Design of Fungal Co-Cultivation Based on Comparative Metabolomics and Bioactivity for Discovery of Marine Fungal Agrochemicals
Abstract
1. Introduction
2. Results
2.1. Classification of Sediment-Derived Fungi as “Weak” and ”Strong”
2.2. Selection of Co-Cultivation Pair for Large-Scale Co-Cultivation
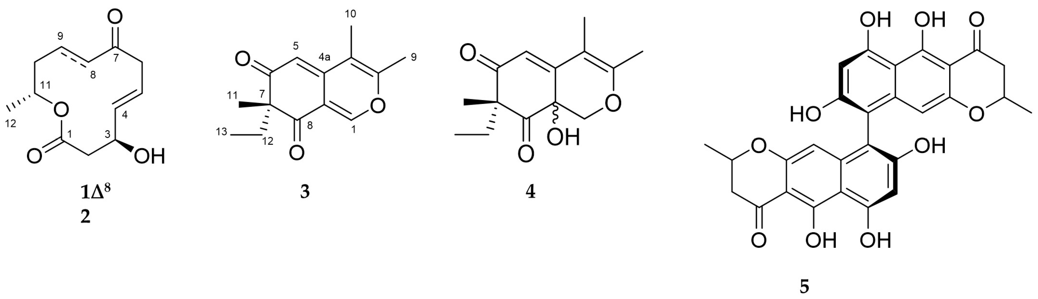
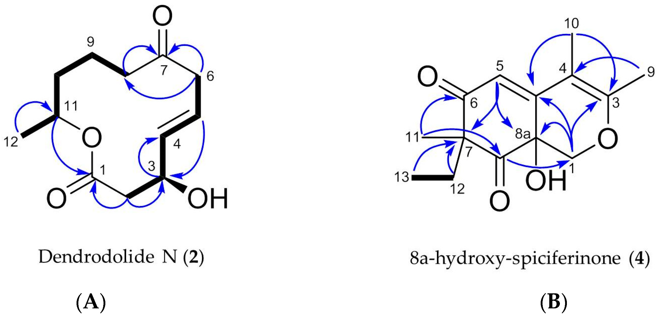
2.3. MN-Guided Isolation and Structure Elucidation
2.4. Anti-Phytopathogenic Activity of Isolated Compounds
3. Discussion
4. Materials and Methods
4.1. General Procedures
4.2. Fungal Materials
4.3. Fungal Cultures and Extraction
4.4. UPLC-QToF-MS Analysis
4.5. Molecular Networking
4.6. Isolation of Compounds 1–5
4.7. Bioactivity
Supplementary Materials
Author Contributions
Funding
Acknowledgments
Conflicts of Interest
References
- Nandinsuren, T.; Shi, W.; Zhang, A.L.; Bai, Y.B.; Gao, J.M. Natural products as sources of new fungicides (II): Antiphytopathogenic activity of 2,4-dihydroxyphenyl ethanone derivatives. Nat. Prod. Res. 2015, 30, 1166–1169. [Google Scholar] [CrossRef] [PubMed]
- Nicolopoulou-Stamati, P.; Maipas, S.; Kotampasi, C.; Stamatis, P.; Hens, L. Chemical pesticides and human health: The urgent need for a new concept in agriculture. Front. Public Health 2016, 4, 148. [Google Scholar] [CrossRef] [PubMed]
- Carvalho, F.P. Pesticides, environment, and food safety. Food Energy Secur. 2017, 6, 48–60. [Google Scholar] [CrossRef]
- Lucas, J.A.; Hawkins, N.J.; Fraaije, B.A. The evolution of fungicide resistance. Adv. Appl. Microbiol. 2015, 90, 29–92. [Google Scholar] [PubMed]
- Vos, C.M.; De Cremer, K.; Cammue, B.P.; De Coninck, B. The toolbox of Trichoderma spp. in the biocontrol of Botrytis cinerea disease. Mol. Plant Pathol. 2015, 16, 400–412. [Google Scholar] [CrossRef]
- Nofiani, R.; de Mattos-Shipley, K.; Lebe, K.E.; Han, L.-C.; Iqbal, Z.; Bailey, A.M.; Willis, C.L.; Simpson, T.J.; Cox, R.J. Strobilurin biosynthesis in Basidiomycete fungi. Nat. Commun. 2018, 9, 1–11. [Google Scholar] [CrossRef]
- Marris, E. Drugs from the deep. Nature 2006, 443, 904–905. [Google Scholar] [CrossRef]
- Kumar, A.; Sørensen, J.L.; Hansen, F.T.; Arvas, M.; Syed, M.F.; Hassan, L.; Benz, J.P.; Record, E.; Henrissat, B.; Pöggeler, S.; et al. Genome sequencing and analyses of two marine fungi from the North Sea unraveled a plethora of novel biosynthetic gene clusters. Sci. Rep. 2018, 8, 1–16. [Google Scholar] [CrossRef]
- Keller, N.P.; Turner, G.; Bennett, J.W. Fungal secondary metabolism—From biochemistry to genomics. Nat. Rev. Microbiol. 2005, 3, 937–947. [Google Scholar] [CrossRef]
- Nai, C.; Meyer, V. From axenic to mixed cultures: Technological advances accelerating a paradigm shift in microbiology. Trends Microbiol. 2018, 26, 538–554. [Google Scholar] [CrossRef]
- Marmann, A.; Aly, A.H.; Lin, W.; Wang, B.; Proksch, P. Co-cultivation—A powerful emerging tool for enhancing the chemical diversity of microorganisms. Mar. Drugs 2014, 12, 1043–1065. [Google Scholar] [CrossRef] [PubMed]
- Abdelmohsen, U.R.; Grkovic, T.; Balasubramanian, S.; Kamel, M.S.; Quinn, R.J.; Hentschel, U. Elicitation of secondary metabolism in actinomycetes. Biotechnol. Adv. 2015, 33, 798–811. [Google Scholar] [CrossRef] [PubMed]
- Faust, K.; Raes, J. Microbial interactions: From networks to models. Nat. Rev. Microbiol. 2012, 10, 538. [Google Scholar] [CrossRef] [PubMed]
- Oh, D.C.; Jensen, P.R.; Kauffman, C.A.; Fenical, W. Libertellenones A–D: Induction of cytotoxic diterpenoid biosynthesis by marine microbial competition. Bioorg. Med. Chem. 2005, 13, 5267–5273. [Google Scholar] [CrossRef] [PubMed]
- Oh, D.C.; Kauffman, C.A.; Jensen, P.R.; Fenical, W. Induced production of emericellamides A and B from the marine-derived fungus Emericella sp. in competing co-culture. J. Nat. Prod. 2007, 70, 515–520. [Google Scholar] [CrossRef]
- Bajaj, I.; Veiga, T.; van Dissel, D.; Pronk, J.T.; Daran, J.-M. Functional characterization of a Penicillium chrysogenum mutanase gene induced upon co-cultivation with Bacillus subtilis. BMC Microbiol. 2014, 14, 1–16. [Google Scholar] [CrossRef]
- Bertrand, S.; Schumpp, O.; Bohni, N.; Bujard, A.; Azzollini, A.; Monod, M.; Gindro, K.; Wolfender, J.L. Detection of metabolite induction in fungal co-cultures on solid media by high-throughput differential ultra-high pressure liquid chromatography-time-of-flight mass spectrometry fingerprinting. J. Chromatogr. A 2013, 1292, 219–228. [Google Scholar] [CrossRef]
- Netzker, T.; Flak, M.; Krespach, M.K.C.; Stroe, M.C.; Weber, J.; Schroeckh, V.; Brakhage, A.A. Microbial interactions trigger the production of antibiotics. Curr. Opin. Microbiol. 2018, 45, 117–123. [Google Scholar] [CrossRef]
- Schroeckh, V.; Scherlach, K.; Nutzmann, H.W.; Shelest, E.; Schmidt-Heck, W.; Schuemann, J.; Martin, K.; Hertweck, C.; Brakhage, A.A. Intimate bacterial-fungal interaction triggers biosynthesis of archetypal polyketides in Aspergillus nidulans. Proc. Natl. Acad. Sci. USA 2009, 106, 14558–14563. [Google Scholar] [CrossRef]
- Zuck, K.M.; Shipley, S.; Newman, D.J. Induced production of N-formyl alkaloids from Aspergillus fumigatus by co-culture with Streptomyces peucetius. J. Nat. Prod. 2011, 74, 1653–1657. [Google Scholar] [CrossRef]
- Oppong-Danquah, E.; Parrot, D.; Blümel, M.; Labes, A.; Tasdemir, D. Molecular networking-based metabolome and bioactivity analyses of marine-adapted fungi co-cultivated with phytopathogens. Front. Microbiol. 2018, 9, 1–20. [Google Scholar] [CrossRef] [PubMed]
- Koul, M.; Singh, S. Penicillium spp.: Prolific producer for harnessing cytotoxic secondary metabolites. Anti Cancer Drugs 2017, 28, 11–30. [Google Scholar] [CrossRef] [PubMed]
- Buckingham, J. Dictionary of Natural Products (on-Line Web Edition). Available online: http://www.chemnetbase.com (accessed on 1 November 2019).
- Zheng, Y.-Y.; Liang, Z.-Y.; Shen, N.-X.; Liu, W.-L.; Zhou, X.-J.; Fu, X.-M.; Chen, M.; Wang, C.-Y. New naphtho-γ-pyrones isolated from marine-derived fungus Penicillium sp. HK1-22 and their antimicrobial activities. Mar. Drugs 2019, 17, 322. [Google Scholar] [CrossRef] [PubMed]
- Kupchan, S.M.; Britton, R.W.; Ziegler, M.F.; Sigel, C.W. Bruceantin, a new potent antileukemic simaroubolide from Brucea antidysenterica. J. Org. Chem. 1973, 38, 178–179. [Google Scholar] [CrossRef]
- Sun, P.; Xu, D.-X.; Mándi, A.; Kurtán, T.; Li, T.-J.; Schulz, B.; Zhang, W. Structure, absolute configuration, and conformational study of 12-membered macrolides from the fungus Dendrodochium sp. associated with the sea cucumber Holothuria nobilis Selenka. J. Org. Chem. 2013, 78, 7030–7047. [Google Scholar] [CrossRef]
- Nakajima, H.; Kimura, Y.; Hamasaki, T. Spiciferinone, an azaphilone phytotoxin produced by the fungus Cochliobolus spicifer. Phytochemistry 1992, 31, 105–107. [Google Scholar] [CrossRef]
- Kock, I.; Draeger, S.; Schulz, B.; Elsässer, B.; Kurtán, T.; Kenéz, Á.; Rheinheimer, J. Pseudoanguillosporin A and B: Two new isochromans isolated from the endophytic fungus Pseudoanguillospora sp. Eur. J. Org. Chem. 2009, 2009, 1427–1434. [Google Scholar] [CrossRef]
- Koyama, K.; Natori, S. Further characterization of seven bis (naphtho-γ-pyrone) congeners of ustilaginoidins, coloring matters of Claviceps virens (Ustilaginoidea virens). Chem. Pharm. Bull. 1988, 36, 146–152. [Google Scholar] [CrossRef]
- Phelan, V.V.; Liu, W.-T.; Pogliano, K.; Dorrestein, P.C. Microbial metabolic exchange—The chemotype-to-phenotype link. Nat. Chem. Biol. 2011, 8, 26. [Google Scholar] [CrossRef]
- Whitt, J.; Shipley, S.M.; Newman, D.J.; Zuck, K.M. Tetramic acid analogues produced by coculture of Saccharopolyspora erythraea with Fusarium pallidoroseum. J. Nat. Prod. 2014, 77, 173–177. [Google Scholar] [CrossRef]
- Chamoun, R.; Aliferis, K.A.; Jabaji, S. Identification of signatory secondary metabolites during mycoparasitism of Rhizoctonia solani by Stachybotrys elegans. Front. Microbiol. 2015, 6. [Google Scholar] [CrossRef]
- Abrudan, M.I.; Smakman, F.; Grimbergen, A.J.; Westhoff, S.; Miller, E.L.; van Wezel, G.P.; Rozen, D.E. Socially mediated induction and suppression of antibiosis during bacterial coexistence. Proc. Natl. Acad. Sci. USA 2015, 112, 11054–11059. [Google Scholar] [CrossRef]
- Wang, J.-p.; Lin, W.; Wray, V.; Lai, D.; Proksch, P. Induced production of depsipeptides by co-culturing Fusarium tricinctum and Fusarium begoniae. Tetrahedron Lett. 2013, 54, 2492–2496. [Google Scholar] [CrossRef]
- Serrano, R.; González-Menéndez, V.; Rodríguez, L.; Martín, J.; Tormo, J.R.; Genilloud, O. Co-culturing of fungal strains against Botrytis cinerea as a model for the induction of chemical diversity and therapeutic agents. Front. Microbiol. 2017, 8, 1–15. [Google Scholar] [CrossRef] [PubMed]
- Bertrand, S.; Schumpp, O.; Bohni, N.; Monod, M.; Gindro, K.; Wolfender, J.L. De novo production of metabolites by fungal co-culture of Trichophyton rubrum and Bionectria ochroleuca. J. Nat. Prod. 2013, 76, 1157–1165. [Google Scholar] [CrossRef] [PubMed]
- Tshikantwa, T.S.; Ullah, M.W.; He, F.; Yang, G. Current trends and potential applications of microbial interactions for human welfare. Front. Microbiol. 2018, 9, 1–19. [Google Scholar] [CrossRef] [PubMed]
- Lu, S.; Tian, J.; Sun, W.; Meng, J.; Wang, X.; Fu, X.; Wang, A.; Lai, D.; Liu, Y.; Zhou, L. Bis-naphtho-γ-pyrones from fungi and their bioactivities. Molecules 2014, 19, 7169–7188. [Google Scholar] [CrossRef] [PubMed]
- Hsiao, C.-J.; Hsiao, G.; Chen, W.-L.; Wang, S.-W.; Chiang, C.-P.; Liu, L.-Y.; Guh, J.-H.; Lee, T.-H.; Chung, C.-L. Cephalochromin induces G0/G1 cell cycle arrest and apoptosis in A549 human non-small-cell lung cancer cells by inflicting mitochondrial disruption. J. Nat. Prod. 2014, 77, 758–765. [Google Scholar] [CrossRef]
- Cane, D.E.; Lambalot, R.H.; Prabhakaran, P.; Ott, W.R. Macrolide biosynthesis. 7. Incorporation of polyketide chain elongation intermediates into methymycin. J. Am. Chem. Soc. 1993, 115, 522–526. [Google Scholar] [CrossRef]
- Zhang, H.; Tomoda, H.; Tabata, N.; Miura, H.; Namikoshi, M.; Yamaguchi, Y.; Masuma, R.; Omura, S. Cladospolide D, a new 12-membered macrolide antibiotic produced by Cladosporium sp. FT-0012. J. Antibiot. 2001, 54, 635–641. [Google Scholar] [CrossRef]
- Shigemori, H.; Kasai, Y.; Komatsu, K.; Tsuda, M.; Mikami, Y.; Kobayashi, J. Sporiolides A and B, new cytotoxic twelve-membered macrolides from a marine-derived fungus Cladosporium species. Mar. Drugs 2004, 2, 164–169. [Google Scholar] [CrossRef]
- Cox, R.J. Polyketides, proteins and genes in fungi: Programmed nano-machines begin to reveal their secrets. Org. Biomol. Chem. 2007, 5, 2010–2026. [Google Scholar] [CrossRef] [PubMed]
- Osmanova, N.; Schultze, W.; Ayoub, N. Azaphilones: A class of fungal metabolites with diverse biological activities. Phytochem. Rev. 2010, 9, 315–342. [Google Scholar] [CrossRef]
- Altschul, S.F.; Gish, W.; Miller, W.; Myers, E.W.; Lipman, D.J. Basic local alignment search tool. J. Mol. Biol. 1990, 215, 403–410. [Google Scholar] [CrossRef]
- Chambers, M.C.; Maclean, B.; Burke, R.; Amodei, D.; Ruderman, D.L.; Neumann, S.; Gatto, L.; Fischer, B.; Pratt, B.; Egertson, J. A cross-platform toolkit for mass spectrometry and proteomics. Nat. Biotechnol. 2012, 30, 918–920. [Google Scholar] [CrossRef]
- Wang, M.; Carver, J.J.; Phelan, V.V.; Sanchez, L.M.; Garg, N.; Peng, Y.; Nguyen, D.D.; Watrous, J.; Kapono, C.A.; Luzzatto-Knaan, T.; et al. Sharing and community curation of mass spectrometry data with Global Natural Products Social Molecular Networking. Nat. Biotechnol. 2016, 34, 828–837. [Google Scholar] [CrossRef]
- Allen, F.; Pon, A.; Wilson, M.; Greiner, R.; Wishart, D. CFM-ID: A web server for annotation, spectrum prediction and metabolite identification from tandem mass spectra. Nucleic Acids Res. 2014, 42, 94–99. [Google Scholar] [CrossRef]
- Shannon, P.; Markiel, A.; Ozier, O.; Baliga, N.S.; Wang, J.T.; Ramage, D.; Amin, N.; Schwikowski, B.; Ideker, T. Cytoscape: A software environment for integrated models of biomolecular interaction networks. Genome Res. 2003, 13, 2498–2504. [Google Scholar] [CrossRef]






| Strain | Category | Ps | Xc | Ea | Rs | Mo | Pi |
|---|---|---|---|---|---|---|---|
| Mono-cultures | |||||||
| Helotiales sp. | s | 31 | 83 | 55 | 27 | 99 | 92 |
| Plenodomus influorescens | s | - | - | - | - | 99 | 93 |
| Penicillium bialowiezensea | s | - | - | - | - | 89 | 91 |
| Sarocladium strictuma | w | - | - | - | - | - | 57 |
| Pyrenochaeta sp.*,a | w | - | - | - | - | - | 75 |
| Pyrenochaeta nobilis | w | - | - | - | - | 38 | 89 |
| Lentithecium sp. | w | - | - | - | - | - | 25 |
| Lentithecium sp. a | w | - | - | - | - | - | 35 |
| Co-cultures | |||||||
| Helotiales_P. influorescens | s/s | - | 99 | 22 | - | 95 | 79 |
| Helotiales_ P. nobilis | s/w | - | 21 | - | 34 | 94 | 66 |
| Helotiales_Lentithecium | s/w | - | 40 | - | - | 96 | 75 |
| P. influorescens_P. nobilis | s/w | - | 59 | - | - | 90 | 97 |
| P. influorescens_P. nobilisb | s/w | - | 90 | - | - | 34 | 81 |
| P. influorescens_Lentithecium | s/w | - | 21 | - | - | 91 | 95 |
| P. nobilis_Lentithecium | w/w | - | 35 | - | - | 72 | 98 |
| Reference compound | 98 | 95 | 97 | 89 | 100 | 92 |
| Position | 1 a | 2 a | 2 b | |
|---|---|---|---|---|
| δH, Mult. (J in Hz) | δH, Mult. (J in Hz) | δH, Mult. (J in Hz) | δC (Type) | |
| 1 | 171.9, C | |||
| 2 α | 2.77 dd (14.0, 4.8) | 2.73 dd (13.3, 5.2) | 2.72 dd (13.4, 3.9) | 43.1, CH2 |
| β | 2.51 dd (14.0,2.9) | 2.61 dd (13.3, 3.2) | 2.57 dd (13.4, 6.6) | |
| 3 | 4.52 s | 4.58 s | 4.53 m | 69.0, CH |
| 4 | 5.58 dd (15.8, 1.5) | 5.80 m | 5.83 dd (15.4, 4.8) | 137.7, CH |
| 5 | 5.77 m | 5.80 m | 5.73 m | 124.7, CH |
| 6 α | 3.22 dd (14.1, 5.6) | 3.18 dd (14.7, 8.9) | 3.22 dd (13.5, 8.3) | 47.4, CH2 |
| β | 3.32dd (14.1, 8.0) | 3.03 m | 3.05 dd (13.6, 66) | |
| 7 | 212.4, C | |||
| 8 α | 5.96 d (16.2) | 2.21 m | 2.3 dt (12.9, 7.6) | 42.8, CH2 |
| β | 2.46 m | 2.5 m | ||
| 9 α | 6.54 ddd (16.2, 9.0, 7.0) | 1.84 m | 1.94 ddt (15, 13.4, 6.6) | 20.8, CH2 |
| β | 1.59 m | 1.64 m | ||
| 10 α | 2.29 dddd (14.0, 11.2, 8.9, 0.9) | 1.59 m | 1.54 m | 34.5, CH2 |
| β | 2.42 dddd (14.0, 6.3, 3, 1.4) | |||
| 11 | 5.27 m | 5.1 m | 4.97 m | 71.1, CH |
| 12 | 1.32, d (6.3) | 1.23 d (6.4) | 1.22 d (6.3) | 20.1, CH3 |
| Position | 3 a | 4 a | 4 b | ||
|---|---|---|---|---|---|
| (δC, Type) | δH, Mult. (J in Hz) | δH, Mult. (J in Hz) | δH, Mult. (J in Hz) | (δC, Type) | |
| 1 | 151.5, CH | 7.82 s | 4.51 d (12.4) 3.84 d (12.4) | 4.48 d (12.4) 3.84 d (12.4) | 70.8, CH2 |
| 3 | 153.5, C | 161.8, C | |||
| 4 | 114.0, C | 104.3, C | |||
| 4a | 143.7, C | 152.3, C | |||
| 5 | 106.3, CH | 5.56 s | 5.92 s | 5.87 s | 116.0, CH |
| 6 | 200.5, C | 201.9, C | |||
| 7 | 61.5, C | 61.5, C | |||
| 8 | 199.5, C | 207.4, C | |||
| 8a | 113.5, C | 67.2, C | |||
| 9 | 17.7, CH3 | 2.22 s | 2.08 s | 2.08 s | 18.7, CH3 |
| 10 | 12.6, CH3 | 1.89 s | 1.83 s | 1.87 s | 12.9, CH3 |
| 11 | 20.6, CH3 | 1.28 s | 1.26 s | 1.19 s | 17.4, CH3 |
| 12 | 31.3, CH2 | 1.86 q (7.0, 2) | 2.25 dq (14.7, 7.4) 1.86 dq (14.7, 7.4) | 2.27, dq (14.7, 7.4) 1.80, dq (14.7, 7.4) | 33.9, CH2 |
| 13 | 9.7, CH3 | 0.78 t (7.0) | 0.89 t (7.4) | 0.88, t (7.4) | 9.1, CH3 |
| Phytopathogens | Compound | ||||
|---|---|---|---|---|---|
| 2 | 3 | 4 | 5 | Reference | |
| P. syringae | >100 | >100 | >100 | 92.6 | 0.7 |
| X. campestris | >100 | >100 | >100 | 0.9 | 0.5 |
| P. infestans | 13.9 | >100 | >100 | 1.7 | 0.3 |
© 2020 by the authors. Licensee MDPI, Basel, Switzerland. This article is an open access article distributed under the terms and conditions of the Creative Commons Attribution (CC BY) license (http://creativecommons.org/licenses/by/4.0/).
Share and Cite
Oppong-Danquah, E.; Budnicka, P.; Blümel, M.; Tasdemir, D. Design of Fungal Co-Cultivation Based on Comparative Metabolomics and Bioactivity for Discovery of Marine Fungal Agrochemicals. Mar. Drugs 2020, 18, 73. https://doi.org/10.3390/md18020073
Oppong-Danquah E, Budnicka P, Blümel M, Tasdemir D. Design of Fungal Co-Cultivation Based on Comparative Metabolomics and Bioactivity for Discovery of Marine Fungal Agrochemicals. Marine Drugs. 2020; 18(2):73. https://doi.org/10.3390/md18020073
Chicago/Turabian StyleOppong-Danquah, Ernest, Paulina Budnicka, Martina Blümel, and Deniz Tasdemir. 2020. "Design of Fungal Co-Cultivation Based on Comparative Metabolomics and Bioactivity for Discovery of Marine Fungal Agrochemicals" Marine Drugs 18, no. 2: 73. https://doi.org/10.3390/md18020073
APA StyleOppong-Danquah, E., Budnicka, P., Blümel, M., & Tasdemir, D. (2020). Design of Fungal Co-Cultivation Based on Comparative Metabolomics and Bioactivity for Discovery of Marine Fungal Agrochemicals. Marine Drugs, 18(2), 73. https://doi.org/10.3390/md18020073

