The Distribution and Health Risk Assessment of Metals in Soils in the Vicinity of Industrial Sites in Dongguan, China
Abstract
:1. Introduction
2. Materials and Methods
2.1. Study Area and Sample Collection
2.2. Chemical Analysis
2.3. Geoaccumulation Index (Igeo)
2.4. Pollution Indexes (PI)
2.5. Human Exposureand the Health Risk Assessment Model
2.6. Statistical Analysis
3. Results and Discussion
3.1. Heavy Metal Concentration in the Soil
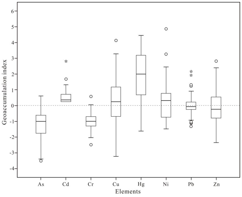
3.2. The Igeo of Heavy Metals
3.3. Pollution Indexes of Heavy Metals
3.4. Health Risk Assessment
4. Conclusions
Acknowledgments
Author Contributions
Conflicts of Interest
References
- Lee, S.S.; Lim, J.E.; Abd El-Azeem, S.A.M.; Choi, B.S.; Oh, S.E.; Moon, D.H.; Ok, Y.S. Heavy metal immobilization in soil near abandoned mines using eggshell waste and rapeseed residue. Environ. Sci. Pollut. Res. 2013, 20, 1719–1726. [Google Scholar] [CrossRef] [PubMed]
- Bade, R.; Oh, S.; Shin, W.S.; Hwang, I. Human health risk assessment of soils contaminated with metal (loid)s by using DGT uptake: A case study of a former Korean metal refinery site. Hum. Ecol. Risk Assess. 2013, 19, 767–777. [Google Scholar] [CrossRef]
- Sungur, A.; Soylak, M.; Yılmaz, S.; Özcan, H. Determination of heavy metals in sediments of the Ergene River by BCR sequential extraction method. Environ. Earth Sci. 2014, 72, 3292–3305. [Google Scholar] [CrossRef]
- Zhou, H.; Zhou, X.; Zeng, M.; Liao, B.H.; Liu, L.; Yang, W.T.; Wu, Y.M.; Qiu, Q.Y.; Wang, Y.J. Effects of combined amendments on heavy metal accumulation in rice (Oryza sativa L.) planted on contaminated paddy soil. Ecotoxicol. Environ. Saf. 2014, 101, 226–232. [Google Scholar] [CrossRef] [PubMed]
- Krishna, A.K.; Govil, P.K. Heavy metal distribution and contamination in soils of Thane Belapur industrial development area, Mumbai, Western India. Environ. Geol. 2005, 47, 1054–1061. [Google Scholar] [CrossRef]
- Li, M.S.; Luo, Y.P.; Su, Z.Y. Heavy metal concentrations in soils and plant accumulation in a restored manganese mineland in Guangxi, South China. Environ. Pollut. 2007, 147, 168–175. [Google Scholar] [CrossRef] [PubMed]
- Xu, S.J.; Zheng, N.; Liu, J.S.; Wang, Y.; Chang, S.Z. Geochemistry and health risk assessment of arsenic exposure to street dust in the zinc smelting district, Northeast China. Environ. Geochem. Health 2013, 35, 89–99. [Google Scholar] [CrossRef] [PubMed]
- Foucault, Y.; Durand, M.J.; Tack, K.; Schreck, E.; Geret, F.; Leveque, T.; Pradere, P.; Goix, S.; Dumat, C. Use of ecotoxicity test and ecoscores to improve the management of polluted soils: Case of a secondary lead smelter plant. J. Hazard. Mater. 2013, 246, 291–299. [Google Scholar] [CrossRef] [PubMed]
- Wu, S.; Xia, X.H.; Lin, C.Y.; Chen, X.; Zhou, C.H. Levels of arsenic and heavy metals in the rural soils of Beijing and their changes over the last two decades (1985–2008). J. Hazard. Mater. 2010, 179, 860–868. [Google Scholar] [CrossRef] [PubMed]
- Lu, C.A.; Zhang, J.F.; Jiang, H.M.; Yang, J.C.; Zhang, J.T.; Wang, J.Z.; Shan, H.X. Assessment of soil contamination with Cd, Pb and Zn and source identification in the area around the Huludao Zinc Plant. J. Hazard. Mater. 2010, 182, 743–748. [Google Scholar] [CrossRef] [PubMed]
- Luo, X.S.; Yu, S.; Zhu, Y.G.; Li, X.D. Trace metal contamination in urban soils of China. Sci. Total Environ. 2012, 421–422, 17–30. [Google Scholar] [CrossRef] [PubMed]
- Zheng, N.; Liu, J.S.; Wang, Q.C.; Liang, Z.Z. Health risk assessment of heavy metal exposure to street dust in the zinc smelting district, Northeast of China. Sci. Total Environ. 2010, 408, 726–733. [Google Scholar] [CrossRef] [PubMed]
- Madrid, F.; Biasioli, M.; Ajmone-Marsan, F. Availability and bioaccessibility of metals in fine particles of some urban soils. Arch. Environ. Contam. Toxicol. 2008, 55, 21–32. [Google Scholar] [CrossRef] [PubMed]
- Morton-Bermea, O.; Hernández-Álvarez, E.; González-Hernández, G.; Romero, F.; Lozano, R.; Beramendi-Orosco, L.E. Assessment of heavy metal pollution in urban topsoils from the metropolitan area of Mexico City. J. Geochem. Explor. 2009, 101, 218–224. [Google Scholar] [CrossRef]
- Yang, H.; Huo, X.; Yekeen, T.A.; Zheng, Q.J.; Zheng, M.H.; Xu, X.J. Effects of lead and cadmium exposure from electronic waste on child physical growth. Environ. Sci. Pollut. Res. 2013, 20, 4441–4447. [Google Scholar] [CrossRef]
- Ni, W.Q.; Huang, Y.; Wang, X.L.; Zhang, J.W.; Wu, K.S. Associations of neonatal lead, cadmium, chromium and nickel co-exposure with DNA oxidative damage in an electronic waste recycling town. Sci. Total Environ. 2014, 472, 354–362. [Google Scholar] [CrossRef] [PubMed]
- Huang, M.L.; Zhou, S.L.; Sun, B.; Zhao, Q.G. Heavy metals in wheat grain: Assessment of potential health risk for inhabitants in Kunshan, China. Sci. Total Environ. 2008, 405, 54–61. [Google Scholar] [CrossRef]
- Zhao, H.R.; Xia, B.C.; Fan, C.; Zhao, P.; Shen, S.L. Human health risk from soil heavy metal contamination under different land uses near Dabaoshan Mine, Southern China. Sci. Total Environ. 2012, 417–418, 45–54. [Google Scholar] [CrossRef] [PubMed]
- Wang, Z.X.; Chen, J.Q.; Chai, L.Y.; Yang, Z.H.; Huang, S.H.; Zheng, Y. Environmental impact and site-specific human health risks of chromium in the vicinity of a ferro-alloy manufactory, China. J. Hazard. Mater. 2011, 190, 980–985. [Google Scholar] [CrossRef] [PubMed]
- Aelion, C.M.; Davis, H.T.; Mcdermott, S.; Lawson, A.B. Soil metal concentrations and toxicity: Associations with distances to industrial facilities and implications for human health. Sci. Total Environ. 2009, 407, 2216–2223. [Google Scholar] [CrossRef] [PubMed]
- Barsby, A.; McKinley, J.M.; Ofterdinger, U.; Young, M.; Cave, M.R.; Wragg, J. Bioaccessibility of trace elements in soils in Northern Ireland. Sci. Total Environ. 2012, 433, 398–417. [Google Scholar] [CrossRef] [PubMed]
- Chen, S.J.; Ding, N.; Zhu, Z.C.; Tian, M.; Luo, X.J.; Mai, B.X. Sources of halogenated brominated retardants in house dust in an industrial city in southern China and associated human exposure. Environ. Res. 2014, 135, 190–195. [Google Scholar] [CrossRef] [PubMed]
- Lan, S.H.; Lan, H.X.; Yang, D.; Wu, X.W. Study of nitro-polycyclic aromatic hydrocarbons in particulate matter in Dongguan. Environ. Sci. Pollut. Res. 2014, 21, 7390–7399. [Google Scholar] [CrossRef] [PubMed]
- Xia, Y.S.; Li, F.B.; Wan, H.F.; Ma, J.; Yang, G.Y.; Zhang, T.B.; Luo, W. Spatial distribution of heavy metals of agricultural soils in Dongguan, China. J. Environ. Sci. 2004, 16, 912–918. [Google Scholar]
- Dou, L.; Zhou, Y.Z.; Ma, J.; Li, Y.; Cheng, Q.M.; Xie, S.Y.; Du, H.Y.; You, Y.H.; Wan, H.F. Using multivariate statistical and geostatistical methods to identify spatial variability of trace elements in agricultural soils in Dongguan city, Guangdong, China. J. China Univ. Geosci. 2008, 19, 343–353. [Google Scholar]
- Zhang, H.H.; Chen, J.J.; Zhu, L.; Yang, G.Y.; Li, D.Q. Anthropogenic mercury enrichment factors and contributions in soils of Guangdong Province, South China. J. Geochem. Explor. 2014, 144, 312–319. [Google Scholar] [CrossRef]
- Xu, X.; Zhao, Y.; Zhao, X.; Wang, Y.; Deng, W. Sources of heavy metal pollution in agricultural soils of a rapidly industrializing area in the Yangtze Delta of China. Ecotoxicol. Environ. Saf. 2014, 108, 161–167. [Google Scholar] [CrossRef] [PubMed]
- McBride, M.B.; Shayler, H.A.; Spliethoff, H.M.; Mitchell, R.G.; Marquez-Bravo, L.G.; Ferenz, G.S.; Russell-Anelli, J.M.; Casey, L.; Bachman, S. Concentrations of lead, cadmium and barium in urban garden-grown vegetables: The impact of soil variables. Environ. Pollut. 2014, 194, 254–261. [Google Scholar] [CrossRef] [PubMed]
- Uzu, G.; Schreck, E.; Xiong, T.; Macouin, M.; Lévêque, T.; Fayomi, B.; Dumat, C. Urban market gardening in Africa: Foliar uptake of metal(loid)s and their bioaccessibility in vegetables; Implications in terms of health risks. Water Air Soil Poll. 2014. [Google Scholar] [CrossRef]
- Müller, G. Index of geoaccumulation in sediments of the Rhine River. Geophys. J. R. Astron. Soc. 1969, 2, 108–118. [Google Scholar]
- CNEMC (China National Environmental Monitoring Center). Chinese Elemental Background Values for Soils; Environmental Science: Beijing, China, 1990. (In Chinese) [Google Scholar]
- MEP (Ministry of Environmental Protection of the People’s Republic of China). Technical Guidelines for Risk Assessment of Contaminated Sites; China Environmental Science Press: Beijing, China, 2014. (In Chinese)
- Wang, X.L.; Sato, T.; Xing, B.S.; Tao, S. Health risks of heavy metals to the general public in Tianjin, China via consumption of vegetables and fish. Sci. Total Environ. 2005, 350, 28–37. [Google Scholar] [CrossRef] [PubMed]
- Nezhad, M.T.K.; Tabatabaii, S.M.; Gholami, A. Geochemical assessment of steel smelter-impacted urban soils, Ahvaz, Iran. J. Geochem. Explor. 2015, 152, 91–109. [Google Scholar] [CrossRef]
- SEPAC (State Environmental Protection Agency of China). Environmental Quality Standard for Soils (GB 15168-1995); SEPAC: Beijing, China, 1995. (In Chinese)
- Netherlands. Ministerie van Volkshuisvesting, Ruimtelijke Ordening en Milieubeheer. Available online: http://id.loc.gov/authorities/names/n83237489 (accessed on 14 March 2016). (In Dutch)
- Hu, Y.N.; Wang, D.X.; Wei, L.J.; Song, B. Heavy metal contamination of urban topsoils in a typical region of Loess Plateau, China. J. Soil. Sediments 2014, 14, 928–935. [Google Scholar] [CrossRef]
- Li, X.P.; Feng, L.N. Multivariate and geostatistical analyzes of metals in urban soil of Weinan industrial area, Northwest of China. Atmos. Environ. 2012, 47, 58–65. [Google Scholar] [CrossRef]
- Liu, J.; Zhang, X.H.; Tran, H.; Wang, D.Q.; Zhu, Y.N. Heavy metal contamination and risk assessment in water, paddy soil, and rice around an electroplating plant. Environ. Sci. Pollut. Res. 2011, 18, 1623–1632. [Google Scholar] [CrossRef] [PubMed]
- Yang, Z.P.; Lu, W.X.; Long, Y.Q.; Bao, X.H.; Yang, Q.C. Assessment of heavy metals contamination in urban topsoil from Changchun City, China. J. Geochem. Explor. 2011, 108, 27–38. [Google Scholar] [CrossRef]
- Chabukdhara, M.; Nema, A.K. Heavy metals assessment in urban soil around industrial clusters in Ghaziabad, India: Probabilistic health risk approach. Ecotoxicol. Environ. Saf. 2013, 87, 57–64. [Google Scholar] [CrossRef] [PubMed]
- Du, Y.Y.; Ge, Y.; Lakhan, V.C.; Sun, Y.; Cao, F. Comparison between CBR and CA methods for estimating land use change in Dongguan China. J. Geogr. Sci. 2012, 22, 716–736. [Google Scholar] [CrossRef]
- Wu, S.; Peng, S.P.; Zhang, X.X.; Wu, D.L.; Luo, W.; Zhang, T.B.; Zhou, S.G.; Yang, G.Y.; Wan, H.F.; Wu, L.Q. Levels and health risk assessments of heavy metals in urban soils in Dongguan, China. J. Geochem. Explor. 2015, 148, 71–78. [Google Scholar] [CrossRef]
- Xiao, Q.; Zong, Y.T.; Lu, S.G. Assessment of heavy metal pollution and human health risk in urban soils of steel industrial city (Anshan), Liaoning, Northeast China. Ecotoxicol. Environ. Saf. 2015, 120, 377–385. [Google Scholar]
- Zhang, H.H.; Li, F.B.; Wu, Z.F.; Li, D.Q.; Xu, D.R.; Yuan, H.X. Baseline concentrations and spatial distribution of trace metals in surface soils of Guangdong Province, China. J. Environ. Qual. 2008, 37, 1752–1760. [Google Scholar] [CrossRef] [PubMed]
- Hinwood, A.L.; Sim, M.R.; Jolley, D.; De Klerk, N.; Bastone, E.B.; Gerostamoulos, J.; Drummer, O.H. Exposure to inorganic arsenic in soil increases urinary inorganic arsenic concentrations of resident living in old mining areas. Environ. Geochem. Health 2004, 26, 27–36. [Google Scholar] [CrossRef] [PubMed]
- Carrizales, L.; Razo, I.; Téllez-Hernández, J.I.; Torres-Nerio, R.; Torres, A.; Batres, L.E.; Cubillas, A.C.; Díaz-Barriga, F. Exposure to arsenic and lead of children living near a copper-smelter in San Luís Potosí, Mexico: Importance of soil contamination for exposure of children. Environ. Res. 2006, 101, 1–10. [Google Scholar] [CrossRef] [PubMed]
- Schuhmacher, M.; Nadal, M.; Domingo, J.L. Environmental monitoring of PCDD/Fs and metals in the vicinity of a cement plant after using sewage sludge as a secondary fuel. Chemosphere 2009, 74, 1502–1508. [Google Scholar] [CrossRef] [PubMed]
- Rovira, J.; Mari, M.; Nadal, M.; Schuhmacher, M.; Domingo, J.L. Use of sewage sludge as secondary fuel in a cement plant: Human health risks. Environ. Int. 2011, 37, 105–111. [Google Scholar] [CrossRef] [PubMed]
- Nadal, M.; Schuhmacher, M.; Domingo, J.L. Metal pollution of soils and vegetation in an area with petrochemical industry. Sci. Total Environ. 2004, 321, 59–69. [Google Scholar] [CrossRef] [PubMed]
- Wei, X.; Gao, B.; Wang, P.; Zhou, H.D.; Lu, J. Pollution characteristics and health risk assessment of heavy metals in street dusts from different functional areas in Beijing, China. Ecotoxicol. Environ. Saf. 2015, 112, 186–192. [Google Scholar] [CrossRef] [PubMed]
- Zhao, L.; Xu, Y.; Hou, H.; Shangguan, Y.; Li, F. Source identification and health risk assessment of metals in urban soils around the Tanggu chemical industrial district, Tianjin, China. Sci. Total Environ. 2014, 468–469, 654–662. [Google Scholar] [CrossRef] [PubMed]
- Xu, D.C.; Zhou, P.; Zhan, J.; Gao, Y.; Dou, C.M.; Sun, Q.Y. Assessment of trace metal bioavailability in garden soils and health risks via consumption of vegetables in the vicinity of Tongling mining area, China. Ecotoxicol. Environ. Saf. 2013, 90, 103–111. [Google Scholar] [CrossRef] [PubMed]
- Peijnenburg, W.J.G.M.; Zablotskaja, M.; Vijver, M.G. Monitoring metals in terrestrial environments within a bioavailability framework and a focus on soil extraction. Ecotoxicol. Environ. Saf. 2007, 67, 163–179. [Google Scholar] [CrossRef] [PubMed]
- Luo, X.S.; Ding, J.; Xu, B.; Wang, Y.J.; Li, H.B.; Yu, S. Incorporating bioaccessibility into human health risk assessments of heavy metals in urban park soils. Sci. Total Environ. 2012, 424, 88–96. [Google Scholar] [CrossRef] [PubMed]
- Ren, M.; Peng, P.A.; Chen, D.Y.; Chen, P.; Li, X.M. Patterns and sources of PCDD/Fs and dioxin-like PCBs in surface sediments from the East River, China. J. Hazard. Mater. 2009, 170, 473–478. [Google Scholar] [CrossRef] [PubMed]
- Yue, Q.; Zhang, K.; Zhang, B.Z.; Li, S.M.; Zeng, E.Y. Occurrence, phase distribution and depositional intensity of dichlorodiphenyltrichloroethane (DDT) and its metabolites in air and precipitation of the Pearl River Delta, China. Chemosphere 2011, 84, 446–451. [Google Scholar] [CrossRef] [PubMed]
- Liu, B.L.; Zhang, H.; Xie, L.W.; Li, J.Y.; Wang, X.X.; Zhao, L.; Wang, Y.P.; Yang, B. Spatial distribution and partition of perfluoroalkyl acids (PFAAs) in rivers of the Pearl River Delta, southern China. Sci. Total Environ. 2015, 524, 1–7. [Google Scholar] [CrossRef] [PubMed]






| Igeo Class | Igeo Value | Pollution Degree |
|---|---|---|
| 0 | Igeo ≤ 0 | Uncontaminated |
| 1 | 0 < Igeo ≤ 1 | Slightly to moderately contaminated |
| 2 | 1 < Igeo ≤ 2 | Moderately contaminated |
| 3 | 2 < Igeo ≤ 3 | Moderately to heavily contaminated |
| 4 | 3 < Igeo ≤ 4 | Heavily contaminated |
| 5 | 4 < Igeo ≤ 5 | Heavily to extremely contaminated |
| 6 | Igeo > 5 | Extremely contaminated |
| Symbols | Units | Definition | Adult Value | Child Value |
|---|---|---|---|---|
| ABSo, ABSd | Absorption factor of oral ingestion and dermal contact of soil particles, respectively | |||
| ATca, ATnc | day | Average time for carcinogenic and non-carcinogenic effects, respectively | 26,280; 2190 | 26,280; 2190 |
| BWa, BWc | kg | Average body weight of adults and children, respectively | 56.8 | 15.9 |
| OISERca, DCSERca, PISERca | kg·kg−1·day−1 | Chronic daily intake or exposure dose through oral ingestion, dermal contact and inhalation of soil particles, respectively | ||
| CRois, CRdcs, CRpis | Cancer risk of heavy metal through oral ingestion, dermal contact and inhalation of soil particles, respectively | |||
| DAIRa, DAIRc | m3·day−1 | Daily air inhalation rate of adults and children, respectively | 14.5 | 7.5 |
| EDa, EDc | a | Exposure duration of adults and children, respectively | 24 | 6 |
| EFa, EFc | day·a−1 | Exposure frequency of adults and children, respectively | 350 | 350 |
| EFIa, EFIc | day·a−1 | Indoor exposure frequency of adults and children, respectively | 262.5 | 262.5 |
| EFOa, EFOc | day·a−1 | Outdoor exposure frequency of adults and children, respectively | 87.5 | 87.5 |
| Ev | day−1 | Daily exposure frequency of dermal contact event | 1 | 1 |
| fspi, fspo | Fraction of soil-borne particles in indoor and outdoor air, respectively | 0.8; 0.5 | 0.8; 0.5 | |
| HI | Hazard index of heavy metal | |||
| HQois, HQdcs, HQpis | Hazard quotient of heavy metal through oral ingestion, dermal contact and inhalation of soil particles, respectively | |||
| OSIRa, OSIRc | mg·day−1 | Daily oral ingestion rate of soils of adults and children, respectively | 100 | 200 |
| PIAF | Retention fraction of inhaled particulates in body | 0.75 | 0.75 | |
| PM10 | mg·m−3 | Content of inhalable particulates in ambient air | 0.15 | 0.15 |
| RfDo, RfDd, RfDi | mg·kg−1·day−1 | Reference dose of heavy metal through oral ingestion, dermal contact and inhalation of soil particles, respectively | ||
| SAEa, SAEc | cm2 | Surface area of exposed skin for adults and children, respectively | 5075 | 2448 |
| SAF | Soil allocation factor | 0.20 | 0.20 | |
| SFo, SFd, SFi | (mg·kg−1·day−1)−1 | Cancer slope factor of heavy metal via oral ingestion, dermal contact and inhalation of soil particles, respectively | ||
| SSARa, SSARc | mg·cm−2 | Adherence rate of soil on skin for adults and children, respectively | 0.07 | 0.2 |
| Elements | SF/(mg/kg·d)−1 | RfD/mg/(kg·d) | ||||
|---|---|---|---|---|---|---|
| SFo | SFd | SFi | RfDo | RfDd | RfDi | |
| As | 1.50 | 1.50 | 16.80 | 3 × 10−4 | 3 × 10−4 | 3.38 × 10−6 |
| Cd | - | - | 7.05 | 0.001 | 2.5 × 10−5 | 2.55 × 10−6 |
| Cr | 0.50 | 20.00 | 329.00 | 0.003 | 7.5 × 10−5 | 2.55 × 10−5 |
| Cu | - | - | - | 0.04 | 0.04 | - |
| Hg | - | - | - | 3 × 10−4 | 2.1 × 10−5 | 7.66 × 10−5 |
| Ni | - | - | 1.02 | 0.02 | 8 × 10−4 | 2.3 × 10−5 |
| Zn | - | - | - | 0.3 | 0.3 | - |
| Places | Depth | Hg | As | Pb | Cu | Zn | Ni | Cr | Cd | |
|---|---|---|---|---|---|---|---|---|---|---|
| Dongguan | This study | 0–20 cm | 0.7 | 7.1 | 61.8 | 48.3 | 92.0 | 42.8 | 40.8 | 0.13 |
| Yan’an | reference [37] | 0–20 cm | - | - | 23.97 | 27.31 | 82.15 | 38.01 | 73.88 | 0.11 |
| Weinan | reference [38] | 0–15 cm | - | 8.49 | 46.71 | 20.88 | 71.56 | 25.43 | 96.99 | - |
| Lipu | reference [39] | 0–15 cm | - | - | 50.11 | 40.77 | - | 53.65 | 46.98 | 0.19 |
| Chinese [35] | I | - | 0.15 | 15 | 35 | 35 | 100 | 40 | 90 | 0.2 |
| II (pH < 6.5) | - | 0.3 | 40 | 250 | 50 | 200 | 40 | 150 | 0.3 | |
| III | - | 1.5 | 40 | 500 | 400 | 500 | 200 | 300 | 1 | |
| Guangdong background values [31] | - | 0.078 | 8.9 | 36.0 | 17.0 | 47.3 | 14.4 | 50.5 | 0.056 | |
| Dutch [36] | Target values | - | 0.3 | 29 | 85 | 36 | 140 | 35 | 100 | 0.8 |
| Intervention values | - | 10 | 55 | 530 | 190 | 720 | 210 | 380 | 12 | |
| Elements | Hg | As | Pb | Cu | Zn | Ni | Cr |
|---|---|---|---|---|---|---|---|
| As | −0.069 | 1 | |||||
| Pb | 0.221 | 0.257 | 1 | ||||
| Cu | 0.199 | 0.101 | 0.523 ** | 1 | |||
| Zn | 0.119 | −0.043 | 0.395 ** | 0.637 ** | 1 | ||
| Ni | 0.264 | −0.234 | 0.348 * | 0.520 ** | 0.455 ** | 1 | |
| Cr | 0.089 | 0.043 | 0.183 | 0.033 | −0.089 | 0.185 | 1 |
| Cd | 0.245 | −0.011 | 0.062 | 0.076 | 0.087 | 0.261 | 0.121 |
| Elements | PI | Number of Samples | |||||
|---|---|---|---|---|---|---|---|
| Mean | Min | Max | h.p a | m.p a | l.p a | n.p a | |
| As | 0.80 | 0.13 | 2.29 | 0 | 1 | 12 | 40 |
| Cd | 2.36 | 1.79 | 10.54 | 6 | 20 | 27 | 0 |
| Cr | 0.81 | 0.26 | 2.24 | 0 | 1 | 9 | 43 |
| Cu | 2.84 | 0.16 | 26.21 | 15 | 7 | 15 | 16 |
| Hg | 8.89 | 0.49 | 32.70 | 36 | 5 | 10 | 2 |
| Ni | 2.97 | 0.54 | 43.63 | 8 | 17 | 12 | 16 |
| Pb | 1.72 | 0.60 | 6.71 | 4 | 6 | 36 | 7 |
| Zn | 1.95 | 0.29 | 10.59 | 10 | 6 | 19 | 18 |
© 2016 by the authors; licensee MDPI, Basel, Switzerland. This article is an open access article distributed under the terms and conditions of the Creative Commons Attribution (CC-BY) license (http://creativecommons.org/licenses/by/4.0/).
Share and Cite
Liu, C.; Lu, L.; Huang, T.; Huang, Y.; Ding, L.; Zhao, W. The Distribution and Health Risk Assessment of Metals in Soils in the Vicinity of Industrial Sites in Dongguan, China. Int. J. Environ. Res. Public Health 2016, 13, 832. https://doi.org/10.3390/ijerph13080832
Liu C, Lu L, Huang T, Huang Y, Ding L, Zhao W. The Distribution and Health Risk Assessment of Metals in Soils in the Vicinity of Industrial Sites in Dongguan, China. International Journal of Environmental Research and Public Health. 2016; 13(8):832. https://doi.org/10.3390/ijerph13080832
Chicago/Turabian StyleLiu, Chao, Liwen Lu, Ting Huang, Yalin Huang, Lei Ding, and Weituo Zhao. 2016. "The Distribution and Health Risk Assessment of Metals in Soils in the Vicinity of Industrial Sites in Dongguan, China" International Journal of Environmental Research and Public Health 13, no. 8: 832. https://doi.org/10.3390/ijerph13080832
APA StyleLiu, C., Lu, L., Huang, T., Huang, Y., Ding, L., & Zhao, W. (2016). The Distribution and Health Risk Assessment of Metals in Soils in the Vicinity of Industrial Sites in Dongguan, China. International Journal of Environmental Research and Public Health, 13(8), 832. https://doi.org/10.3390/ijerph13080832

