Abstract
Pentachlorophenol (PCP) is a toxic and persistent wood and cellulose preservative extensively used in the past decades. The production process of PCP generates polychlorinated dibenzo-p-dioxins and polychlorinated dibenzofurans (PCDD/Fs) as micropollutants. PCDD/Fs are also known to be very persistent and dangerous for human health and ecosystem functioning. Several physico-chemical and biological technologies have been used to remove PCP and PCDD/Fs from the environment. Bacterial degradation appears to be a cost-effective way of removing these contaminants from soil while causing little impact on the environment. Several bacteria that cometabolize or use these pollutants as their sole source of carbon have been isolated and characterized. This review summarizes current knowledge on the metabolic pathways of bacterial degradation of PCP and PCDD/Fs. PCP can be successfully degraded aerobically or anaerobically by bacteria. Highly chlorinated PCDD/Fs are more likely to be reductively dechlorinated, while less chlorinated PCDD/Fs are more prone to aerobic degradation. The biochemical and genetic basis of these pollutants’ degradation is also described. There are several documented studies of effective applications of bioremediation techniques for the removal of PCP and PCDD/Fs from soil and sediments. These findings suggest that biodegradation can occur and be applied to treat these contaminants.
1. Introduction
Pentachlorophenol (PCP) is an aromatic hydrocarbon of the chlorophenol (CP) family, first introduced as a wood preservative in the 1930s. Since introduced, PCP has had a variety of other applications, for instance as a biocide, pesticide, disinfectant, defoliant, anti-sapstain and anti-microbial agent. Pure PCP exists as colorless crystals with low solubility in water, but can be dissolved in organic solvents, such as alcohol, ether and benzene. It is also relatively volatile. Typically, commercial grade PCP is 86% pure [1,2].
In 1987, the annual consumption of PCP worldwide was estimated at 30,000 tons [1]. In the USA, PCP is no longer available for the general public and its use has been restricted [2]. Since 1991, the use of PCP in the EU has been severely restricted and its production has ceased. Countries such as Austria, Denmark, Finland, Germany, The Netherlands, Sweden and Switzerland have banned the use of PCP and PCP-containing products [3]. However, PCP is still used as a pesticide in some developing countries because of its low cost and various applications [4,5].
PCP as a wood and cellulose preservative was synthesized via two methods: (1) batch wise in nickel reactors by the chlorination of less halogenated CPs in the presence of aluminum trichloride or iron trichloride, known as the Boehringer process [6]; (2) through alkaline hydrolysis of hexachlorobenzene [1,7]. During the chlorination, some phenoxyphenols are formed, reacting further to produce PCDD/Fs [8]. The most abundant type of microcontamination during PCP synthesis is generally octachlorinated compounds [8] with concentrations up to 2500 mg/kg of octachlorinated dibenzo-p-dioxin (OCDD) [1]. Other abundantly detected dioxins are heptachlorodioxin (HeCDD), with concentrations up to 520 mg/kg, and even 2,3,7,8-tetrachlorodioxin (TeCDD) [1]. Chlorinated dibenzofurans are also formed; the most common are octachlorodibenzofurans (OCDF), with concentrations up to 260 mg/kg and heptachlorodibenzofurans (HeCDF), with concentrations up to 400 mg/kg [1]. These microcontaminants can impart a darker color to PCP crystals [2]. Generally, PCDD/Fs are present in low amounts; however, they are still a major concern due to their toxicity and persistence in the environment. In addition to PCP, other pesticides that are widely used may also contribute to the emission of PCDD/Fs. A study testing the presence of PCDD/Fs impurities in currently used pesticides found concentrations ranging from 0.020 to 2100 ng/g of active ingredient (AI, ΣPCDD/F) [9], with the highest concentrations found in pentachloronitrobenzene (PCNB). Yu et al. [8] discovered that the toxic equivalent (TEQ) concentrations become higher as the synthesis temperature increases. Therefore, it is recommended to keep the synthesis temperature as low as possible to minimize the production of PCDD/Fs during pesticide production.
Sawmills are facilities where wood is chopped and treated for preservation using pesticides; as mentioned above, PCP was first introduced as wood preservative and was broadly used worldwide. Therefore, it is common to find PCP and PCDD/Fs contamination near these facilities. Countries such as Finland and Sweden have had major contamination problems due to extensive use of wood preservatives containing PCP and its micropollutants. For instance, the main source of PCDD/Fs contamination in Finland has been the national production and use of Ky-5, a PCP-containing wood preservative during 1940–1984 [10]. In Sweden, this type of contamination is also a major problem, with approximately 400–500 wood impregnation sites [11]. A study performed near different sawmills in Scandinavia found concentrations of 500–3500 mg/kg d.w. of chlorinated phenols (CPs) and 0.2–5 mg/kg d.w. of polychlorinated dibenzofuran (PCDFs) in dry soil, concluding that the soil was heavily contaminated near these facilities [12]. In a more recent study of five contaminated sawmill sites in Sweden, the concentrations of CPs in the soil samples ranged from 0.1 to 4500 mg/kg d.w., PCDFs from 7.4 to 18,000 μg/kg d.w., and PCDDs from 9.9 to 35,000 μg/kg d.w. [11]. A study performed in the Kymijoki River in Finland showed heavy contamination mainly with Ky-5, a wood preservative agent containing higher chlorinated PCDD/Fs. The sediments from the river were contaminated mainly with 1,2,3,4,6,7,8-HeCDF, a major contaminant in the Ky-5 [13]. The mean total concentration at the most polluted river site downstream from the main source was 42,000 μg/kg d.w., indicating that this river is a major source of PCDD/Fs for the Gulf of Finland, and the concentrations found in the sediments are among the highest reported in the world [13]. Additionally, disposal of wood treated with PCP is still a large threat to the environment and human health.
Unlike in Northern Europe where many sites are contaminated because of the wood industry’s activities, the main sources of PCP and PCDD/Fs contamination in Asia come from the production and use of pesticides. The total dioxin emissions from the use of pesticides in Japan during 1955–1995 was estimated at 540 tons of PCDD/Fs or 250 kg of TEQ from PCP [14]. A similar trend was found in the Yangtze River, where elevated concentrations of PCDD/Fs were found and one of the principal sources was the PCP production and use [15].
2. Toxicity and Bacterial Degradation of PCP
PCP can be found in all environments: soil, water, sediments and air; generally, environmental conditions are not favorable for its degradation. Factors such as microbial activity, PCP toxicity, terminal electron acceptors and soil properties influence the fate of PCP in the environment [16]. Complete mineralization of PCP and other CPs is possible through biodegradation, which is an effective and economic technique to remove these pollutants. PCP is more recalcitrant to bacterial degradation than less chlorinated CPs due to the presence of five chlorine atoms on the phenolic ring [17]. However, several strains of bacteria and fungi have been described in the literature as being able to degrade PCP aerobically or anaerobically. General toxicity of PCP is caused by its ability to act as an uncoupler of oxidative phosphorylation [18]. Low levels of dissolved oxygen, low pH and high temperature increase the toxic effects of PCP [1]. PCP is also bioaccumulated in aquatic organisms through the uptake from the surrounding water or along the food-chain [1]. Most aquatic invertebrates and vertebrates are affected by PCP concentrations below 1 mg/L in acute toxicity tests [1]. Fish species exhibit a 50% mortality rate at concentrations ranging from as low as 30 μg/L and as high as 600 μg/L [6,19]. In lower concentrations, PCP causes renal and hepatic lesions in fish [6]. Organisms in reproductive and juvenile stages are the most sensitive, with LC50 values as low as 0.01 mg/L for fish larvae [1]. Algal species appear to be the most sensitive aquatic organisms, as 1 μg/L can cause significant inhibition [1]. The EPA recommends that the maximum average PCP concentration in surface waters should not exceed 0.055 mg/L [6].
Inhalation exposures to PCP in humans have resulted in neurological, blood and liver defects, and eye irritation [2,20]. Long-term exposure to PCP by inhalation in humans has resulted in damage of the respiratory tract, blood, kidney, liver, immune system, eyes, nose and skin [2,20]. Studies conducted on humans have suggested that there is an association between exposure to PCP and cancer. For instance, research has demonstrated correlations between hematopoietic cancer and PCP exposure [21]. Chronic oral rodent studies have reported increases in liver tumors and two uncommon tumor types, adrenal gland pheochromocytomas in mice and mesotheliomas and nasal squamous cell carcinomas in rats [2,7,20].
2.1. Aerobic Bacterial Degradation of PCP
The first step of the biodegradation pathway of PCP in Sphingobium chlorophenolicum L-1, formerly known as Sphingomonas chlorophenolicum L-1 [22] (Figure 1), a NADPH-dependent conversion of PCP into tetrachlorohydroquinone (TCHQ) via the removal of chloride ions, is catalyzed by PCP 4-monooxygenase (PcpB) [23], a flavoprotein encoded by the pcpB gene [24,25,26]. Afterwards, TCHQ is sequentially dehalogenated into 2,6-dichloro-1,4-hydroquinone (2,6-DCHQ) by a TCHQ-reductive dehalogenase (RDase). This reaction is encoded by the pcpC gene [27]. In the next step, 2,6-DCHQ is degraded to 2-chloromaleylacetate by the 2,6-DCHQ-1,2 dioxygenase [28]. This step is crucial due to the cleavage of the aromatic ring. PcpE further converts 2-chloromaleylacetate into 3-oxoadipate via maleylacetate. Finally, 2-chloromaleylacetate is degraded in the tricarboxylic acid (TCA) cycle [17].
Figure 1.
Bacterial degradation pathway of pentachlorophenol (PCP) in Sphingobium chlorophenolicum L-1. PcpB, PCP-4-monooxygenase; PcpC, tetrachlorohydroquinone (TCHQ) reductive dehalogenase; PcpA, 2,6-DCHQ 1,2-dioxygenase [17,23,29].
There is a difference in the degradation pathway of PCP and the enzymes involved for Gram-positive bacteria. In Mycobacterium chlorophenolicum PCP-1 and Mycobacterium fortuitum CG-2, PCP is degraded by hydroxylation into TCHQ (Figure 2) by a membrane-bound cytochrome P-450 type enzyme [30,31]. In the next degradation step, TCHQ undergoes hydrolytic dehalogenation forming 3,5,6-trichloro-1,2,4-trihydroxybenzene [30,32], which is further transformed by reductive dehalogenation into dichloro-1,2,4-trihydroxybenzene [32]. Finally, after two successive reductive dehalogenation reactions, 1,2,4-benzenetriol is formed [32].
Figure 2.
Bacterial degradation pathway of PCP in Mycobacterium strains [17,30,32].
2.2. Anaerobic Reductive Dechlorination of PCP
CPs are often recalcitrant to aerobic bacterial attacks, but they can be reductively dehalogenated into phenols with less chlorine atoms, which may be further mineralized more easily [17].
Anaerobic conditions favor reductive dechlorination, resulting in the displacement of chlorine atoms by hydrogen atoms. Reductive dehalogenation involves the utilization of halogenated compounds as terminal electron acceptors for energy-conserving anaerobic respiratory electron transport [33]. Reductive dehalogenation can occur cometabolically, by bacteria triggering reductive dechlorination with unspecific enzyme systems, or catabolically, requiring the input of electron-donating substrates [34]. During reductive dehalogenation, electrons are transferred from an electron donor via an electron transfer chain to the membrane-localized RDase and, as a consequence, a proton gradient is generated across the membrane, which drives ATP formation through a membrane-bound ATPase [35,36,37]. This mechanism is dependent on the concentration and bioavailability of the organohalogen and can be stimulated by amendment with simple organic growth substrates [38]. Organohalide respiring bacteria cluster with the genera Desulfitobacterium, Dehalobacter, Anaeromyxobacter, Geobacter, Desulfomonile, Desulfuromonas, Desulfovibrio, Sulfurospirillum, Dehalogenimonas, Dehalobium and Dehalococcoides [39].
PCP is anaerobically degraded through a series of reductive dehalogenation reactions, resulting in the formation of phenol, which can further be degraded to CH4 and CO2 by anaerobic prokaryotes (Figure 3) [40,41,42]. Several bacteria with the capacity for dehalogenation of PCP have been isolated, from which those of the Desulfitobacterium genus have been widely studied. Desulfitobacterium hafniense strain PCP-1 showed two different enzymatic systems involved in PCP dechlorination, one dechlorinates PCP at the ortho position to generate 3,4,5-TCP and the second dechlorinates 3,4,5-TCP at the meta and para positions to generate 3-CP. PCP, 2,4,6-TCP, 2,3,4-TCP, 2,3,5-TCP, 2,6-DCP and 2,4-DCP were found to be the inducers of the ortho-dechlorinating activity, while only 3,4,5-TCP and 3,5-DCP were reported to induce meta- and para-dechlorinating activities [42].
Figure 3.
Anaerobic dehalogenation of PCP [17,40].
Reductive dehalogenation of chloroaromatic and chloroalkyl compounds is usually carried out by RDases. One of these RDases is ortho-CP RDase, which is the terminal reductase involved in the halorespiratory chain of Desulfitobacterium dehalogenans and mediates the electron transfer from an electron donor to a halogenated substrate [43]. The genes clustering with this RDase are cprA, encoding the o-CP RDase and cprB, coding for an integral membrane protein that can act as a membrane anchor of the dehalogenase [43]. Four gene loci encoding putative CP-RDases (CprA 2–5) were screened in D. hafniense strain PCP-1. CprA3 is involved in the dechlorination of highly chlorinated phenols with high affinity toward PCP [44], while CprA5 catalyzes the dechlorination of CPs at the meta and para positions [45]. For CprA2 and CprA4, there is yet to be any evidence of dehalogenation; however, phylogenetic analyses have grouped them with the ortho-dechlorinating CprA, suggesting similar activities to those of CprA3 and CprA5 [42,44].
Boyer et al. [46] isolated another RDase, named CrdA, from D. hafniense strain PCP-1 cultures induced for ortho-dechlorinating activities with 2,4,6-TCP. This RDase did not show any homology with any known dehalogenase, suggesting distinct RDases, which dechlorinate PCP and 2,4,6-TCP at the ortho positions [42].
3. Biodegradation of Polychlorinated Dibenzo-p-Dioxins (PCDDs) and Polychlorinated Dibenzofurans (PCDFs)
PCDD/Fs (Figure 4) are organohalogenated substances, which form a group of 210 different congeners: 135 belong to PCDFs and 75 to PCDDs, each differing in the number and position of the chlorine atoms. In PCDDs, the benzene rings are connected by two oxygen bridges and, in PCDFs, the benzene rings are linked by a carbon bond and an oxygen bridge.
Figure 4.
Chemical structure of PCDD/Fs.
PCDD/Fs are colorless organic solids with a high melting point, low vapor pressure, and very low water solubility. PCDD/Fs enter the environment as mixtures containing a variety of individual components and impurities [47]. Due to their properties, PCDD/Fs are toxic and persistent in the environment with prone absorbability to particulate matter, soil particles and other surfaces. The highly chlorinated dioxins and furans are more strongly bound onto fractions of amorphous organic carbon and black carbon in soils and sediments. Consequently, their bioavailability and biodegradability are reduced [48,49]. The water solubility of PCDD/Fs decreases and their solubility in organic solvents and fats increases as the chlorine content grows [50,51]. The main origin of PCDD/Fs is from unintentional by-products of industrial processes and incomplete combustion, but they also have natural sources, such as forest fires and volcano eruptions [52]. As previously stated, PCDD/Fs are also found as impurities in pesticides, such as PCP. Consequently, PCDD/Fs primarily accumulate on the surface soil nearby wood preserving facilities as a result of impregnation activities [12]. Another source of PCDD/F emission related to PCP comes from wood combustion, accidental fires, and from the combustion and landfilling of PCP-treated wood; however, these emissions are difficult to assess [53]. The PCDD/Fs congener profiles do not match any known natural or anthropogenic source and global PCDD/Fs budgets fail to account for the observed levels in soils. Therefore, there is the hypothesis that clay minerals play a central role in the natural in situ synthesis of PCDD/Fs [54,55]. Recently it was also found that PCDD/Fs, especially OCDD, were formed when PCP was mixed with clay minerals (Fe(III)-montmorillonite) [54]. This reaction is initiated by single electron transfer from PCP to Fe(III)-montmorillonite, thereby forming the PCP radical cation. Subsequent dimerization, dechlorination, and ring closure reactions result in the formation of OCDD [54]. In another study, Gu et al. [55] demonstrated the formation of precursors of TeCDD and PeCDD when 2,4,5-TCP was mixed with a smectite clay under environmental conditions. These findings support the hypothesis of in situ PCDD formation in soils and geologic clay deposits [54,55].
3.1. PCDD/Fs Toxicity
Dioxins are persistent, toxic, bio-accumulative, can volatilize and be transported over long distances from the source of emission [53]. In humans and other vertebrates, PCDD/Fs showed to be a risk factor for cancer, immune deficiency, central and peripheral nervous system pathology, endocrine disruption, decreased pulmonary functions and bronchitis, altered serum testosterone levels, eyelid pathology, gum pigmentation, skin rashes, hypertrichosis, liver damage, adverse cardiovascular effects and elevated serum cholesterol and triglycerides [47,50,56,57]. Seventeen of the isomers showed to be extremely toxic, mutagenic and linked to the suppression of the human immune system [53,57]. Other effects address impairment of the developing nervous system, the endocrine system and reproductive functions [57]. In the environment, PCDD/Fs tend to bind to organic matter in sediments and soils and to accumulate in fatty tissues of living organisms. The toxic responses of some animals include: body weight loss, hepatotoxicity, porphyria, dermal toxicity, gastric lesions, thymus atrophy and immunotoxicity, teratogenicity, reproductive effects, and carcinogenicity [58].
Dahlgren et al. [59] conducted an exposure assessment in residents living near a wood treatment plant and found elevated levels of highly chlorinated dioxins, especially HeCDD and OCDD in some individuals, documenting a substantial contamination of the neighborhood of wood treatment plants by wood processing waste chemicals. Cattle have been found with elevated levels of PCDD/Fs concentrations, probably coming from PCP-treated wood used in stables, which represents another source of contamination for humans [60,61].
3.2. Biodegradation of PCDD/Fs
Under aerobic conditions, less chlorinated dioxins are susceptible to partial degradation during cometabolic metabolism, while highly chlorinated dioxins tend to be more easily degraded by reductive dehalogenation. In a few cases, PCDD/Fs have been reported to serve as growth substrates, and these cases are restricted to mono-, di- and tri-chlorinated congeners [33,56,62,63,64].
3.2.1. Aerobic Bacterial Degradation of PCDD/Fs
Oxidative degradation of DD and DF occurs in two major ways. One is termed lateral dioxygenation whereby one of the aromatic rings is attacked at the lateral 1,2 or 2,3 or 3,4 positions. The second way is via angular dioxygenation, where initial hydroxylation starts at the angular 4 and 4a positions adjacent to the ether bridge [65]. Lateral dioxygenation has been reported in several bacterial strains to produce a yellow metabolite [65,66].
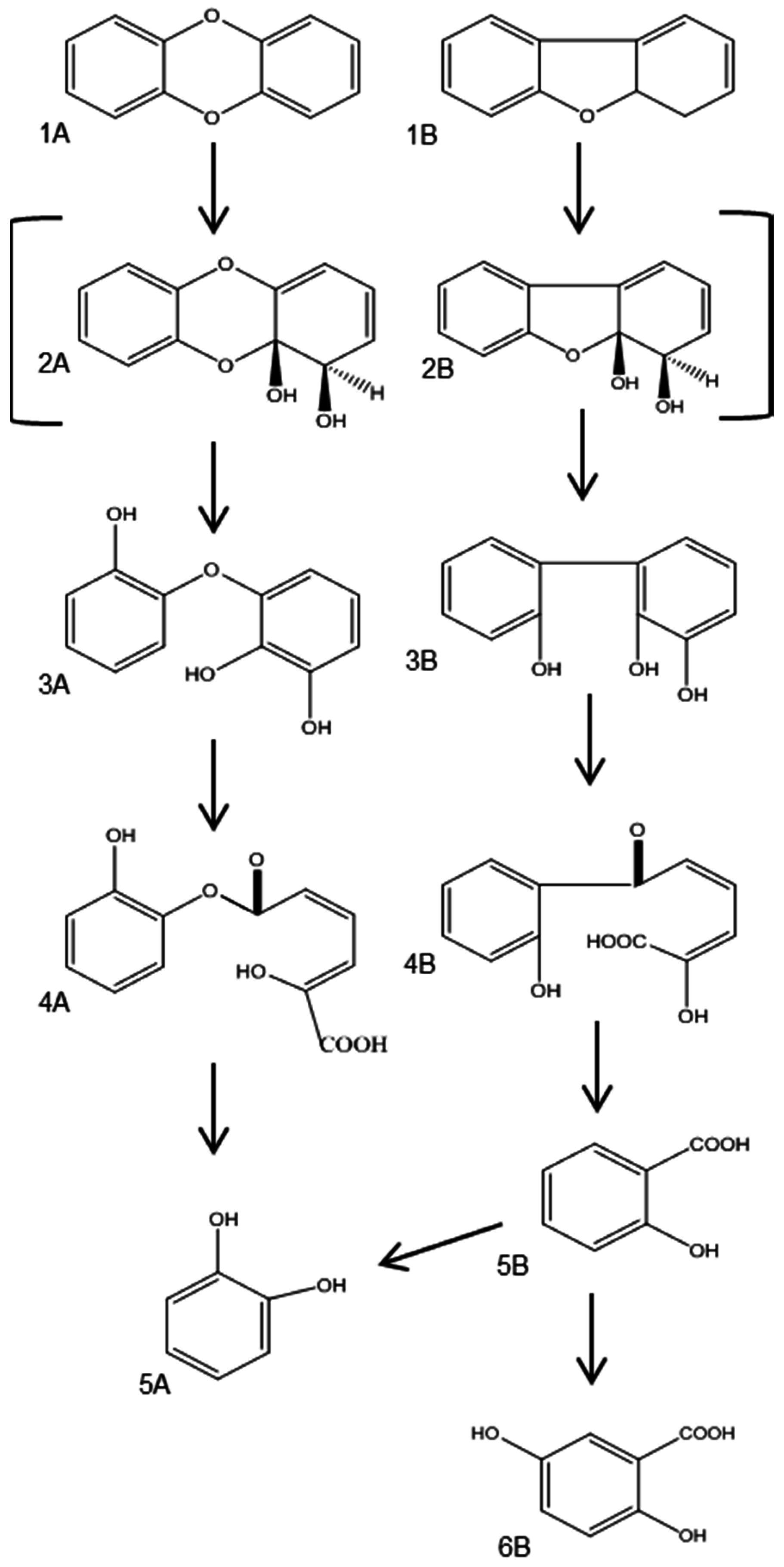
The biodegradation pathways of aerobic angular dioxygenation of dioxins (Figure 5, 1A) and furans (Figure 5, 1B) are illustrated in Figure 5. Klečka and Gibson [67] reported the co-oxidation of DD to cis-1,2-dihydroxy-1,2-dihydrodibenzo-p-dioxin and 1,2-dihydroxydibenzo-p-dioxin by a Pseudomonas species. The dihydrodiols formed are also products in the oxidation and co-oxidation of dibenzofurans and other aromatic compounds, such as naphthalene and biphenyl [56,65,68,69]. Rieske non-heme iron oxygenases are responsible for catalyzing the first reaction in the degradation pathway of DD/Fs [62,65,69]. This step is crucial in the degradation pathway because it destroys the planar structure of the dioxins and furans, which makes these compounds toxic [69]. The next step is catalyzed spontaneously and produces 2,2’,3-trihydroxydiphenyl ether (Figure 5, 3A) from DD and 2,2’,3-trihydroxybiphenyl (Figure 5, 3B) from DF [68]. In the next step, dioxygenases cause the ring opening, producing 2-hydroxy-6-oxo-6-(2-hydroxyphenoxy)-hexa-2,4-dienoic acid (Figure 5, 4A) and 2-hydroxy-6-oxo-6-(2-hydroxyphenyl)-hexa-2,4-dienoic acid (Figure 5, 4B) in the case of DD and DF, respectively [56,62,65,68]. These compounds are further degraded to catechol (Figure 5, 5A) and salicylate (Figure 5, 5B) by hydrolysis [56,65,68]. Salicylate is then degraded via the gentisate pathway or converted to catechol. Chlorinated dioxins rarely serve as a sole source of carbon and energy; however, Hong et al. [63] found that Pseudomonas veronii PH-03 can utilize 1-CDD and 2-CDD.
Figure 5.
Degradation pathway of dibenzo-p-dioxin (1A); and dibenzofuran (1B) [56,62,65,66,68,69,70]. Compound definition: cis-dihydrodiols (2A,2B); 2,2’,3-trihydroxydiphenyl ether (3A); 2,2’,3-trihydroxybiphenyl (3B); 2-hydroxy-6-oxo-6-(2-hydroxyphenoxy)-hexa-2,4-dienoic acid (4A); 2-hydroxy-6-oxo-6-(2-hydroxyphenyl)-hexa-2,4-dienoic acid (4B); catechol (5A); salicylic acid (5B); gentisic acid (6B).
An alternative degradation pathway for DF was reported in Nocardioides sp. strain DF412 [71,72]. This strain is able to grow on DF and salicylate, and has two gene clusters involved in the degradation of DF. The gene cluster dfdA1A2A3A4 codes for ring hydroxylating dioxygenase components, whereas the dfdBC cluster codes for the ring-cleavage dioxygenase and hydrolase, respectively [71]. The proposed DF degradation pathway is depicted in Figure 6 [71], and the same pathway was found operating in Serratia marcescens [73].
Figure 6.
Proposed degradation pathway of DF by Nocardioides sp. DF412. Genes involved in each reaction are specified below each arrow. Compound definition: dibenzofuran (1); 2,2’,3-trihydroxybiphenyl (2); 2-hydroxy-6-(2-hydroxyphenyl)-6-oxo-2,4-hexadienoic acid (3); and salicylate (4) [71].
The genes encoding dioxygenases in the degradation pathway of DD and DF have also been studied in Sphingomonas wittichii RW1, formerly called Sphingomonas sp. strain RW1 [74], and several Terrabacter spp. A study by Armengaud et al. [75] showed that genes encoding the electron supply system of the dioxygenase are not clustered with the dioxygenase gene, but are located on two other separate genome segments, which contrasts with the typical genetic organization of catabolic pathways, where genes tend to be clustered. Furthermore, Armengaud et al. [76] studied dxnA1A2 locus, which encodes the dioxygenase components of the initial dioxygenase system of DD and DF catabolic pathways. The study showed that this fragment contains ten collinear open reading frames (ORFs), apparently organized in one compact operon; dxnB, dxnC-dxnI, ORF2, and fdx3. In Terrabacter sp. strain DBF63, dbfA1A2 encodes the oxygenase component of a multicomponent dioxygenase, dbfBC encodes for a meta cleavage enzyme and hydrolase and pht genes encode for phthalate-degrading enzymes. Proteins DbfA1A2 and DbfBC are responsible for catalyzing the conversion of DF to salicylate, while DbfA1A2 and Pht enzymes are involved in fluorene degradation [69]. dbfA1A2 cistron and pht operon are located on the two linear plasmids, while dbfBC genes are located on the chromosome of Terrabacter sp. strain DBF63 [69].
Aerobic biodegradability of PCDD/Fs, which occurs via cometabolism, increases with a decreasing number of chlorine atoms, leaving PCDD/Fs with five chlorine atoms or more not prone to aerobic degradation [62,77]. However, there are a few exceptions, such as the study performed by Nam et al. [78], which demonstrated that Sphingomonas wittichii RW1 is able to aerobically catabolize 1,2,3,4,7,8-HxCDD. The most widely used primary substrate for the cometabolism of PCDD/Fs has been non-halogenated DF [62].
3.2.2. Anaerobic Reductive Dechlorination of PCDD/Fs
The most promising approach to biodegradation of highly chlorinated dioxins is reductive dehalogenation using anaerobic bacteria [79]. PCDD/Fs, similarly to PCP, can be degraded by stepwise reductive removal of halogen atoms. PCDD/Fs, like other halogenated compounds, can serve as terminal electron acceptors in dehalorespiration [35,36].
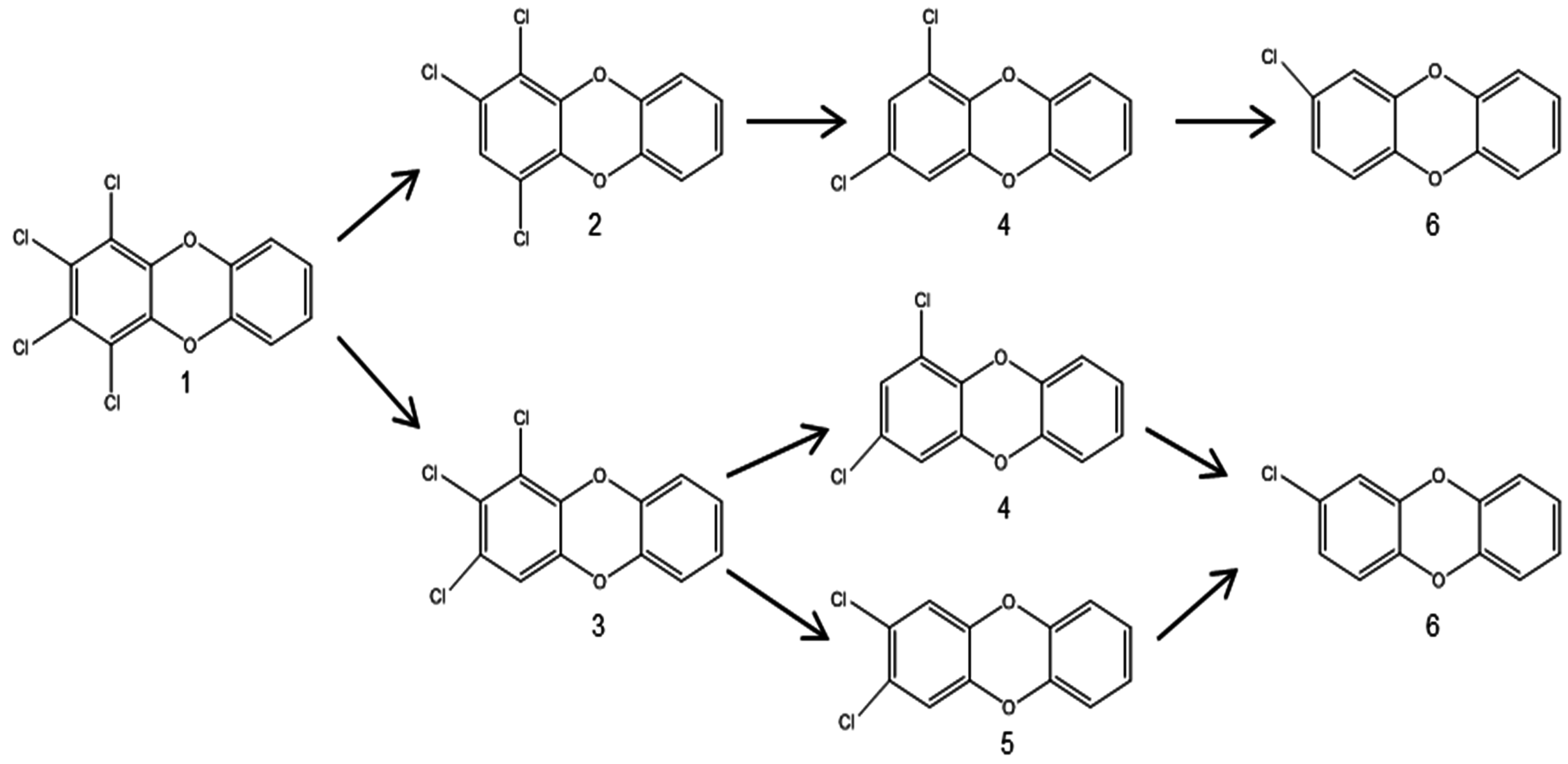
Dechlorination and the order of chlorine removal from 1,2,3,4-TeCDD (Figure 7, 1), 1,2,4-TCDD (Figure 7, 2), and 1,2,3-TCDD (Figure 7, 3) was studied by Ballerstedt et al. [79] using enrichment cultures from sediment of the Saale River. The study showed that dechlorination by this culture proceeded via both 1,2,4-TCDD (Figure 7, 2) and 1,2,3-TCDD (Figure 7, 3). Reductive dechlorination of 1,2,4-TCDD yielded 1,3-DCDD, while 1,2,3-TCDD was dechlorinated to 1,3-DCDD (Figure 7, 4) and 2,3-DCDD (Figure 7, 5). These results suggested that the main dechlorination route of 1,2,3,4-TeCDD to 1,3-DCDD proceeded primarily via the removal of a lateral chlorine atom. The same intermediates were found in a microcosm experiment with sediments from the River Kymijoki [80], and similar results were obtained in a study by Beurskens et al. [81] with anaerobic microorganisms enriched from the Rhine River sediments; however, dechlorination occurred simultaneously in lateral and peri-positions, which is the closest to the ether bridge. The same pathway of simultaneous dechlorination in lateral and peri-positions was found by Bunge et al. [82]; however, it was accompanied by the degradation of 1,2,3,4-TeCDD into 1,2,4-TCDD, which accumulated and was not dehalogenated any further.
Figure 7.
Proposed pathway for the dechlorination of 1,2,3,4-TeCDD (1) and 1,2,3-TCDD (3) by the anaerobic consortium of river sediment from the Saale River [79,81,82]. Compound definition: 1,2,3,4-tetrachlorodibenzo-p-dioxin (1,2,3,4-TeCDD) (1); 1,2,4-trichlorodibenzo-p-dioxin (1,2,3-TCDD) (2); 1,2,3-trichlorodibenzo-p-dioxin (1,2,3-TCDD) (3); 1,3-dichlorodibenzo-p-dioxin (1,3-DCDD) (4); 2,3-dichlorodibenzo-p-dioxin (2,3-DCDD) (5); 2-monochlorodibenzo-p-dioxin (6).
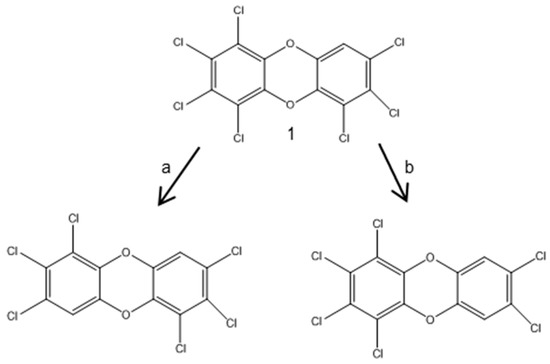
Different dechlorination pathways found in one sediment core suggested that different dechlorinating populations were involved in these processes. It was also found that the position and congener specificity of microbial PCDD/Fs’ reductive dechlorination might depend on specific bacteria [82]. Further support to this theory was given in a study performed on higher chlorinated dioxins (Figure 8), which showed that peri-dechlorination was the preferential route of reduction in 1,2,3,4,6,7,8-HeCDF [38]. Such diversity of dechlorination pathways demonstrates a large microbial degradation potential with preferences for particular substitution patterns under anaerobic conditions, indicating different strategies of bacterial adaptation to natural or anthropogenic organohalogen compounds [36].
Figure 8.
Proposed dechlorination of 1,2,3,4,6,7,8-HeCDF (1) from aquifer microcosms [38]. The major dechlorination pathway is (a); and the minor is (b).
Catabolism of persistent chlorinated aromatics and aliphatics by reductive dechlorination was widely studied in the genus Dehalococcoides. Organohalide respiration in Dehalococcoides is catalyzed by heterodimeric, membrane-bound RDases of about 500 amino acids in length [83,84]. It is believed that all RDases have a catalytically active “A” subunit anchored to the outside of the cytoplasmic membrane by a predicted integral membrane “B” subunit [37,85]. RDases from Dehalococcoides, Dehalobacter, and Desulfitobacterium strains are among the most studied ones [37]. The genome of Dehalococcoides mccartyi, formerly known as the Dehalococcoides ethenogenes strain 195 [86], contains genes encoding 17 putative RDases [87], while Dehalococcoides sp. strain CBDB1, which dechlorinates dioxins, was found with 32 rdh genes [88]. Comparative analysis of Dehalococcoides mccartyi and Dehalococcoides sp. strain CBDB1 genomes revealed a high degree of gene context conservation as well as high plasticity in all regions containing rdh genes, suggesting that these regions are under intense evolutionary pressure [88]. Dehalococcoides strain VS, in contrast, was found with 36 full-length rdhAB [83]. The presence of between 11 and 36 rdhAB per genome implies a respiratory flexibility that allows Dehalococcoides to use a variety of halogenated compounds as terminal electron acceptors [83].
Dehalococcoides and Dehalobacter are strictly dependent on reductive dechlorination. Studies on their genomes suggest that they are also restricted to H2 as their electron donor [39]. There is still very little information on the substrate specificity of respective RDases. A recent study [37] performed a maximum likelihood-based phylogenetic analysis of amino acid sequences of RDases. The results showed two main clusters, one with specificity to substrates such as chlorinated methanes, ethanes, propanes, ethenes, chlorinated benzenes and meta/para-chlorophenols. Surprisingly, all RDases studied in Dehalococcoides were included in this cluster, forming a separate clade. The second cluster contained all CprAses and RDases identified in aerobic microbes. To the best of our knowledge, there is no information on the specific RDases dechlorinating PCDD/Fs. However, this is not surprising as just in 2014 there was a study by Wang et al. [89] which identified and confirmed novel genes encoding RDases for catalyzing PCB dechlorination.
4. Bioremediation Studies
As mentioned previously, PCP is a pesticide used as a wood preservation agent, which forms PCDD/Fs as micropollutants during its production. In consequence, it is common that in close proximity to wood preserving facilities, PCP and PCDD/Fs have accumulated in the soil as result of impregnation. Several bioremediation techniques have been tested with contaminated soil from former sawmills, as well as soil in close proximity to PCP-production facilities or soil and sediments intentionally spiked with PCP or PCDD/Fs. Some of these techniques include: composting, soil biopiles, bioaugmentation, biostimulation, phytoremediation and use of bioreactors, with specific examples given below.
4.1. Composting and Soil Biopiles
Laine and Jørgensen [90] studied the use of straw compost and remediated soil as inoculums to bioremediate CP-contaminated soil under field-simulating conditions. PCP-adapted straw compost mineralized 56% of the added PCP in 4 weeks and no partial dechlorination products of PCP were found. In a further study by Laine and Jørgensen [91], a pilot-scale composting system of CP-contaminated soil was performed. The objective was to compare CP degradation when indigenous soil microbes from two different inoculants (straw compost and remediated soil) were used. It was found that over 90% of the CPs were removed during the composting period, regardless of the inoculum. Jaspers et al. [92] also reported an important decrease of PCP during composting with farmyard manure, followed by the appearance of tetra and triCPs. These results are similar to those found by Zeng et al. [93] with PCP removal of around 72% and the highest removal rate occurring at the thermophilic phase of composting. In another investigation of the fate of CPs during composting of sawmill soil and impregnated wood, Laine et al. [94] studied whether CPs form any harmful metabolites. During composting of CP-contaminated soil no harmful metabolites were formed. PCDD/Fs were also analyzed in the compost piles and it was found that no degradation occurred during this process. In a more recent study, Narihiro et al. [95] studied a semi-aerobic, mesophilic, fed-batch composting (FBC) reactor to bioremediate heavily PCDD/F-contaminated solid materials. The initial concentrations of PCDD/Fs were 200–800 pmol/g d.w. and after a year of operation were reduced to 15%–16% with a half-reduction time of 4 months. The reactors produced only small amounts of mono- to tri-CDD/Fs, suggesting a complete mineralization of PCDD/Fs due to a combination of reductive dechlorination of polychlorinated congeners and oxidative degradation of the dechlorinated products.
A similar strategy to composting is soil biopiles; controlled engineered bioprocesses in which biodegradable contaminants can be mineralized by microorganisms under aerobic conditions. Miller et al. [96] performed a study that tested the effect of selected nutrient amendments and temperature on the biodegradation of PCP in contaminated soil within a soil biopile on a laboratory scale. The different nutrient amendments tested were: (1) control (no additions); (2) inorganic amendment; (3) aged dairy manure amendment; and (4) Municipal Solid Waste (MSW) compost amendment. The temperatures tested were 10, 15, and 20 ± 1 °C. It was demonstrated that the temperature did not have a significant effect on the removal of PCP; however, the nutrient amendments did have a significant effect. The best result was from the MSW compost, in which PCP decreased by 76% in the amended soil, while the concentration of inorganic chloride ions increased.
Another approach was tested by Sinkkonen et al. [97] who investigated whether the activity of microorganisms from organic soil with high degradation capacity would enhance degradation of recalcitrant CPs in the contaminated soil. They found that after a thin layer of the pine forest humus was added on the top of mineral sawmill soil, original CP concentrations (70–20 μg/g) decreased by >40% in 24 days. No degradation was found in this soil, when either it was kept bare or covered with the pine forest humus soil layer previously sterilized.
4.2. Bioreactors and Microcosms
Kao and Wu [98] developed a method that combines partial oxidation using Fenton’s Reagent and bioremediation to efficiently remediate TeCDD-contaminated soils in bioreactors. They observed that up to 99% of TeCDD was transformed to less-chlorinated and less-toxic byproducts (chlorobenzenes and CPs) after chemical pre-treatment, promoting their bioavailability to microbial communities. During the biodegradation phase, the transformation of chlorinated compounds was observed after a few days of incubation in the bioreactors. The authors concluded that the two-stage partial oxidation followed by biodegradation has the potential to be developed as a technique to remediate TeCDD-contaminated soils on-site. A further study by Kao et al. [99] evaluated the effectiveness of using bioremediation to clean up TeCDD-contaminated soils under different reduction/oxidation conditions and different inoculums, such as activated sludge and aquifer sediments from a TeCDD- and a PCP-contaminated site or by using different primary substrates to enhance the reductive dechlorination of TeCDD, such as acetate, sludge cake, and cane molasses. The highest TeCDD biodegradation efficiency was observed in microcosms containing activated sludge as inoculum and sludge cake as carbon source.
In a study by Chen et al. [100], biodegradation was tested on soil heavily contaminated with PCDD/Fs, due to a historically large production of PCP. Most of the forms of PCDD/Fs in the soil were OCDD, OCDF and HeCDF. Indigenous microbial activities in the soil microcosm experiment were stimulated by the addition of oxygen and nutrients (first batch microcosms). Results demonstrated that after 6 weeks, almost 100% of OCDF and 97.75% of HeCDFs were reduced, but no degradation of OCDD occurred within 12 weeks. During degradation of highly chlorinated PCDD/Fs, concentrations of less chlorinated congeners of DD/Fs increased. In a further study that aimed to validate the degradation of OCDF, a previous inoculum was added to soil in addition to OCDF. OCDF was degraded with an efficiency of 82.1% and OCDD concentration decreased by 87.9%. That inoculum was likely able to degrade OCDD due to a previous acclimation procedure with those PCDD/Fs which are more easily degraded and have lower initial concentrations of OCDD. Toxicity decreased in this study in comparison with the first batch microcosms. In another study by Chen et al. [101] compost-amended landfill reactors were constructed to degrade PCDD/Fs in contaminated soil. The first part of the study attempted to choose the best compost that could be used later in the reactors based on the removal of PCDD/Fs. The best removal efficiency (~61%) was found in waste sludge (WS) from a pulp and paper wastewater treatment plant compost followed by plant leaf (PL) and cattle manure (CM) with removals of 36% and 32%, respectively, after 30 days. Based on these results, WS and CM composts were chosen. The second part of the study was focused on the efficiency of three compost-amended landfill reactors to remove PCDD/Fs. The reactors containing soil were named RS (no amendment), RSW (with waste sludge compost) and RSWC (with waste sludge and cattle manure compost). The conditions in the reactors were hypoxic by maintaining a periodic leachate circulation and aeration. After 280 days the removal was 33.3% for RS, 70.5% for RSW and 78.9% for RSWC.
Binh et al. [102] investigated the biodegradation of dioxins in contaminated soil under sequential anaerobic (17 weeks) and aerobic conditions (6 weeks). For this purpose, microcosms under different treatments were studied as follows: soil spiked with 2,3,7,8-TeCDD and nutrients; spiked soil plus carboxymethylcellulose (CMC) coated on nanoscale zero valent iron (nZVI); spiked soil plus Tween-80 (surfactant); and spiked soil plus CMC-coated nZVI and Tween-80. All treatments proved efficient in removing 2,3,7,8-TeCDD after the sequential anaerobic and aerobic treatment periods with a removal ranging between 40% and 60%. The study concluded that the enrichment with microorganisms collected from the dioxin-contaminated site were effective for the removal of dioxins.
Ahn et al. [80] performed a study to evaluate the dechlorination of 1,2,3,4-TeCDD-spiked historically PCDD/F-contaminated sediments undergoing stimulation through the addition of alternate halogenated electron acceptors and/or bioaugmentation with Dehalococcoides mccartyi. Sediments from the River Kymijoki had the highest dechlorination removal of 1,2,3,4-TeCDD, reaching 76.4%–88.2% removal after 120 days. This study provided evidence of a combined bioaugmentation/biostimulation approach for the bioremediation of contaminated sediment with PCDD/Fs. The authors also found that the addition of halogenated co-amendments might be a tool to enhance dechlorination of PCDD/Fs by promoting the growth of dehalogenating bacteria. Liu et al. [103] assessed the dechlorination of 1,2,3,4-TeCDD/F and OCDF by enrichment cultures derived also from the River Kymijoki sediment. The purpose of the work was to examine the effect of pentachloronitrobenzene (PCNB) on the dechlorination and how the microbial community responded to different treatments. The main results demonstrated the occurrence of both microbial reductive dechlorination of 1,2,3,4-TeCDF, 1,2,3,4-TeCDD and OCDF, and the stimulating effect of PCNB in the enrichment cultures from the River Kymijoki.
4.3. Phytoremediation
Phytoremediation has been frequently studied for its potential to bioremediate soil by aromatic compounds [104,105,106,107,108]. In a study by Wang and Oyaizu [109], the phytoremediation potential of four plant species was evaluated in a DF-spiked soil. The study showed that white clover (Trifolium repens L.) outcompeted the other plants—bermuda grass (Cynodon dactylon), bent grass (Agrostis palustris Huds.), and lawn grass (Zoysia japonica)—in terms of root biomass and numbers of DF-degrading bacteria. As a result, planted non-sterile soil showed a significant reduction in DF compared to the unplanted non-sterile soil. Furthermore, white clover-planted contaminated soil exhibited a high rate of DF removal (66% after 60 days). It was also found that microbial populations capable of degrading DF were selectively enriched by the addition of DF. In a subsequent study by Wang and Oyaizu [110], the degradation ability of Comamonas sp. strain KD7, which was hypothesized to form biofilms on the surface of white clover roots, was examined. The aim was to provide experimental evidence for improved rhizoremediation and to develop an alternative approach to remediate PCDD/F-contaminated soils using a plant-microbe system. For that purpose, soil was spiked with 2,8-DCDF, 1-CDD, 2,7-DCDD, 1,2,4-TCDD, and 1,2,3,4-TeCDD with initial concentrations of 20 mg/kg, and DF with a concentration of 1000 mg/kg, and four treatments were tested: (1) unplanted and uninoculated; (2) unplanted and strain KD7 inoculated; (3) white clover planted and uninoculated; and (4) white clover and strain KD7 inoculated. The results revealed that the white clover seeds inoculated with strain KD7 exhibited higher germination efficiency and increased root elongation compared with uninoculated white clover. Regarding the removal of contaminants, a significant decrease of DF was observed in unplanted soil inoculated with strain KD7 (63%) compared to unplanted and uninoculated soil. The variant of white clover-planted soil inoculated with strain KD7 resulted in significant reductions in DF (43%), 2,8-DCDF (68%) and DD (58%).
5. Microbial Communities in Contaminated Environments
The study of microbial communities in contaminated environments with PCDD/Fs is important to observe the phylogeny of possible biodegraders. The following studies have provided insight into the composition and structure of bacterial communities found in soils contaminated with PCDD/Fs.
5.1. Bacterial Communities In Situ
Futamata et al. [111] performed a study on the distribution of DF-degrading bacteria in PCDD/F-polluted soils in Japan. Concentrations of PCDD/Fs in the soils ranged from 6.8 to 4600 pg TEQ/g d.w. The results demonstrated that 78% of the isolates clustered with members of the class Actinobacteria, mainly the genera Nocardioides and Rhodococcus. Other isolates belonged to the genera Arthrobacter and Janibacter, with the rest being identified as members of the family Sphingomonadaceae. Notably, a higher number of DF-degrading bacterial isolates were separated from the most polluted samples. A similar study was carried out by Hanano et al. [112] with sampling sites located close to potential industrial sources of PCDD/Fs in Syria. The results of dioxin concentrations varied from 2.5 to 50 ppt and the highest concentrations were found near the vicinity of Homs refinery. The bacterial community in all sites was dominated mainly by Bacillus genus (74.7%), followed by the genera Arthrobacter and Klebsiella—5.2% and 4.7%, respectively. Bacillus subtilis, Bacillus simplex, Bacillus thuringiensis, Bacillus megaterium, Arthrobacter aurescens, Klebsiella oxytoca, Pantoea calida, Enterobacter cloacae and Microbacterium foliorum were the most abundant species. It was found that the majority of bacterial species containing angular dioxygenase encoding gene were detected in the most polluted soils.
5.2. Bacterial Communities in Bioremediation Studies
In a further study to understand the microbial community structure of the previously mentioned microcosm degrading OCDF, Chen et al. [113] pyrosequenced 16S rRNA genes of the bacterial communities transited from polluted soil to the batch microcosms. Results revealed that although oxygen was provided, anaerobic Sedimentibacter initially emerged as the abundant pioneer. Aerobic genera exhibited an increase in their 16S rRNA gene copies within the timeframe of the study, which indicates their involvement in the degradation of OCDF under hypoxic conditions. Chen et al. [101] also studied the microbial community in the compost-amended landfill reactors to degrade PCDD/Fs in contaminated soil. The predominant phyla found in the three reactors initially consisted of Proteobacteria, Firmicutes, and Actinobacteria. The latter remained dominant until the end of the operation but experienced remarkable changes in terms of abundance. The inoculation with waste sludge (WS) and cattle manure (CM) compost made bacilli-related population abundant. Gammaproteobacteria- and Chloroflexi-related populations were enriched in reactor RSW (with waste sludge compost) while Alphaproteobacteria-related population was the one enhanced in reactor RSWC (with waste sludge and cattle manure compost). There were high sequence frequencies of potential degraders such as Bacillus, Pseudomonas and Chloroflexi phylum.
Yoshida et al. [114] constructed anaerobic microcosms containing river sediments heavily polluted with PCDD/Fs. The aim was to study the dechlorination of these compounds and the microbial community structure. The reduction of PCDD/Fs was about 49% of the initial concentration after 360 days without the accumulation of less-chlorinated congeners as intermediates or end products. The half-reduction time was estimated to be 14 months. Major phyla found were Firmicutes, Proteobacteria and Bacteroidetes; however, Chloroflexi and Dehalococcoides were also found in the microbial community. This suggests that anaerobic bacteria with the capacity of reductively dechlorinate PCDD/Fs and aerobic bacteria with the oxidation capacity towards PCDD/Fs probably coexist and can completely mineralize these compounds. Another study using semi-anaerobic microcosms from lake sediments under different levels of PCDD/F contamination [115] aimed to foresee kinetic patterns of PCDD/F degradation in the microcosms and to study the relationship between the level of contamination and the density of Dehalococcoides. PCDD/Fs had similar reducing coefficients with only trace amounts of less chlorinated congeners as intermediates or end products. Major phyla in the bacterial community were Bacteroidetes, Firmicutes and Proteobacteria regardless of the PCDD/Fs concentrations. The population density of Dehalococcoides was correlated with PCDD/F concentration. The study concluded that under semi-anaerobic conditions, anaerobic reductive dechlorinating bacteria and aerobic bacteria with the oxidation capacity towards PCDD/Fs could develop and apparently completely mineralize PCDD/Fs. In a more recent experiment by Kaiya et al. [116], aromatic-hydrocarbon-degrading (AHD) bacteria from semi-anaerobic PCDD/F-transforming microcosms were studied. The microcosms were inoculated with river sediment and incubated for 1.6 years with dibenzofuran as the model substrate. During this period the concentration of PCDD/Fs in the microcosm decreased to 43% on a molar basis and no significant accumulation of mono- to tri-CDD/Fs as intermediate dechlorinated products were detected. DF-degrading isolates were identified as members of the phyla Actinobacteria, Firmicutes and Proteobacteria, with the genera Paenibacillus and Rhizobium being the most abundant isolates.
Microbial populations were also analyzed in the study, operating semi-aerobic FBC reactors to bioremediate heavily PCDD/F-contaminated solid materials [95]. The major populations found in the FBC reactors shifted from the Proteobacteria to Actinobacteria and, during the overall period, Bacteroidetes and Firmicutes phyla were present, with possible dechlorinators being Dehalococcoides and Chloroflexi.
6. Conclusions
Soils close to sawmills tend to be heavily contaminated with PCP, other CPs and PCDD/Fs. However, there appears to be a diverse spectrum of microorganisms capable of degrading these pollutants, indicating that bioremediation of such contaminated localities is possible even by natural attenuation. In order to increase the effectiveness and degradation rate, several studies have tested different technologies and conditions. Engineered biosystems have also attracted attention for their potential application in bioremediation of PCDD/Fs. In this review we are providing an overview of different bioremediation approaches with a couple of acknowledged conclusions, such as the complete mineralization of PCP and PCDD/Fs through a combination of reductive dechlorination of polychlorinated congeners and oxidative degradation of the dechlorinated products. Mineralization can also be achieved by amending contaminated soil with organic soil rich in nutrients and high in microbial diversity.
Summarizations have been made suggesting that links exist between successful removal of PCP or PCDD/Fs and specific microbial populations; however, further studies are still needed to completely understand this link. Bioremediation using indigenous microbial communities already adapted to the contaminated environment thus appears to be a promising approach in the transformation and removal of CPs and PCDD/Fs from the polluted environment. However, little research has been conducted revealing the potential of secondary plant metabolites in accelerating the removal of PCP and PCDD/Fs from soils; the widely known secondary compound hypothesis indicates that secondary plant metabolites can stimulate microbial metabolism of pollutants present in the environment [117,118], which has been demonstrated with related groups of pollutants such as PCBs [119,120,121,122]. To the best of our knowledge, however, this mechanism remains unresolved for CPs and PCDD/Fs.
Additionally, further studies are needed to clarify the mechanisms of biodegradation of PCDD/Fs and the microbial communities directly involved. More knowledge needs to be gained about the interactions between aerobic and anaerobic degrading microorganisms, which inhabit polluted environments. Studies elucidating further genetic, enzymatic and regulatory foundations of biodegradation mechanisms should also be a priority. Therefore, it is important to keep monitoring PCP and PCDD/F concentrations in the environment, as impurities can still be emitted during synthesis and through the use of certain organics, such as pesticides.
Acknowledgments
The authors acknowledge the support of the Technology Agency of the Czech Republic under grant number TA03021234 and the Czech Science Foundation under grant number 15-02328S. The authors acknowledge the comments of Jillian Helser.
Author Contributions
Eglantina Lopez-Echartea, Tomas Macek, Katerina Demnerova and Ondrej Uhlik wrote the paper.
Conflicts of Interest
The authors declare no conflict of interest.
Abbreviations
| AHD | aromatic-hydrocarbon-degrading |
| AI | active ingredient |
| CMC | carboxymethylcellulose |
| CDD/Fs | chlorinated dibenzo-p-dioxins and dibenzofurans |
| CNP | 2,4,6-trichlorophenyl-4′-nitrophenyl ether |
| CP | chlorophenol |
| CPs | chlorinated phenols |
| d.w. | dry weight |
| DCP | dichlorophenol |
| DCDD | dichlorinated dibenzo-p-dioxin |
| DCDF | dichlorinated dibenzofuran |
| DD | dibenzo-p-dioxin |
| DF | dibenzofuran |
| FBC | fed-batch composting |
| HeCDD | heptachlorinated dibenzo-p-dioxin |
| HeCDF | heptachlorinated dibenzofuran |
| HxCDD | hexachlorinated dibenzo-p-dioxin |
| HxCDF | hexachlorinated dibenzofuran |
| MCPs | monochlorinated phenols |
| MSW | municipal solid waste |
| OCDD | octachlorinated dibenzo-p-dioxin |
| OCDF | octachlorinated dibenzofuran |
| PCDD | polychlorinated dibenzo-p-dioxin |
| PCP | pentachlorophenol |
| PeCDD | pentachlorinated dibenzo-p-dioxin |
| PCDF | polychlorinated dibenzofuran |
| PeCDF | pentachlorinated dibenzofuran |
| RDases | reductive dehalogenases |
| TCA | tricarboxylic acid |
| TCDD | trichlorinated dibenzo-p-dioxin |
| TCDF | trichlorinated dibenzofuran |
| TCHQ | tetrachlorohydroquinone |
| TCP | trichlorophenol |
| TeCDD | tetrachlorinated dibenzo-p-dioxin |
| TeCDF | tetrachlorinated dibenzofuran |
| TeCP | tetrachlorophenol |
| TEQ | toxic equivalent |
References
- World Health Organization (WHO). Pentachlorophenol. Available online: http://www.inchem.org/documents/ehc/ehc/ehc71.htm (accessed on 17 July 2015).
- Agency for Toxic Substances and Disease Registry (ATSDR). Toxicological Profile for Pentachlorophenol; Update; U.S. Department of Health and Human Services, Public Health Service: Atlanta, GA, USA, 2001.
- EuroChlor. Pentachlorophenol; Euro Chlor Risk Assessment for the Marine Environment; OSPARCOM Region—North Sea; EuroChlor: Brussels, Belgium, 1999. [Google Scholar]
- World Health Organization (WHO). Pentachlorophenol in Drinking-Water; Background Document for Development of WHO Guidelines for Drinking-Water Quality; World Health Organization: Geneva, Switzerland, 1998. [Google Scholar]
- Food and Agriculture Organization of the United Nations (FAO). Pentachlorophenol and Its Salts and Esters; Decision Guidance Documents; United Nations Environment Programme: Rome, Italy; Geneva, Switzerland, 1996. [Google Scholar]
- Muller, F.; Caillard, L. Chlorophenols. Ullmann’s Encycl. Ind. Chem. 2011, 45, 43–50. [Google Scholar]
- Fisher, B. Pentachlorophenol: Toxicology and environmental fate. J. Pestic. Reform 1991, 11, 1–5. [Google Scholar]
- Yu, J.; Nestrick, T.J.; Allen, R.; Savage, P.E. Microcontaminants in pentachlorophenol synthesis. 1. New bioassay for microcontaminant quantification. Ind. Eng. Chem. Res. 2006, 45, 5199–5204. [Google Scholar] [CrossRef]
- Holt, E.; Weber, R.; Stevenson, G.; Gaus, C. Polychlorinated dibenzo-p-dioxins and dibenzofurans (PCDD/Fs) impurities in pesticides: A neglected source of contemporary relevance. Environ. Sci. Technol. 2010, 44, 5409–5415. [Google Scholar] [CrossRef] [PubMed]
- Anasonye, F.; Winquist, E.; Kluczek-Turpeinen, B.; Rasanen, M.; Salonen, K.; Steffen, K.T.; Tuomela, M. Fungal enzyme production and biodegradation of polychlorinated dibenzo-p-dioxins and dibenzofurans in contaminated sawmill soil. Chemosphere 2014, 110, 85–90. [Google Scholar] [CrossRef] [PubMed]
- Persson, Y.; Lundstedt, S.; Oberg, L.; Tysklind, M. Levels of chlorinated compounds (CPs, PCPPs, PCDEs, PCDFs and PCDDs) in soils at contaminated sawmill sites in Sweden. Chemosphere 2007, 66, 234–242. [Google Scholar] [CrossRef] [PubMed]
- Kitunen, V.H.; Valo, R.J.; Salkinoja-Salonen, M.S. Contamination of soil around wood-preserving facilities by polychlorinated aromatic compounds. Environ. Sci. Technol. 1987, 21, 96–101. [Google Scholar] [CrossRef]
- Salo, S.; Verta, M.; Malve, O.; Korhonen, M.; Lehtoranta, J.; Kiviranta, H.; Isosaari, P.; Ruokojarvi, P.; Koistinen, J.; Vartiainen, T. Contamination of River Kymijoki sediments with polychlorinated dibenzo-p-dioxins, dibenzofurans and mercury and their transport to the Gulf of Finland in the Baltic Sea. Chemosphere 2008, 73, 1675–1683. [Google Scholar] [CrossRef] [PubMed]
- Weber, R.; Masunaga, S. PCDD/PCDF contamination from historical pesticide use and production—A case study using data from Japan and Germany. In Proceedings of the International HCH and Pesticides Forum, Sofia, Bulgaria, 26–28 May 2005.
- Nie, Z.; Tang, Z.; Zhu, X.; Yang, Y.; Fu, H.; Die, Q.; Wang, Q.; Huang, Q. Occurrence, possible sources, and temporal trends of polychlorinated dibenzo-p-dioxins and dibenzofurans in water and sediment from the lower Yangtze River basin, Jiangsu and Shanghai areas of Eastern China. Environ. Sci. Pollut. Res. 2013, 20, 8751–8762. [Google Scholar] [CrossRef] [PubMed]
- Lin, J.; Xu, Y.; Brookes, P.C.; He, Y.; Xu, J. Spatial and temporal variations in pentachlorophenol dissipation at the aerobic—Anaerobic interfaces of flooded paddy soils. Environ. Pollut. 2013, 178, 433–440. [Google Scholar] [CrossRef] [PubMed]
- Arora, P.K.; Bae, H. Bacterial degradation of chlorophenols and their derivatives. Microb. Cell Fact. 2014, 13. [Google Scholar] [CrossRef] [PubMed]
- Orser, C.; Lange, C. Molecular analysis of pentachlorophenol degradation. Biodegradation 1994, 5, 277–288. [Google Scholar] [CrossRef] [PubMed]
- Kozak, V.P.; Simsiman, G.V.; Chesters, G.; Stensby, D.; Harkin, J. Reviews of the Environmental Effects of Pollutants. XI. Chlorophenols; U.S. Environmental Protection Agency: Washington, DC, USA, 1979; p. 492.
- U.S. Environmental Protection Agency (EPA). Integrated Risk Information System (IRIS) on Pentachlorophenol. Available online: http://www.epa.gov/iris/subst/0086.htm (accessed on 14 May 2015).
- Cooper, G.S.; Jones, S. Pentachlorophenol and cancer risk: Focusing the lens on specific chlorophenols and contaminants. Environ. Health Perspect. 2008, 116, 1001–1008. [Google Scholar] [CrossRef] [PubMed]
- Takeuchi, M.; Hamana, K.; Hiraishi, A. Proposal of the genus Sphingomonas sensu stricto and three new genera, Sphingobium, Novosphingobium and Sphingopyxis, on the basis of phylogenetic and chemotaxonomic analyses. Int. J. Syst. Evol. Microbiol. 2001, 51, 1405–1417. [Google Scholar] [CrossRef] [PubMed]
- Fetzner, S. Bacterial dehalogenation. Appl. Microbiol. Biotechnol. 1998, 50, 633–657. [Google Scholar] [CrossRef] [PubMed]
- Xun, L.; Orser, C.S. Purification and properties of pentachlorophenol hydroxylase, a flavoprotein from Flavobacterium sp. strain ATCC 39723. J. Bacteriol. 1991, 173, 4447–4453. [Google Scholar] [CrossRef] [PubMed]
- Orser, C.S.; Lange, C.C.; Xun, L.; Zahrt, T.C.; Schneider, B.J. Cloning, sequence analysis, and expression of the Flavobacterium pentachlorophenol-4-monooxygenase gene in Escherichia coli. J. Bacteriol. 1993, 175, 411–416. [Google Scholar] [CrossRef] [PubMed]
- Lange, C.C.; Schneider, B.J.; Orser, C.S. Verification of the role of pcp 4-monooxygenase in chlorine elimination from pentachlorophenol by Flavobacterium sp. strain ATCC 39723. Biochem. Biophys. Res. Commun. 1996, 219, 146–149. [Google Scholar] [CrossRef] [PubMed]
- Orser, C.S.; Dutton, J.; Lange, C.; Jablonski, P.; Xun, L.; Hargis, M. Characterization of a Flavobacterium glutathione S-transferase gene involved reductive dechlorination. J. Bacteriol. 1993, 175, 2640–2644. [Google Scholar] [CrossRef] [PubMed]
- Ohtsubo, Y.; Miyauchi, K.; Kanda, K.; Hatta, T.; Kiyohara, H.; Senda, T.; Nagata, Y.; Mitsui, Y.; Takagi, M. PcpA, which is involved in the degradation of pentachlorophenol in Sphingomonas chlorophenolica ATCC39723, is a novel type of ring-cleavage dioxygenase. FEBS Lett. 1999, 459, 395–398. [Google Scholar] [CrossRef]
- Steiert, J.G.; Crawford, R.L. Catabolism of pentachlorophenol by a Flavobacterium sp. Biochem. Biophys. Res. Commun. 1986, 141, 825–830. [Google Scholar] [CrossRef]
- Uotila, J.S.; Kitunen, V.H.; Saastamoinen, T.; Coote, T.; Häggblom, M.M.; Salkinoja-Salonen, M.S. Characterization of Aromatic Dehalogenases of Mycobacterium fortuitum CG-2. J. Bacteriol. 1992, 174, 5669–5675. [Google Scholar] [CrossRef] [PubMed]
- Uotila, J.S.; Salkinoja-Salonen, M.S.; Apajalahti, J.H. Dechlorination of pentachlorophenol by membrane bound enzymes of Rhodococcus chlorophenolicus PCP-I. Biodegradation 1991, 2, 25–31. [Google Scholar] [CrossRef] [PubMed]
- Apajalahti, J.H.A.; Salkinoja-Salonen, M.S. Complete dechlorination of tetrachlorohydroquinone by cell extracts of pentachlorophenol-induced Rhodococcus chlorophenolicus. J. Bacteriol. 1987, 169, 5125–5130. [Google Scholar] [CrossRef] [PubMed]
- Hiraishi, A. Biodiversity of dehalorespiring bacteria with special emphasis on polychlorinated biphenyl/dioxin dechlorinators. Microbes Environ. 2008, 23, 1–12. [Google Scholar] [CrossRef] [PubMed]
- Field, J.A.; Sierra-Alvarez, R. Microbial degradation of chlorinated phenols. Rev. Environ. Sci. Bio/Technol. 2008, 7, 211–241. [Google Scholar] [CrossRef]
- Holliger, C.; Wohlfarth, G.; Diekert, G. Reductive dechlorination in the energy metabolism of anaerobic bacteria. FEMS Microbiol. Rev. 1998, 22, 383–398. [Google Scholar] [CrossRef]
- Bunge, M.; Lechner, U. Anaerobic reductive dehalogenation of polychlorinated dioxins. Appl. Microbiol. Biotechnol. 2009, 84, 429–444. [Google Scholar] [CrossRef] [PubMed]
- Jugder, B.-E.; Ertan, H.; Bohl, S.; Lee, M.; Marquis, C.P.; Manefield, M. Organohalide respiring bacteria and reductive dehalogenases: Key tools in organohalide bioremediation. Front. Microbiol. 2016, 7. [Google Scholar] [CrossRef] [PubMed]
- Adriaens, P.; Grbic’-Galic, D. Reductive dechlorination of PCDD/F by anaerobic cultures and sediments. Chemosphere 1994, 29, 2253–2259. [Google Scholar] [CrossRef]
- Richardson, R.E. Genomic insights into organohalide respiration. Curr. Opin. Biotechnol. 2013, 24, 498–505. [Google Scholar] [CrossRef] [PubMed]
- Mikesell, M.D.; Boyd, S.A. Complete reductive dechlorination and mineralization of pentachlorophenol by anaerobic microorganisms. Appl. Environ. Microbiol. 1986, 52, 861–865. [Google Scholar] [PubMed]
- Stuart, S.L.; Woods, S.L. Kinetic evidence for pentachlorophenol-dependent growth of a dehalogenating population in a pentachlorophenol- and acetate-fed methanogenic culture. Biotechnol. Bioeng. 1998, 57, 420–429. [Google Scholar] [CrossRef]
- Villemur, R. The pentachlorophenol-dehalogenating Desulfitobacterium hafniense strain PCP-1. Philos. Trans. R. Soc. Lond. Ser. B Biol. Sci. 2013, 368. [Google Scholar] [CrossRef] [PubMed]
- Van de Pas, B.A.; Smidt, H.; Hagen, W.R.; van der Oost, J.; Schraa, G.; Stams, A.J.M.; de Vos, W.M. Purification and molecular characterization of ortho-chlorophenol reductive dehalogenase, a key enzyme of halorespiration in Desulfitobacterium dehalogenans. J. Biol. Chem. 1999, 274, 20287–20292. [Google Scholar] [CrossRef] [PubMed]
- Bisaillon, A.; Beaudet, R.; Lepine, F.; Deziel, E.; Villemur, R. Identification and characterization of a novel CprA reductive dehalogenase specific to highly chlorinated phenols from Desulfitobacterium hafniense strain PCP-1. Appl. Environ. Microbiol. 2010, 76, 7536–7540. [Google Scholar] [CrossRef] [PubMed]
- Thibodeau, J.; Gauthier, A.; Duguay, M.; Villemur, R.; Lepine, F.; Juteau, P.; Beaudet, R. Purification, cloning, and sequencing of a 3,5-dichlorophenol reductive dehalogenase from Desulfitobacterium frappieri PCP-1. Appl. Environ. Microbiol. 2004, 70, 4532–4537. [Google Scholar] [CrossRef] [PubMed]
- Boyer, A.; Page-BeLanger, R.; Saucier, M.; Villemur, R.; Lepine, F.; Juteau, P.; Beaudet, R. Purification, cloning and sequencing of an enzyme mediating the reductive dechlorination of 2,4,6-trichlorophenol from Desulfitobacterium frappieri PCP-1. Biochem. J. 2003, 373, 297–303. [Google Scholar] [CrossRef] [PubMed]
- Agency for Toxic Substances and Disease Registry (ATSDR). Toxicological Profile for Chlorinated Dibenzo-p-Dioxins (CDDs). Available online: http://www.atsdr.cdc.gov/toxprofiles/tp.asp?id=366&tid=63 (accessed on 9 July 2015).
- Barring, H.; Bucheli, T.D.; Broman, D.; Gustafsson, O. Soot-water distribution coefficients for polychlorinated dibenzo-p-dioxins, polychlorinated dibenzofurans and polybrominated diphenylethers determined with the soot cosolvency-column method. Chemosphere 2002, 49, 515–523. [Google Scholar] [CrossRef]
- Cornelissen, G.; Gustafsson, Ö.; Bucheli, T.D.; Jonker, M.T.; Koelmans, A.A.; van Noort, P.C. Extensive sorption of organic compounds to black carbon, coal, and kerogen in sediments and soils: Mechanisms and consequences for distribution, bioaccumulation, and biodegradation. Environ. Sci. Technol. 2005, 39, 6881–6895. [Google Scholar] [CrossRef] [PubMed]
- Srogi, K. Levels and congener distributions of PCDDs, PCDFs and dioxin-like PCBs in environmental and human samples: A review. Environ. Chem. Lett. 2008, 6, 1–28. [Google Scholar] [CrossRef]
- Otles, S.; Yildiz, H. Dioxin in food and human health. Electron. J. Environ. Agric. Food Chem. 2003, 2, 593–608. [Google Scholar]
- Hoekstra, E.J.; de Weerd, H.; de Leer, E.W.; Brinkman, U.A.T. Natural formation of chlorinated phenols, dibenzo-p-dioxins, and dibenzofurans in soil of a Douglas fir forest. Environ. Sci. Technol. 1999, 33, 2543–2549. [Google Scholar] [CrossRef]
- Lavric, E.D.; Konnov, A.A.; De Ruyck, J. Dioxin levels in wood combustion—A review. Biomass Bioenergy 2004, 26, 115–145. [Google Scholar] [CrossRef]
- Gu, C.; Li, H.; Teppen, B.J.; Boyd, S.A. Octachlorodibenzodioxin formation on Fe(III)-montmorillonite clay. Environ. Sci. Technol. 2008, 42, 4758–4763. [Google Scholar] [CrossRef] [PubMed]
- Gu, C.; Liu, C.; Ding, Y.; Li, H.; Teppen, B.J.; Johnston, C.T.; Boyd, S.A. Clay mediated route to natural formation of Polychlorodibenzo-p-dioxins. Environ. Sci. Technol. 2011, 45, 3445–3451. [Google Scholar] [CrossRef] [PubMed]
- Wittich, R.-M. Degradation of dioxin-like compounds by microorganisms. Appl. Microbiol. Biotechnol. 1998, 49, 489–499. [Google Scholar] [CrossRef] [PubMed]
- World Health Organization (WHO). Dioxins and Their Effects on Human Health. Available online: http://www.who.int/mediacentre/factsheets/fs225/en/ (accessed on 19 July 2015).
- World Health Organization (WHO). Polychlorinated Dibenzo-p-dioxins and Dibenzofurans. Available online: http://www.inchem.org/documents/ehc/ehc/ehc88.htm (accessed on 23 June 2015).
- Dahlgren, J.; Warshaw, R.; Horsak, R.D.; Parker, F.M., III; Takhar, H. Exposure assessment of residents living near a wood treatment plant. Environ. Res. 2003, 92, 99–109. [Google Scholar] [CrossRef]
- Fries, G.F.; Feil, V.J.; Zaylskie, R.G.; Bialek, K.M.; Rice, C.P. Treated wood in livestock facilities: Relationships among residues of pentachlorophenol, dioxins, and furans in wood and beef. Environ. Pollut. 2002, 116, 301–307. [Google Scholar] [CrossRef]
- Huwe, J.K.; Davison, K.; Feil, V.J.; Larsen, G.; Lorentzsen, M.; Zaylskie, R.; Tiernan, T.O. Levels of polychlorinated dibenzo-p-dioxins and dibenzofurans in cattle raised at agricultural research facilities across the USA and the influence of pentachlorophenol-treated wood. Food Addit.Contam. 2004, 21, 182–194. [Google Scholar] [CrossRef] [PubMed]
- Field, J.A.; Sierra-Alvarez, R. Microbial degradation of chlorinated dioxins. Chemosphere 2008, 71, 1005–1018. [Google Scholar] [CrossRef] [PubMed]
- Hong, H.B.; Nam, I.H.; Murugesan, K.; Kim, Y.M.; Chang, Y.S. Biodegradation of dibenzo-p-dioxin, dibenzofuran, and chlorodibenzo-p-dioxins by Pseudomonas veronii PH-03. Biodegradation 2004, 15, 303–313. [Google Scholar] [CrossRef] [PubMed]
- Zanaroli, G.; Negroni, A.; Häggblom, M.M.; Fava, F. Microbial dehalogenation of organohalides in marine and estuarine environments. Curr. Opin. Biotechnol. 2015, 33, 287–295. [Google Scholar] [CrossRef] [PubMed]
- Hiraishi, A. Biodiversity of dioxin-degrading microorganisms and potential utilization in bioremediation. Microbes Environ. 2003, 18, 105–125. [Google Scholar] [CrossRef]
- Chang, Y.-S. Recent developments in microbial biotransformation and biodegradation of dioxins. J. Mol. Microbiol. Biotechnol. 2008, 15, 152–171. [Google Scholar] [CrossRef] [PubMed]
- Klečka, G.M.; Gibson, D.T. Metabolism of dibenzo-p-dioxin by a Pseudomonas species. Biochem. J. 1979, 180, 639–645. [Google Scholar] [CrossRef] [PubMed]
- Wittich, R.M.; Wilkes, H.; Sinnwell, V.; Francke, W.; Fortnagel, P. Metabolism of dibenzo-p-dioxin by Sphingomonas sp. strain RW1. Appl. Environ. Microbiol. 1992, 58, 1005–1010. [Google Scholar] [PubMed]
- Nojiri, H.; Omori, T. Molecular bases of aerobic bacterial degradation of dioxins: Involvement of angular dioxygenation. Biosci. Biotechnol. Biochem. 2002, 66, 2001–2016. [Google Scholar] [CrossRef] [PubMed]
- Jin, S.; Zhu, T.; Xu, X.; Xu, Y. Biodegradation of dibenzofuran by Janibacter terrae strain XJ-1. Curr. Microbiol. 2006, 53, 30–36. [Google Scholar] [CrossRef] [PubMed]
- Miyauchi, K.; Sukda, P.; Nishida, T.; Ito, E.; Matsumoto, Y.; Masai, E.; Fukuda, M. Isolation of dibenzofuran-degrading bacterium, Nocardioides sp. DF412, and characterization of its dibenzofuran degradation genes. J. Biosci. Bioeng. 2008, 105, 628–635. [Google Scholar] [CrossRef] [PubMed]
- Sukda, P.; Gouda, N.; Ito, E.; Miyauchi, K.; Masai, E.; Fukuda, M. Characterization of a transcriptional regulatory gene involved in dibenzofuran degradation by Nocardioides sp. strain DF412. Biosci. Biotechnol. Biochem. 2009, 73, 508–516. [Google Scholar] [CrossRef] [PubMed]
- Jaiswal, P.K.; Thakur, I.S. Isolation and characterization of dibenzofuran-degrading Serratia marcescens from alkalophilic bacterial consortium of the chemostat. Curr. Microbiol. 2007, 55, 447–454. [Google Scholar] [CrossRef] [PubMed]
- Yabuuchi, E.; Yamamoto, H.; Terakubo, S.; Okamura, N.; Naka, T.; Fujiwara, N.; Kobayashi, K.; Kosako, Y.; Hiraishi, A. Proposal of Sphingomonas wittichii sp. nov. for strain RW1T, known as a dibenzo-p-dioxin metabolizer. Int. J. Syst. Evol. Microbiol. 2001, 51, 281–292. [Google Scholar] [CrossRef] [PubMed]
- Armengaud, J.; Happe, B.; Timmis, K.N. Genetic analysis of dioxin dioxygenase of Sphingomonas sp. strain RW1: Catabolic genes dispersed on the genome. J. Bacteriol. 1998, 180, 3954–3966. [Google Scholar] [PubMed]
- Armengaud, J.; Timmis, K.N.; Wittich, R.M. A functional 4-hydroxysalicylate/hydroxyquinol degradative pathway gene cluster is linked to the initial dibenzo-p-dioxin pathway genes in Sphingomonas sp. strain RW1. J. Bacteriol. 1999, 181, 3452–3461. [Google Scholar] [PubMed]
- Wilkes, H.; Wittich, R.; Timmis, K.N.; Fortnagel, P.; Francke, W. Degradation of chlorinated dibenzofurans and dibenzo-p-dioxins by Sphingomonas sp. strain RW1. Appl. Environ. Microbiol. 1996, 62, 367–371. [Google Scholar] [PubMed]
- Nam, I.H.; Kim, Y.M.; Schmidt, S.; Chang, Y.S. Biotransformation of 1,2,3-tri- and 1,2,3,4,7,8-hexachlorodibenzo-p-dioxin by Sphingomonas wittichii strain RW1. Appl. Environ. Microbiol. 2006, 72, 112–116. [Google Scholar] [CrossRef] [PubMed]
- Ballerstedt, H.; Kraus, A.; Lechner, U. Reductive dechlorination of 1,2,3,4-tetrachlorodibenzo-p-dioxin and its products by anaerobic mixed cultures from Saale River sediment. Environ. Sci. Technol. 1997, 31, 1749–1753. [Google Scholar] [CrossRef]
- Ahn, Y.B.; Liu, F.; Fennell, D.E.; Haggblom, M.M. Biostimulation and bioaugmentation to enhance dechlorination of polychlorinated dibenzo-p-dioxins in contaminated sediments. FEMS Microbiol. Ecol. 2008, 66, 271–281. [Google Scholar] [CrossRef] [PubMed]
- Beurskens, J.E.; De Wolf, J.; Toussaint, E.; van der Steen, J.; Slot, P.C.; Commandeur, L.; Parsons, J.R. Dehalogenation of chlorinated dioxins by an anaerobic microbial consortium from sediment. Environ. Toxicol. Chem. 1995, 14, 939–943. [Google Scholar] [CrossRef]
- Bunge, M.; Ballerstedt, H.; Lechner, U. Regiospecific dechlorination of spiked tetra- and trichlorodibenzo-p-dioxins by anaerobic bacteria from PCDD/F-contaminated Spittelwasser sediments. Chemosphere 2001, 43, 675–681. [Google Scholar] [CrossRef]
- McMurdie, P.J.; Behrens, S.F.; Muller, J.A.; Goke, J.; Ritalahti, K.M.; Wagner, R.; Goltsman, E.; Lapidus, A.; Holmes, S.; Loffler, F.E.; et al. Localized plasticity in the streamlined genomes of vinyl chloride respiring Dehalococcoides. PLoS Genet. 2009, 5, e1000714. [Google Scholar] [CrossRef] [PubMed]
- Wagner, A.; Segler, L.; Kleinsteuber, S.; Sawers, G.; Smidt, H.; Lechner, U. Regulation of reductive dehalogenase gene transcription in Dehalococcoides mccartyi. Philos. Trans. R. Soc. Lond. Ser. B Biol. Sci. 2013, 368, 20120317. [Google Scholar] [CrossRef] [PubMed]
- Smidt, H.; de Vos, W.M. Anaerobic microbial dehalogenation. Annu. Rev. Microbiol. 2004, 58, 43–73. [Google Scholar] [CrossRef] [PubMed]
- Löffler, F.E.; Yan, J.; Ritalahti, K.M.; Adrian, L.; Edwards, E.A.; Konstantinidis, K.T.; Müller, J.A.; Fullerton, H.; Zinder, S.H.; Spormann, A.M. Dehalococcoides mccartyi gen. nov., sp. nov., obligately organohalide-respiring anaerobic bacteria relevant to halogen cycling and bioremediation, belong to a novel bacterial class, Dehalococcoidia classis nov., order Dehalococcoidales ord. nov. and family Dehalococcoidaceae fam. nov., within the phylum Chloroflexi. Int. J. Syst. Evol. Microbiol. 2013, 63, 625–635. [Google Scholar] [PubMed]
- Seshadri, R.; Adrian, L.; Fouts, D.E.; Eisen, J.A.; Phillippy, A.M.; Methe, B.A.; Ward, N.L.; Nelson, W.C.; Deboy, R.T.; Khouri, H.M.; et al. Genome sequence of the PCE-dechlorinating bacterium Dehalococcoides ethenogenes. Science 2005, 307, 105–108. [Google Scholar] [CrossRef] [PubMed]
- Kube, M.; Beck, A.; Zinder, S.H.; Kuhl, H.; Reinhardt, R.; Adrian, L. Genome sequence of the chlorinated compound-respiring bacterium Dehalococcoides species strain CBDB1. Nat. Biotechnol. 2005, 23, 1269–1273. [Google Scholar] [CrossRef] [PubMed]
- Wang, S.; Chng, K.R.; Wilm, A.; Zhao, S.; Yang, K.-L.; Nagarajan, N.; He, J. Genomic characterization of three unique Dehalococcoides that respire on persistent polychlorinated biphenyls. Proc. Natl. Acad. Sci. USA 2014, 111, 12103–12108. [Google Scholar] [CrossRef] [PubMed]
- Laine, M.M.; Jørgensen, K.S. Straw compost and bioremediated soil as inocula for the bioremediation of chlorophenol-contaminated soil. Appl. Environ. Microbiol. 1996, 62, 1507–1513. [Google Scholar] [PubMed]
- Laine, M.M.; Jørgensen, K.S. Effective and safe composting of chlorophenol-contaminated soil in pilot scale. Environ. Sci. Technol. 1997, 31, 371–378. [Google Scholar] [CrossRef]
- Jaspers, C.J.; Ewbank, G.; McCarthy, A.J.; Penninckx, M.J. Successive rapid reductive dehalogenation and mineralization of pentachlorophenol by the indigenous microflora of farmyard manure compost. J. Appl. Microbiol. 2002, 92, 127–133. [Google Scholar] [CrossRef] [PubMed]
- Zeng, G.; Yu, Z.; Chen, Y.; Zhang, J.; Li, H.; Yu, M.; Zhao, M. Response of compost maturity and microbial community composition to pentachlorophenol (PCP)-contaminated soil during composting. Bioresour. Technol. 2011, 102, 5905–5911. [Google Scholar] [CrossRef] [PubMed]
- Laine, M.M.; Ahtiainen, J.; Wågman, N.; Öberg, L.G.; Jørgensen, K.S. Fate and toxicity of chlorophenols, polychlorinated dibenzo-p-dioxins, and dibenzofurans during composting of contaminated sawmill soil. Environ. Sci. Technol. 1997, 31, 3244–3250. [Google Scholar] [CrossRef]
- Narihiro, T.; Kaiya, S.; Futamata, H.; Hiraishi, A. Removal of polychlorinated dioxins by semi-aerobic fed-batch composting with biostimulation of “Dehalococcoides”. J. Biosci. Bioeng. 2010, 109, 249–256. [Google Scholar] [CrossRef] [PubMed]
- Miller, M.N.; Stratton, G.W.; Murray, G. Effects of nutrient amendmentsand temperature on the biodegradationof pentachlorophenol contaminated soil. Water Air Soil Pollut. 2004, 151, 87–101. [Google Scholar] [CrossRef]
- Sinkkonen, A.; Kauppi, S.; Simpanen, S.; Rantalainen, A.L.; Strommer, R.; Romantschuk, M. Layer of organic pine forest soil on top of chlorophenol-contaminated mineral soil enhances contaminant degradation. Environ. Sci. Pollut. Res. 2013, 20, 1737–1745. [Google Scholar] [CrossRef] [PubMed]
- Kao, C.M.; Wu, M.J. Enhanced TCDD degradation by Fenton’s reagent preoxidation. J. Hazard. Mater. 2000, 74, 197–211. [Google Scholar] [CrossRef]
- Kao, C.M.; Chen, S.C.; Liu, J.K.; Wu, M.J. Evaluation of TCDD biodegradability under different redox conditions. Chemosphere 2001, 44, 1447–1454. [Google Scholar] [CrossRef]
- Chen, W.Y.; Wu, J.H.; Lin, Y.Y.; Huang, H.J.; Chang, J.E. Bioremediation potential of soil contaminated with highly substituted polychlorinated dibenzo-p-dioxins and dibenzofurans: Microcosm study and microbial community analysis. J. Hazard. Mater. 2013, 261, 351–361. [Google Scholar] [CrossRef] [PubMed]
- Chen, W.-Y.; Wu, J.-H.; Lin, S.-C.; Chang, J.-E. Bioremediation of polychlorinated-p-dioxins/dibenzofurans contaminated soil using simulated compost-amended landfill reactors under hypoxic conditions. J. Hazard. Mater. 2016, 312, 159–168. [Google Scholar] [CrossRef] [PubMed]
- Binh, N.D.; Imsapsangworn, C.; Kim Oanh, N.T.; Parkpian, P.; Karstensen, K.; Giao, P.H.; DeLaune, R.D. Sequential anaerobic-aerobic biodegradation of 2,3,7,8-TCDD contaminated soil in the presence of CMC-coated nZVI and surfactant. Environ. Technol. 2016, 37, 388–398. [Google Scholar] [CrossRef] [PubMed]
- Liu, H.; Park, J.-W.; Häggblom, M.M. Enriching for microbial reductive dechlorination of polychlorinated dibenzo-p-dioxins and dibenzofurans. Environ. Pollut. 2014, 184, 222–230. [Google Scholar] [CrossRef] [PubMed]
- Alkorta, I.; Garbisu, C. Phytoremediation of organic contaminants in soils. Bioresour. Technol. 2001, 79, 273–276. [Google Scholar] [CrossRef]
- Reichenauer, T.G.; Germida, J.J. Phytoremediation of organic contaminants in soil and groundwater. ChemSusChem 2008, 1, 708–717. [Google Scholar] [CrossRef] [PubMed]
- Rezek, J.; in der Wiesche, C.; Macková, M.; Zadražil, F.; Macek, T. The effect of ryegrass (Lolium perenne) on decrease of PAH content in long term contaminated soil. Chemosphere 2008, 70, 1603–1608. [Google Scholar] [CrossRef] [PubMed]
- Macek, T.; Macková, M.; Káš, J. Exploitation of plants for the removal of organics in environmental remediation. Biotechnol. Adv. 2000, 18, 23–34. [Google Scholar] [CrossRef]
- Kurzawová, V.; Uhlík, O.; Macek, T.; Macková, M. Interactions of microbes and plants and their importance in phyto/rhizoremediation in PCB contaminated soil. Listy Cukrov. Reparske 2010, 126, 396–397. [Google Scholar]
- Wang, Y.; Oyaizu, H. Evaluation of the phytoremediation potential of four plant species for dibenzofuran-contaminated soil. J. Hazard. Mater. 2009, 168, 760–764. [Google Scholar] [CrossRef] [PubMed]
- Wang, Y.; Oyaizu, H. Enhanced remediation of dioxins-spiked soil by a plant-microbe system using a dibenzofuran-degrading Comamonas sp. and Trifolium repens L. Chemosphere 2011, 85, 1109–1114. [Google Scholar] [CrossRef] [PubMed]
- Futamata, H.; Uchida, T.; Yoshida, N.; Yonemitsu, Y.; Hiraishi, A. Distribution of dibenzofuran-degrading bacteria in soils polluted with different levels of polychlorinated dioxins. Microbes Environ. 2004, 19, 172–177. [Google Scholar] [CrossRef]
- Hanano, A.; Ammouneh, H.; Almousally, I.; Alorr, A.; Shaban, M.; Alnaser, A.A.; Ghanem, I. Traceability of polychlorinated dibenzo-dioxins/furans pollutants in soil and their ecotoxicological effects on genetics, functions and composition of bacterial community. Chemosphere 2014, 108, 326–333. [Google Scholar] [CrossRef] [PubMed]
- Chen, W.Y.; Wu, J.H.; Chang, J.E. Pyrosequencing analysis reveals high population dynamics of the soil microcosm degrading octachlorodibenzofuran. Microbes Environ. 2014, 29, 393–400. [Google Scholar] [CrossRef] [PubMed]
- Yoshida, N.; Takahashi, N.; Hiraishi, A. Phylogenetic characterization of a polychlorinated-dioxin-dechlorinating microbial community by use of microcosm studies. Appl. Environ. Microbiol. 2005, 71, 4325–4334. [Google Scholar] [CrossRef] [PubMed]
- Hiraishi, A.; Kaiya, S.; Miyakoda, H.; Futamata, H. Biotransformation of polychlorinated dioxins and microbial community dynamics in sediment microcosms at different contamination levels. Microbes Environ. 2005, 20, 227–242. [Google Scholar] [CrossRef]
- Kaiya, S.; Utsunomiya, S.; Suzuki, S.; Yoshida, N.; Futamata, H.; Yamada, T.; Hiraishi, A. Isolation and functional gene analyses of aromatic-hydrocarbon-degrading bacteria from a polychlorinated-dioxin-dechlorinating process. Microbes Environ. 2012, 27, 127–135. [Google Scholar] [CrossRef] [PubMed]
- Singer, A.C.; Crowley, D.E.; Thompson, I.P. Secondary plant metabolites in phytoremediation and biotransformation. Trends Biotechnol. 2003, 21, 123–130. [Google Scholar] [CrossRef]
- Chaudhry, Q.; Blom-Zandstra, M.; Gupta, S.; Joner, E.J. Utilising the synergy between plants and rhizosphere microorganisms to enhance breakdown of organic pollutants in the environment. Environ. Sci. Pollut. Res. Int. 2005, 12, 34–48. [Google Scholar] [CrossRef] [PubMed]
- Uhlík, O.; Musilová, L.; Rídl, J.; Hroudová, M.; Vlček, C.; Koubek, J.; Holečková, M.; Macková, M.; Macek, T. Plant secondary metabolite-induced shifts in bacterial community structure and degradative ability in contaminated soil. Appl. Microbiol. Biotechnol. 2013, 97, 9245–9256. [Google Scholar] [CrossRef] [PubMed]
- Donnelly, P.K.; Hegde, R.S.; Fletcher, J.S. Growth of PCB-degrading bacteria on compounds from photosynthetic plants. Chemosphere 1994, 28, 981–988. [Google Scholar] [CrossRef]
- Pham, T.T.; Pino Rodriguez, N.J.; Hijri, M.; Sylvestre, M. Optimizing polychlorinated biphenyl degradation by flavonoid-induced cells of the rhizobacterium Rhodococcus erythropolis U23A. PLoS ONE 2015, 10, e0126033. [Google Scholar] [CrossRef] [PubMed]
- Toussaint, J.-P.; Pham, T.; Barriault, D.; Sylvestre, M. Plant exudates promote PCB degradation by a rhodococcal rhizobacteria. Appl. Microbiol. Biotechnol. 2012, 95, 1589–1603. [Google Scholar] [CrossRef] [PubMed]
© 2016 by the authors; licensee MDPI, Basel, Switzerland. This article is an open access article distributed under the terms and conditions of the Creative Commons Attribution (CC-BY) license (http://creativecommons.org/licenses/by/4.0/).







