenness than species richness.
Acknowledgments
Author Contributions
Conflicts of Interest
References
- Dudgeon, D.; Arthington, A.H.; Gessner, M.O.; Kawabata, Z.I.; Knowler, D.J.; Lévêque, C.; Naiman, R.J.; Prieur-Richard, A.H.; Soto, D.; Stiassny, M.L.J.; et al. Freshwater biodiversity: Importance, threats, status and conservation challenges. Biol. Rev. 2006, 81, 163–182. [Google Scholar] [CrossRef] [PubMed]
- Chalar, G. The use of phytoplankton patterns of diversity for algal bloom management. Limnol.-Ecol. Manag. Inland Waters 2009, 39, 200–208. [Google Scholar] [CrossRef]
- Cardinale, B.J.; Duffy, J.E.; Gonzalez, A.; Hooper, D.U.; Perrings, C.; Venail, P.; Narwani, A.; Mace, G.M.; Tilman, D.; Wardle, D.A.; et al. Biodiversity loss and its impact on humanity. Nature 2012, 486, 59–67. [Google Scholar] [CrossRef] [PubMed]
- Hulot, F.D.; Lacroix, G.; Lescher-Moutoué, F.; Loreau, M. Functional diversity governs ecosystem response to nutrient enrichment. Nature 2000, 405, 340–344. [Google Scholar] [CrossRef] [PubMed]
- Weyhenmeyer, G.A.; Peter, H.; Willen, E. Shifts in phytoplankton species richness and biomass along a latitudinal gradient-consequences for relationships between biodiversity and ecosystem functioning. Freshwater Biol. 2013, 58, 612–623. [Google Scholar] [CrossRef]
- Sun, C.C.; Wang, Y.S.; Wu, M.L.; Dong, J.D.; Wang, Y.T.; Sun, F.L.; Zhang, Y.Y. Seasonal variation of water quality and phytoplankton response patterns in Daya Bay, China. Int. J. Environ. Res. Public Health 2011, 8, 2951–2966. [Google Scholar] [CrossRef] [PubMed]
- Mulvenna, V.; Dale, K.; Priestly, B.; Mueller, U.; Humpage, A.; Shaw, G.; Allinson, G.; Falconer, I. Health risk assessment for cyanobacterial toxins in seafood. Int. J. Environ. Res. Public Health 2012, 9, 807–820. [Google Scholar] [CrossRef] [PubMed]
- Giller, P.S.; Hillebrand, H.; Berninger, U.G.; Gessner, M.O.; Hawkins, S.; Inchausti, P.; Inglis, C.; Leslie, H.; Malmqvist, B.; Monaghan, M.T.; et al. Biodiversity effects on ecosystem functioning: Emerging issues and their experimental test in aquatic environments. Oikos 2004, 104, 423–436. [Google Scholar] [CrossRef]
- Sommer, U.; Gliwicz, Z.M.; Lampert, W.; Duncan, A. The PEG-model of seasonal succession of planktonic events in fresh waters. Arch. Hydrobiol. 1986, 106, 433–471. [Google Scholar]
- Shurin, J.B.; Arnott, S.E.; Hillebrand, H.; Longmuir, A.; Pinel-Alloul, B.; Winder, M.; Yan, N.D. Diversity-stability relationship varies with latitude in zooplankton. Ecol. Lett. 2007, 10, 127–134. [Google Scholar] [CrossRef] [PubMed]
- Ptacnik, R.; Solimini, A.G.; Andersen, T.; Tamminen, T.; Brettum, P.; Lepistö, L.; Willén, E.; Rekolainen, S. Diversity predicts stability and resource use efficiency in natural phytoplankton communities. Proc. Natl. Acad. Sci. USA 2008, 105, 5134–5138. [Google Scholar] [CrossRef] [PubMed]
- Filstrup, C.T.; Hillebrand, H.; Heathcote, A.J.; Harpole, W.S.; Downing, J.A. Cyanobacteria dominance influences resource use efficiency and community turnover in phytoplankton and zooplankton communities. Ecol. Lett. 2014, 17, 464–474. [Google Scholar] [CrossRef] [PubMed]
- Duffy, J.E.; Cardinale, B.J.; France, K.E.; McIntyre, P.B.; Thébault, E.; Loreau, M. The functional role of biodiversity in ecosystems: Incorporating trophic complexity. Ecol. Lett. 2007, 10, 522–538. [Google Scholar] [CrossRef] [PubMed]
- Striebel, M.; Singer, G.; Stibor, H.; Andersen, T. “Trophic overyielding”: Phytoplankton diversity promotes zooplankton productivity. Ecology 2012, 93, 2719–2727. [Google Scholar] [CrossRef] [PubMed]
- Duffy, J.E. Biodiversity and ecosystem function: The consumer connection. Oikos 2002, 99, 201–219. [Google Scholar] [CrossRef]
- Keesing, F.; Holt, R.D.; Ostfeld, R.S. Effects of species diversity on disease risk. Ecol. Lett. 2006, 9, 485–498. [Google Scholar] [CrossRef] [PubMed]
- Grover, J.P. Stoichiometry, herbivory and competition for nutrients: Simple models based on planktonic ecosystems. J. Theor. Biol. 2002, 214, 599–618. [Google Scholar] [CrossRef] [PubMed]
- Prowe, A.E.F.; Pahlow, M.; Dutkiewicz, S.; Follows, M.; Oschlies, A. Top-down control of marine phytoplankton diversity in a global ecosystem model. Prog. Oceanogr. 2012, 101, 1–13. [Google Scholar] [CrossRef]
- Elser, J.J.; Goldman, C.R. Zooplankton effects on phytoplankton in lakes of contrasting trophic status. Limnol. Oceanogr. 1991, 36, 64–90. [Google Scholar] [CrossRef]
- Carney, H.J.; Elser, J.J. Strength of zooplankton-phytoplankton coupling in relation to lake trophic state. In Large Lakes; Tilzer, M.M., Serruya, C., Eds.; Springer Berlin Heidelberg: Berlin, Germany, 1990; pp. 616–631. [Google Scholar]
- Christensen, S.C.; Arvin, E.; Nissen, E.; Albrechtsen, H.J. Asellus aquaticus as a potential carrier of Escherichia coli and other coliform bacteria into drinking water distribution systems. Int. J. Environ. Res. Public Health 2013, 10, 845–855. [Google Scholar] [CrossRef] [PubMed]
- Apaydın Yağcı, M. Seasonal variations in zooplankton species of Lake Gölhisar, a shallow lake in Burdur, Turkey. Pak. J. Zool. 2014, 46, 927–932. [Google Scholar]
- Maqbool, A.; Sulehria, A.Q.K.; Ejaz, M.; Hussain, A. Study on pelagic copepods from Pipnakha Village, District Gujranwala, Pakistan. Pak. J. Zool. 2015, 47, 1347–1353. [Google Scholar]
- Huntley, M.E.; Lopez, M.D.G. Temperature-dependent production of marine copepods: A global synthesis. Am. Nat. 1992, 140, 201–242. [Google Scholar] [CrossRef] [PubMed]
- Turner, J.T. The importance of small planktonic copepods and their roles in pelagic marine food webs. Zool. Stud. 2004, 43, 255–266. [Google Scholar]
- Shu, F.Y.; Liu, Y.P.; Zhao, Y.; Wu, Y.P.; Li, A.H. Spatio-temporal distribution of TN and TP in water and evaluation of eutrophic state of Lake Nansi. Environ. Sci. 2012, 33, 3748–3752. (In Chinese) [Google Scholar]
- Zhang, Z.L.; Xin, L.J.; Liang, C.L. The analysis of hydrological characteristics and processes of ecosystem in Lake Nansi during the past 50 years. Geogr. Res. 2007, 26, 957–966. (In Chinese) [Google Scholar]
- Gong, J.X.; Duan, D.X.; Wang, Z.Z.; Du, X.H.; Zhang, J.L.; Liu, H.C.; Chen, J.P.; Sun, D. Research and analysis on the plankton of Nansi Lake. J. Yangtze Univ. (Nat. Sci. Ed.) 2010, 7, 39–42. (In Chinese) [Google Scholar]
- Wu, Z.H.; Zhang, K.; Jin, L.R.; Yang, L.K.; Zhang, J. Analysis of spatial distribution of water quality and assessment of water quality improvement in Nansi Lake. Water Resour. Prot. 2012, 28, 1–7. (In Chinese) [Google Scholar]
- Tang, J.; Xiang, J.G.; Gu, P.H.; Xie, M.; Shu, F.Y.; Xie, S.G. Community structure of zooplankton and assessment of water quality in Weishan Lake. Chin. J. Fish. 2014, 27, 32–37. (In Chinese) [Google Scholar]
- Feng, Y.W.; Hou, K.; Pei, H.Y.; Hu, W.R.; Ren, Y.; Wei, J.L. Desmid community characteristics and its relationship with environmental variables in Nansi Lake and Dongping Lake. Chin. J. Ecol. 2015, 34, 1738–1746. (In Chinese) [Google Scholar]
- Arhonditsis, G.B.; Winder, M.; Brett, M.T.; Schindler, D.E. Patterns and mechanisms of phytoplankton variability in Lake Washington (USA). Water Res. 2004, 38, 4013–4027. [Google Scholar] [CrossRef] [PubMed]
- Sun, J.; Liu, D.Y.; Qian, S.B. Study on phytoplankton biomass I: Phytoplankton measurement biomass from cell volume or plasma volume. Acta Oceanol. Sin. 1999, 21, 75–85. (In Chinese) [Google Scholar]
- Pielou, E.C. The measurement of diversity in different types of biological collections. J. Theor. Biol. 1966, 13, 131–144. [Google Scholar] [CrossRef]
- Hillebrand, H.; Bennett, D.M.; Cadotte, M.W. Consequences of dominance: A review of evenness effects on local and regional ecosystem processes. Ecology 2008, 89, 1510–1520. [Google Scholar] [CrossRef] [PubMed]
- Chapin, F.S.; Zavaleta, E.S.; Eviner, V.T.; Naylor, R.L.; Vitousek, P.M.; Reynolds, H.L.; Hooper, D.U.; Lavorel, S.; Sala, O.E.; Hobbie, S.E.; et al. Consequences of changing biodiversity. Nature 2000, 405, 234–242. [Google Scholar] [CrossRef] [PubMed]
- Vandermeer, J. Coupled oscillations in food webs: Balancing competition and mutualism in simple ecological models. Am. Nat. 2004, 163, 857–867. [Google Scholar] [CrossRef] [PubMed]
- Benincà, E.; Jöhnk, K.D.; Heerkloss, R.; Huisman, J. Coupled predator-prey oscillations in a chaotic food web. Ecol. Lett. 2009, 12, 1367–1378. [Google Scholar] [CrossRef] [PubMed]
- Carpenter, S.R.; Kitchell, J.F.; Hodgson, J.R. Cascading trophic interactions and lake productivity. BioScience 1985, 35, 634–639. [Google Scholar] [CrossRef]
- Li, F.; Zeng, G.; Song, J.; Dong, L.; Xi, X. The responses of fish community of Nansi lake to the east route of the south-to-north water transfer project. Henan Sci. 2008, 26, 467–471. (In Chinese) [Google Scholar]
- Specziár, A.; Tölg, L.; Bíró, P. Feeding strategy and growth of cyprinids in the littoral zone of Lake Balaton. J. Fish. Biol. 1997, 51, 1109–1124. [Google Scholar]
- Donohue, I.; Petchey, O.L.; Montoya, J.M.; Jackson, A.L.; McNally, L.; Viana, M.; Healy, K.; Lurgi, M.; O’Connor, N.E.; Emmerson, M.C. On the dimensionality of ecological stability. Ecol. Lett. 2013, 16, 421–429. [Google Scholar] [CrossRef] [PubMed]
- Litchman, E.; Klausmeier, C.A. Trait-based community ecology of phytoplankton. Annu. Rev. Ecol. Evol. Syst. 2008, 39, 615–639. [Google Scholar] [CrossRef]
- Wang, Y.; Jiang, H.; Jin, J.; Zhang, X.; Lu, X.; Wang, Y. Spatial-temporal variations of chlorophyll-A in the adjacent sea area of the Yangtze River estuary influenced by Yangtze River discharge. Int. J. Environ. Res. Public Health 2015, 12, 5420–5438. [Google Scholar] [CrossRef] [PubMed]








| Sites | WT (°C) | DO (mg/L) | pH | SD (cm) | TN (mg/L) | TP (mg/L) |
|---|---|---|---|---|---|---|
| 1 | 22.14 ± 10.03 | 10.47 ± 2.94 | 7.83 ± 0.69 | 40.75 ± 9.22 | 1.19 ± 0.31 | 0.24 ± 0.11 |
| 2 | 21.94 ± 10.03 | 8.22 ± 1.90 | 7.69 ± 0.25 | 58.00 ± 5.89 | 1.22 ± 0.21 | 0.09 ± 0.04 |
| 3 | 21.38 ± 9.96 | 9.27 ± 0.36 | 7.55 ± 0.66 | 40.25 ± 7.68 | 0.80 ± 0.18 | 0.12 ± 0.09 |
| 4 | 22.15 ± 9.58 | 9.13 ± 1.23 | 7.91 ± 0.46 | 87.88 ± 10.82 | 1.17 ± 0.15 | 0.11 ± 0.06 |
| 5 | 21.59 ± 9.27 | 8.43 ± 1.19 | 7.88 ± 0.51 | 65.38 ± 9.33 | 1.18 ± 0.24 | 0.10 ± 0.06 |
| 6 | 21.93 ± 10.24 | 9.49 ± 1.34 | 7.69 ± 0.75 | 89.87 ± 11.91 | 0.72 ± 0.15 | 0.11 ± 0.09 |
| 7 | 21.61 ± 11.01 | 9.59 ± 1.41 | 7.88 ± 0.62 | 49.00 ± 8.25 | 1.03 ± 0.25 | 0.17 ± 0.10 |
| 8 | 21.61 ± 9.48 | 7.31 ± 1.05 | 7.70 ± 0.37 | 48.02 ± 10.31 | 1.59 ± 0.34 | 0.24 ± 0.11 |
| 9 | 22.73 ± 6.50 | 6.74 ± 1.21 | 7.51 ± 0.36 | 72.63 ± 12.42 | 1.30 ± 0.28 | 0.13 ± 0.06 |
| 10 | 21.16 ± 9.95 | 7.63 ± 1.83 | 7.48 ± 0.34 | 38.00 ± 8.36 | 1.27 ± 0.37 | 0.14 ± 0.10 |
| 11 | 21.21 ± 9.72 | 9.11 ± 1.89 | 7.61 ± 0.47 | 46.62 ± 4.23 | 1.36 ± 0.24 | 0.11 ± 0.09 |
| 12 | 21.47 ± 9.79 | 11.01 ± 1.69 | 7.94 ± 0.53 | 74.87 ± 9.55 | 1.16 ± 0.31 | 0.18 ± 0.11 |
| Seasons | Variables | Value | Standard Error | Degree of Freedom | t-Value | p-Value |
|---|---|---|---|---|---|---|
| Spring | Intercept | 127.3 | 19.43 | 35 | 6.55 | <0.001 |
| Slope | −76.57 | 20.28 | 35 | −3.78 | <0.001 | |
| Summer | Intercept | 114.82 | 49.67 | 35 | 2.31 | 0.027 |
| Slope | −46.83 | 18.50 | 35 | −2.53 | 0.021 | |
| Autumn | Intercept | 117.83 | 22.86 | 35 | 5.15 | <0.001 |
| Slope | −83.03 | 27.92 | 35 | −2.97 | 0.005 | |
| Winter | Intercept | 76.58 | 15.90 | 35 | 4.82 | <0.001 |
| Slope | −44.16 | 18.45 | 35 | −2.39 | 0.023 |
| Seasons | Variables | Value | Standard Error | Degree of Freedom | t-Value | p-Value |
|---|---|---|---|---|---|---|
| Spring | Intercept | 44.34 | 12.05 | 35 | 3.681 | <0.001 |
| Slope | 0.468 | 0.332 | 35 | 1.410 | 0.172 | |
| Summer | Intercept | 74.32 | 23.68 | 35 | 3.138 | 0.003 |
| Slope | 0.027 | 0.400 | 35 | 0.066 | 0.947 | |
| Autumn | Intercept | 53.35 | 15.67 | 35 | 3.404 | 0.002 |
| Slope | 0.002 | 0.317 | 35 | 0.001 | 0.990 | |
| Winter | Intercept | 33.07 | 8.739 | 35 | 3.784 | <0.001 |
| Slope | 0.205 | 0.145 | 35 | 1.414 | 0.167 |
| Seasons | Variables | Value | Standard Error | Degree of Freedom | t-Value | p-Value |
|---|---|---|---|---|---|---|
| Spring | Intercept | 58.28 | 11.00 | 35 | 5.298 | <0.001 |
| Slope | 3.597 | 0.536 | 35 | 6.715 | <0.001 | |
| Summer | Intercept | 71.05 | 19.01 | 35 | 3.738 | <0.001 |
| Slope | 0.941 | 2.969 | 35 | 0.317 | 0.753 | |
| Autumn | Intercept | 39.52 | 9.504 | 35 | 4.158 | <0.001 |
| Slope | 6.564 | 3.551 | 35 | 1.848 | 0.085 | |
| Winter | Intercept | 30.99 | 7.684 | 35 | 4.033 | <0.001 |
| Slope | 11.29 | 7.714 | 35 | 1.463 | 0.161 |
| Code | Latin Name | Code | Latin Name | Code | Latin Name |
|---|---|---|---|---|---|
| P1 | Distigma acutum | P2 | Euglena lucens | P3 | Phacus helicoides |
| P4 | Euglena mutabilis | P5 | Euglena caudata | P6 | Cyclotella sp. |
| P7 | Melosira granulata | P8 | Nitzschia sublinearis | P9 | Synedra sp. |
| P10 | Navicula simplex | P11 | Fragilaria capucina | P12 | Monallantus brevicylindrus |
| P13 | Oscillatoria princeps | P14 | Oscillatoria tenuis | P15 | Chroococcus minutus |
| P16 | Chroococcus tenax | P17 | Dactylococcopsis acicularis | P18 | Microcystis incerta |
| P19 | Phormidium tenue | P20 | Merismopedia tenuissima | P21 | Merismopedia sinica |
| P22 | Lyngbya limnetica | P23 | Lyngbya major | P24 | Lyngbya contorta |
| P25 | Cylindrospermum stagnale | P26 | Closterium gracile | P27 | Chlorella sp. |
| P28 | Schroederia setigera | P29 | Scenedesmus quadricauda | P30 | Scenedesmus dimorphus |
| P31 | Crucigenia tetrapedia | P32 | Actinastrum sp. | Z1 | Thermocyclops hyalinus |
| Z2 | Thermocyclops taihokuensis | Z3 | Thermocyclops kawamurai | Z4 | Cyclops vicinus |
| Z5 | Tropocyclops prasinus jerseyensis | Z6 | Eucyclops serrulatus | Z7 | Mesocyclops leuckarti |
| Z8 | Eucyclops speratus | Z9 | Sinocalanus tenellus | Z10 | Sinocalanus dorrii |
| Z11 | Cletocamptus | Z12 | Copepods nauplius |
© 2016 by the authors; licensee MDPI, Basel, Switzerland. This article is an open access article distributed under the terms and conditions of the Creative Commons Attribution (CC-BY) license (http://creativecommons.org/licenses/by/4.0/).
Share and Cite
Tian, W.; Zhang, H.; Zhao, L.; Xu, X.; Huang, H. The Relationship between Phytoplankton Evenness and Copepod Abundance in Lake Nansihu, China. Int. J. Environ. Res. Public Health 2016, 13, 855. https://doi.org/10.3390/ijerph13090855
Tian W, Zhang H, Zhao L, Xu X, Huang H. The Relationship between Phytoplankton Evenness and Copepod Abundance in Lake Nansihu, China. International Journal of Environmental Research and Public Health. 2016; 13(9):855. https://doi.org/10.3390/ijerph13090855
Chicago/Turabian StyleTian, Wang, Huayong Zhang, Lei Zhao, Xiang Xu, and Hai Huang. 2016. "The Relationship between Phytoplankton Evenness and Copepod Abundance in Lake Nansihu, China" International Journal of Environmental Research and Public Health 13, no. 9: 855. https://doi.org/10.3390/ijerph13090855
APA StyleTian, W., Zhang, H., Zhao, L., Xu, X., & Huang, H. (2016). The Relationship between Phytoplankton Evenness and Copepod Abundance in Lake Nansihu, China. International Journal of Environmental Research and Public Health, 13(9), 855. https://doi.org/10.3390/ijerph13090855

