A New Diketopiperazine, Cyclo-(4-S-hydroxy-R-proline-R-isoleucine), from an Australian Specimen of the Sponge Stelletta sp. †
Abstract
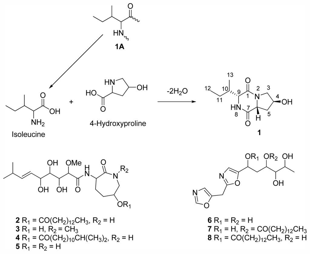
:1. Introduction
2. Results and Discussion
3. Experimental
3.1. General Experimental Procedures
3.2. Animal Material
3.3. Bioassay
3.4. Extraction and Isolation
3.4.1. Cyclo-(4-S-hydroxy-R-proline-R-isoleucine) (1)
3.4.2. Bengamide A (2)
3.4.3. Bengamide F (3)
3.4.4. Bengamide N (4)
3.4.5. Bengamide Y (5)
3.4.6. Bengazole Z (6)
3.4.7. Bengazole C4 (7)
3.4.8. Bengazole C6 (8)
4. Conclusion
Supplementary Material
marinedrugs-09-02469-s001.pdfAcknowledgements
- †Dedication: We dedicate this paper to the memory of Dr. Peter Murphy (Townsville, Australia), a former AIMS colleague and dear friend, for his passionate contributions to the field of natural products chemistry and marine biodiversity, in particular recognising the need for access and benefit sharing arrangements between scientific organisations and local communities.
- Samples Availability: Available from the authors.
References
- Kazlauskas, R.; Murphy, P.T.; Wells, P.J. A diketopiperazine derived from trichloroleucine from the sponge Dysidea herbacea. Tetrahedron Lett 1978, 49, 4945–4948. [Google Scholar]
- Adamczeski, M.; Quiñoà, E.; Crews, P. Novel sponge-derived amino acids. 5. Structures, stereochemistry, and synthesis of several new heterocycles. J. Am. Chem. Soc 1989, 111, 647–654. [Google Scholar]
- Adamczeski, M.; Reed, A.R.; Crews, P. New and known diketopiperazines from the Caribbean sponge, Calyx cf. podatypa. J. Nat. Prod 1995, 58, 201–208. [Google Scholar]
- Vergne, C.; Boury-Esnault, N.; Perez, T.; Martin, M.T.; Adeline, M.T.; Dau, E.T.H.; Al-Mourabit, A. Verpacamides A–D, a sequence of C11N5 diketopiperazines relating cyclo(Pro-Pro) to cyclo(Pro-Arg), from the marine sponge Axinella vaceleti: Possible biogenetic precursors of pyrrole-2-aminoimadazoles. Org. Lett 2006, 8, 2421–2424. [Google Scholar]
- Shigemori, H.; Tenma, M.; Shimazaki, K.; Kobayashi, J. Three new metabolites from the marine yeast Aureobasidium pullulans. J. Nat. Prod 1998, 61, 696–698. [Google Scholar]
- Cronan, J.M.; Davidson, T.R.; Singleton, F.L.; Colwell, R.R.; Cardellina, J.H. Plant growth promoters isolated from a marine bacterium associated with Palythoa sp. Nat. Prod. Lett 1998, 11, 271–278. [Google Scholar]
- Fdhila, F.; Vazquez, V.; Sanchez, J.L.; Riguera, R. DD-diketopiperazines: Antibiotics active against Vibrio anguilarum isolated from marine bacteria associated with cultures of Pecten maximus. J. Nat. Prod 2003, 66, 1299–1301. [Google Scholar]
- Mitova, M.; Popov, S.; de Rosa, S. Cyclic peptides from a Ruegeria strain of bacteria associated with the sponge Suberites domuncula. J. Nat. Prod 2004, 67, 1178–1181. [Google Scholar]
- Li, Z.; Peng, C.; Shen, Y.; Miao, X.; Zhang, H.; Lin, H. l,l-Diketopiperazines from Alcaligenes faecalis A72 associated with South China Sea sponge Stelletta tenuis. Biochem. Syst. Ecol 2008, 36, 230–234. [Google Scholar]
- Sheikh, Y.M.; Djerassi, C. Steroids from sponges. Tetrahedron 1974, 30, 4095–4103. [Google Scholar]
- Hirota, H.; Matsunaga, S.; Fusetani, N. Stellettamide A, an antifungal alkaloid from a marine sponge of the genus Stelletta. Tetrahedron Lett 1990, 31, 4163–4164. [Google Scholar]
- Fusetani, N.; Asai, N.; Matsunaga, S.; Honda, K.; Yasumuro, K. Cyclostelletamines A–F pyridine alkaloids inhibit binding of methyl quinuclidinyl benzilate (QNB) muscarinic acetylcholine receptors from sponge Stelletta maxima. Tetrahedron Lett 1994, 35, 3967–3970. [Google Scholar]
- Oku, N.; Matsunaga, S.; Wada, S.; Watabe, S.; Fusetani, N. New isomalabaricane triterpenes from the marine sponge Stelletta globostellata that induce morphological changes in rat fibroblasts. J. Nat. Prod 2000, 63, 205–209. [Google Scholar]
- Zhao, Q.; Lee, S.; Hong, J.; Lee, C.; Im, K.S.; Sim, C.J.; Lee, D.S.; Jung, J.H. New acetylenic acids from the marine sponge Stelletta species. J. Nat. Prod 2003, 66, 408–411. [Google Scholar]
- Zhao, Q.; Mansoor, T.A.; Hong, J.; Lee, C.; Im, K.S.; Lee, D.S.; Jung, J.H. New lysophosphatidylcholines and monoglycerides from the marine sponge Stelletta sp. J. Nat. Prod 2003, 66, 725–728. [Google Scholar]
- Boyd, M.R. The NCIin Vitro Anticancer Drug Discovery Screen: Concept, Implementation and Operation, 1985–1995. In Anticancer Drug Development Guide: Preclinical Screening, Clinical Trials, and Approval; Teicher, B.A., Ed.; Humana Press: Totowa, NJ, USA, 1997; pp. 23–42. [Google Scholar]
- Quiñoà, E.; Adamczeski, M.; Crews, P.; Bakus, G.J. Bengamides; heterocyclic anthelminthics from a jaspidae marine sponge. J. Org. Chem 1986, 51, 4494–4497. [Google Scholar]
- Adamczeski, M.; Quiñoà, E.; Crews, P. Novel sponge derived amino acids. 11. The entire absolute stereochemistry of the bengamides. J. Org. Chem 1990, 55, 240–242. [Google Scholar]
- Thale, Z.; Kinder, F.R.; Bair, K.W.; Bontempo, J.; Czuchta, A.M.; Versace, R.W.; Phillips, P.E.; Sanders, M.L.; Wattanasin, S.; Crews, P. Bengamides revisited: New structures and antitumor studies. J. Org. Chem 2001, 66, 1733–1741. [Google Scholar]
- Groweiss, A.; Newcomer, J.J.; O’Keefe, B.R.; Blackman, A.; Boyd, M.R. Cytotoxic metabolites from an Australian collection of the sponge Jaspis species. J. Nat. Prod 1999, 62, 1691–1693. [Google Scholar]
- Rodriguez, J.; Nieto, R.M.; Crews, P. Novel sponge-derived amino acids. 14. New structures and bioactivity patterns of bengazole alkaloids from a choristid marine sponge. J. Nat. Prod 1993, 56, 2034–2040. [Google Scholar]
- Balibar, C.J.; Walsh, C.T. GliP, a multimodular nonribosomal peptide synthetase in Aspergillus fumigatus, makes the diketopiperazine scaffold of gliotoxin. Biochemistry 2006, 45, 15029–15038. [Google Scholar]
- ChemBio3D Ultra, version 11.0.1; CambridgeSoft: Cambridge, MA, USA, 2008.
- Pettit, G.R.; Hogan, F.; Xu, J.-P.; Tan, R.; Nogawa, T.; Cichacz, Z.; Pettit, R.K.; Du, J.; Ye, Q.-H.; Cragg, G.M.; et al. Antineoplastic Agents. 536. New Sources of Naturally Occurring Cancer Cell Growth Inhibitors from Marine Organisms, Terrestrial Plants, and Microorganisms. J. Nat. Prod 2008, 71, 438–444. [Google Scholar]
- Bonnefonda, L.; Araib, T.; Sakaguchib, Y.; Suzukib, T.; Ishitania, R.; Nurekia, O. Structural basis for nonribosomal peptide synthesis by an aminoacyl-tRNA synthetase paralog. Proc. Natl. Acad. Sci. USA 2011, 108, 3912–3917. [Google Scholar]
- Martins, M.B.; Carvalho, I. Diketopiperazines: Biological activity and synthesis. Tetrahedron 2007, 63, 9923–9932. [Google Scholar]
- Bolognesi, M.L.; Ai Tran, H.N.; Staderini, M.; Monaco, A.; López-Cobeñas, A.; Bongarzone, S.; Biarnés, X.; López-Alvarado, P.; Cabezas, N.; Caramelli, M.; et al. Discovery of a class of diketopiperazines as antiprion compounds. ChemMedChem 2010, 5, 1324–1334. [Google Scholar]
- Huang, R.; Zhou, X.; Xu, T.; Yang, X. Diketopiperazines from Marine Organisms. Chem. Biodivs 2007, 7, 2809–2829. [Google Scholar]
- Ovenden, S.P.B.; Nielson, J.L.; Liptrot, C.H.; Willis, R.H.; Wright, A.D.; Motti, C.A.; Tapiolas, D.M.; Wright, A.D. Comosusols A–D and Comosone A: Cytotoxic compounds from the brown alga Sporochnus comosus. J. Nat. Prod 2011, 74, 739–743. [Google Scholar]


| No. | 13C δ (m) | 1H δ (m, J Hz) | COSY | gHMBC | 1H δ (m, J Hz) of cyclo-[S-proline-S-isoleucine)] [3] | 1H δ (m, J Hz) of cyclo[l-(4-hydroxyprolinyl)-l-leucine)] [6] |
|---|---|---|---|---|---|---|
| 1 | 165.4 (s) | |||||
| 2 | ||||||
| 3 | 53.8 (t) | 3.51 (1H, dd, 12.5, 4.6) 3.20 (1H, d, 12.5) | Hb-3, H-4 Ha-3 | C-1, C-4, C-5, C-6 C-1, C-4, C-5, C-6 | 3.6–3.5 (2H, m) | 3.65 (1H, dd, 12.5, 4.3) 3.42 (1H, d, 12.5) |
| 4 | 66.8 (d) | 4.28 (1H, br dd, 4.6, 4.6) | Ha-3, 4-OH, Hb-5 | C-3, C-6 | 2.0–1.9 (1H, m) 1.9–1.8 (1H, m) | 4.28 (1H, t, 4.3) |
| 4-OH | 5.10 (OH, br s,) | H-4 | - | - | ||
| 5 | 37.2 (t) | 2.03 (1H, dd, 12.9, 6.1) 1.88 (1H, ddd, 12.9, 11.0, 4.6) | Hb-5, H-6 H-4, Ha-5, H-6 | C-3, C-4 C-4, C-6, C-7 | 2.3–2.2 (1H, m) 2.1–2.0 (1H, m) | 2.27 (1H, dd, 13.3, 6.5) 2.08 (1H, ddd, 13.3, 11.1, 4.3) |
| 6 | 56.7 (d) | 4.31 (1H, dd, 11.0, 6.1) | H2-5 | C-5, C-7 | 4.07 (1H, t, 7.5) | 4.51 (1H, dd, 11.1, 6.5) |
| 7 | 170.5 (s) | |||||
| 8-NH | 7.97 (1H, s) | H-9 | C-1, C-6, C-7, C-9, C-10 | 5.99 (1H, br s) | exchangeable | |
| 9 | 59.1 (d) | 4.00 (1H, br s) | 8-NH (w), H-10 | C-1, C-7, C-10, C-11, C-13 | 3.96 (1H, br s) | 4.15 (1H, m) |
| 10 | 34.8 (d) | 2.01 (1H, m) | H-9, Hb-11, H3-13 | C-1, C-13, C-11 | 2.4–2.3 (1H, m) | 1.90 (1H, m) 1.50 (1H, dd, 8.0) |
| 11 | 23.9 (t) | 1.32 (1H, qdd, 11.8, 7.4, 4.5) 1.26 (1H, qdd, 11.8, 9.2, 7.2) | Hb-11, H3-12 H-10, Ha-11, H3-12 | C-9, C-10, C-12, C-13 C-9, C-10, C-12, C-13 | 1.5–1.4 (1H, m) 1.3–1.1 (1H, m) | 1.88 (1H, m) |
| 12 | 12.3 (q) | 0.82 (3H, t, 7.4) | H2-11 | C-10, C-11 | 0.92 (3H, t, 7.4) | 0.95 (3H, d, 6.4) |
| 13 | 14.9 (q) | 0.97 (3H, d, 7.0) | H-10 | C-9, C-10, C-11 | 1.05 (3H, d, 7.2) | 0.96 (3H, d, 6.4) |
| No. | SF-268 a | MCF-7 b | H460 c | HT-29 d | CHO-K1 e |
|---|---|---|---|---|---|
| 1 | >295 | 204 | 234 | 270 | >295 |
| 2 | <0.02 | <0.02 | <0.02 | <0.02 | 0.1 |
| 3 | 1.8 | 0.7 | 0.6 | 1.5 | 32 |
| 4 | <0.02 | <0.02 | <0.02 | <0.02 | 0.2 |
| 5 | 72 | 52 | 25 | 48 | >184 |
| 6 | 22 | 18 | 8 | 13 | 94 |
| 7 | 0.3 | 0.8 | 0.1 | 0.6 | 1.2 |
| 8 | 0.02 | 0.06 | <0.02 | 0.1 | 0.8 |
© 2011 by the authors; licensee MDPI, Basel, Switzerland This article is an open-access article distributed under the terms and conditions of the Creative Commons Attribution license (http://creativecommons.org/licenses/by/3.0/).
Share and Cite
Ovenden, S.P.B.; Nielson, J.L.; Liptrot, C.H.; Willis, R.H.; Tapiolas, D.M.; Wright, A.D.; Motti, C.A. A New Diketopiperazine, Cyclo-(4-S-hydroxy-R-proline-R-isoleucine), from an Australian Specimen of the Sponge Stelletta sp. Mar. Drugs 2011, 9, 2469-2478. https://doi.org/10.3390/md9112469
Ovenden SPB, Nielson JL, Liptrot CH, Willis RH, Tapiolas DM, Wright AD, Motti CA. A New Diketopiperazine, Cyclo-(4-S-hydroxy-R-proline-R-isoleucine), from an Australian Specimen of the Sponge Stelletta sp. Marine Drugs. 2011; 9(11):2469-2478. https://doi.org/10.3390/md9112469
Chicago/Turabian StyleOvenden, Simon P. B., Jonathan L. Nielson, Catherine H. Liptrot, Richard H. Willis, Dianne M. Tapiolas, Anthony D. Wright, and Cherie A. Motti. 2011. "A New Diketopiperazine, Cyclo-(4-S-hydroxy-R-proline-R-isoleucine), from an Australian Specimen of the Sponge Stelletta sp." Marine Drugs 9, no. 11: 2469-2478. https://doi.org/10.3390/md9112469
APA StyleOvenden, S. P. B., Nielson, J. L., Liptrot, C. H., Willis, R. H., Tapiolas, D. M., Wright, A. D., & Motti, C. A. (2011). A New Diketopiperazine, Cyclo-(4-S-hydroxy-R-proline-R-isoleucine), from an Australian Specimen of the Sponge Stelletta sp. Marine Drugs, 9(11), 2469-2478. https://doi.org/10.3390/md9112469
