You are currently viewing a new version of our website. To view the old version click .
Marine Drugs
  • Article
  • Open Access

24 November 2011

Alkaloids and Sesquiterpenes from the South China Sea Gorgonian Echinogorgia pseudossapo

,
,
,
and
1
Key Laboratory of Marine Bio-resources Sustainable Utilization, Guangdong Key Laboratory of Marine Materia Medica, RNAM Center for Marine Microbiology, South China Sea Institute of Oceanology, The Chinese Academy of Sciences, 164 West Xingang Road, Guangzhou 510301, China
2
Guangzhou Jinan Biomedicine Research and Development Center, Guangzhou 510632, China
3
Department of Biology, Hong Kong University of Science and Technology, Clearwater Bay, Kowloon, Hong Kong, China
*
Author to whom correspondence should be addressed.

Abstract

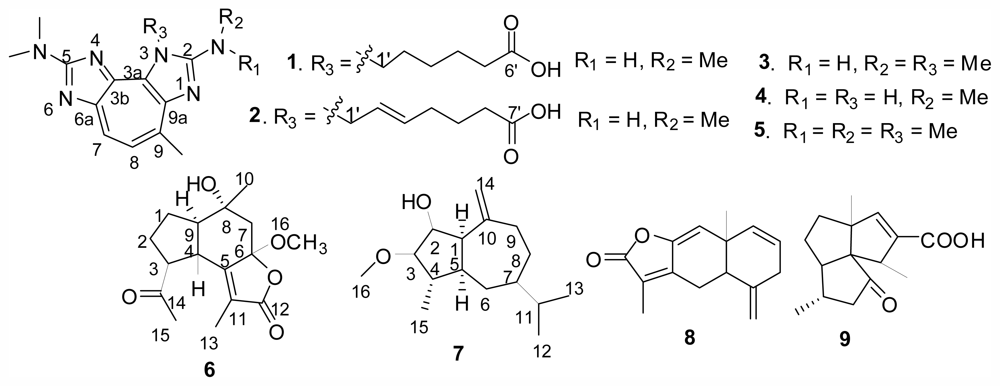
Five zoanthoxanthin alkaloids (15) and four sesquiterpenes (69) were isolated from the South China Sea gorgonian Echinogorgia pseudossapo. Their structures were determined on the bases of extensive spectroscopic analyses, including 1D and 2D NMR data. Among them, pseudozoanthoxanthins III and IV (12), 8-hydroxy-6β-methoxy-14- oxooplop-6,12-olide (6) and 3β-methoxyguaian-10(14)-en-2β-ol (7) were new, 1 and 3 showed mild anti-HSV-1 activity, and 7 showed significant antilarval activity towards Balanus amphitrite larvae.

1. Introduction

Gorgonian Echinogorgia pseudossapo belongs to the genus Echinogorgia that is known to produce sesquiterpenes and sterols [1,2]. The zoanthoxanthins are unusual non-benzenoid aromatic zoochromic alkaloids, which have been isolated exclusively from colonial anthozoans in both major families (Epizoanthidae and Zoanthidae) of the order Zoanthidea, and appeared as three types of skeletons including 3H-zoanthoxanthin, 4H-pseudozoanthoxanthin, and 3H-pseudozoanthoxanthin [36]. Some of them showed histamine-like action on the guinea-pigileum and papaverine-like bioactivities [5]. During the course of our series investigations on the chemical constituents of the South China Sea gorgonian corals, five zoanthoxanthin alkaloids (15) and four sesquiterpenes (610) were obtained from the EtOH/CH2Cl2 extract of the South China Sea gorgonian E. pseudossapo. Among these compounds, pseudozoanthoxanthins III–IV (12) [7], 6β-methoxy-14-oxo-oplopa-8α-ol-6,12-olide (6) and 3β-methoxy-guaia-2β-ol-10(14)-ene (7) were new, and the known compounds were identified as zoanthoxanthin 1 (3) [4], paragracine (4) [4], zoanthoxanthin (5) [4], dehydrolindestrenolide (8) [8], and subergorgic acid (9) [9] (Figure 1). The antiviral activity of 14 against herpes simplex virus type 1 (HSV-1) and antilarval activity of 7 towards Balanus amphitrite larvae were evaluated. In this paper, we report the isolation, structure elucidation, and bioactivities of these new compounds.
Figure 1. Structures of compounds 19.

2. Results and Discussion

Compound 1 had a molecular formula of C19H26N6O2 deduced from its ESIMS and NMR data. The 1H and 13C NMR spectra of 1 were similar to those of pseudozoanthoxanthin A [3], pseudozoanthoxanthins I and II [6,10], zoanthoxanthin 1 (3) [4], paragracine (4) [4] and zoanthoxanthin (5) [4] (Table 1), except for the addition of five methylene units and one carboxyl group (δC 176.4), which suggested that 1 has the same 3H-pseudozoanthoxanthin core as 4, the difference between them existing in the side chain. The HMBC spectrum of 1 (Figure 2) showed correlations of H-1′ (δH 3.20, t, J = 6.5 Hz) with C-2′ (δC 29.7)/C-3′ (δC 26.9), H-2′ (δH 1.54, m) with C-1′ (δC 39.9)/C-3′/C-4′ (δC 26.3), H-3′ (δH 1.35, m) with C-1′ (δC 39.9)/C-2′/C-4′/C-5′ (δC 36.7), H-4′ (δH 1.65, m) with C-3′/C-5′/C-6′ (δC 176.4), H-5′ (δH 2.21, t, J = 7.5 Hz ) with C-3′/C-4′/C-6′ (δC 176.4), which suggested the presence of an –N–CH2–CH2–CH2–CH2–CH2–COOH unit. The suggestion was supported by the 1H–1H COSY spectrum (Figure 2) showing correlations of H-2′ with H-1′/H-3′, and H-4′ with H-3′/H-5′, and the ESIMS (positive) spectrum showing a main fragment ion peak at m/z 257 {100%, [M + 2H–(CH2–CH2–CH2–CH2–CH2–COOH)]+}. The weak HMBC correlations of H-1′ with C-2 (δC 160.8, s)/C-3a (δC 132.3, s) and comparison of the 13C NMR data of C-3a in 1 and 4 (Table 1) suggested that the –CH2–CH2–CH2–CH2–CH2–COOH unit should be attached on the nitrogen atom N(3) instead of the another nitrogen atom attached at C(2). So, the structure of 1 was determined as shown and the compound was named pseudozoanthoxanthin III.
Table 1. 1H NMR (500 MHz) and 13C NMR (125 MHz) data of 1, 2, 4 (in CD3OD, δ in ppm).
Figure 2. Key 1H–1H COSY and HMBC correlations of compound 1.
Compound 2 had a molecular formula of C20H26N6O2 deduced from its (−) ESIMS spectrum (m/z 381 [M − H]) and NMR spectra. Comparison of 1H and 13C NMR spectral data (Table 1) revealed close similarities between 2 and 1. The difference between them was the absence of one methylene group and the appearance of a 1,2-disubstituted double bond [δH 5.59 (1H, dd, J = 6.5, 16.0 Hz), 5.50 (1H, m), δC 130.8, 131.8]. Extensive 2D NMR analyses, including HSQC, HMBC and 1H–1H COSY spectra proved that 1 and 2 had the same skeleton. Moreover, the HMBC spectrum showed correlations of H-1′ (δH 4.14) with C-2′ (δC 130.8)/C-3′ (δC 131.8), H-2′ (δH 5.59) with C-1′ (δC 58.6)/C-3′/C-4′ (δC 27.7), H-3′ (δH 5.50) with C-1′ (δC 58.6)/C-2′/C-4′/C-5′ (δC 25.9), H-4′ (δH 2.14) with C-3′/C-5′/C-6′ (δC 34.3), H-5′ (δH 1.69) with C-2′/C-3′/C-4′/C-6′, and H-6′ (δH 2.31) with C-4′/C-5′/C-7′ (δC 177.6), which suggested the presence of an –N–CH2–CH=CH– CH2–CH2–CH2–COOH unit.
This suggestion was supported by the 1H–1H COSY spectrum (Figure 2) showing correlations of H-2′ with H-1′/H-3′, H-4′ with H-3′/H-5′, and H-5′ with H-6′, and the (−) ESIMS spectrum showing one main fragment ion peak at m/z 255. In the 1H NMR spectrum of 2, the coupling constant of H-2′/H-3′ (J = 16.0 Hz) indicated that geometric configuration of double bond H-2′/H-3′ was E. The weak HMBC correlations of H-1′ with C-2 (δC 160.8, s)/C-3a (δC 131.9, s) and comparison of the 13C NMR data of C(3a) in 2 and 4 (Table 1) suggested that the –CH2–CH=CH–CH2–CH2–CH2–COOH unit should be attached to the nitrogen N(3). Thus, the structure of 2 was determined as shown and named pseudozoanthoxanthin IV.
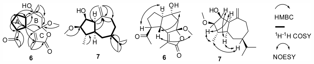
Compound 6 had the molecular formula of C16H22O5 as deduced from EIMS and NMR spectra. Its 1H NMR spectrum displayed four methyls at δH 1.80 (3H, s), 1.36 (3H, s), 2.26 (3H, s), 3.14 (3H, s). The 13C and DEPT-135 NMR spectra showed 17 carbons consisting of four methyls (δC 8.7, 21.9, 28.7, 50.0), three methylenes (δC 23.4, 27.0, 51.2), three methines (δC 42.1, 52.1, 56.7), two oxygenated quaternary carbons (δC 71.5, 106.9), one double bond (δC 121.4, 157.5), one lactone group (δC 171.9), and one keto group (δC 208.2). The 1H and 13C NMR spectral data of 6 showed similarity to those of 7β-hydroxyoplop-11-enone [11] and 7β-senecioyloxyoplopa-3(14)Z,8(10)-dien-2-one [12], which suggested that 6 was an oplopane-type sesquiterpene. The suggestion was confirmed by the HMBC and 1H–1H COSY spectra. In the HMBC spectrum (Figure 3), correlations of H-4 (δH 2.65, dd, J = 11.0, 12.5 Hz) with C-5 (δC 157.5)/C-6 (δC 106.9)/C-8 (δC 71.5)/C-11(δC 121.4, s), H-7 (δH 2.53, 1.77, each 1H, d, J = 13.5 Hz) with C-6/C-8/C-9 (δC 56.7), H-9 (δH 1.84, 1H, m) with C-4 (δC 42.1)/C-5/C-8, and H-13 (δH 1.80, 3H, s) with C-5/C-11/C-12 (δC 171.9, s), suggested the presence of the B,C-ring substructure and Me-13 attached on C-11 to form a methyl substituted α,β-unsaturated γ-lactone unit. In addition, HMBC correlations of H-10 (δH 1.36, 3H, s) with C-7/C-8/C-9, and H-16 (δH 3.14, 3H, s) with C-6 (δC 106.9) indicated that Me-10 and OMe-16 were connected with C-8 and C-16, respectively. Meanwhile, the 1H–1H COSY spectrum (Figure 3) showed correlations of H-1 [δH 1.94, 1.63 (each 1H, m)] with H-9/H-2 [δH 2.28, 1.77 (each 1H, m)], and H-3 (δH 3.31, ddd, J = 8.5, 11.0, 16.8 Hz) with H-2/H-4, suggesting the presence of A-ring unit. The suggestion was supported by HMBC correlations of H-1 with C-4/C-8/C-9, H-2 with C-1 (δC 23.4)/C-3 (δC 52.1)/C-4/C-9, and H-3 with C-2 (δC 27.0)/C-4. Furthermore, HMBC correlations of H-15 (δH 2.26, 3H, s) with C-3/C-14 (δC 208.2), and H-3 with C-14 indicated that an acetyl group was attached on C(3).
Figure 3. Key HMBC, 1H–1H COSY and NOESY correlations of compounds 6 and 7.
The relative stereochemistry of 6 was deduced from the NOESY spectrum (Figure 3) and comparison with that of 7β-hydroxyoplop-11-enone [11]. NOE correlations of H-3 with H-9 indicated that H-3 and H-9 were in the same α-oriented direction, and NOE correlations of H-4 with Me-10/Me-16 suggested that H-4, Me-10, and Me-16 were on the same β-oriented side. So, the structure of 6 was elucidated as shown and named 8-hydroxy-6β-methoxy-14-oxooplop-6,12-olide. Oplopanes are frequently found in terricolous plant. However this is the first report of an oplopane-type sesquiterpene isolated from a marine animal.
Compound 7 had the molecular formula of C16H28O2 deduced from NMR spectra and ESIMS. The 1H NMR spectrum of 7 displayed signals for four methyls at δH 0.78 (3H, d, J = 6.9 Hz), 0.95 (3H, d, J = 6.9 Hz), 1.15 (3H, d, J = 6.5 Hz), 3.37 (3H, s) and two oxymethines at δH 3.67 (1H, dd, J = 7.0, 11.0 Hz), 4.15 (1H, dd, J = 7.0, 10.8 Hz). The 13C NMR spectrum showed 16 carbons including four methyls (δC 15.8, 22.0, 30.3, 57.1), three methylenes (δC 24.8, 25.9, 31.5), five high-filed sp3 methines (δC 29.1, 43.7, 44.5, 45.3, 53.3), two oxymethines (δC 78.3, 90.6), and one double bond [δC 109.2 (t), 147.8 (s)]. The 13C and 1H NMR data of 7 were similar to those of guaia-1(10),11-diene and guaia-9,11-diene [13], which suggested that 7 was a guaiane-type sesquiterpene.
The suggestion was supported by 1H–1H COSY and HMBC spectra (Figure 3). The presence of five membered ring substructure was concluded from the 1H–1H COSY spectrum showing correlations of H-2 (δH 4.15, dd, J = 7.0, 10.8 Hz) with H-1 (δH 2.97, t, J = 7.0 Hz)/H-3 (δH 3.67, 1H, dd, J = 7.0, 11.0 Hz), H-4 (δH 1.73, m) with H-3/H-5 (δH 2.14, m), and H-1 with H-5. The presence of seven membered ring substructure was inferred from the 1H–1H COSY spectrum showing correlations of H-6 (δH 1.97, 1.53, each 1H, m) with H-5/H-7 (δH 1.28, m), H-8 (δH 1.67, 2H, m) with H-7/H-9 (δH 2.04, 2.24, each 1H, m), and HMBC spectrum showing correlations C-10 (δC 147.8) with H-1/H-5/H-9. Furthermore, in the HMBC spectrum, correlations of H-14 [δH 4.64, 4.62 (each 1H, s)] with C-1 (δC 53.3)/C-9 (δC 31.5)/C-10 suggested one double bond between C-10 and C-14. HMBC correlations of H-12 (δH 0.78, 3H, d, J = 6.9 Hz) and H-13 (δH 0.95, 3H, d, J = 6.9 Hz) with C-7 (δC 43.7)/C-11 (δC 29.1), and H-11 (δH 1.73, 1H, m) with C-7/C-12 (δC 15.8)/C-13 (δC 22.0) indicated that an isopropyl unit attached on C-7 of the seven membered ring substructure. Meanwhile, HMBC correlations of H-16 (δH 3.37, 3H, s) with C-3 (δC 90.6), and H-15 (δH 1.15, 3H, d, J = 6.5 Hz) with C-4 (δC 44.5), indicated that one methoxy group and one methyl were connected with C-3 and C-4, respectively.
The relative configuration of 7 was determined by a NOESY experiment (Figure 3) and comparison with that of guaia-1(10),11-diene and guaia-9,11-diene [13]. Considering the bulky isopropyl group to keep a pseudo equatorial position and being β-oriented, H-7 had to be α-oriented. NOE correlations of H-1 with H-2/H-3/H-5, H-2 with H-5, H-3 with H-5/H-7/Me-15, and H-7 with H-5/Me-15 suggested that H-1, H-2, H-3, H-5, and Me-15 were oriented in the same direction as H-7, and should be α-orientation. Based on the above data, the structure of 7 was determined as shown and named 3β-methoxyguaian-10(14)-en-2β-ol.
In vitro antiviral activity of 14 against HSV-1 was evaluated using plaque reduction assay. First, the completely non-toxic concentration (CC0) of 14 and positive control ACV on Vero cells were tested to be 270.3, 523.6, 185.2, 195.3, >7500 μM by MTT assays, respectively, then for further antivirus studies, the concentrations of tested compounds were kept below their CC0 values. The antiviral assays displayed that 14 exhibited anti-HSV-1 activity with EC50 (50% effective concentration required to inhibit virus-induced cytopathicity 50%) values of 108.1, 471.2, 70.4, 117.2, 6.08 μM, respectively. The results suggested that the side chain at the nitrogen N(3) in 14 could affect their antiviral activity. Although 1 and 3 showed mild anti-HSV-1 activity, their activities were far lower than that of the positive control ACV.
Compound 7 was evaluated for its antilarval activity against B. amphitrite and B. neritina larvae. The results showed that 7 had significant antilarval activity towards B. amphitrite larvae with EC50 value of 17.2 μg/mL (68.2 μM), and showed 50% inhibition towards the settlement of B. neritina larvae at concentration of 25 μg/mL. The EC50 value of 7 is lower than the standard requirement of an EC50 of 25 μg/mL established by the US Navy program as an efficacy level for natural antifoulants, indicating that 7 is a potential natural antifouling agent.

3. Experimental Section

3.1. General

Optical rotations were measured with a Horiba SEAP-300 spectropolarimeter. UV spectra were measured with a Shimadzu double-beam 210A spectrophotometer in MeOH solution. 1H, 13C NMR and 2D NMR spectra were recorded on a Bruker AV-500 MHz NMR spectrometer with TMS as internal standard. MS spectral data were obtained on an LCQDECA XP HPLC/MSn spectrometer for ESIMS.

3.2. Animal Material

The South China Sea gorgonian coral E. pseudossapo (7.8 kg, wet weight) was collected in Sanya, Hainan Province, China in October 2007 and identified by Research Assistant Xiubao Li, the South China Sea Institute of Oceanology, Academia Sinica (SCSIO). A voucher specimen (No. 2007-SCSIO-3) was deposited in SCSIO, Guangzhou, China.

3.3. Extraction and Isolation

The frozen specimens of E. pseudossapo were exhaustively extracted with EtOH/CH2Cl2 (2:1) three times at room temperature, and the solvent was evaporated in vacuo. The residue was partitioned in H2O and extracted with EtOAc and n-BuOH in turn three times, respectively. The n-BuOH extract was concentrated in vacuo to afford 10.2 g of residue, and then the n-BuOH portion was subjected to column chromatography on silica, using CHCl3/MeOH (from 10:0 to 0:10) as eluent. By combining the fractions with TLC (GF254) monitoring, 8 fractions were obtained. Fraction 2 was chromatographed over Sephadex LH-20 eluting with CHCl3/MeOH (1:1) to obtain three sub-fractions (A–C). Sub-fraction B was purified over semi-preparative HPLC with MeOH/water (50:50) to yield 1 (10 mg) and 3 (4.0 mg). Sub-fraction C were purified over semi-preparative HPLC eluted with MeOH/H2O (60:40) to yield 2 (10.1 mg), 4 (13.0 mg), and 5 (2.3 mg). The EtOAc extracts were concentrated in vacuo to afford 33.5 g of residue. The EtOAc portion was subjected to column chromatography (CC) on silica, using petroleum ether-EtOAc (from 10:1 to 0:10) as eluent. By combining the fractions with TLC (GF254) monitoring, 16 fractions were obtained. Fraction 7 was purified by silica gel column, eluted with petroleum ether-EtOAc (2:1) to yield 8 (17.0 mg). Fraction 8 was subjected to CC on silica gel, eluted with CHCl3-Me2CO (from 100:5 to 0:10), and then purified with semi-preparative HPLC, using MeOH-water as eluent to afford 6 (10.0 mg) and 9 (6.4 mg). Fraction 10 was chromatographed over Sephadex LH-20 eluting with CHCl3/MeOH(1:1), then repeatedly subjected to CC on Si gel, eluted with CHCl3/MeOH (from 10:0 to 6:4) to yield 7 (10.3 mg).
Pseudozoanthoxanthin III (1): Yellow oil; UV (MeOH) λmax 221, 257, 304, 362 nm; IR (KBr) νmax 3400, 3300, 1750, 1690, 1620 cm−1; 1H NMR and 13C NMR spectral data, see Table 1; ESI-MS (+) m/z 371 [M + H]+; HRESIMS m/z 371.2159 [M + H]+ (calcd for C19H27N6O2 371.2195).
Pseudozoanthoxanthin IV (2): Yellow oil; UV (MeOH) λmax 221, 257, 304, 362 nm; IR (KBr) νmax 3407, 3313, 1752, 1694, 1623 cm−1; 1H NMR and 13C NMR spectral data see Table 1; ESI-MS(−) m/z 381 [M − H] ; HRESIMS m/z 381.2075 [M − H] (calcd for C20H25N6O2, 381.2039).
8a-hydroxy-6β-methoxy-14-oxooplop-6,12-olide (6): Colorless oil; [α]25 D +0.3 (c 0.10, MeOH); UV (MeOH): 225 nm; IR (KBr) νmax 3276, 1723, 1625 cm−1; 1H NMR(500 MHz, CDCl3) δH: 1.94, 1.63 (each 1H, m, H-1), 2.28, 1.77 (each 1H, m, H-2), 3.31 (1H, ddd, J = 8.5, 11.0, 16.8 Hz, H-3), 2.65 (1H, J = 11.0, 12.5 Hz, H-4), 2.53, 1.77 (each 1H, d, J = 13.5 Hz, H-7), 1.84 (1H, m, H-9), 1.36 (3H, s, Me-10), 1.80 (3H, s, Me-13), 2.26 (3H, s, Me-15), 3.14 (3H, s, OMe-16); 13C NMR (125 MHz, CDCl3) δC: 23.4 (C-1), 27.0 (C-2), 52.1 (C-3), 42.1 (C-4), 157.5 (C-5), 106.9 (C-6), 51.2 (C-7), 71.5 (C-8), 56.7 (C-9), 21.9 (C-10), 121.4 (C-11), 171.9 (C-12), 8.7 (C-13), 208.2 (C-14), 28.7 (C-15), 50.0 (C-16); HR-EI-MS m/z 294.1472 [M]+ (calcd for C16H22O5, 294.1467).
3β-methoxyguaian-10(14)-en-2β-ol (7): Colorless oil; [α]25 D +0.8 (c 0.10, MeOH); IR (KBr) νmax 3446, 1648, 1456 cm−1; 1H NMR(500 MHz, CDCl3) δH: 2.97 (1H, t, J = 7.0 Hz, H-1), 4.15 (1H, dd, J = 7.0, 10.8 Hz, H-2), 3.67 (1H, dd, J = 7.0, 11.0 Hz, H-3), 1.73 (1H, m, H-4), 2.14 (1H, m, H-5), 1.97, 1.53 (each 1H, m, H-6), 1.28 (1H, m, H-7), 1.67 (2H, m, H-8), 2.04, 2.24 (2H, m, H-9), 1.73 (1H, m, H-11), 0.78 (3H, d, J = 6.9 Hz, Me-12), 0.95 (3H, d, J = 6.9 Hz, Me-13), 4.64, 4.62 (each 1H, s, H-14), 1.15 (3H, d, J = 6.5 Hz, Me-15), 3.37 (3H, s, OMe-16); 13C NMR (125 MHz, CDCl3) δC: 53.3 (C-1), 78.3 (C-2), 90.6 (C-3), 44.5 (C-4), 45.3 (C-5), 25.9 (C-6), 43.7 (C-7), 24.8 (C-8), 31.5 (C-9), 147.8 (C-10), 29.1 (C-11), 15.8 (C-12), 22.0 (C-13), 109.2 (C-14), 30.3 (C-15), 57.1 (C-16); HR-EI-MS m/z 252.2082 [M]+ (calcd for C16H28O2, 252.2089).

3.4. Viruses and Cells

HSV-1 (15577) strain and Vero cells were obtained from American Type Culture Collection. Cytotoxicity assay and cytopathic effect reduction assay were undertaken with the reported methods [14]. ACV was used as the positive control.

3.5. Larval Settlement Bioassays

Antilarval activity of the compounds was evaluated in settlement inhibition assays with laboratory-reared Balanus amphitrite and Bugula neritina larvae. The procedures were the same as previously reported [15].

4. Conclusion

In conclusion, our investigation on the chemical constituents of gorgonian E. pseudossapo led to the obtainment of five zoanthoxanthin alkaloids (15) and four sesquiterpenes (69). Among these compounds, 1, 2, 6 and 7 were new, 1 and 3 showed moderate anti-HSV-1 and anti-RSV activity, and 7 showed significant antilarval activity towards B. amphitrite larvae. The results elucidate the basis of medicinal substances of E. pseudossapo, and suggest that 7 is a potential natural antifouling agent.

Acknowledgments

The authors are grateful to National Science Foundation of China (grant 20872151, 40976090, 40931160435), the Research Supported by the CAS/SAFEA International Partnership Program for Creative Research Teams (grant KZCX2-YW-T001), the National Basic Research Program of China (grant 2010CB833803), and the Hi-tech Research and Development Program of China (grant SQ2007AA09Z409) for financial support.
  • Samples Availability: Available from the authors.

References

  1. Manzo, E.; Ciavatta, M.L.; Gresa, M.P.L.; Gavagnin, M.; Villani, G.; Naikc, C.G.; Ciminoa, G. New bioactive hydrogenated linderazulene-derivatives from the gorgonian Echinogorgia complexa. Tetrahedron Lett 2007, 48, 2569–2571. [Google Scholar]
  2. Tanaka, J.; Miki, H.; Higa, T. Echinofuran, a New Furanosesquiterpene from the gorgonian Echinogorgia praelonga. J. Nat. Prod 1992, 55, 1522–1524. [Google Scholar]
  3. Braun, M.; Buchi, G.; Bushey, D.F. Synthesis of parazoanthoxanthins and pseudozoanthoxanthins. J. Am. Chem. Soc 1978, 100, 4208–4213. [Google Scholar]
  4. Jiménez, C.; Crews, P. 13C-nmr assignments and cytotoxicity assessment of zoanthoxanthin alkaloids from Zoanthid corals. J. Nat. Prod 1993, 56, 9–14. [Google Scholar]
  5. Komoda, Y.; Shimizu, M.; Ishikawa, M. Structures of biologically active minor bases related to paragracine from Parazoanthus gracilis LWOWSKY. Chem. Pharm. Bull 1984, 32, 3873–3879. [Google Scholar]
  6. Schwartz, R.E.; Yunker, M.B.; Scheuer, P.J. Pseudozoanthoxanthins from gold coral. Can. J. Chem 1979, 57, 1707–1711. [Google Scholar]
  7. Qi, S.H. Preparison and application of imidazolidinyl alkaloids from gorgonianEchinogorgia pseudossapo. Chinese invention patent 2011. [Google Scholar]
  8. Zhao, H.L.; Qin, T.Z.; Shang, Y.J.; Wang, Z.T. Assignments of 1H NMR fingerprint of the root bark of Celastrus angulatus. Acta Pharm. Sin 2001, 36, 462–466. [Google Scholar]
  9. Amiram, G.; William, F.; He, C.; Clardy, J.; Wu, Z.; Yiao, Z.; Long, K. Subergorgic acid, a novel tricyclopentanoid cardiotoxin from the pacific gorgonian coral Subergorgia suberosa. Tetrahedron Lett 1985, 26, 2379–2382. [Google Scholar]
  10. Skropeta, D. Deep-sea natural products. Nat. Prod. Rep 2008, 25, 1131–1166. [Google Scholar]
  11. Kijjoa, A.; Vieira, L.M.; Pereira, J.A.; Silva, A.M.S.; Herz, W. Further constituents of Achillea ageratum. Phytochemistry 1999, 51, 555–558. [Google Scholar]
  12. Yaoita, Y.; Kamazawa, H.; Kikuchi, M. Structures of new oplopane-type sesquiterpenoids from the flower buds of Tussilago farfara L. Chem. Pharm. Bull 1999, 47, 705–707. [Google Scholar]
  13. Hailemichael, T.; Wilfried, A.K.; Karl-Heinz, K.; Bartnik, M.; Glena, K. Secondary metabolites of Peucedanum tauricum fruits. Phytochemistry 2005, 66, 707–713. [Google Scholar]
  14. Ma, S.C.; Du, J.; But, P.P.; Deng, X.L.; Zhang, Y.W.; Ooi, V.E.; Xu, H.X.; Lee, S.H.; Lee, S.F. Antiviral Chinese medicinal herbs against respiratory syncytial virus. J. Ethnopharm 2002, 79, 205–211. [Google Scholar]
  15. Qi, S.H.; Zhang, S.; Qian, P.Y.; Wang, B.G. Antifeedant, antibacterial and antilarval active secondary metabolites from seagrass Enhalus acoroides. Bot. Mar 2008, 51, 441–447. [Google Scholar]

Article Metrics

Citations

Article Access Statistics

Multiple requests from the same IP address are counted as one view.