Three New Compounds from Aspergillus terreus PT06-2 Grown in a High Salt Medium
Abstract
:1. Introduction
2. Results and Discussion
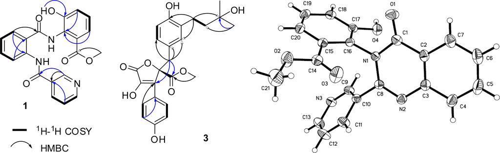
2.1. The Identification of New Metabolites from Aspergillus terreus PT06-2 at 10% Salinity
2.2. The Effects of Salt Stress on Production of Secondary Metabolites from Aspergillus terreus PT06-2
2.3. The Bioactivities of Metabolites from Aspergillus terreus PT06-2 in 10% Salinity
3. Experimental Section
3.1. General Experimental Procedures
3.2. Fungal Material
3.3. Fermentation and Extraction
3.4. Purification
3.5. Chemical Transformation of 1 into 2
3.6. X-ray Crystal Structure of 2
3.7. Bioassay
4. Conclusions
Supporting Information
marinedrugs-09-01368-s001.pdfAcknowledgments
- Samples Availability: Available from the authors.
References
- Nina, GC; Jose, RP. Halotolerant and halophilic fungi. Mycol. Res. 2009, 113, 1231–1241. [Google Scholar]
- Wang, WL; Lu, ZY; Tao, HW; Zhu, TJ; Fang, YC; Gu, QQ; Zhu, WM. Isoechinulin-type alkaloids, variecolorins A–L, from halotolerant Aspergillus variecolor. J. Nat. Prod. 2007, 70, 1558–1564. [Google Scholar]
- Wang, WL; Zhu, TJ; Tao, HW; Lu, ZY; Fang, YC; Gu, QQ; Zhu, WM. Three novel, structurally unique spirocyclic alkaloids from the halotolerant B-17 fungal strain of Aspergillus variecolor. Chem. Biodivers. 2007, 4, 2913–2919. [Google Scholar]
- Lu, ZY; Lin, ZJ; Wang, WL; Du, L; Zhu, TJ; Fang, YC; Gu, QQ; Zhu, WM. Citrinin dimers from the halotolerant fungus Penicillium citrinum B-57. J. Nat. Prod. 2008, 71, 543–546. [Google Scholar]
- Zheng, JK; Zhu, HJ; Hong, K; Wang, Y; Liu, PP; Wang, X; Peng, XP; Zhu, WM. Novel cyclic hexapeptides from marine-derived fungus, Aspergillus sclerotiorum PT06-1. Org. Lett. 2009, 11, 5262–5265. [Google Scholar]
- Zheng, JK; Xu, ZH; Wang, Y; Hong, K; Liu, PP; Zhu, WM. Cyclic tripeptides from the halotolerant fungus Aspergillus sclerotiorum PT06-1. J. Nat. Prod. 2010, 73, 1133–1137. [Google Scholar]
- Thom, C; Church, MB. Aspergillus fumigatus, A. nidulans, A. terreus n. sp. and their allies. Am. J. Bot. 1918, 5, 84–104. [Google Scholar]
- Manzoni, M; Rollini, M. Biosynthesis and biotechnological production of statins by filamentous fungi and application of these cholesterol-lowering drugs. Appl. Microbiol. Biotechnol. 2002, 58, 555–564. [Google Scholar]
- Alberts, AW; Chen, J; Kuron, G; Hunt, V; Huff, J; Hoffman, C; Rothrock, J; Lopez, M; Joshua, H; Harris, E; et al. Mevinolin: A highly potent competitive inhibitor of hydroxymethylglutaryl-coenzyme A reductase and a cholesterol-lowering agent. Proc. Natl. Acad. Sci. USA 1980, 77, 3957–3961. [Google Scholar]
- Macedo, CF; Porto, ALM; Marsaioli, AJ. Terreinol, a novel metabolite from Aspergillus terreus: Structure and 13C labeling. Tetrahedron Lett. 2004, 45, 53–55. [Google Scholar]
- Kim, W; Cho, K; Lee, C; Yoo, ID. Terreulactone A, a novel meroterpenoid with anti-acetylcholinesterase activity from Aspergillus terreus. Tetrahedron Lett. 2002, 43, 3197–3198. [Google Scholar]
- Ghisalberti, EL; Narbey, MJ; Rowland, CY. Metabolites of Aspergillus terreus antagonistic towards the take-all fungus. J. Nat. Prod. 1990, 53, 520–522. [Google Scholar]
- Yamamoto, H; Takahashi, S; Moriyama, K; Jinnouchi, H; Takahashi, N; Yagishita, K. Terreic acid (5,6-epoxy-3-hydroxy-p-toluquinone) produced by a strain in Aspergillus terreus group. Production, extraction, isolation, physicochemical properties, chemical structure, biological properties, and antitumor effects. Nihon Daigaku Nojuigakubu Gijutsu Kenkyu Hokoku 1980, 37, 9–19. [Google Scholar]
- Ojima, N; Takahashi, I; Ogura, K; Seto, S. New metabolites from Aspergillus terreus related to the biosynthesis of aspulvinones. Tetrahedron Lett. 1976, 13, 1013–1014. [Google Scholar]
- Yamamoto, Y. Anthranilic acid derivatives. Japanese Kokai Tokkyo Koho JP 56161362 1981. [Google Scholar]
- Nitta, K; Fujita, N; Yoshimura, T; Arai, K; Yamamoto, Y. Metabolic products of Aspergillus terreus. IX. Biosynthesis of butyrolactone derivatives isolated from strains IFO 8835 and 4100. Chem. Pharm. Bull. 1983, 31, 1528–1533. [Google Scholar]
- Lin, T; Lu, CH; Shen, YM. Secondary metabolites of Aspergillus sp. F1, a commensal fungal strain of Trewia nudiflora. Nat. Prod. Res. 2009, 23, 77–85. [Google Scholar]
- Kiriyama, N; Nitta, K; Sakaguchi, Y; Taguchi, Y; Yamamoto, Y. Studies on the metabolic products of Aspergillus terreus. III. Metabolites of the strain IFO 8835 (1). Chem. Pharm. Bull. 1977, 25, 2593–2601. [Google Scholar]
- Rao, KV; Sadhhukhan, AK; Veerender, M. Butyrolactones from Aspergillus terreus. Chem. Pharm. Bull. 2000, 48, 559–562. [Google Scholar]
- Morishima, H; Fujita, K; Nakano, M; Atsumi, S; Ookubo, M; Kitagawa, M; Matsumoto, H; Okuyama, A; Okabe, T. Preparation, antitumor activity, and formulations of dihydrofuran compounds. Japanese Kokai Tokkyo Koho JP 06100445 1994. [Google Scholar]
- Parvatkar, RR; Dsouza, C; Tripathi, A; Naik, CG. Aspernolides A and B, butenolides from a marine-derived fungus Aspergillus terreus. Phytochemistry 2009, 70, 128–132. [Google Scholar]
- Lee, SS; Peng, FC; Chiou, CM; Ling, KH. NMR assignments of territrems A, B, and C and the structure of MB2, the major metabolite of territrem B by rat liver microsomal fraction. J. Nat. Prod. 1992, 55, 251–255. [Google Scholar]
- Heredia, ML; Cuesta, E; Avendano, C. Acid-promoted reactions in 1-hydroxy-1-dimethyl aminomethyl and 1-methylene-4-arylmethyl-2,4-dihydro-1H-pyrazino[2,1-β]-quinazoline-3,6-diones. Tetrahedron 2002, 58, 6163–6170. [Google Scholar]
- Islam, MdS; Ishigami, K; Watanabe, H. Synthesis of (−)-mellein, (+)-ramulosin, and related natural products. Tetrahedron 2006, 63, 1074–1079. [Google Scholar]
- Avantaggiato, G; Solfrizzo, M; Tosi, L; Zazzerini, A; Fanizzi, FP; Visconti, A. Isolation and characterization of phytotoxic compounds produced by Phomopsis helianthi. Nat. Toxins 1999, 7, 119–127. [Google Scholar]
- Wakana, D; Hosoe, T; Itabashi, T; Nozawa, K; Okada, K; Takaki, GMC; Yaguchi, T; Fukushima, K; Kawai, K. Isolation of isoterrein from Neosartorya fischeri. Mycotoxins 2006, 56, 3–6. [Google Scholar]
- Shim, SH; Kim, JS; Son, KH; Bae, KH; Kang, SS. Alkaloids from the roots of Aconitum pseudo-laeve var. erectum. J. Nat. Prod. 2006, 69, 400–402. [Google Scholar]
- Mosmann, T. Rapid colorimetric assay for cellular growth and survival: Application to proliferation and cytotoxicity assays. J. Immunol. Methods 1983, 65, 55–63. [Google Scholar]
- Zaika, LL. Spices and herbs: Their antimicrobial activity and its determination. J. Food Saf. 1988, 9, 97–118. [Google Scholar]
- Grassauer, A; Weinmuellner, R; Meier, C; Pretsch, A; Prieschl-Grassauer, E; Unger, H. Iota-Carrageenan is a potent inhibitor of rhinovirus infection. Virol. J. 2008, 5, 107. [Google Scholar]
- Hung, HC; Tseng, CP; Yang, JM; Ju, YW; Tseng, SN; Chen, YF; Chao, YS; Hsieh, HP; Shih, SR; Hsu, JT. Aurintricarboxylic acid inhibits influenza virus neuraminidase. Antiviral Res. 2009, 81, 123–131. [Google Scholar]
- Fischer, PM; Lane, DP. Inhibitors of cyclin-dependent kinases as anti-cancer therapeutics. Curr. Med. Chem. 2000, 7, 1213–1245. [Google Scholar]



| Position | 1 a | 2 | 3 b | |||
|---|---|---|---|---|---|---|
| δC | δH (J in Hz) | δC | δH (J in Hz) | δC | δH (J in Hz) | |
| 1 | 119.1, qC | 160.7, qC | 168.7, qC | |||
| 2 | 140.3, qC | 153.4, qC | 139.0, qC | |||
| 3 | 122.0, CH | 8.87, d (8.3) | 147.2, qC | 132.6, qC | ||
| 4 | 134.2, CH | 7.67, t (7.8) | 127.4, CH | 86.0, qC | ||
| 5 | 124.0, CH | 7.32, t (7.8) | 134.8, CH | 170.9, qC | ||
| 6 | 128.1, CH | 7.99, d (7.8) | 127.3, CH | 7.79, d (7.9) | 39.1, CH2 | 3.44, s |
| 7 | 169.1, qC | 126.4, CH | 7.92, t (7.9) | |||
| 8 | 120.6, qC | 7.61, t (7.9) | ||||
| 9 | 131.3, qC | 8.16, d (7.9) | ||||
| 10 | 147.9, CH | |||||
| 1′ | 130.3, qC | 150.1, CH | 124.8, qC | |||
| 2′ | 148.8, CH | 9.26, s | 122.5, CH | 8.57, s | 132.6, CH | 6.51, br s |
| 3′ | 128.2, qC | |||||
| 4′ | 152.6, CH | 8.78, d (4.2) | 135.0, CH | 8.48, d (4.5) | 154.8, qC | |
| 5′ | 123.6, CH | 7.45, t “like” (6.0) | 160.7, qC | 7.29, dd (4.5, 7.9) | 115.1, CH | 6.52, br d (8.2) |
| 6′ | 134.9, CH | 8.27, d (6.0) | 153.4, qC | 7.75, d (7.9) | 129.4, CH | 6.55, d (8.2) |
| 7′ | 163.7, qC | |||||
| 1″ | 120.1, qC | 124.4, qC | 122.8, qC | |||
| 2″ | 128.2, qC | 128.7, qC | 130.1, CH | 7.62, br d (8.2) | ||
| 3″ | 149.8, qC | 153.5, qC | 116.5, CH | 6.97, br d (8.2) | ||
| 4″ | 123.5, CH | 7.70, d (7.8) | 121.2, CH | 7.03, d (7.8) | 158.7, qC | |
| 5″ | 126.7, CH | 7.26, t (7.7) | 130.0, CH | 7.28, t (7.8) | 116.5, CH | 6.97, br d (8.2) |
| 6″ | 126.3, CH | 7.36, d (8.2) | 120.0, CH | 7.33, d (7.8) | 130.1, CH | 7.62, br d (8.2) |
| 7″ | 169.2, qC | 165.2, qC | ||||
| 7″-OMe | 53.0, CH3 | 3.95, s | 52.2, CH3 | 3.65, s | ||
| 2-NH | 11.96, s | |||||
| 2″-NH | 9.08, s | |||||
| 3″-OH | 12.22, s | |||||
| Compound | MIC (μM) | |||
|---|---|---|---|---|
| Enterobacter aerogenes | Pseudomonas aeruginosa | Staphylococcus aureus | Candida albicans | |
| 1 | >100 | >100 | 63.9 | >100 |
| 2 | 33.5 | >100 | >100 | >100 |
| 3 | >100 | >100 | >100 | >100 |
| 4 | >100 | >100 | 52.4 | >100 |
| 15 | >100 | >100 | >100 | >100 |
| Ciprofloxacinlactate | 1 | 30 | 1 | − |
| Ketoconazole | − | − | − | 5 |
© 2011 by the authors; licensee MDPI, Basel, Switzerland. This article is an open access article distributed under the terms and conditions of the Creative Commons Attribution license (http://creativecommons.org/licenses/by/3.0/).
Share and Cite
Wang, Y.; Zheng, J.; Liu, P.; Wang, W.; Zhu, W. Three New Compounds from Aspergillus terreus PT06-2 Grown in a High Salt Medium. Mar. Drugs 2011, 9, 1368-1378. https://doi.org/10.3390/md9081368
Wang Y, Zheng J, Liu P, Wang W, Zhu W. Three New Compounds from Aspergillus terreus PT06-2 Grown in a High Salt Medium. Marine Drugs. 2011; 9(8):1368-1378. https://doi.org/10.3390/md9081368
Chicago/Turabian StyleWang, Yi, Jinkai Zheng, Peipei Liu, Wei Wang, and Weiming Zhu. 2011. "Three New Compounds from Aspergillus terreus PT06-2 Grown in a High Salt Medium" Marine Drugs 9, no. 8: 1368-1378. https://doi.org/10.3390/md9081368
APA StyleWang, Y., Zheng, J., Liu, P., Wang, W., & Zhu, W. (2011). Three New Compounds from Aspergillus terreus PT06-2 Grown in a High Salt Medium. Marine Drugs, 9(8), 1368-1378. https://doi.org/10.3390/md9081368
