Forecasting and Analyzing the Disease Burden of Aged Population in China, Based on the 2010 Global Burden of Disease Study
Abstract
:1. Introduction
2. Methods
2.1. Data Collection and Exclusion Criteria
2.2. Model Selection and Statistical Analysis
3. Results
3.1. Comparing Predicted Data with Reported Data

3.2. Overall Forecasting and Analyzing the Disease Burden

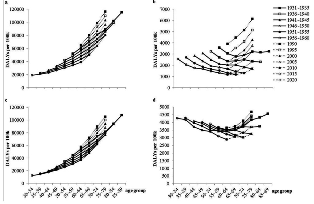
3.3. Separate fore Casting and Analyzing the Disease Burden
4. Discussion
4.1. Aging Society and Population Health
4.2. Aging Society and Health Economics
4.3. Aging Society and Health Policy
4.4. Strengths and Limitations
5. Conclusions
Supplementary Files
Supplementary File 1Acknowledgments
Author Contributions
Conflicts of Interest
Abbreviations
References
- Peng, X.-Z. China’s demographic history and future challenges. Science 2011, 333, 581–587. [Google Scholar] [CrossRef] [PubMed]
- Mai, Y.-H.; Peng, X.-J.; Chen, W. How fast is the population ageing in China? Asian Popul. Stud. 2013, 9, 216–239. [Google Scholar] [CrossRef]
- Koch, S. Healthy ageing supported by technology––A cross––Disciplinary research challenge. Inform. Health Soc. Care 2010, 35, 81–91. [Google Scholar] [CrossRef] [PubMed]
- O’Brien, T. The impact of an aging population on palliative care. J. Pain Palliat. Care Pharmacother. 2013, 27, 389–391. [Google Scholar] [CrossRef] [PubMed]
- Chen, Z.; Yu, J.; Song, Y.-T.; Chui, D.-H. Aging Beijing: Challenges and strategies of health care for the elderly. Ageing Res. Rev. 2010, 9, S2–S5. [Google Scholar] [CrossRef] [PubMed]
- World Health Organization (WHO). The Global Burden of Disease: 2004 Update. Available online: http://www.who.int/healthinfo/global_burden_disease/GBD_report_2004update_full.pdf (accessed on 1 August 2014).
- World Bank. World Development Report 1993: Investing in Health; Oxford University Press for the World Bank: New York, NY, USA, 1993. [Google Scholar]
- Murray, C.J.L.; Lopez, A.D. Evidence––Based health policy––Lessons from the global burden of disease study. Science 1996, 274, 740–743. [Google Scholar] [CrossRef] [PubMed]
- The Global Burden of Disease: A Comprehensive Assessment of Mortality and Disability from Diseases, Injuries and Risk Factors in 1990 and Projected to 2020; Murray, C.J.L.; Lopez, A.D. (Eds.) Harvard School of Public Health on behalf of the World Health Organization and the World Bank: Cambridge, UK, 1996.
- Murray, C.J.L. Rethinking DALYs. In The Global Burden of Disease; Murray, C.J.L., Lopez, A.D., Eds.; Harvard School of Public Health on behalf of the World Health Organization and the World Bank: Cambridge, UK, 1996. [Google Scholar]
- McDonald, S.A.; van Lier, A.; Plass, D.; Kretzschmar, M.E.E. The impact of demographic change on the estimated future burden of infectious diseases: Examples from hepatitis B and seasonal influenza in the Netherlands. BMC Public Health 2012, 12. [Google Scholar] [CrossRef] [PubMed]
- Terschuren, C.; Mekel, O.C.L.; Samson, R.; Classen, T.K.D.; Hornberg, C.; Fehr, R. Health status of “Ruhr-City” in 2025––Predicted disease burden for the metropolitan Ruhr area in North Rhine-Westphalia. Eur. J. Public Health 2009, 19, 534–540. [Google Scholar] [CrossRef] [PubMed]
- Institute for Health Metrics and Evaluation (IHME). The Global Burden of Disease: Generating Evidence, Guiding Policy; IHME: Seattle, WA, USA, 2013.
- Yang, G.H.; Wang, Y.; Zeng, Y.X.; Gao, G.F.; Liang, X.F.; Zhou, M.G.; Wan, X.; Yu, S.C.; Jiang, Y.H.; Naghavi, M.; et al. Rapid health transition in China, 1990–2010: Findings from the global burden of disease study 2010. Lancet 2013, 381, 1987–2015. [Google Scholar] [CrossRef] [PubMed]
- Institute for Health Metrics and Evaluation (IHME). GBD Heatmap. Available online: http://vizhub.healthdata.org/irank/heat.php (accessed on 1 August 2014).
- Institute for Health Metrics and Evaluation (IHME). GBD Database. Available online: http://www.healthdata.org/gbd/data (accessed on 1 August 2014).
- Murray, C.J.L.; Ezzati, M.; Flaxman, A.D.; Lim, S.; Lozano, R.; Michaud, C.; Naghavi, M.; Salomon, J.A.; Shibuya, K.; Vos, T.; et al. GBD 2010: Design, definitions, and metrics. Lancet 2012, 380, 2063–2066. [Google Scholar] [CrossRef]
- Lin, Y.; Liu, S.-F. A historical introduction to grey systems theory. In Proceedings of the 2004 IEEE International Conference on Systems, Man, and Cybernetics, Hague, The Netherlands, 10–13 October 2004; Volume 3, pp. 2403–2408.
- Deng, J.-L. Control problems of grey system. Syst. Control. Lett. 1982, 1, 288–294. [Google Scholar]
- Deng, J.-L. Introduction to grey system theory. J. Grey Syst. 1989, 1, 1–24. [Google Scholar]
- Huang, L.; Gao, X.; Liu, M.; Du, G.; Guo, J.-S. SO2 in atmosphere predicted with improved error GM (1, 1) model-based on optimization of initial condition in Chongqing, China. Asian J. Chem. 2013, 25, 2031–2034. [Google Scholar]
- Pai, T.-Y.; Ho, C.-L.; Chen, S.-W.; Lo, H.-M.; Sung, P.-J.; Lin, S.-W.; Lai, W.-J.; Tseng, S.-C.; Ciou, S.-P.; Kuo, J.-L.; et al. Using seven types of GM (1, 1) model to forecast hourly particulate matter concentration in Banciao city of Taiwan. Water Air Soil Pollut. 2011, 217, 25–33. [Google Scholar] [CrossRef]
- Mao, S.-H.; Chen, Y.; Xiao, X.-P. City traffic flow prediction based on improved GM (1, 1) model. J. Grey Syst. 2012, 24, 337–346. [Google Scholar]
- Zhou, W.; He, J.-M. Generalized GM (1, 1) model and its application in forecasting of fuel production. Appl. Math. Model. 2013, 37, 6234–6243. [Google Scholar] [CrossRef]
- Chen, Y.-M.; Zhu, M.-L. Population forecasting of Zhan-Li Dong-Ethnic village based on GM (1, 1) model. J. Grey Syst. 2011, 23, 155–160. [Google Scholar]
- Wu, W.; Guan, P.; Guo, J.-Q.; Zhou, B.-S. Comparison of GM (1, 1) gray model and ARIMA model in forecasting the incidence of hemorrhagic fever with renal syndrome. J. China Med. Univ. 2008, 37, 52–55. [Google Scholar]
- Deng, J.-L. Basic Methods of Grey System; Chinese Central Industrial Institute Press: Beijing, China, 1987. [Google Scholar]
- Deng, J.-L. Grey Theoretical Basis; Huazhong University of Science and Technology Press: Wuhan, China, 2002. [Google Scholar]
- Deng, J.-L. Grey Prediction and Grey Decision-making; Huazhong University of Science and Technology Press: Wuhan, China, 2002. [Google Scholar]
- Kong, C.; Liu, Y.-F.; Shen, X.-L. Improvement on SAS programs for the grey forecasting model. Chinese J. Health Stat. 2008, 25, 640–641. [Google Scholar]
- Wang, Y.-X.; Du, Q.-Y.; Ren, F.; Liang, S.; Lin, D.-N.; Tian, Q.; Chen, Y.; Li, J.-J. Spatio-temporal variation and prediction of Ischemic Heart Disease hospitalizations in Shenzhen, China. Int. J. Environ. Res. Public Health 2014, 11, 4799–4824. [Google Scholar] [CrossRef] [PubMed]
- Chao, J.-Q.; Li, Y.-Y.; Xu, H.; Yu, Q.; Wang, Y.-M.; Liu, P. Health status and associated factors among the community-dwelling elderly in China. Arch. Gerontol. Geriatr. 2013, 56, 199–204. [Google Scholar] [CrossRef] [PubMed]
- Wu, Y.-S.; Dang, J.-W. China Report of the Development on Aging Cause; Social Sciences Academic Press: Beijing, China, 2013. [Google Scholar]
- Samuel, M.-J. American geriatrics society identifies five things that healthcare providers and patients should question. J. Am. Geriatr. Soc. 2013, 61, 622–631. [Google Scholar]
- Leng, S.-X.; Tian, X.-P.; Liu, X.-H.; Lazarus, G.; Bellantoni, M.; Greenough, W.; Fried, L.-P.; Shen, T.; Durso, S.C. An international model for geriatrics program development in China: The Johns Hopkins-Peking Union Medical College experience. J. Am. Geriatr. Soc. 2010, 58, 1376–1381. [Google Scholar] [CrossRef] [PubMed]
- Arai, H.; Ouchi, Y.; Yokode, M.; Ito, H.; Uematsu, H.; Eto, F.; Oshima, S.; Ota, K.; Saito, Y.; Sasaki, H.; et al. Toward the realization of a better aged society: Messages from gerontology and geriatrics. Geriatr. Gerontol. Int. 2012, 12, 16–22. [Google Scholar] [CrossRef] [PubMed]
- Coberley, C.; Rula, E.Y.; Pope, J.E. Effectiveness of health and wellness initiatives for seniors. Popul. Health Manag. 2011, 14, S45–S50. [Google Scholar] [CrossRef] [PubMed]
- Liu, S.; Griffiths, S.M. From economic development to public health improvement: China faces equity challenges. Public Health 2011, 125, 669–674. [Google Scholar] [CrossRef] [PubMed]
- Bodenheimer, T.; Pham, H.H. Primary care: Current problems and proposed solutions. Health Aff. 2010, 29, 799–805. [Google Scholar] [CrossRef] [PubMed]
- Tian, M.-M.; Feng, D.; Chen, X.; Chen, Y.-C.; Sun, X.; Xiang, Y.-X.; Yuan, F.; Feng, Z.-C. China’s rural public health system performance: A cross-sectional study. PLoS ONE 2013, 2013. [Google Scholar] [CrossRef] [PubMed]
- Niu, T.-H.; Meng, Q.-Y.; Meng, X.-Z.; Li, X.-M.; Zhai, Q.; Li, X.-Y. The analysis on the satisfactory degree of community health service and its influencing factors among the rural elders. Chin. J. Health Stat. 2010, 27, 505–506. [Google Scholar]
- Drake, T. Priority setting in global health: Towards a minimum DALY value. Health Econ. 2014, 23, 248–252. [Google Scholar] [CrossRef] [PubMed]
- Hou, J.W.; Li, K.W. The aging of the Chinese population and the cost of health care. Soc. Sci. J. 2011, 48, 514–526. [Google Scholar] [CrossRef]
- Huang, C.; Yu, H.; Koplan, J.P. Can China diminish its burden of non-communicable diseases and injuries by promoting health in its policies, practices, and incentives? Lancet 2014, 384, 783–792. [Google Scholar] [CrossRef]
- Bloom, D.E.; Chatterji, S.; Kowal, P.; Lloyd-Sherlock, P.; Mckee, M.; Rechel, B.; Rosenberg, L.; Smith, J.P. Macroeconomic implications of population ageing and selected policy responses. Lancet 2015, 385, 649–657. [Google Scholar] [CrossRef]
- Fu, J.-H.; Tong, J.; Wang, Q.; Wang, Z.-Y. A data prediction method under small sample condition by combining neural network and grey system methods. Proc. SPIE 2011, 7997. [Google Scholar] [CrossRef]
- Wang, H.-H.; Huang, S.-M.; Zhang, L.-X.; Rozelle, S.; Yan, Y.-Y. A comparison of rural and urban healthcare consumption and health insurance. China Agric. Econ. Rev. 2010, 2, 212–227. [Google Scholar] [CrossRef]
- Yu, P.-L.; Song, X.-W.; Shi, J. Frailty and survival of older Chinese adults in urban and rural areas: Results from the Beijing longitudinal study of aging. Arch. Gerontol. Geriatr. 2012, 54, 3–8. [Google Scholar] [CrossRef] [PubMed]
© 2015 by the authors; licensee MDPI, Basel, Switzerland. This article is an open access article distributed under the terms and conditions of the Creative Commons Attribution license (http://creativecommons.org/licenses/by/4.0/).
Share and Cite
Bao, C.; Mayila, M.; Ye, Z.; Wang, J.; Jin, M.; He, W.; Chen, K. Forecasting and Analyzing the Disease Burden of Aged Population in China, Based on the 2010 Global Burden of Disease Study. Int. J. Environ. Res. Public Health 2015, 12, 7172-7184. https://doi.org/10.3390/ijerph120707172
Bao C, Mayila M, Ye Z, Wang J, Jin M, He W, Chen K. Forecasting and Analyzing the Disease Burden of Aged Population in China, Based on the 2010 Global Burden of Disease Study. International Journal of Environmental Research and Public Health. 2015; 12(7):7172-7184. https://doi.org/10.3390/ijerph120707172
Chicago/Turabian StyleBao, Chengzhen, Mamat Mayila, Zhenhua Ye, Jianbing Wang, Mingjuan Jin, Wenjiong He, and Kun Chen. 2015. "Forecasting and Analyzing the Disease Burden of Aged Population in China, Based on the 2010 Global Burden of Disease Study" International Journal of Environmental Research and Public Health 12, no. 7: 7172-7184. https://doi.org/10.3390/ijerph120707172
APA StyleBao, C., Mayila, M., Ye, Z., Wang, J., Jin, M., He, W., & Chen, K. (2015). Forecasting and Analyzing the Disease Burden of Aged Population in China, Based on the 2010 Global Burden of Disease Study. International Journal of Environmental Research and Public Health, 12(7), 7172-7184. https://doi.org/10.3390/ijerph120707172
