Abstract
Class 1 integrons are mobile gene elements (MGEs) containing qacEΔ1 that are resistant to quaternary ammonium compound (QAC) disinfectants. This study compared the abundances of class 1 integrons and antiseptic resistance genes in municipal (M) and swine slaughterhouse (S) wastewater treatment plants (WWTPs) and investigated the presence of class 1 integrons and antiseptic resistance genes in methicillin-resistant Staphylococcus aureus (MRSA) isolated from wastewater samples. The abundances of intI1 and qacEΔ1 genes in 96 wastewater samples were quantified using real-time quantitative polymerase chain reaction (real-time qPCR), and 113 MRSA isolates recovered from the wastewater samples were detected class 1 integrons and linked antiseptic resistance genes (qacEΔ1), and minimum inhibitory concentrations (MICs) for QAC antiseptics. The intI1 and qacEΔ1 genes were detected in all the wastewater samples, and they were more abundant in S-WWTP samples than in M-WWTP samples. A higher percentage of MRSA isolates carried qacEΔ1 in MRSA from swine wastewater samples (62.8%) than in municipal MRSA (3.7%). All the MRSA isolates showed high MICs for antiseptic agents. This study provides important evidence regarding the abundances of intI1 and qacEΔ1 genes in municipal and swine slaughterhouse wastewater, and antiseptic-resistant MRSA strains were detected in swine slaughterhouse wastewater.
1. Introduction
Antibiotic-resistant bacteria (ARB) have been found in aquatic environments, including surface water and groundwater [1,2]. Wastewater has been reported to be a significant hotspot for the development and dissemination of ARB and antibiotic-resistant genes (ARGs) through horizontal gene transfer [3]. Methicillin-resistant Staphylococcus aureus (MRSA) is one of the ARB reported in human and animal hospitals, and it is the cause of many serious infections such as osteomyelitis, endocarditis, meningitis, pneumonia, and bacteraemia [4,5]. Several studies have documented the presence of MRSA in various environmental water bodies including wastewater [3,6,7]; therefore, MRSA is considered to be an emerging contaminant in water environments [3].
Integrons are mobile DNA elements that are frequently associated with antibiotic resistance [8]. Integrons consist of two conserved segments (CSs) usually separated by a variable region that includes mobile cassettes with antibiotic resistance genes [8]. In class 1 integrons, the 5’-CS harbors the class 1 integrase gene (intI1) and an attachment site (attI) that can capture and express resistant genes [8,9]. The 3’-CS contains qacEΔ1 and sul1, which encode resistance to disinfectants of quaternary ammonium compounds (QACs) and sulfonamides, respectively [8,9]. In contrast to major public concern caused by antibiotic resistance in staphylococci, resistance to antiseptics has received attention [10]. The antiseptic resistance is attributable to carriage of plasmids harboring genes that increase tolerance to many agents including QACs [10], which are often used as major ingredients in environmental disinfectants.
The occurrence of class 1 integrons in nosocomial MRSA strains was first documented in 2007 [11]. The presence of class 1 integrons in livestock environments has likewise been previously reported [12]. For example, class 1 integrons are abundant in various water environments, including wastewater [13,14], and may be a major environmental contaminant and cause public health problems [15]. Resistance to QACs was developed in Gram-negative bacteria, such as in Enterobacteriaceae (e.g., Citrobacter freundii and Enterobacter cloacae) and Pseudomonas aeruginosa [16]. There are reports on Staphylococcus aureus harboring QAC-resistant genes, from human (e.g., qacA/B) and animals (e.g., qacG, qacH, and qacJ), which demonstrate decreased susceptibility to disinfectants such as benzalkonium chloride (BKC) [17,18,19,20]. However, the knowledge on the coexistence and the abundance of class 1 integrons and linked qacEΔ1 genes in the wastewater environment is poor, and little is known regarding the occurrence of class 1 integrons and qacEΔ1 genes in MRSA in wastewater.
This study aimed (1) to quantify and to compare the abundances of class 1 integrons and the qacEΔ1 genes in wastewater; and (2) to investigate the presence of class 1 integrons and qacEΔ1 genes in MRSA strains isolated from different wastewater sources. Wastewater samples from one municipal wastewater treatment plant (M-WWTP) and one swine slaughterhouse wastewater treatment plant (S-WWTP) were analyzed by real-time quantitative polymerase chain reaction (real-time qPCR). The results provide quantifications and distributions of class 1 integrons and qacEΔ1 genes in the spread of different wastewater sources and wastewater-associated MRSA.
2. Materials and Methods
2.1. Wastewater Treatment and Sampling
The municipal WWTP (M-WWTP) from which samples were taken for this study is one of the largest secondary treatment plants in Taiwan, receiving Taipei municipal wastewater with an average daily flow of 500,000 m3. The system is designed for primary treatment (i.e., the physical removal of solids), secondary treatment (i.e., biological processing), final clarification, and the chlorination treatment of outgoing water. Wastewater samples taken at sampling site M-A were the incoming influent wastewater at the M-WWTP; samples taken at sampling site M-B and M-C were wastewater before and after solid removal during primary treatment, the hydraulic retention time (HRT) between both is 1.1 h; samples taken at sampling site M–D were after secondary treatment for activated sludge process, the HRT is 4.8 h; samples M–E were taken from final clarification site, the HRT is 3.8 h, and samples M-F were the effluent water taken after chlorination treatment with HRT of 25.5 min. The S-WWTP from which samples were taken for this study is the treatment plant for the second largest swine auction market with pigs ready for slaughter in Taiwan, receiving wastewater with an average daily flow of 800 m3. The system is designed for primary treatment (solid/liquid separation), secondary treatment (activated sludge processing), final clarification, and the treatment of outgoing water (Figure 1). The incoming wastewater at the S-WWTP includes wastewater from the slaughterhouse of swine origin only. The processes completed at the S-WWTP include primary treatment (solid/liquid separation, sampling site S–A, HRT 1 h), activated sludge process I-III (sampling site S–B to S–D, HRT 6 h), final clarification (sampling site S–E, HRT 1 h), and the treatment of outgoing water (sampling site S–F). A total of 96 wastewater samples (24 from the M-WWTP and 72 from the S-WWTP) were collected between 2010 and 2011. Each sample consisted of 250 mL of wastewater placed in a sterile 500 mL Whirl-Pak bag and stored at 4 °C during transportation, which lasted less than 3 h [20].
2.2. Concentration and Total DNA Extraction
Wastewater concentration and total DNA extraction were performed according to the process described in our previous protocol [21]. Briefly, aliquots of 100 mL of wastewater were centrifuged (8000 g for 30 min) and the pellets were immediately extracted using the QIAamp® DNA Stool Mini kit (Qiagen GmbH, Hilden, Germany) according to the manufacturer’s protocol. The extracted DNA was then stored at −80 °C prior to use.
Figure 1.
(a) Schematic drawing of the process at the municipal wastewater treatment plant, M-WWTP, and (b) the swine slaughterhouse wastewater treatment plant, S-WWTP [21].
Figure 1.
(a) Schematic drawing of the process at the municipal wastewater treatment plant, M-WWTP, and (b) the swine slaughterhouse wastewater treatment plant, S-WWTP [21].

2.3. Real-Time qPCR Standards
The real-time qPCR standard plasmids of intI1 and qacEΔ1 were constructed as described in our previous study [21]. Briefly, the target fragments of the intI1 (473-bp) and qacEΔ1 (225-bp) were first amplified by conventional PCR according to the designed primers of Hardwick et al. [13] and Sandvang et al. [22], respectively. Thereafter, PCR products were purified and cloned into a pGEM-T Easy vector system (Promega, Madison, WI, USA). Colonies containing the vector were grown in LB broth for 12–16 h at 37 °C, and recombinant plasmid DNA was extracted using quick plasmid preparation (Mini Plus™ Plasmid DNA Extraction System, Viogene, New Taipei City, Taiwan). After standard plasmid DNA extraction and purification, the plasmid was linearized using XmnI restriction enzyme (Promega) and complete digestion was confirmed based on the banding pattern observed after agarose gel electrophoresis. All the linearized plasmid was then purified using the QIAquick PCR purification kit (Qiagen GmbH). The number of copies of the targeted gene was calculated using the formula reported by Colomer-Lluch, et al. [23]. Ten-fold serial dilution of the standard plasmid, ranging from 103 to 1011 copies μL−1, was performed to prepare the standard curves for the real-time qPCR of the intI1 and qacEΔ1. All standard plasmids were stored at −80 °C prior to use.
2.4. Real-Time qPCR
Real-time qPCR assay was performed using the florescent quantitative Line gene 9600 system (Hangzhou Bioer Technology, Zehjiang, China) with a total of 20 μL of Smart Quant Green Master Mix with dUTP Low ROX mixture (Protech Technology, Taipei, Taiwan) as described previously [14]. All reactions were conducted in triplicate. The criteria of acceptability for each real-time qPCR assay were described in our previous study [20] and were defined as a correlation coefficient value (R2) > 0.98 and an efficiency percentage between 90% and 110% (slope: −3.6 and −3.10). The reproducibility of real-time qPCR was evaluated by the coefficient of variation (CV%) in three threshold cycle (Ct) values. A CV < 10% was acceptable. Gene quantities of intI1 and qacEΔ1 were normalized gene copies µg−1 of total DNA.
2.5. MRSA Isolation, Identification, Class 1 Integrons and QAC Genes Detection
MRSA isolation from slaughterhouse wastewater was performed as described in our previous study [21]. In brief, 100 mL of wastewater was centrifuged at 8000 g for 30 min. The resulting pellet was then resuspended in 1 mL of the original wastewater. This 1-mL suspension was then placed into 3 mL tryptic soy broth (TSB) medium with 6.5% NaCl (Difco, Sparks, MD, USA) for enrichment at 37 °C for 24 h. A loopful of the TSB was then streaked onto selective CHROMagar™ MRSA (CHROMagar™ Microbiology, Paris, France) and incubated at 37 °C for 24 h. The suspected MRSA colonies (mauve or pink color) were inoculated into 5 mL brain heart infusion broth (Difco) for 16 h at 37 °C and then streaked onto Baird-Parker agar (Difco) with 5% egg yolk tellurite-supplements for 48 h at 37 °C. The colonies were tested by 6 μg mL−1 of oxacillin Mueller–Hinton agar (Difco) with 4% NaCl and 4 μg mL−1 of cefoxitin (broth micro-dilution) for MRSA phenotypic screening. The MRSA colonies were confirmed using PCR to identify the nuc and mecA genes as described previously [24,25]. Plasmid DNA from MRSA isolates was extracted using Mini Plus™ Plasmid DNA Extraction System (Viogene, New Taipei City, Taiwan). The MRSA isolates were stored at −80 °C prior to use. The detection of qacEΔ1 (225-bp) and intI1 (473-bp) genes followed the protocols described by Sandvang, et al., and [22], Hardwick et al. [13]. The details of the primer pairs used to amplify each gene in this study are shown in Table 1.
Table 1.
Primers used in this study.
| Target Genes | Primers | Sequence (5’–3’) | Amplicons (bp) | Annealing Temperature (°C) |
|---|---|---|---|---|
| intI1 | HS463a HS464 | CTGGATTTCGATCACGGCACG ACATGCGTGTAAATCATCGTCG | 473 | 60 |
| qacEΔ1 | qacEΔ1F qacEΔ1B | ATCGCAATAGTTGGCGAAGT CAAGCTTTTGCCCATGAAGC | 225 | 60 |
| nuc | nuc-1 nuc-2 | GCGATTGATGGTGATACGGTI AGCCAAGCCTTGACGAACTAAAGC | 280 | 55 |
| mecA | Forward Reverse | CTCAGGTACTGCTATCCACC CACTTGGTATATCTTCACC | 448 | 42 |
2.6. Minimum Inhibitory Concentration of Antiseptics
The minimal inhibitory concentrations (MICs) of the antiseptics (benzethonium chloride and benzalkonium chloride) of the MRSA isolates were determined using broth micro-dilution according to the CLSI M31-A3 guidelines [26].
2.7. Statistical Analysis
STATISTICA 8.0 (StatSoft Inc., Tulsa, OK, USA) was used for the statistical analyses. The correlations between the class 1 integrons and qacEΔ1 were computed using the Spearman test. The significance of the correlations was computed using Kendall’s tau correlation analysis. The abundance of intI1 and qacEΔ1 in the influent and effluent from M-WWTP and S-WWTP wastewater was compared using the Mann-Whitney U test. A P value <0.05 was considered statistically significant.
3. Results
3.1. The Abundances of Inti1 and QacEΔ1 in Wastewater
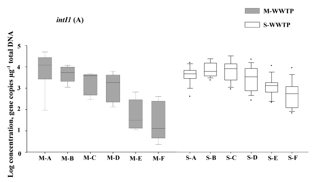
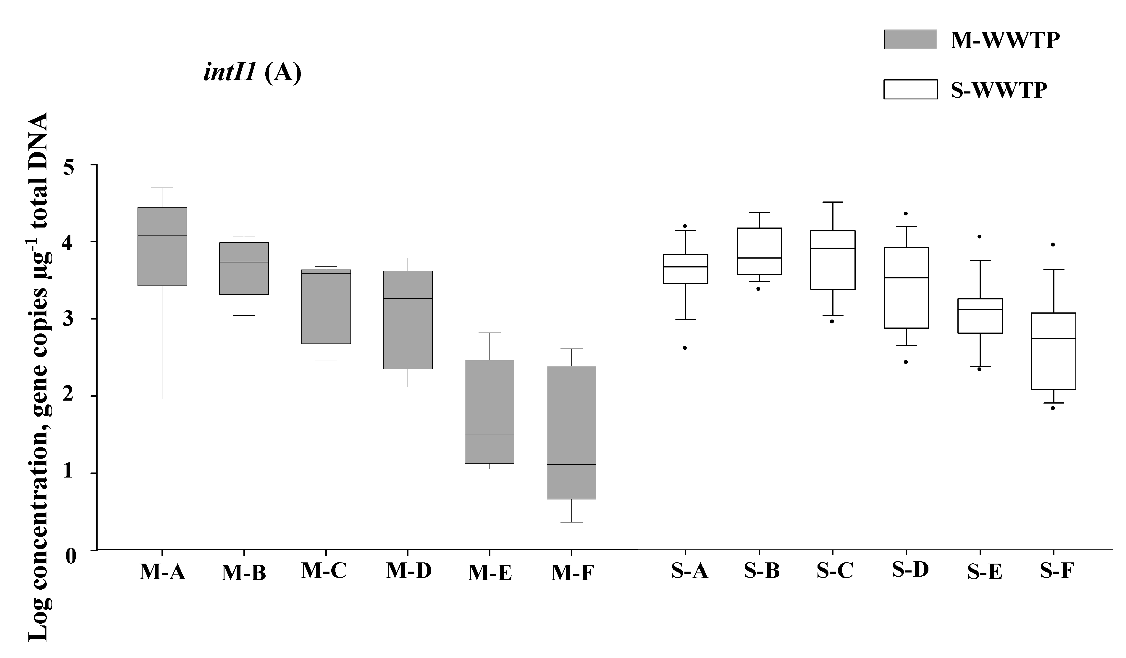
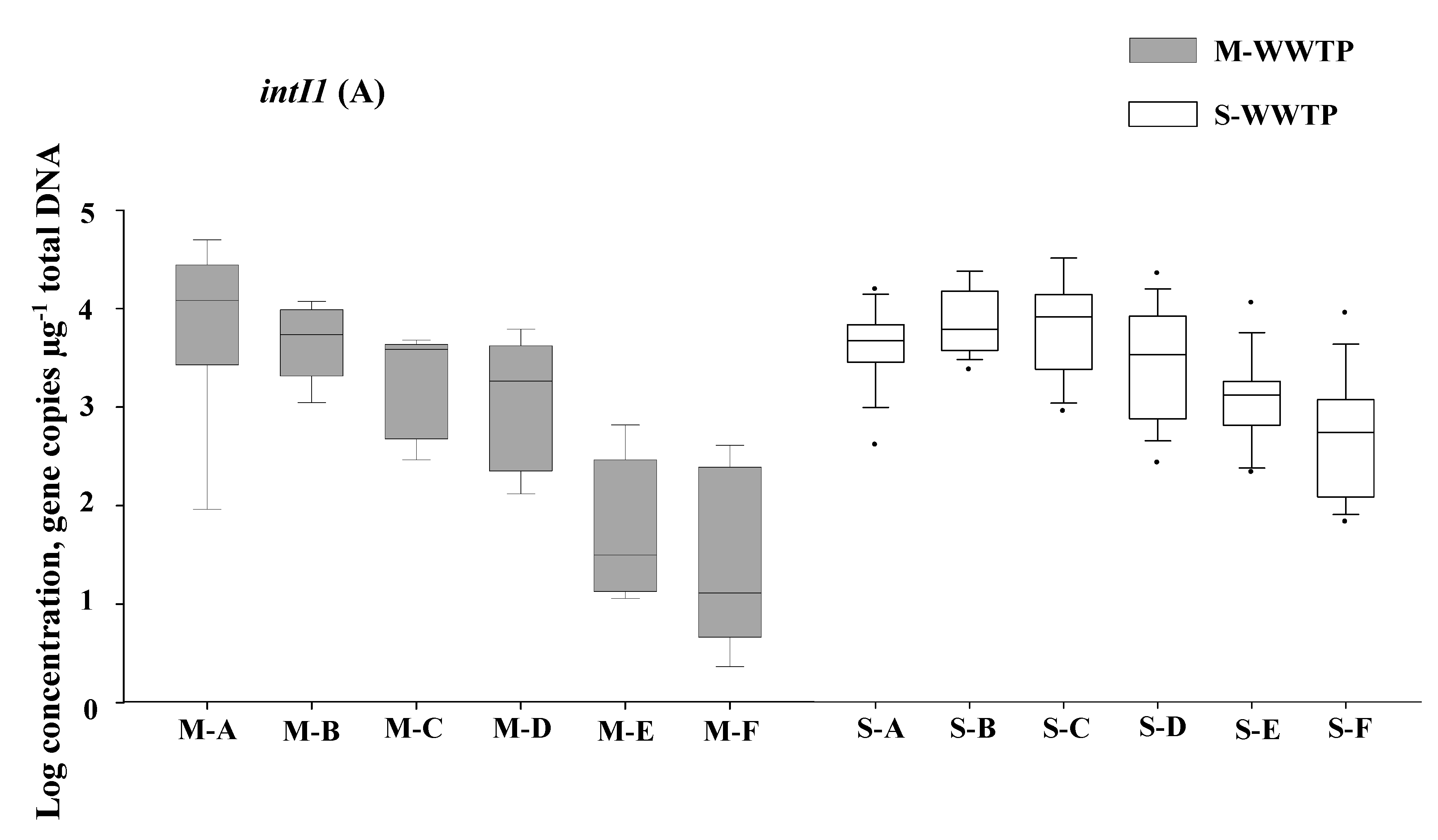
All 96 of the wastewater samples taken tested positive for intI1 and qacEΔ1. The levels of intI1 (1.8–5.4 log10; 7 × 101 to 2.5 × 105 gene copies μg−1 of total DNA) and qacEΔ1 (1.5–5.4 log10; 3.2 × 101 to 2.5 × 105 gene copies μg−1 of total DNA) in S-WWTP wastewater were higher than those (intI1: 0.3 to 4.7 log10; 2.2 to 5.5 × 104 gene copies μg−1 of total DNA, and qacEΔ1: 0.26 to 4.1 log10; 1.8 to 1.4 × 104 gene copies μg−1 of total DNA) in the M-WWTP samples (Figure 2).

Figure 2.
Abundance of intI1 (A) and qacEΔ1 (B) determined with the SYBR Green real-time qPCR. M-WWTP: municipal wastewater treatment plant. S-WWTP: swine slaughterhouse wastewater treatment plant. The following sampling sites are shown: M–A: influent, M–B: inlet of the primary clarification tank, M-C: outlet of the primary clarification tank, M–D: deep shaft system, M–E: secondary clarification tank, M–F: effluent; S–A: influent, S–B to S–D: activated sludge reactor I-III, S–E: final clarification tank, S–F: effluent. Within the box and whiskers plot, the bottom and top of the box plot represent 25th, median (black bar) and 75th percentiles. The whiskers indicate the 5th and 95th percentiles. Black dots represent outlier (s).
Figure 2.
Abundance of intI1 (A) and qacEΔ1 (B) determined with the SYBR Green real-time qPCR. M-WWTP: municipal wastewater treatment plant. S-WWTP: swine slaughterhouse wastewater treatment plant. The following sampling sites are shown: M–A: influent, M–B: inlet of the primary clarification tank, M-C: outlet of the primary clarification tank, M–D: deep shaft system, M–E: secondary clarification tank, M–F: effluent; S–A: influent, S–B to S–D: activated sludge reactor I-III, S–E: final clarification tank, S–F: effluent. Within the box and whiskers plot, the bottom and top of the box plot represent 25th, median (black bar) and 75th percentiles. The whiskers indicate the 5th and 95th percentiles. Black dots represent outlier (s).


Following the wastewater treatment processes, changes of the intI1 and qacEΔ1 levels in the M-WWTP samples (4.1 to 1.1 log10 median units and 3.5 to 0.5 log10 median units, respectively; p < 0.05) were higher than those (4.1 to 3.0 log10 median units and 4.1 to 2.8 log10 median units, respectively; p < 0.05) in the S-WWTP samples. The most significant reductions of the intI1 and qacEΔ1 levels were observed after the clarification process for both treatment systems (p < 0.05). Thus, the levels of qacEΔ1 and intI1 were also higher in the effluent of the S-WWTP than they were in the effluent of the M-WWTP (p < 0.05). A positive correlation was observed between the number of gene copies of intI1 and qacEΔ1 in both the M-WWTP and S-WWTP samples (R = 0.87, p < 0.05; data not shown).
3.2. Detection of IntI1 and QacEΔ1 in MRSA Isolates and MICs Testing for QacEΔ1-Positive MRSA
Gene intI1 was not detected either in the genomic DNA or in the plasmid DNA of 113 MRSA (86 isolates from S-WWTP and 27 isolates from M-WWTP). Overall, fifty-five MRSA isolates (48.7%, 55/113) harbored qacEΔ1 genes. Fifty-four MRSA isolates from the S-WWTP (62.8%, 54/86) were identified carrying qacEΔ1 genes. In contrast, only 1 isolate from M-WWTP (3.7%, 1/27) was carried the qacEΔ1 genes. Isolates harboring qacEΔ1 had observed MIC ranges of benzethonium chloride and benzalkonium chloride of 1–8 μg mL−1 and 2–256 μg mL−1, with MIC50 and MIC90 values of 4 and 8 μg mL−1 and 4 and 16 μg mL−1, respectively.
4. Discussion
In the present study, we discovered different abundances of class 1 integrons and linked antiseptic- resistance genes in wastewater samples from a municipal origin and a swine slaughterhouse, respectively. Firstly, class 1 integrons (intI1) and QAC-resistant (qacEΔ1) genes were found at stable levels in sample from both types of WWTPs. Secondly, even after treatment, different levels of class 1 integrons and QAC-resistant genes were discharged into the effluent of municipal and swine slaughterhouse wastewaters. Lastly, MRSA isolates from the wastewater of the S-WWTP had high level of antiseptic-resistance genes and also high antiseptic MIC values.
The results of the detection of intI1 over time in the M-WWTP samples are in agreement with previous studies that integrons carrying various ARGs are common in water environments, such as waters from municipal sewage treatment plants [14,27,28]. The intI1 and qacEΔ1 genes were also detected in 100% of the S-WWTP samples. One possible explanation for the high detection of intI1 and qacEΔ1 in S-WWTP isolates is the high prevalence of Gram-negative bacteria, such as Salmonella and Escherichia coli, carrying class 1 integron genes in swine in Taiwan [29]. The quantification of intI1 in both of M-WWTP and S-WWTP appears to be more abundant than qacEΔ1. This may due to class 1 integrons can have different structures that include types with no 3’-CS [30]. Our results showed a positive correlation between the intI1 and qacEΔ1 genes. The findings are consistent with Gaze, et al. [31] report that class 1 integrons have the same increasing frequencies with the increasing frequencies of QAC resistances. These indicate an important relationship between qac genes and class 1 integrons [32].
The effluents of M-WWTP and S-WWTP contained more than 5 log10 gene copies μg1 of total DNA of intI1 and qacEΔ1 after treatment, and the quantities of the selected genes in the effluent of the S-WWTP were higher than those in the effluent of the M-WWTP by one order of magnitude. These results suggested that the continuous discharge of municipal wastewater and swine slaughterhouse wastewater may release intI1 and qacEΔ1 into natural water environments, implying that M-WWTP and S-WWTP wastewaters may cause the spread of harmful genetic determinants into natural environments and act as hotspots for the transformation of normal bacterial flora in environmental water to ARB through horizontal gene transfer.
By comparing the effluent to the influent of both types of wastewater, the treatment processes were found to significantly influence the abundances of intI1 and qacEΔ1. The qacEΔ1 and intI1 levels in the effluent of the M-WWTP samples were decreased by a greater amount than they were in the effluent of the S-WWTP samples. These differences may be due to the relatively advanced treatment systems used at the M-WWTP compared to those used at the S-WWTP, such that the secondary clarification processes of the M-WWTP had higher removal rates for resistant genes [14]. However, most of the selected genes were still present even after treatment in the effluent of both types of samples. This implies that standard biological treatment processes are not good enough to remove those resistant genes in wastewater, and better advanced treatment processes are recommended.
More than 60% of Taiwan livestock associated-MRSA ST9 (Taiwan LA-MRSA ST9) isolates from swine slaughterhouse wastewater in the present study harbored qacEΔ1 which is higher than the percentage (43.8%) previously found for human MRSA isolates with qacA/B in Taiwan [33]. Wong et al. reported that 45% of MRSA ST9 strains isolated from pig carcasses in Hong Kong harbored the qacA/B antiseptic-resistance gene [10]. These differences may be due to geographical specificity, and different origins of MRSA such as animals and humans may have unique prevalence patterns for antiseptic resistance gene carried. The MIC values of Taiwan LA-MRSA harboring qacEΔ1 for benzethonium chloride and benzalkonium chloride were higher than those reported in other studies (i.e., means of 4–5 μg mL−1 in porcine MRSA ST9 in Hong Kong and 0.5–16 μg mL−1 in human MRSA patient isolates in Taiwan) [10,16]. The high level of antiseptic-resistance may also be due to the selective pressure imposed by the use of various disinfectants [34]. Because quaternary ammonium disinfectants, such as benzethonium chloride and benzalkonium chloride, are commonly used in livestock practices in Taiwan, these substances may lead to the increased frequency of antiseptic-resistance genes in LA-MRSA isolates. The findings suggested that high MIC of LA-MRSA isolates to antiseptics may contribute to high level of resistance to disinfectants in the LA-MRSA clone found in the swine population, and that this resistance may be transferred to the community setting via meat and related products. The potential public health threat of LA-MRSA ST9 carrying qacEΔ1 should not be ignored. As a result of the high frequencies of intI1 and qacEΔ1 in swine slaughterhouse wastewater, our results implied that the class 1 integrons in wastewater may pose a possible critical platform for spreading of qacEΔ1 and that wastewater might play an important role in the transfer of qacEΔ1 to LA-MRSA. Interestingly, although the intI1 and qacEΔ1 genes have been commonly detected in municipal wastewater, only one municipal MRSA isolate (3.7%) in the present study harbored the qacEΔ1 genes. Additional studies are needed to determine whether LA-MRSA tends to harbor the qacEΔ1 genes more frequently than does human MRSA.
5. Conclusions
This is the first study, to our knowledge, to examine the comparative abundances of intI1 and qacEΔ1 genes in municipal and swine slaughterhouse wastewater. The results suggest that these two sources of wastewater may become potential hotspots for the development and dissemination of class 1 integrons and antiseptic-resistance genes. Antiseptic-resistant LA-MRSA strains were detected in swine slaughterhouse wastewaters, indicating that such wastewaters may be one of the potential sources of MRSA infection in humans and animals.
Acknowledgments
This project was supported by the National Science Council of Taiwan with grant number of NSC 102-2313-B-002-029-MY3. The preliminary results of class 1 integrons detection quantification in this work were partially presented at the 16th International Symposium on Health-Related Water Microbiology, WaterMicro 2011, Rotorua, New Zealand. We would like to acknowledge the Dihua Wastewater Treatment Plant and Taoyuan County Meat Market Co., Ltd., for allowing wastewater sampling. We are also grateful to Protech Technology for providing the Line Gene 9600 real time-PCR.
Author Contributions
Min Tao Wan designed and conducted the study, and prepared the manuscript; Chin Cheng Chou provided advice and edited the manuscript. All authors read and approved the final version of the manuscript.
Conflicts of Interest
The authors declare no conflict of interest.
References
- Mackie, R.I.; Koike, S.; Krapac, I.; Chee-Sanford, J.; Maxwell, S.; Aminov, R.I. Tetracycline residues and tetracycline resistance genes in groundwater impacted by swine production facilities. Anim. Biotechnol. 2006, 2, 157–176. [Google Scholar] [CrossRef] [PubMed]
- Kumar, A.; Mukherjee, S.; Chakraborty, R. Characterization of a novel trimethoprim resistance gene, dfrA28, in class 1 integron of an oligotrophic Acinetobacter johnsonii strain, MB52, isolated from river Mahananda, India. Microb. Drug Resist. 2010, 16, 29–37. [Google Scholar] [CrossRef] [PubMed]
- Börjesson, S.; Melin, S.; Matussek, A.; Lindgren, P.E. A seasonal study of the mecA gene and Staphylococcus aureus including methicillin-resistant S. aureus in a municipal wastewater treatment plant. Water Res. 2009, 43, 925–932. [Google Scholar] [CrossRef] [PubMed]
- Bouche, H.W.; Corey, G.R. Epidemiology of methicillin-resistant Staphylococcus aureus. Clin. Infect. Dis. 2008, 46, S344–S349. [Google Scholar] [CrossRef] [PubMed]
- Harper, A.L.; Ferguson, D.D.; Leedom Larson, K.R.; Hanson, B.M.; Male, M.J.; Donham, K.J.; Smith, T.C. An overview of livestock-associated MRSA in agriculture. J. Agromed. 2010, 15, 101–104. [Google Scholar] [CrossRef] [PubMed]
- Schwartz, T.; Kohnen, W.; Jansen, B.; Obst, U. Detection of antibiotic-resistant bacteria and their resistance genes in wastewater, surface water, and drinking water biofilms. FEMS Microbiol. Ecol. 2003, 43, 325–335. [Google Scholar] [CrossRef] [PubMed]
- Goldstein, R.E.R.; Micallef, S.A.; Gibbs, S.G.; Davis, J.A.; He, X.; George, A.; Kleinfelter, L.M.; Schreiber, N.A.; Mukherjee, S.; Sapkota, A.; et al. Methicillin-resistant Staphylococcus aureus (MRSA) detected at four U.S. wastewater treatment plants. Environ. Health Perspect. 2012, 120, 1551–1558. [Google Scholar] [CrossRef] [PubMed]
- Stokes, H.W.; Hall, R.M. A novel family of potentially mobile DNA elements encoding site-specific gene-integration functions: Integrons. Mol. Microbiol. 1989, 3, 1669–1683. [Google Scholar] [CrossRef] [PubMed]
- Recchia, G.D.; Hall, R.M. Gene cassettes: A new class of mobile element. Microbiology 1995, 141, 3015–3027. [Google Scholar] [CrossRef] [PubMed]
- Wong, T.Z.; Zhang, M.; O’Donoghue, M.; Boost, M. Presence of antiseptic resistance genes in porcine methicillin-resistant Staphylococcus aureus. Vet. Microbiol. 2013, 162, 977–979. [Google Scholar] [CrossRef] [PubMed]
- Xu, Z.; Li, L.; Shi, L.; Shirtliff, M.E. Class 1 integron in Staphylococci. Mol. Biol. Rep. 2011, 38, 5261–5279. [Google Scholar] [CrossRef] [PubMed]
- Povilonis, J.; Šeputienė, V.; Ružauskas, M.; Šiugždinienė, R.; Virgailis, M.; Pavilonis, A.; Sužiedėlienė, E. Transferable class 1 and 2 Integrons in Escherichia coli and Salmonella enterica isolates of human and animal origin in Lithuania. Foodborne Pathog. Dis. 2010, 7, 1185–1192. [Google Scholar] [CrossRef] [PubMed]
- Hardwick, S.A.; Stokes, H.W.; Findlay, S.; Taylor, M.; Gillings, M.R. Quantification of class 1 integron abundance in natural environments using real-time quantitative PCR. FEMS Microbiol. Lett. 2008, 278, 207–212. [Google Scholar] [CrossRef] [PubMed]
- Chen, H.; Zhang, M. Effects of advanced treatment systems on the removal of antibiotic resistance genes in wastewater treatment plants from Hangzhou in China. Environ. Sci. Technol. 2013, 47, 8157–8163. [Google Scholar] [PubMed]
- Stokes, H.W.; Nesbo, C.L.; Holley, M.; Bahl, M.I.; Gillings, M.R.; Boucher, Y. Class 1 integrons potentially predating the association with Tn402-like transposition genes are present in a sediment microbial community. J. Bacteriol. 2006, 188, 5722–5730. [Google Scholar] [CrossRef] [PubMed]
- Kücken, D.; Feucht, H.; Kaulfers, P. Association of qacE and qacEDelta1 with multiple resistance to antibiotics and antiseptics in clinical isolates of Gram-negative bacteria. FEMS Microbiol. Lett. 2000, 183, 95–98. [Google Scholar] [CrossRef]
- Noguchi, N.; Nakaminami, H.; Nishijima, S.; Kurokawa, I.; So, H.; Sasatsu, M. Antimicrobial agent of susceptibilities and antiseptic resistance gene distribution among methicillin-resistant Staphylococcus aureus isolates from patients with impetigo and staphylococcal scalded skin syndrome. J. Clin. Microbiol. 2006, 44, 2119–2125. [Google Scholar] [CrossRef] [PubMed]
- Heir, E.; Sundheim, G.; Holck, A.L. The Staphylococcus qacH gene product: A new member of the SMR family encoding multidrug resistance. FEMS Microbiol. Lett. 1998, 163, 49–56. [Google Scholar] [CrossRef] [PubMed]
- Bjorland, J.; Steinum, T.; Kvitle, B.; Waage, S.; Sunde, M.; Heir, E. Widespread distribution of disinfectant resistance genes among staphylococci of bovine and caprine origin in Norway. J. Clin. Microbiol. 2005, 43, 4363–4368. [Google Scholar]
- Raggi, C.; Filippini, P.; Monaco, M.; Pantosti, A.; Creti, R.; Baldassarri, L. Methicillin resistance, biofilm formation and resistance to benzalkonium chloride in Staphylococcus aureus clinical isolates. Clin. Microbial. 2013. [Google Scholar] [CrossRef]
- Wan, M.T.; Chou, C.C. Spreading of β-lactam resistance gene (mecA) and methicillin-resistant Staphylococcus aureus through municipal and swine slaughterhouse wastewaters. Water Res. 2014, 64, 288–295. [Google Scholar] [CrossRef] [PubMed]
- Sandvang, D.; Aarestrup, F.M.; Jensen, L.B. Characterisation of integrons and antibiotic resistance genes in Danish multiresistant Salmonella enterica Typhimurium DT104. FEMS Microbiol. Lett. 1997, 157, 177–181. [Google Scholar] [CrossRef] [PubMed]
- Colomer-Lluch, M.; Jofre, J.; Muniesa, M. Antibiotic resistance genes in the bacteriophage DNA fraction of environmental samples. PLoS ONE 2011. [Google Scholar] [CrossRef]
- Brakstad, O.G.; Aasbakk, K.; Maeland, J.A. Detection of Staphylococcus aureus by polymerase chain reaction amplification of the nuc gene. J. Clin. Microbiol. 1992, 30, 1654–1660. [Google Scholar] [PubMed]
- Sakoulas, G.; Gold, H.S.; Venkataraman, L.; DeGirolami, P.C.; Eliopoulos, G.M.; Qian, Q. Methicillin-resistant Staphylococcus aureus: Comparison of susceptibility testing methods and analysis of mecA-positive susceptible strains. J. Clin. Microbiol. 2001, 39, 3946–3951. [Google Scholar] [CrossRef] [PubMed]
- Performance Standards for Antimicrobial Disk and Dilution Susceptibility Tests for Bacteria Isolated from Animals, 3rd ed.; Clinical and Laboratory Standards Institute: Wayne, PA, USA, 2003.
- Jacobs, L.; Chenia, H.Y. Characterization of integrons and tetracycline resistance determinants in Aeromonas spp. isolated from South African aquaculture systems. Int. J. Food Microbiol. 2007, 114, 295–306. [Google Scholar] [CrossRef] [PubMed]
- Taviani, E.; Ceccarelli, D.; Lazaro, N.; Bani, S.; Cappuccinelli, P.; Colwell, R.R.; Colombo, M.M. Environmental Vibrio spp., isolated in Mozambique, contain a polymorphic group of integrative conjugative elements and class 1 integrons. FEMS Microbiol. Ecol. 2008, 64, 45–54. [Google Scholar] [CrossRef] [PubMed]
- Hsu, S.C.; Chiu, T.H.; Pang, J.C.; Hsuan-Yuan, C.H.; Chang, G.N.; Tsen, H.Y. Characterisation of antimicrobial resistance patterns and class 1 integrons among Escherichia coli and Salmonella enterica serovar Choleraesuis strains isolated from humans and swine in Taiwan. Int. J. Antimicrob. Agents 2006, 27, 383–391. [Google Scholar] [CrossRef] [PubMed]
- Betteridge, T.; Partridge, S.R.; Iredell, J.R.; Stokes, H.W. Genetic context and structural diversity of class 1 integrons from human commensal bacteria in a hospital intensive care unit. Antimicrob. Agents Chemother. 2011, 55, 3939–3943. [Google Scholar] [CrossRef] [PubMed]
- Gaze, W.H.; Abdouslam, N.; Hawkey, P.M.; Wellington, E.M. Incidence of class 1 integrons in a quaternary ammonium compound-polluted environment. Antimicrob. Agents Chemother. 2005, 49, 1802–1807. [Google Scholar] [CrossRef] [PubMed]
- Gillings, M.; Boucher, Y.; Labbate, M.; Holmes, A.; Krishnan, S.S.; Holley, M.; Stokes, H.W. The evolution of class 1 integrons and the rise of antibiotic resistance. J. Bacteriol. 2008, 190, 5095–5100. [Google Scholar] [CrossRef] [PubMed]
- Ho, C.M.; Li, C.Y.; Ho, M.W.; Lin, C.Y.; Liu, S.H.; Lu, J.J. High rate of qacA- and qacB-positive methicillin-resistant Staphylococcus aureus isolates from chlorhexidine-impregnated catheter-related bloodstream infections. Antimicrob. Agents Chemother. 2012, 56, 5693–5697. [Google Scholar] [CrossRef] [PubMed]
- Mayer, S.; Boos, M.; Beyer, A.; Fluit, A.C.; Schmitz, F.J. Distribution of the antiseptic resistance genes qacA, qacB and qacC in 497 methicillin-resistant and—Susceptible European isolates of Staphylococcus aureus. J. Antimicrob. Chemother. 2001, 47, 896–897. [Google Scholar] [CrossRef] [PubMed]
© 2015 by the authors; licensee MDPI, Basel, Switzerland. This article is an open access article distributed under the terms and conditions of the Creative Commons Attribution license (http://creativecommons.org/licenses/by/4.0/).